Preparation of Poly(oxybutyleneoxymaleoyl) Catalyzed by a Proton Exchanged Montmorillonite Clay
Abstract
:Introduction
Results and Discussion
Catalyst Structure
| Sample | Composition wt% | Yield% | ||||||||||
|---|---|---|---|---|---|---|---|---|---|---|---|---|
| SiO2 | Al2O3 | Fe2O3 | CaO | MgO | Na2O | K2O | TiO2 | SO3 | As | PF* | ||
| Raw-Maghnite | 69.39 | 14.67 | 1.16 | 0.30 | 1.07 | 0.50 | 0.79 | 0.16 | 0.91 | 0.05 | 11 | 0.0 |
| Mag-H 0.05M | 70.75 | 14.67 | 1.05 | 0.30 | 1.01 | 0.49 | 0.78 | 0.16 | 0.75 | 0.04 | 10 | 5.32 |
| Mag-H 0.10M | 71.00 | 14.60 | 1.00 | 0.30 | 0.98 | 0.39 | 0.78 | 0.16 | 0.55 | 0.04 | 10.2 | 11.62 |
| Mag-H 0.15M | 71.58 | 14.45 | 0.95 | 0.29 | 0.91 | 0.35 | 0.77 | 0.15 | 0.42 | 0.03 | 10.1 | 18.35 |
| Mag-H 0.20M | 71.65 | 14.20 | 0.80 | 0.28 | 0.85 | 0.30 | 0.77 | 0.15 | 0.39 | 0.01 | 10.6 | 22.54 |
| Mag-H 0.25M | 71.70 | 14.03 | 0.71 | 0.28 | 0.80 | 0.21 | 0.77 | 0.15 | 0.34 | 0.01 | 11 | 38.86 |
| Mag-H 0.30M | 73.20 | 13.85 | 0.70 | 0.27 | 0.78 | 0.20 | 0.76 | 0.13 | 0.31 | 0.02 | 9.78 | 30.62 |
| Mag-H 0.35M | 75.31 | 13.52 | 0.71 | 0.26 | 0.78 | 0.18 | 0.75 | 0.13 | 0.32 | 0.01 | 8.03 | 27.76 |
Polymerization and Product Characterization
| Experiment | [AA] (mol/l) | Maghnite-H+ 0.25M(%) | Yield % | Mn | Mw | Mw/Mn |
|---|---|---|---|---|---|---|
| 1 | 1.28 | 10 | 38.86 | 625 | 3628 | 5.80 |
| 2 | 1.28 | 2.5 | 18.43 | 691 | 4283 | 6.19 |
