Next Article in Journal
Synthesis and Characterization of the Complexes of Pentane-2,4-dione with Nickel(II) and Cobalt(III): [Ni(acac)2]·0.5CH3OH and [Co(acac)2NO3]·2H2O (acac = Pentane-2,4-dione)
Previous Article in Journal
Quantum Chemical and Experimental Studies on the Mechanism of Alkylation of β-Dicarbonyl Compounds. The Synthesis of Five and Six Membered Heterocyclic Spiro Derivatives
 
 
Font Type:
Arial Georgia Verdana
Font Size:
Aa Aa Aa
Line Spacing:
Column Width:
Background:
Article

Asymmetric Synthesis and Antimicrobial Activity of Some New Mono and Bicyclic β-Lactams

by
A. A. Jarrahpour
1,*,
M. Shekarriz
1 and
A. Taslimi
2
1
Chemistry Department, College of Sciences, Shiraz University, Shiraz 71454, Iran
2
Institute of Standards and Industrial Research of Iran, Shiraz 71447, Iran
*
Author to whom correspondence should be addressed.
Molecules 2004, 9(11), 939-948; https://doi.org/10.3390/91100939
Submission received: 24 September 2004 / Accepted: 31 August 2004 / Published: 30 November 2004

Abstract

:
Reaction of the amino acid D-phenylalanine ethyl ester (4) with cinnamaldehyde gave chiral Schiff base 5, which underwent an asymmetric Staudinger [2+2] cycloaddition reaction with phthalimidoacetyl chloride to give the monocyclic β-lactam 6 as a single stereoisomer. Ozonolysis of 6 followed by reduction with lithium aluminum tri(tert-butoxy) hydride afforded the hydroxymethyl β-lactam 8. Treatment of 8 with methansulfonyl chloride gave the mesylated monocyclic β-lactam 9, which was converted to the bicyclic β-lactam 10 upon treatment with 1,8-diazabicyclo[5,4.0] undec-7-ene (DBU). Deprotection of the phthalimido group in β-lactams 6 and 10 by methylhydrazine and subsequent acylation of the free amino β-lactams with different acyl chlorides in the presence of pyridine afforded mono and bicyclic β-lactams 14a-d and 15a-d respectively. The compounds prepared were tested against Escherichia coli, Staphilococcus citrus, Klebsiella pneumanie and Bacillus subtillis. Some of these compounds showed potential antimicrobial activities.

Introduction

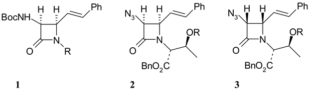
The β-lactam skeleton is the key structural element of the most widely used class of antimicrobial agents, the β-lactam antibiotics [1]. Among the various methods for constructing this pharmaceutically important four-membered ring, the ketene-imine cycloaddition, also known as the Staudinger reaction [2] has provided useful and economical entries to β-lactams, mainly due to the ready availability of both Schiff bases and ketenes [3]. The asymmetric syntheses of α-amino β-lactams can be divided into five categories: a) asymmetric induction from the imine component; b) asymmetric induction from the ketene component; c) double stereodifferentiating cycloadditions; d) carbacephem intermediates and e) 2-oxaisocephems and 2-isocephems [1]. The asymmetric induction in the reaction of achiral ketenes with chiral imines has been effected from imines derived from chiral aldehydes and achiral amines and also from imines derived from chiral amines and achiral aldehydes. Although it is believed that the former case is better for diastereoselectivity, it has been reported that the reaction of the imine derived from D-glucosamine and cinnamaldehyde with phthalimidoacetyl chloride and triethylamine furnished the β-lactam 1 as a single isomer [4]. It has also been found that the imine derived from the amino acid D-threonine upon treatment with azidoacetyl choride and triethylamine affords β-lactams 2 and 3 in a 95:5 stereoisomeric ratio [5]. Gunda has reported the use of imines derived from chiral amines in β-lactam syntheses giving various degrees of diastereoselectivity [6]. The reaction of fluoroacetyl chloride with the imine derived from p-anisidine and D-glyceraldehyde acetonide afforded the corresponding cis β-lactam as a single diastereomer [7]. High levels of asymmetric induction in reactions between Evans-Sjogren ketenes and imines derived from (R)- and (S)-α-amino acid esters have been reported [8].
Molecules 09 00939 i001
Hashimoto and his coworkers have used chiral imines derived from erythro 2-methoxy-1,2-diphenylethylamine and aromatic aldehydes to prepare β-lactams in good yields with high diastereoselectivity [9]. Recently, high levels of asymmetric induction have also been reported for monocyclic β-lactam formation [10,11]. Thus, we decided to synthesize some diastereoselective mono and bicyclic β-lactams using the asymmetric induction by the imine component and their antimicrobial activities against some pathogenic microorganisms have been tested.

