Abstract
Herbaceous peony (Paeonia lactiflora Pall.) is a traditional famous flower, but its poor inflorescence stem quality seriously constrains the development of the cut flower. Mechanical strength is an important characteristic of stems, which not only affects plant lodging, but also plays an important role in stem bend or break. In this paper, the mechanical strength, morphological indices and microstructure of P. lactiflora development inflorescence stems were measured and observed. The results showed that the mechanical strength of inflorescence stems gradually increased, and that the diameter of inflorescence stem was a direct indicator in estimating mechanical strength. Simultaneously, with the development of inflorescence stem, the number of vascular bundles increased, the vascular bundle was arranged more densely, the sclerenchyma cell wall thickened, and the proportion of vascular bundle and pith also increased. On this basis, cellulose and lignin contents were determined, PlCesA3, PlCesA6 and PlCCoAOMT were isolated and their expression patterns were examined including PlPAL. The results showed that cellulose was not strictly correlated with the mechanical strength of inflorescence stem, and lignin had a significant impact on it. In addition, PlCesA3 and PlCesA6 were not key members in cellulose synthesis of P. lactiflora and their functions were also different, but PlPAL and PlCCoAOMT regulated the lignin synthesis of P. lactiflora. These data indicated that PlPAL and PlCCoAOMT could be applied to improve the mechanical strength of P. lactiflora inflorescence stem in genetic engineering.
1. Introduction
Herbaceous peony (Paeonia lactiflora Pall.) is a traditional famous flower with a cultivation history of more than 4000 years in China, which has shared the name “the king and minister of flowers” with tree peony [1]. Due to its huge flowers, bright flower colors, beautiful flower types and strong flower fragrances, it is loved by all people around the world, and expanded from the first garden cultivation to the cut flower cultivation. In Europe and the United States, herbaceous peony, known as the “wedding flower”, is a high-grade cut flower for weddings and other festive occasions, so its market prospect is very broad [2,3]. In the production practice, we find that the P. lactiflora inflorescence stem is easy to bend or break and can not support flower weight, which seriously affects the quality of the cut flower. Previous research reveal that mechanical strength is an important characteristic of stem, which not only affects plant lodging, but also plays an important role in the inflorescence stem bend or break [4,5]. Therefore, it is crucial to identify factors that influence mechanical strength of P. lactiflora inflorescence stem and study how these factors can be manipulated.
The plant cell wall, composed of cellulose, hemicellulose, lignin, polysaccharides, and proteins, is a strong fibrillar network which provides mechanical support to cells, tissues and the whole plant [6,7]. According to cell type, cellulose usually accounts for 20% to 30% of the dry weight of the primary cell wall, and constitutes 40% to 90% of the secondary wall [8]. After cellulose, lignin is the second major biopolymer component of the plant cell wall [5]. As a result, the relationship of these two components and stem mechanical strength have been popular research topics, which have been studied thoroughly in the Gramineae. For example, both culm brittleness of rice mutants (BC1, 3, 5, 7, 10) and barley mutants are caused by decreased cellulose content [6,9–14]. In addition, decreased lignin content reduced culm mechanical strength of rice flexible culm1 mutant (fc1) [5]. However, to our knowledge, there are few reports regarding ornamental plants.
Cellulose synthase (CesA) is a key enzyme of plant cellulose biosynthesis, which can catalyze the formation of β-(1,4)-linkages [12]. Even though the CesA complexes were first discovered in the plasma membrane of Oocystis apiculata in 1976 [15], it was not until 1996 that the first CesA gene was isolated in higher plant [16]. Since then, CesA has been identified from many plants, such as Arabidopsis thaliana [17], Oryza sativa [18], Hordeum vulgare [19], Physcomitrella patens [20] and so on. Research show that activity of CesA is closely related to cellulose content [13,14,21], such as in rice mutant BC7, reduced cellulose content is caused by an abnormal CesA gene [11]. On the other hand, a great deal of enzyme genes involved in the lignin biosynthetic pathway, among which, l-phenylalanine ammonia-lyase (PAL) and caffeoyl-CoA 3-O-methyltransferase (CCoAOMT) are two key enzyme genes. The former is the first gene of the phenylpropanoid pathway which catalyzes the formation of cinnamic acid from l-phenylalanine, and the latter catalyzes the formation of feruloyl-CoA and sinapoyl-CoA using caffeoyl-CoA and 5-hydroxyferuloyl-CoA as substrates, respectively. Moreover, transcript levels of these two genes directly affect lignin biosynthesis [22–24], which has become a hot topic in the field of lignin genetic engineering.
In this study, in order to identify factors that influence mechanical strength of P. lactiflora inflorescence stem and their regulatory mechanism, mechanical strength, morphological indices, cellulose and lignin contents, microstructure of inflorescence stem were measured and observed. In addition, related genes involved in cellulose and lignin biosynthetic pathway including PlCesA3, PlCesA6 and PlCCoAOMT were isolated, and expression patterns of these isolated genes and PlPAL were investigated. These results could provide a theoretical basis for improving the quality of P. lactiflora cut flowers.