| 3 | 0.19 | 2.5 | 11.68 | 738 | 4921 | 6.66 |
Effect of the amount of Mag-H on the polymerization
| Time(hours) | 1 | 2 | 3 | 4 | 5 | 6 |
|---|---|---|---|---|---|---|
| Amount of Maghnite H+ | Yields (%) | |||||
| 2.5% | 1.23 | 2.5% | 1.23 | 2.5% | 1.23 | 2.5% |
| 5% | 3.25 | 4.92 | 7.97 | 11.56 | 21.35 | 28.61 |
| 10% | 4.93 | 7.22 | 11.93 | 17.76 | 28.13 | 38.86 |
Effect of the proportion of acetic anhydride on the polymerization
| Time(hours) | 1 | 2 | 3 | 4 | 5 | 6 |
|---|---|---|---|---|---|---|
| Acetic angydride | Yields (%) | |||||
| 0.19 mol/L | 1.23 | 2.54 | 4.36 | 5.26 | 11.24 | 16.91 |
| 1.28 mol/L | 3.76 | 4.86 | 6.38 | 9.85 | 15.34 | 21.41 |
Characterization of products

| Proton type | (a) | (b) | (c) | (d) |
|---|---|---|---|---|
| δ in ppm | 1.67 | 1.99 | 3.57 | 7.62 |


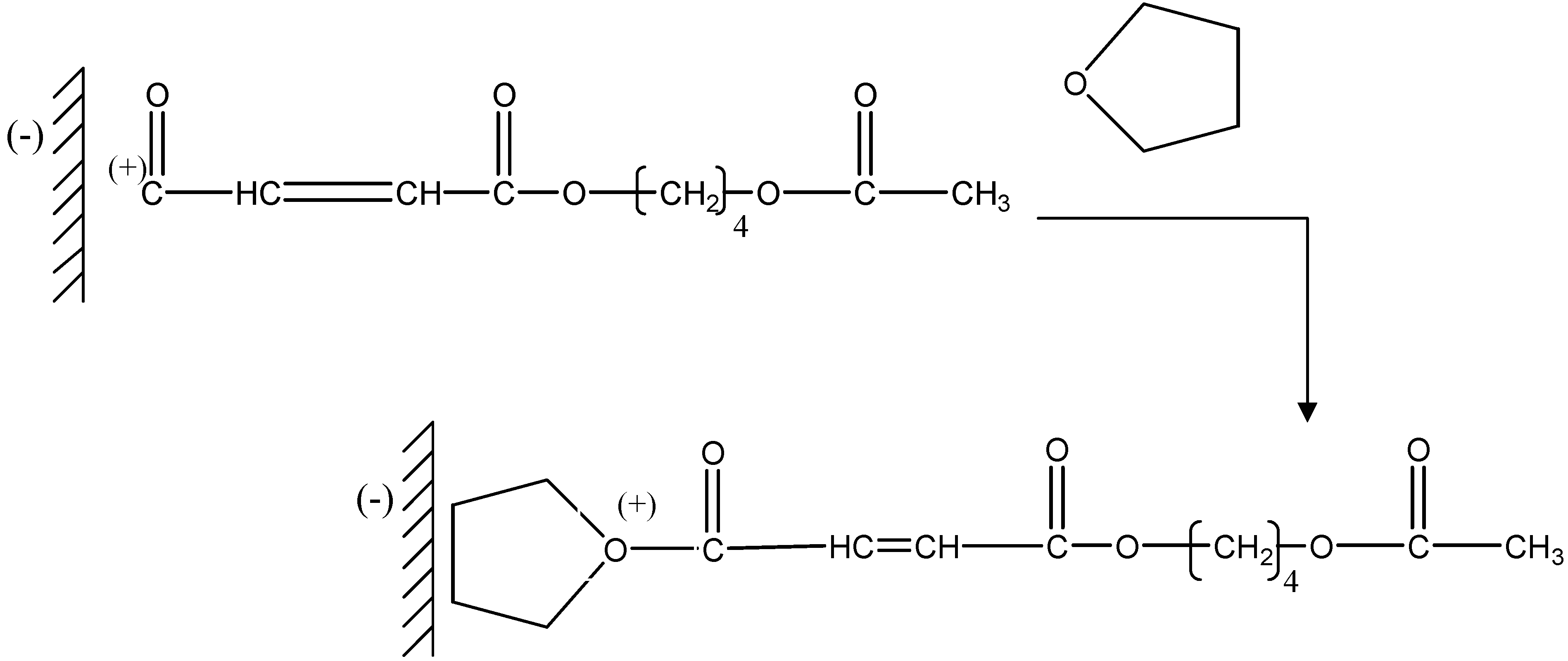
Mechanism of the reaction






Conclusions
Experimental
General
Catalyst Preparation
Polymerization Procedure and Polymer Characterization
References
- Belbachir, M. U.S. Patent. 09/535,984, 2001.
- Aldridge, L. P.; McLaughlin, J. R.; Pope, C. G. J. Catal. 1973, 30, 409. [Google Scholar]
- Forni, L. Catal. Rev. 1973, 8, 65.
- Fripiat, J. J.; Gastuche, M. C.; Richard, R. B. J. Phys. Chem. 1962, 66, 806.
- Theng, B. K. G. Dev. Sedimentol. 1982, 35, 197.
- Kowalska, M.; Cock, D.L. Chemosphere 1998, 36, 547.
- Evangetou, V.P.; Marsi, M.; Vandiviere, M.M. Plant Sol. 1999, 213, 63.