Results and Discussion

D-Phenylalanine ethyl ester (4) was reacted with cinnamaldehyde in dry dichloromethane according to a reported method to afford the chiral imine phenylalanine(N-cinnamylidene) ethyl ester (5) in 85% yield [12]. A solution of phthalimidoacetyl chloride was slowly added at –10oC to a solution of chiral Schiff base 5 and triethylamine in dry methylene chloride. This method of addition produced the cis β-lactam 6 as a single stereoisomer in 80% yield [13,14,15,16]. The expected cis-configuration of 6 was confirmed by 1H-NMR, which showed a characteristic coupling constant of about 5 Hz for the β-lactam protons [17,18]. Ozonolysis of β-lactam 6 at –78oC afforded the formyl β-lactam 7 in 90% yield. The formyl β-lactam was reduced to the 4-hydroxymethyl β-lactam 8 in 60% yield by treatment with lithium tri(tert-butoxy)aluminium hydride in dry THF. Mesylation of 8 with methanesulfonyl chloride and triethylamine at –78oC in dichloromethane gave β-lactam 9. The mesyl β-lactam 9 was treated with 1,5-diazabicyclo[5.4.0] undec-5-ene (DBU) in 9:1 THF-DMF at reflux temperature for four hours to give 6-phthalimido-7-oxo-3-phenyl-1-azabicyclo[3.2.0] heptane-2-carboxylic acid ethyl ester (10) as a yellow solid in 20% yield (Scheme 1).
Scheme 1.
Scheme 1.
Molecules 09 00939 g001
Although the α-hydrogen in the NCHCO2Et group of 9 is more acidic than the benzylic hydrogens, the abstraction of benzylic hydrogen leads to the formation of five-membered ring which is thermodinamically more stable than the fused four-membered ring 11 that would result from the alternate cyclization.
Molecules 09 00939 i002
In addition, the absence of a singlet peak for the benzylic protons in 1H-NMR spectrum of 11 confirms the formation of bicyclic β-lactam 10. The IR spectrum showed the β-lactam carbonyl absorption at 1780 cm-1 for 10 which has increased a little due to fusing two rings and subsequently the amide resonance is lowered. We next turned to the deprotection of the phthalimido protecting groups of β-lactams 6 and 10 (Scheme 2).
Scheme 2.
Scheme 2.
Molecules 09 00939 g002
Among the different methods available for this kind of deprotection, the one using methylhydrazine worked best in this case [19,20,21,22] and a significant improvement in the yield and in the ease of isolation of the free amino β-lactam is noted when methylhydrazine is employed instead of the usual hydrazine. This is due to the decreased acidity of the by-product N-methylphthalhydrazide with respect to phthalhydrazide and hence no complex is formed with the free amine. Consequently there is no need to heat or for acid treatment of the reaction mixture. N-methylphthalhydrazide separates from a chloroform solution of the methylhydrazine-phthalisoimide adduct leaving the free amine in solution. Therefore the methylhydrazine method is most suitable for sensitive substrates [21]. Upon treatment with methylhydrazine, β-lactams 6 and 10 were converted to free amino β-lactams 12 and 13 respectively.Treatment of these mono and bicyclic β-lactams with benzoyl, phenoxyacetyl, cinnamoyl and phenylacetyl chloride in the presence of pyridine afforded β-lactams 14a-d and 15a-d in moderate yields

Biological Screening. Antimicrobial Activity Tests

The antimicrobial activity test was performed using the disk diffusion method [23] using ampicillin and gentamycin as the reference compounds. Some of the prepared compounds: 6, 7, 8, 10, 14a-d and 15a-d were tested against one strain each of a Gram positive bacteria (Staphylococcus citrus), a Gram negative bacteria (Escherichia coli), a Gram negative containing capsule (Klebsiella), and a Gram positive spore (Bacillus subtilis). As shown in Table 1, it was found that compounds 6, 14b and 14c were highly active against Bacillus subtilis and moderately active against Staphilococcus citrus. Other compounds were all inactive against these four pathogenic microorganisms.
Table 1. Results of antimicrobial activity tests of the synthetic monocyclic and bicyclic β-lactams.
Table 1. Results of antimicrobial activity tests of the synthetic monocyclic and bicyclic β-lactams.
Compound No.Microorganism
B. SubtilisK. PneumoniaeE. coliS. citrus
Ampicillin++++++++++++
Gentamycin++++++++++++
6+++--++
7----
8----
10----
14a----
14b+++--++
14c+++--++
14d----
15a----
15b----
15c----
15d----
Key to symbols: Highly active +++ (inhibition zone>12 mm); Moderately active ++ (inhibition zone 9-12 mm); Slightly active + (inhibition zone 6-9 mm); Inactive - (inhibition zone<6 mm).