2. Results
2.1. Mechanical Strength and Morphological Indices
Inflorescence stems of four development stages were used as materials to study impact factors of the mechanical strength of P. lactiflora (Figure 1A). Determination using 3-point bending-tests showed that their mechanical strength increased from S1 to S4, and S4 was 4.8 times higher than S1, but the difference between S3 and S4 was not significant (Figure 1B).
Figure 1.
Plant phenotype and mechanical strength of inflorescence stem. (A) Plant phenotype of four development stages; (B) Mechanical strength of inflorescence stem. Different letters including a, b and c indicate significant difference at the 0.05 level. Bar = 2 cm.
Morphological indices of plant developmental stages were shown in Table 1. All indices showed an increasing trend and reached their maximum in S4. Plant height, diameter and fresh weight of flower all reached a significant level between each stage. However, the other indices, i.e., diameter and fresh weight of inflorescence stem were almost identical in S3 and S4. Correlation analysis between morphological indices and mechanical strength revealed that these five indicators showed they were positively correlated with mechanical strength, and significant level was reached by plant height, diameter of inflorescence stem, diameter of flower and fresh weight of flower. Moreover, the highest correlation was diameter of inflorescence stem (Table 2).
Table 1.
Morphological indices of development Paeonia lactiflora.
Table 2.
Correlation of morphological indices and mechanical strength of inflorescence stem.
2.2. Microstructure
Microstructure of inflorescence stem was observed by optical microscope. The results showed that both the number of vascular bundles and the proportion of vascular bundle as well as pith presented an increasing trend, but a significant difference between each stage, especially S3 and S4 was not observed (Table 3).
Table 3.
Microstructure of inflorescence stem.
In order to more intuitively observe microstructure changes of inflorescence stem, environmental scanning electron microscope was applied. Figure 2A–D showed the photographs of four development stages of inflorescence stems with a magnification of 200 times, and Figure 2E–H showed the partial enlargement of Figure 2A–D marked by an arrow. As shown in Figure 2, inflorescence stem had formed various parts in the initial stage, i.e., epidermis, cortex and vascular cylinder, moreover, vascular bundles were cylindrical and close each other. With the development of the inflorescence stem, inner vascular bundles began to emerge, the cell was more closely arranged and the sclerenchyma cell wall thickened.
Figure 2.
Observation of inflorescence stem microstructure with scanning electron microscope. (A–D) Photographs of development inflorescence stem with a magnification of 200 times; (E–H) Photographs of partial enlargement in A–D marked by the arrow.
2.3. Cellulose and Lignin Contents
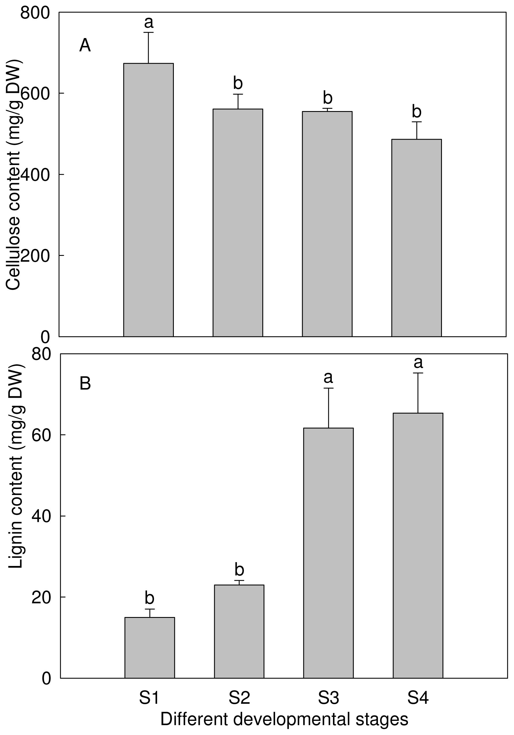
As the major components of plant cell wall that play a role in mechanical support, cellulose and lignin contents were determined in these inflorescence stems. As shown in Figure 3, cellulose content had been declining from S1 to S4, but the difference between the last three stages was not significant. Its correlation coefficient with mechanical strength was −0.85. In contrast, lignin content increased gradually with the development of inflorescence stem, and S4 was 4.3 times as high as S1. This trend was the same as mechanical strength. Meanwhile, a highly significant positive correlation between them (R = 0.99 **) was observed.
Figure 3.
Cellulose and lignin contents of inflorescence stem. (A) Cellulose content of inflorescence stem; (B) Lignin content of inflorescence stem. a,b indicate significant difference at the 0.05 level.