- Kwon, O.Y.; Park, K.W.; Jeong, S.Y. Bull. Korean Chem. Soc. 2001, 22, 678.
- Ballantine, J. A.; Davies, M.; O’Neil, R. M.; Patel, I.; Purnell, J. H.; Williams, K.J.; Thomas, J. M. J. Mol. Catal. 1984, 26, 57.
- Lee, D. G.; Nomeldin, N. Tetrahedron Lett. 1981, 22, 4889.
- Chiang, C. S.; McKillop, A.; Taylor, E. C.; White, J. F. J. Am. Chem. Soc. 1976, 98, 6750.
- Coenélis, A.; Laszlo, P. Synthesis 1985, 909.
- Ballantine, J. A.; Puenell, J. H.; Thomas, J. M. J. Mol. Catal. 1984, 26, 157.
- Hojabri, F. J. Appl. Chem. Biotechnol. 1971, 21, 87.
- Yahyaoui., A.; Belbachir, M.; Hachemaoui, A. Int. J. Mol. Sci. 2003, 4, 572.
- Thomas, C.L.; Hickey, J.; Stecker, G. Ind. Eng. Chem. 1950, 42, 866.
- Kaplan, H. U.S. Patent. 3,287,422, 1966.
- Hojabri, F. J. Appl. Chem. Biotechnol. 1971, 21, 87.
- Ballantine, J.A.; Davies, M.; Purnell, H. J. C. S. Chem. Comm. 1981, 427.
- Odian, G. La Polymerisation: Principes et Applications; Ed. Technica: New York, 1994; pp. 222–226. [Google Scholar]
- Breen, C.; Madejovà, J.; Komadel, P. J. Mater. Chem. 1995, 5, 496.
- Farmer, V.C. Infrared Spectra of Minerals; Farmer, V.C., Ed.; Mineralogical Society: London, 1974; p. 331. [Google Scholar]
- Moeke, H.H.W. In Infrared Spectra of Minerals; Farmer, V.C., Ed.; Mineralogical Society: London, 1974; p. 365. [Google Scholar]
- Madejovà, J.; Bednànikovà, E.; Komadel, P.; Cicel, B. Proc. 11th Conf. Chem. Miner. Petrol. Ceske Budéjovica 1990; Konta, J., Ed.; Charles University: Prague, 1993; p. 267. [Google Scholar]
- Belbachir, M.; Bensaoula, A. US Patent 6,274,527 B, 2001.
- Ferrahi, M.I.; Belbachir, M. Int. J. Mol. Sci. 2003, 4, 312.
- Hamilton, S.C.; Semlyen, J.A. Polymer 1997, 38, 1685.
- Vivas, M.; Contreras, J. Eur. Polym. J. 2003, 39, 43.
- Sample availability: Contact the corresponding author
© 2014 MDPI (http://www.mdpi.org). Reproduction is permitted for noncommercial purposes.
Share and Cite
Ferrahi, M.I.; Belbachir, M. Preparation of Poly(oxybutyleneoxymaleoyl) Catalyzed by a Proton Exchanged Montmorillonite Clay. Molecules 2004, 9, 968-977. https://doi.org/10.3390/91100968
Ferrahi MI, Belbachir M. Preparation of Poly(oxybutyleneoxymaleoyl) Catalyzed by a Proton Exchanged Montmorillonite Clay. Molecules. 2004; 9(11):968-977. https://doi.org/10.3390/91100968
Chicago/Turabian StyleFerrahi, Mohammed Issam, and Mohammed Belbachir. 2004. "Preparation of Poly(oxybutyleneoxymaleoyl) Catalyzed by a Proton Exchanged Montmorillonite Clay" Molecules 9, no. 11: 968-977. https://doi.org/10.3390/91100968
APA StyleFerrahi, M. I., & Belbachir, M. (2004). Preparation of Poly(oxybutyleneoxymaleoyl) Catalyzed by a Proton Exchanged Montmorillonite Clay. Molecules, 9(11), 968-977. https://doi.org/10.3390/91100968