Experimental

General

Melting points were determined in open capillary tubes in a Buchi 510 circulating oil apparatus and are uncorrected. Infrared spectra were recorded on a Perkin Elmer 781 spectrophotometer.1H-NMR spectra were recorded at room temperature for CDCl3 solutions, (unless otherwise stated) on a Jeol JNM-EX 90A FT NMR and Bruker Avance DPX 250 MHz spectrometers using tetramethylsilane as an internal standard. All chemical shifts are reported as δ values (ppm). Mass spectra were obtained on a GCMS-QP 1000 EX mass spectrometer (70 eV). The microorganism strains used in this study were β-lactam sensitive ones.

Ethyl α-amino-(N-cinnamylidene)-ß-phenyl propionate (5)

A mixture of cinnamaldehyde (1.50 ml, 10.00 mmol), D-phenylalanine ethyl ester (4, 2.00 g, 10.00 mmol), triethylamine (1.01 g, 10.00 mmol), and Na2SO4 (10.00g, 72.40 mmol) in dry methylene chloride (40.00 mL) was refluxed for 5 hours. The resulting mixture was filtered and washed with H2O (3 x 30 mL). The organic layer was separated and dried (Na2SO4). Evaporation of the solvent under reduced pressure gave the chiral Schiff base 5 as a solid which was recrystallized from ethanol (2.50 g, 81 %); m.p.130-132°C; 1H-NMR: 1.30 (3H, t, CH3), 3.45 (2H, d, PhCH2), 4.34 (2H, q, OCH2CH3), 4.40 (1H, t, CHCO2Et), 5.85 (1H, d, J=15Hz, PhCH=CH), 6.45 (1H, dd, J=15Hz, PHCH=CHCH), 7.20-7.40 (10H, m, 2Ph), 8.30 (CH=N); IR (KBr) (cm-1): 1640 (C=N), 1740 (COOEt); MS (m/z): 307 (M+), 235 (M- COOEt), 193 (M- PhCH=CHCH=N), 104 (PhCH2CH), 91 (PhCH2), 77 (Ph); Anal. Calc. for C20H21NO2: C, 78.15; H, 6.98; N, 4.56%; found: C, 78.20; H, 6.80; N, 4.60%

N-(α-Carboethoxy-β-phenylethyl)-3-phthalimido-4-styryl-2-azetidinone (6)

To a solution of chiral Schiff base 5 (3.07 g, 10.00 mmol) and triethylamine (1.01 g, 10.00 mmol) in dry methylene chloride (70 mL) at –10oC was added phthalimidoacetyl chloride (3.00 g, 15.00 mmol) in dry methylene chloride (30.00 mL) dropwise. After the addition was complete, the solution was stirred at room temperature for 24 hours, then the reaction mixture was washed with water (3 x 30 mL). The organic layer was separated and dried (Na2SO4), filtered and the solvent was evaporated under reduced pressure to give the β-lactam 6 as a solid that was recrystallized (from ethanol) in 70% yield; m.p. 152-154oC; 1H-NMR: 1.30 (3H, t, CH3), 3.45 (2H, d, PhCH2) 4.34 (2H, q, OCH2CH3), 4.40 (1H, t, CHCO2Et), 4.48 (1H, dd, J=5.5 Hz, CHCH=CH), 4.60 (1H, s, CHN(CO)2), 5.85 (1H, dd, PhCH=CH, J=16 Hz), 6.4 (1H, d, J=12 Hx, PhCH=CH), 7.20 (5H, m, PhCH2), 7.40 (5H, m, PhCH=CH), 7.76 (4H, m, C6H4(CO)2N), IR (KBr) (cm-1), 1780 (β-lactam CO), 1740 (CO2Et), 1730, 1770 (phthalimido CO); MS (m/z): 494 (M+), 421 (M+-CO2Et), 308 (M+-COCHPhtN), 234 (M+-CO2Et-COCHC6H4(CO)2N), 146 (C6H4(CO)2N), 104 (PhCH2CH), 91 (PhCH2); Anal. Calc. for C30H26N2O5: C, 72.86; H, 5.30; N, 5.66%; found: C, 72.80; H, 5.20; N, 5.70%