2.4. Isolation and Sequence Analysis
In order to clarify the synthesis of cellulose and lignin, we aimed to isolated key biosynthetic genes. The 3′-ends of two CesA were obtained by 3′-RACE and were 2300 and 2015 nucleotides long. On the basis of the partial sequence, 5′-RACE was carried out to isolate the 5′-ends, which obtained a 2500 and 1800-bp fragment, respectively. Sequence splicing showed that the full-length cDNA sequence of CesA1 was 3939 bp, and contained a whole open reading frame (ORF) of 3246 bp, an untranslated region (UTR) in 5′ end of 447 bp, a 3′-UTR of 246 bp and a complete poly A tail. CesA2 was 3846 bp in length which contained an ORF of 3265 bp, an UTR of 410 bp in 5′ end, a 3′-UTR of 171 bp and a full poly A tail. Gene-specific primers were used for RACE of CCoAOMT gene, which resulted in an approximate 410 and 640-bp band of 3′ and 5′ cDNA ends, respectively. The spliced results showed that 1004 bp CCoAOMT cDNA contained an UTR of 57 bp in 5′ end, a 744 bp ORF, a 3′-UTR of 203 bp and a poly (A) tail.
CesA1 and CesA2 encoded 1087 and 1081 amino acids, respectively, which were 68% identical. Multiple alignment analysis indicated that CesA1 and CesA2 had a high homology to CesA from other plants, such as 88% and 67% identity with Betula luminifera CesA (ACJ38667), 85% and 67% identity with Populus ussuriensis CesA (ADV58936), 79% and 66% identity with Hordeum vulgare CesA (AAR29964), respectively. The phylogenetic tree that was constructed using the neighbor-joining method revealed CesA in these plants was divided into two categories, CesA1 and CesA2 in P. lactiflora belonged to CesA3 and CesA6, respectively (Figure 4). Therefore, these two genes were designated as PlCesA3 and PlCesA6 with accession number JQ728998 and JQ728999, respectively. For CCoAOMT in P. lactiflora, a blast analysis showed that this protein shared 90–94% identity and 95–98% similarity with CCoAOMT from Vitis vinifera (XP_002282867), Populus tremuloides (AAA80651), Broussonetia papyrifera (AAT37172), Populus trichocarpa (ACC63876), Codonopsis lanceolata (BAE48788) and Solanum tuberosum (BAC23054). Amino acid sequence alignment of CCoAOMT in Paeonia lactiflora and Bambusa oldhamii, Nicotiana tabacum, Oryza sativa, Picea abies and Zea mays was performed, the result showed PlCCoAOMT had conserved sequence elements of the CCoAOMT gene, namely A, B, C, D, E, F, G and H (Figure 5A). Among them, A, B and C were commonly found in the plant methyltransferase gene, and D, E, F, G and H were unique in the CCoAOMT gene. Meanwhile, their phylogenetic tree displayed CCoAOMT in these plants was divided into two categories. Dicot and monocotyledons, and Nicotiana tabacum was the one most similar to P. lactiflora (Figure 5B). This coincides with the traditional plant taxonomy. Additionally, this sequence had been submitted to GenBank with the accession numbers JQ684014.
Figure 4.
Phylogenetic tree of PlCesA3, PlCesA6 and CesA from some other plants. The amino acid sequences were obtained from GenBank: Arabidopsis thaliana3 (NP_196136); Bambusa oldhamii3 (AAY43225); Glycine max3 (XP_003533898); Gossypium barbadense3 (ADZ16119); Gossypium herbaceum3 (ADZ16120); Gossypium raimondii3 (ADZ16121); Vitis vinifera3 (XP_002278997); Arabidopsis thaliana6 (NP_201279); Bambusa oldhamii6 (AAY43223); Brachypodium distachyon6 (XP_003557327); Glycine max6 (XP_003525098); Physcomitrella patens6 (ABI78959); Ricinus communis6 (XP_002524299); Vitis vinifera6 (XP_002265955).

Figure 5.
Sequence alignment and phylogenetic tree of CCoAOMT from Paeonia lactiflora other plants. (A) Sequence alignment; (B) Phylogenetic tree. The amino acid sequences were obtained from GenBank: Bambusa oldhamii (EF028662); Nicotiana tabacum (AF022775); Oryza sativa (AY644636); Picea abies (AM262870); Zea mays (AJ242981). Color indicates homology level, black = 100%, pink ≥75%, blue ≥50%. A, B and C are popular conserved sequence elements in plant methyltransferase; D, E, F, G and H are signature sequences of CCoAOMT.
2.5. Expression Analysis
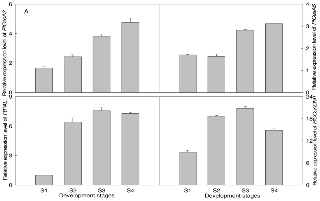
To examine whether cellulose and lignin contents in different developmental inflorescence stems could be related to the expression of related biosynthetic genes, transcript levels of three genes isolated in this paper, PlCesA3, PlCesA6 and PlCCoAOMT, together with PlPAL (JQ070801) we had isolated from P. lactiflora, were analyzed by real-time quantitative polymerase chain reaction (Q-PCR). This is a highly sensitive, accurate, rapid and high-throughput technique [25]. We found that the expressions of these genes could be detected in all tissues, but the expression levels were different (Figure 6). During the developmental stages of inflorescence stems, the transcript levels of PlCesA3 and PlCesA6 almost showed an upward trend, but the expression levels of PlPSY and PlCCoAOMT trended similarly which increased from S1 to S3, and with a little decrease in S4. In different organs, transcript levels of PlCesA3 and PlCesA6 were different, and their minimum consisted in leaves and roots, respectively. For PlPSY and PlCCoAOMT, the expression patterns were identical, their highest levels of transcription occurred in stems which were 156.76% and 433.25% more than those of leaves, respectively.

Figure 6.
Expression levels of cellulose and lignin biosynthetic genes in tissues. (A) Gene expression levels in developmental inflorescence stems; (B) Gene expression levels in different organs.
3. Discussion
Stem mechanical strength is related to the morphological indices of a plant, i.e., plant height, diameter and dry weight of stem etc. Therefore, varieties with short plants and sturdy stems are chosen in lodging resistance breeding of crops [26,27]. In this study, we found that the correlation between mechanical strength and fresh weight of inflorescence stem did not reach a significant level, which indicated that the fresh weight of an inflorescence stem could not accurately reflect the texture density of an inflorescence stem, and could not be used as an indicator to estimate mechanical strength. In contrast, a significant level was reached by plant height, diameter of inflorescence stem, diameter of flower and fresh weight of flower. Moreover, the highest correlation was diameter of inflorescence stem. These results indicate that diameter of inflorescence stem was a direct indicator in estimating mechanical strength, and other morphological indicators also influenced it. In addition, with the development of P. lactiflora inflorescence stem, the number of vascular bundles increased, vascular bundles were arranged more densely, the sclerenchyma cell wall thickened, and the proportion of vascular bundle and pith also increased, which were consistent with previous studies [12,28–30].
Cellulose is the main component of the cell wall skeleton, its basic unit is microfibril, which can maintain the cell shape and enhance the mechanical strength of the plant, and therefore the cellulose content is directly related to the mechanical tissues [31]. On the other hand, lignin, which distributes in the cell wall of plant lignified mechanical and conducting tissues can increase cell wall strength, cell wall impermeability and stem mechanical strength [32]. In rice [6,9–12], wheat [4], barley [13,14], rape [33], maize [34] and other plants, their mechanical strengths are correlated with cellulose, lignin or neither of them. This indicates that the factors that influence stem mechanical strength are different for different plants, or even different mutants in the same plants. Besides cellulose and lignin, some other chemical components affect mechanical strength. For example, glucose and xylulose are positively related to the lodging resistance in rice [35,36]. In P. lactiflora, cellulose content decreased while the lignin content increased, but the cellulose content was much higher than the lignin. We speculated that cellulose was not strictly correlated with mechanical strength of P. lactiflora inflorescence stem, and lignin had a significant impact on it. Combined with microstructure of inflorescence stem, there might be other increased chemical components in the cell wall. Further study is needed.
Functional studies of CesA showed that it was a super gene family. The enzymes involved in cellulose synthesis were not the same in different development stages of plant cell walls [37]. In the CesA gene family of Arabidopsis thaliana, CesA1, CesA3, and CesA6 played an irreplaceable role in the synthesis of the primary cell wall [38]. CesA4, CesA7 and CesA8 had a direct relationship with the formation of secondary cell wall [39,40]. In this study, two isolated gene members were confirmed as CesA3 and CesA6 in P. lactiflora, their expression levels were inconsistent with cellulose contents in development inflorescence stems, and their expression patterns in different organs were not the same, which indicated that these two genes were not key members in cellulose synthesis of P. lactiflora and their functions were also different. For PAL and CCoAOMT in P. lactiflora, their expression patterns were identical in all tissues. Their expression levels were greatly increased from S1 to S2 of inflorescence stem and decreased in the last stage. However, lignin content increased and a tremendous increase occurred from S2 to S3, which suggested that these two genes regulated lignin synthesis, but their transcript levels and lignin synthesis were out of sync. These results coincided with report about elephant grass [41]. These results indicated that PlPAL and PlCCoAOMT could be used to improve the mechanical strength of P. lactiflora inflorescence stems, which provide a basis for using genetic engineering means to improve the quality of P. lactiflora cut flowers.