N-(α-Carboethoxy-β-phenylethyl)-3-phthalimido-4-formyl-2-azetidinone (7)

β-Lactam 6 (2.48 g, 5.00 mmol) in dry CH2Cl2 (50 mL) was saturated with N2 at –78oC, then a mixture of O3/N2 was bubbled in until KI-starch paper showed excess ozone (15 min), which was then removed by passing a stream of N2 for 10 min. Dimethyl sulfide (0.75 g, 12.00 mmol) was added and the temperature of the solution was allowed to rise to 25o over 1h. The reaction mixture was washed with H2O (3 x 40 mL) and with saturated brine (2 x 30 mL). The organic layer was separated and dried (Na2SO4). Evaporation of the solvent gave a syrup. The oily residue was heated under high vacuum for 20 hours at 50oC to remove benzaldehyde. The product 7 was obtained as a brownish oil (1.89 g, 90%); 1H-NMR: 1.30 (3H, t, CH3), 3.45 (2H, d, PhCH2), 4.34 (2H, q, OCH2CH3), 4.5 (1H, t, CHCO2Et), 4.75 (1H, dd, J=5.20, CHCHO), 5.30 (1H, d, J=5.30, CHN(CO)2), 7.25 (5H, m, PhCH2), 7.80 (4H, m, C6H4(CO)2N), 9.62 (1H, d, CHO); IR (CDCl3) (cm-1): 1790 (β-lactam CO), 1730, 1770 (phthalimido CO), 1760 (CO2Et), 1740 (CHO); MS (m/z): 420 (M+), 39 (M+-CHO), 105 (PhCH2CH2), 77 (Ph). Anal. Calc. for C23H20N2O6: C, 65.71; H, 4.79; N, 6.66%; found: C, 65.80; H, 4.69; N, 6.56%

N-(α-Carboethoxy-β-phenylethyl)-3-phthalimido-4-hydroxymethyl-2-azetidinone (8)

To aldehyde 7 (1.50 g, 3.50 mmol) in tetrahydrofuran (80 mL) at 0oC was added lithium tri(tert-butoxy)aluminium hydride (1.78 g, 7.00 mmol). After stirring under nitrogen for 3h at 0oC, the mixture was acidified with dilute hydrochloric acid (2%) to pH 5 and silica gel (1.00 g) was added. The suspension was stirred for 10 minutes, filtered and the solvent was evaporated. Ethyl acetate (60 mL) was added to the residue and the organic phase was washed with brine (3 x 30 mL), dried over Na2SO4 and the solvent was evaporated. The crude alcohol 8 was chromatographed on silica gel. Elution with chloroform-ethyl acetate (9:1) afforded 8 as an oil in 60% yield; 1H-NMR: 1.30 (3H, t, CH3), 3.45 (2H, d, PhCH2), 3.75 (2H, d, CH2OH), 4.34 (2H, q, CH2CH3), 4.40 (1H, t, CHCO2Et), 4.65 (1H, br, OH), 4.75 (1H, m, CHCH2OH), 5.30 (1H, d, J=5.20, CHCHCH2OH), 7.25 (5H, m, PhCH2), 7.80 (4H, m, C6H4(CO)2N); IR (CH2Cl2) (cm-1): 3300-3490 (OH), 1780 (β-lactam CO), 1765, 1720 (phthalimido CO), 1740 (CO2Et); MS (m/z) 422(M+), 421 (M+-1), 407 (M+-CH3), 236 (M+-COCHC6H4(CO)2N), 187 (COCHC6H4(CO)2N), 104 (PhCH2CH), 91(PhCH2), 77 (Ph); Anal. Calc. for C23H22N2O6: C, 65.40; H, 5.25; N, 6.63%; found: C, 65.38; H, 5.30; N, 6.70%.