4. Experimental Section
4.1. Plant Materials
Four development stages inflorescence stems of P. lactiflora cultivar “Hongyanzhenghui” were taken from the germplasm repository of Horticulture and Plant Protection College, Yangzhou University, Jiangsu Province, China (32°30′ N, 119°25′ E). After determination of mechanical strength and morphological indices in 5 cm of top inflorescence stem, one part was fixed in 3% glutaraldehyde using for microstructure observation, and the other was immediately frozen in liquid nitrogen, and then stored at −80 °C until analysis
4.2. Morphological Indices and Mechanical Strength Determination
Plant height was measured by meter stick (Zhejiang Yuyao Sanxin Measuring Tools Co., Ltd., Yuyao, China), fresh weight and diameter of inflorescence stem and flower were measured by balance (Gandg Testing Instrument Factory, Changshou, China) and micrometer scale (Taizhou Xinshangliang Measuring Tools Co., Ltd., Taizhou, China), respectively. In addition, mechanical strength of inflorescence stem was tested with a universal NK-2 digital force testing device (Zhejiang Hui’er Instrument & Equipment Co., Ltd., Hangzhou, China).
4.3. Microstructure Observation
For paraffin section, inflorescence stem fixed in 3% glutaraldehyde was washed 3 times with 0.1 mol/L phosphate buffer, and dehydrated using 30%, 50%, 70%, 85%, 95% and 100% gradient ethanol. Moreover, they passed through transparence, infiltration paraffin, embedment, section at 10 μm (Leica, Wetzlar, Germany), dewaxing and staining, and were then observed with the Zeiss the Primo Star 176045 microscope (Zeiss, Oberkochen, Germany).
For observation of scanning electron microscope, the fixed inflorescence stem was dehydrated in a gradient ethanol solution and treated with the mixtures of acetone: anhydrous alcohol (1:1, 2:1, 1:0, v/v), acetone:isoamyl acetate (1:1, 1:2, v/v), and pure isoamyl acetate. After drying and spraying gold (EIKO IB-3, Hitachi, Japan), the sample was observed by environmental scanning electron microscope (Philips XL-30 ESEM, Amsterdam, Holand).
4.4. Cell Wall Materials Fractionation, Cellulose and Lignin Contents Determination
The cell wall materials were fractioned according to the method of Rose et al. [42] with some modifications. Briefly, mature inflorescence stem of herbaceous peony was ground into fine powder in liquid nitrogen and extracted with 95% alcohol, and then washed twice with boiling alcohol and methyl alcohol:chlorination (1:1, v/v), respectively. Then, the cell wall residues were dried overnight at 30 °C. Cellulose content was measured by the anthrone [43], and lignin content was determined following the method of Müsel et al. [44].
4.5. RNA Extraction and Primers Design
Total RNA was extracted according to a modified CTAB extraction protocol used in our laboratory [45]. Prior to reverse-transcription, RNA samples were treated with DNase using DNase I kit (TaKaRa, Kyoto, Japan) according to the manufacturer’s guidelines.
3′ rapid-amplification of cDNA ends (RACE) primers were designed according to the retrieved CesA and CCoAOMT cDNA sequences of other plants from GenBank. And then on the basis of the 3′ cDNA sequences, 5′ RACE primers were designed. In gene expression analysis, the P. lactiflora Actin (GenBank Accession No. JN105299) was used as an internal control, and the expression analysis primers were designed according to the full-length cDNAs of isolated PlCesA, PlCCoAOMT and PlPAL (JQ070801). All mentioned primers were together listed in Table 4, which were all designed using DNAMAN 5.0 (Lynnon Corporation: Quebec, Canada, 1994) and Primer Premier 5.0 (Premier Biosoft International: Palo Alto, CA, USA, 2004), and synthesized by Shanghai Sangon Biological Engineering Technology & Services Co., Ltd. (Shanghai, China).
Table 4.
Primers used for genes isolation and expression pattern.
4.6. Isolation of the Full-length cDNA Sequence
Isolation of cDNA was performed by 3′ full RACE Core Set Ver. 2.0 (TaKaRa, Kyoto, Japan), 5′ full RACE Core Set Ver. 2.0 (TaKaRa, Kyoto, Japan) and SMARTerTM RACE cDNA Amplification Kit (Clontech, Mountain View, CA, USA ), the specific operations were performed according to the manufacture′s guidelines. The first strand cDNA was synthesized from total RNA, and then the 3′ and 5′ ends of cDNAs were amplified with the designed gene-specific primers and the universal primers provided by the kits. In addition, PCR conditions were in accordance with request of kits and the annealing temperature of primers.
4.7. Gene Expression Analysis
Q-PCR was performed on a BIO-RAD CFX96TM Real-Time System (C1000TM Thermal Cycler) (Bio-Rad, Hercules, CA, USA). The RNA samples were quantified by spectrophotometer (Eppendorf, Hamburg, Germany) at the wavelength of 260 nm. The cDNA was synthesized from 1 μg RNA using PrimeScript® RT reagent Kit With gDNA Eraser (TaKaRa, Kyoto, Japan). Q-PCR was carried out using the SYBR® Premix Ex TaqTM (Perfect Real Time) (TaKaRa, Kyoto, Japan) and contained 2 × SYBR Premix Ex TaqTM 12.5 μL, 50 × ROX Reference Dye II 0.5 μL, 2 μL cDNA solution as a template, 1 μL mix solution of target gene primers and 9 μL ddH2O in a final volume of 25 μL. The amplification was carried out under the following conditions: 50 °C for 2 min followed by an initial denaturation step at 95 °C for 5 min, 40 cycles at 95 °C for 15 s, 51 °C for 15 s, and 72°C for 40 s. Gene relative expression levels were calculated by the 2−ΔΔCt comparative threshold cycle (Ct) method. The Ct values of the triplicate reactions were gathered using the Bio-Rad CFX Manager V1.6.541.1028 software (Bio-Rad, Hercules, CA, USA).
4.8. Sequence and Statistical Analysis
Sequence retrieve was using the GenBank BLAST [46]. Sequence alignment and the phylogenetic tree were constructed by DNAMAN 5.0 and MEGA 5.05 [47], respectively. All data were means of three replicates at least with standard deviations. The results were analyzed for variance using the SAS/STAT statistical analysis package (version 6.12, SAS Institute, Cary, NC, USA, 1997). The difference between the means was tested by least significant difference at P0.05 (LSD0.05). Figures were drawn by SigmaPlot 10.0 (SPSS Inc.: Chicago, IL, USA, 1999).
Acknowledgments
This work was financially supported by Agricultural Science & Technology Independent Innovation Fund of Jiangsu Province (CX[10]114, CX[11]3015, CX[11]1017), Agricultural Science & Technology Support Project of Jiangsu Province (BE2011325), the Priority Academic Program Development from Jiangsu Government and 2010 College Academic Science and Technology Innovation Fund of Yangzhou University for student.
References
- Qing, K.J. The Origin and History. In Illustration of One Hundred Ornamental Flowers Bonsai—The Herbaceous Peony; Qing, K.J., Ed.; China Forestry Publishing House: Beijing, China, 2004; pp. 12–19. [Google Scholar]
- Stevens, S.; Stevens, A.B.; Gast, K.L.B.; O’Mara, J.A.; Tisserat, N.A.; Bauernfeind, R. Commercial specialty cut flower production, peonies. Cooperative Extension Service; Kansas State University: Manhattan, Kansas, 1993. Available online: http://www.oznet.ksu.edu/library/hort2/mf1083.pdf accessed on 1 March 2012.
- Yu, X.; Guo, P.; Lu, G.; Zhang, Q. Optimum harvesting time of herbaceous peony buds for cutting flowers. J. For. Res 2011, 22, 137–140. [Google Scholar]
- Wang, J.; Zhu, J.; Lin, Q.; Li, X.; Teng, N.; Li, Z.; Li, B.; Zhang, A.; Lin, J. Effects of stem structure and cell wall components on bending strength in wheat. Chin. Sci. Bull 2006, 51, 815–823. [Google Scholar]
- Li, X.; Yang, Y.; Yao, J.; Chen, G.; Li, X.; Zhang, Q.; Wu, C. FLEXIBLE CULM 1 encoding a cinnamyl-alcohol dehydrogenase controls culm mechanical strength in rice. Plant Mol. Biol 2009, 69, 685–697. [Google Scholar]
- Li, Y.; Qian, Q.; Zhou, Y.; Yan, M.; Sun, L.; Zhang, M.; Fu, Z.; Wang, Y.; Han, B.; Pang, X.; et al. BRITTLE CULM1, which encodes a COBRA-like protein, affects the mechanical properties of rice plants. Plant Cell 2003, 15, 2020–2031. [Google Scholar]
- Gilbert, H.J. The biochemistry and structural biology of plant cell wall deconstruction. Plant Physiol 2010, 153, 444–455. [Google Scholar]
- Taylor, N.G.; Scheible, W.; Cutler, S.; Somerville, C.R.; Turner, S.R. The irregular xylem3 locus of Arabidopsis encodes a cellulose synthase required for secondary cell wall synthesis. Plant Cell 1999, 11, 769–779. [Google Scholar]
- Hirano, K.; Kotake, T.; Kamihara, K.; Tsuna, K.; Aohara, T; Kaneko, Y.; Takatsuji, H.; Tsumuraya, Y.; Kawasaki, S. Rice BRITTLE CULM 3 (BC3) encodes a classical dynamin OsDRP2B essential for proper secondary cell wall synthesis. Planta 2010, 232, 95–108. [Google Scholar]
- Aohara, T.; Kotake, T.; Kaneko, Y.; Takatsuji, H.; Tsumuraya, Y.; Kawasaki, S. Rice BRITTLE CULM 5 (BRITTLE NODE) is involved in secondary cell wall formation in the sclerenchyma tissue of nodes. Plant Cell Physiol 2009, 50, 1886–1897. [Google Scholar]
- Yan, C.; Yan, S.; Zeng, X.; Zhang, Z.; Gu, M. Fine mapping and isolation of Bc7(t), allelic to OsCesA4. J. Genet. Genomics 2007, 34, 1019–1027. [Google Scholar]
- Zhou, Y.; Li, S.; Qian, Q.; Zeng, D.; Zhang, M.; Guo, L.; Liu, X.; Zhang, B.; Deng, L.; Liu, X.; et al. BC10, a DUF266-containing and Golgi-located type II membrane protein, is required for cell-wall biosynthesis in rice (Oryza sativa L.). Plant J 2009, 57, 446–462. [Google Scholar]