N-(α-Carboethoxy-β-phenylethyl)-3-phthalimido-4-methansulfonyloxymethyl-2-azetidinone (9)

Methansulfonyl chloride (0.27 g, 2.35 mmol) in CH2Cl2 (3 mL) was added dropwise at –78oC to alcohol 8 (1.00 g, 2.35 mmol) and triethylamine (0.47 g, 4.7 mmol) in dry CH2Cl2 (25 mL). After the addition was complete, the mixture was washed with pH 4.40 buffer (0.20 M, NaH2PO4 solution) and water (2 x 30 mL), dried over Na2SO4 and the solvent was evaporated under reduced pressure. The residue was purified by column chromatography on silica gel. Elution with chloroform gave 9 as an oil in 60% yield; 1H-NMR: 1.30 (3H, t, CH3), 2.85 (3H, s, OSO2CH3), 3.45 (2H, d, PhCH2), 3.96 (1H, m , CHCH2OSO2CH3), 4.34 (2H, q, CH2CH3), 4.40 (1H, t, CHCO2Et), 4.80 (1H, d, J=5.2 Hz, CHCHN(CO)2), 7.25 (5H, m, PhCH2), 7.80 (4H, m, C6H4(CO)2N), IR (CH2Cl2)(cm-1): 1780 (β-lactam CO), 1765, 1725 (phthalimido CO), 1740 (CO2Et), 1380, 1180 (SO2); MS (m/z): 500 (M+), 485 (M+-CH3), 314 (M+-COCHC6H4(CO)2N), 187 (COCHC6H4(CO)2N), 95 (SO3CH3); Anal. Calc. for C24H24N2O8S: C, 57.59; H, 4.83; N, 5.60; S, 6.41%; found: C, 57.65; H, 4.90; N, 5.50; S, 6.50%

6-Phthalimido-7-oxo-3-phenyl-1-azabicyclo [3.2.0]heptane-2-carboxylic acid ethyl ester (10)

1,8-Diazabicyclo [5.4.0]undec-7-ene (1.53 g, 10.00 mmol) was added to mesylate β-lactam 9 (2.02 g, 5.00 mmol) in THF-DMF 9:1 (20 mL). The mixture was refluxed for four hours and then the solvent was evaporated. Ethyl acetate (30 mL) was added to the residue and washed with water (2 x 30 mL), dried over Na2SO4 and the sovlent was evaporated under reduced pressured to give the crude product which was chromatographed on silica gel. Elution with 1:1 n-hexane-dichloromethane afforded yellow crystals of 10 in 20% yield, m.p. 97oC; 1H-NMR: 1.30 (3H, t, CH3), 2.20 (2H, m, CHCH2CH), 3.85-3.90 (2H, m, CHCH2CH), 4.30 (2H, q, CH2CH3), 4.60 (1H, d, J=16 Hz, NCHCO2Et), 4.95 (1H, d, J=5.2 Hz, CH(CO)2N), 7.10 (5H, m, Ph), 7.50-7.80 (4H, m, C6H4(CO)2N); IR (KBr) (cm-1): 1780 (β-lactam CO), 1755, 1735 (phthalimido CO), 1720 (CO2Et); MS(m/z): 404 (M+), 389 (M+-CH3), 217 (M+-COCHC6H4(CO)2N), 187 (COCHC6H4(CO)2N), 77 (Ph); Anal. Calc. for C23H20N2O5: C, 68.31; H, 4.98; N, 6.93;%; found; C, 68.40; H, 5.05; N, 6.90%

General procedure for dephthaloylation of protected β-lactam 6

The monocyclic β-lactam 6 (4.94 g, 10.00 mmol) was dissolved in ethanol (25 mL) and methylhydrazine (0.046 g, 10.00 mmol) was added. After refluxing for 2 hours, the reaction mixture was stored overnight and then concentrated to dryness under vacuum. The residue (methylphthalhydrazide) was stirred for 2 hours with 5N HCl (25 mL) and filtered. The aqueous and acid extracts were combined and concentrated hydrochloric acid (3 mL) was added. After 2 hours, the aqueous solution was evaporated to give the β-lactam N-(α-carboethoxy-β-phenylethyl)-3-amino-4-styryl-2-azetidinone (12) as a hydrochloride salt (3.09g, 85%); m.p. of the free amino β-lactam 110°C; 1H-NMR: 1.30 (3H, t, CH3), 3.45 (2H, d, PhCH2) 4.34 (2H, q, OCH2CH3), 4.40 (1H, t, CHCO2Et), 4.48 (1H, dd, J=5.5 Hz, CHCH=CH), 4.60 (1H, m, CHNH2), 5.85 (1H, dd, PhCH=CH, J=16 Hz), 6.4 (1H, d, J=12 Hx, PhCH=CH), 7.20(5H, m, PhCH2), 7.40(5H, m, PhCH=CH); IR (KBr) (cm-1): 3300-3400 (H2N), 1780 (β-lactam CO), 1740 (ester CO); MS (m/z): 364 (M+), 348 (M+-NH2), 307 (M+-COCHNH2), 291 (M+-CO2Et), 104 (PhCH2CH), 91 (PhCH2);Anal. Calc. for C22H24N2O3: C, 72.51; H, 6.64; N, 7.69%; found: C, 72.45; H, 6.74; N, 7.75%.