- Kokubo, A.; Sakurai, N.; Kuraishi, S.; Takeda, K. Culm brittleness of barley (Hordeum vulgare L.) mutants is caused by smaller number of cellulose molecules in cell wall. Plant Physiol 1991, 97, 509–514. [Google Scholar]
- Burton, R.A.; Ma, G.; Baumann, U.; Harvey, A.J.; Shirley, N.J.; Taylor, J.; Pettolino, F.; Bacic, A.; Beatty, M.; Simmons, C.R.; et al. A customized gene expression microarray reveals that the brittle stem phenotype fs2 of barley is attributable to a retroelement in the HvCesA4 cellulose synthase gene. Plant Physiol 2010, 153, 1716–1728. [Google Scholar]
- Brown, R.M.J.; Montezinos, D. Cellulose microfibrils: Visualization of biosynthetic and orienting complexes in association with the plasma membrane. Proc. Natl. Acad. Sci. USA 1976, 73, 143–147. [Google Scholar]
- Pear, J.R.; Kawagoe, Y.; Schreckengost, W.E.; Delmer, D.P.; Stalker, D.M. Higher plants contain homologs of the bacterial celA genes encoding the catalytic subunit of cellulose synthase. Proc. Natl. Acad. Sci. USA 1996, 93, 12637–12642. [Google Scholar]
- Richmond, T.A.; Somerville, C.R. The cellulose synthase superfamily. Plant Physiol 2000, 124, 495–498. [Google Scholar]
- Hazen, S.P.; Scott-Craig, J.S.; Walton, J.D. Cellulose synthase-like genes of rice. Plant Physiol 2002, 12, 336–340. [Google Scholar]
- Burton, R.A.; Shirley, N.J.; King, B.J.; Harvey, A.J.; Fincher, G.B. The CesA gene family of barley. Quantitative analysis of transcripts reveals two groups of co-expressed genes. Plant Physiol 2004, 134, 224–236. [Google Scholar]
- Wise, H.Z.; Saxena, I.M.; Brown, R.M.J. Isolation and characterization of the cellulose synthase genes PpCesA6 and PpCesA7 in Physcomitrella patens. Cellulose 2011, 18, 371–384. [Google Scholar]
- Kokubo, A.; Kuraishi, S.; Sakurai, N. Culm strength of barley: Correlation among maximum bending stress, cell wall dimensions, and cellulose content. Plant Physiol 1989, 91, 876–882. [Google Scholar]
- Howles, P.A.; Sewalt, V.J.H.; Paiva, N.L.; Elkind, Y.; Bate, N.J.; Lamb, C.; Dixon, R.A. Overexpression of l-phenylalanine ammonia-lyase in transgenic tobacco plants reveals control points for flux into phenylpropanoid biosynthesis. Plant Physiol 1996, 112, 1617–1624. [Google Scholar]
- Zhong, R.; Morrison, W.H.; Negrel, J.; Ye, Z.H. Dual methylation pathways in lignin biosynthesis. Plant Cell 1998, 10, 2033–2045. [Google Scholar]
- Wagner, A.; Tobimatsu, Y.; Phillips, L.; Heather, F.; Kirk, T.; Lloyd, D.; Lana, P.; John, R. CCoAOMT suppression modifies lignin composition in Pinus radiata. Plant J 2011, 67, 119–129. [Google Scholar]
- Qi, J.; Yu, S.; Zhang, F.; Shen, X.; Zhao, X.; Yu, Y.; Zhang, D. Reference gene selection for real-time quantitative polymerase chain reaction of mRNA transcript levels in Chinese cabbage (Brassica rapa L. ssp. pekinensis). Plant Mol. Biol. Report 2010, 28, 597–604. [Google Scholar]
- Yang, H.; Yang, R.; Li, Y.; Jiang, Z.; Zheng, J. Relationship between culm traits and lodging resistance of rice cultivars. Fujian J. Agric. Sci 2000, 15, 1–7. [Google Scholar]
- Shen, G.; Shi, Y.; Huang, Y.; Shi, Y.; Wang, W.; Zhang, C.; Chen, D. Study on rice lodging resistance character and correlation between the culm traits and lodging resistance traits. Chin. Agric. Sci. Bull 2007, 23, 58–62. [Google Scholar]
- Mo, Y.S.; Yang, Q.Q.; Liu, P.Q.; He, L.S.; Wang, A.Q.; Fan, Y.S.; Zhao, X.Y. Relationship of tall and tough rice resistance and stalk structure. Crops 2007, 2, 40–42. [Google Scholar]
- Su, Y.; Yan, C.; Wang, X.; Zhao, G. Analysis of cell wall components and ultrastructure for brittleness mutation rice. Acta Agrestia Sin 2008, 16, 594–599. [Google Scholar]
- Wei, C.; Xie, P.; Zhou, W.; Chen, Y.; Yan, C. Anatomical structure and chemical features of leaf in brittle mutant of rice. Acta Agron. Sin 2008, 34, 1417–1423. [Google Scholar]
- Xu, S.X.; Xu, X.B. Morphology and Anatomy of Rice; Agriculture Press: Beijing, China, 1984; pp. 12–30. [Google Scholar]
- Baucher, M.; Monties, B.; van Montagu, M.; Boerjan, W. Biosynthesis and genetic engineer in lignin. Crit. Rev. Plant Sci 1998, 17, 125–197. [Google Scholar]
- Zhang, J.; Chen, J.; Tang, Z.; Wang, R. Study on the physico-chemical properties of stem as related to lodging in rape. J. Southwest Agric. Univ. (Nat. Sci. ) 2006, 28, 763–765. [Google Scholar]
- Sindhu, A.; Langewisch, T.; Olek, A.; Multani, D.S.; McCann, M.C.; Vermerris, W.; Carpita, N.C.; Johal, G. Maize brittle stalk2 encodes a COBRA-Like protein expressed in early organ development but required for tissue flexibility at maturity. Plant Physiol 2007, 145, 1444–1459. [Google Scholar]
- Wu, N.; Zhang, T.T.; Zhou, H.P.; Fan, J.H. Impact of inter-planting different rice varieties on the chemical components of rice stem. J. Yunnan Agric. Univ 2008, 23. [Google Scholar]
- Ookawa, T.; Ishihara, K.V. Difference of the cell wall components affecting the ding stress of the culm in relating to the lodging resistance in paddy rice. Jpn. J. Crop Sci 1993, 62, 378–384. [Google Scholar]
- Saxena, I.M.; Lin, F.C.; Brown, R.M.J. Identification of a new gene in an operon for cellulose biosynthesis in Acetobacter xylinum. Plant Mol. Biol 1991, 16, 947–954. [Google Scholar]
- Robert, S.; Mouille, G.; Höfte, H. The mechanism and regulation of cellulose synthesis in primary walls: Lessons from cellulose deficient Arabidopsis mutants. Cellulose 2004, 11, 351–364. [Google Scholar]
- Taylor, N.G.; Gardiner, J.C.; Whiteman, R.; Turner, S.R. Cellulose synthesis in the Arabidopsis secondary cell wall. Cellulose: Molecular and Structural Biology. Cellulose 2004, 11, 329–338. [Google Scholar]
- Somerville, C. Cellulose synthesis in higher plants. Annu. Rev. Cell Dev. Biol 2006, 22, 53–78. [Google Scholar]
- Xie, X.M.; Zhao, Y.H.; Huo, S.; Chen, H. Dynamic changes of enzyme activities related to lignin biosynthesis for elephant grass cultivars. Acta Agrestia Sin 2010, 18, 523–527. [Google Scholar]
- Rose, J.K.; Hadfield, K.A.; Labavitch, J.M.; Bennet, A.B. Temporal sequence of cell wall disassembly in rapidly ripening melon fruit. Plant Physiol 1998, 117, 345–361. [Google Scholar]
- Updegraff, D.M. Semimicro determination of cellulose inbiological materials. Anal. Biochem 1969, 32, 420–424. [Google Scholar]
- Müsel, G.; Schindler, T.; Bergfeld, R.; Ruel, K.; Jacquet, G.; Lapierre, C.; Speth, V.; Schopfer, P. Structure and distribution of lignin in primary and secondary cell walls of maize coleoptiles analyzed by chemical and immunological probes. Planta 1997, 201, 146–159. [Google Scholar]
- Zhao, D.Q.; Zhou, C.H.; Tao, J. Carotenoid accumulation and carotenogenic genes expression during two types of persimmon fruit (Diospyros kaki L.) development. Plant Mol. Biol. Report 2011, 29, 646–654. [Google Scholar]
- NCBI/BLAST-Basic Logic Alignment Search Tool. National Center for Biotechnology Information (NCBI): Bethesda, MD, USA, 2011. Available online: http://blast.ncbi.nlm.nih.gov/Blast.cgi accessed on 1 March 2012.
- Tamura, K.; Peterson, D.; Peterson, N.; Stecher, G.; Nei, M.; Kumar, S. MEGA5: Molecular evolutionary genetics analysis using maximum likelihood, evolutionary distance, and maximum parsimony methods. Mol. Biol. Evol 2011, 28, 2731–2739. [Google Scholar]
© 2012 by the authors; licensee Molecular Diversity Preservation International, Basel, Switzerland. This article is an open-access article distributed under the terms and conditions of the Creative Commons Attribution license (http://creativecommons.org/licenses/by/3.0/).