General procedure for acylation of free amino β-lactam 12.

Pyridine (1.50 g, 18.96 mmol) was added to a solution of 12 (1.09 g, 3.00 mmol) followed by dropwise addition of phenylacetyl chloride (0.93 g, 6.00 mmol) in CH2Cl2 (20 mL). The solution was stirred for 2h. at 25°C, then it was washed successively with 10% HCl, 10% NaHCO3 and water, dried (MgSO4), filtered and the solvent was then evaporated to give the impure amide which was recrystallized from ethanol to give N-(α-carboethoxy-β-phenylethyl)-3-phenylacetylamino-4-styryl-2-azetidinone (14b, 3.86g, 80%); m.p. 95°C; 1H-NMR: 1.30 (3H, t, CH3), 3.45 (2H, d, PhCH2), 3.50 (2H, s, PhCH2CO), 4.34 (2H, q, OCH2CH3), 4.40 (1H, t, CHCO2Et), 4.48 (1H, dd, J=5.5 Hz, CHCH=CH), 4.60 (1H, s, CHNHCO), 5.85 (1H, dd, PhCH=CH, J=16 Hz), 6.4 (1H, d, J=12 Hx, PhCH=CH), 7.20-7.40 ( 15H, m, 3Ph); IR (cm –1): 3400-3450 (NH), 1775 (β-lactam CO), 1740 (ester CO), 1685 (amide CO); MS (m/z): 482 (M+), 409 (M+-CO2Et), 348 (M+-PhCH2CONH), 307 (M+-PhCH2CONHCHCO), 91 (PhCH2); Anal. Calc. for C30H30N2O4: C, 74.67; H, 6.27; N, 5.80%; found: C, 74.75; H, 6.20; N, 5.90%.
Compounds 14a , 14c, 14d and 15a-d were treated identically and their spectra were similar, except for the expected variations due to the amide side chains.

Acknowledgements

The authors wish to express their thanks to Research Council of Shiraz University for financial support (Grant No 83-GR-SC-31).

References

  1. Palomo, C.; Aizpurua, J. M.; Ganboa, I.; Oiarbide, M. Eur. J. Org. Chem. 1999, 3223.
  2. Staudinger, H. Liebigs Ann. Chem. 1907, 51, 356.
  3. Ternansky, R. J.; Morin, J. M. The Organic Chemistry of β-lactams; Georg, G.I., Ed.; VCH: New York, 1993; p. 257. [Google Scholar]
  4. Jarrahpour, A.A.; Shekarriz, M.; Taslimi, A. Molecules 2004, 9, 29.Barton, D.H.R.; Getau-Olesker, A.; Anaya-Mateos, J.; Leophax, A.J.; Gero, S.D.; Chiaroni, A.; Riche, C. J. Chem. Soc. Perkin Trans 1 1990, 3211.
  5. Bose, A. K.; Manhas, M. S.; Van der Veen, J. M.; Bari, S. S.; Wagle, D. R. Tetrahedron 1992, 48, 4831.
  6. Gunda, T. E.; Sztaricskai, F. Tetrahedron 1997, 53, 7985.
  7. Araki, K.; O’Toole, J. C.; Weilch, J. T. Bioorg. Med. Chem. Lett. 1993, 13, 2457.Weilch, J. T.; Araki, K.; Kawcki, R.; Wichtowsk, J. A. J. Org. Chem. 1993, 58, 2454.
  8. Ojima, I. Acc. Chem. Res. 1995, 28, 383.Ojima, I.; Delaloge, F. Chem. Soc. Rev. 1997, 26, 372.
  9. Hashimoto, Y.; Ogasawara, T.; Hayashi, M.; Saigo, K. Heterocycles 2000, 52, 1001.
  10. Arunkumar, N.; Keyan, W.; Ramamurthy, V.; Scheffer, J. R.; Brain, P. Org. Lett. 2002, 4, 1443.
  11. France, S.; Wack, H.; Hafez, A. M.; Taggi, A. E.; Witsil, D. R.; Lectka, T. Org. Lett. 2002, 4, 1603.
  12. Hakimelahi, G. H.; Jarrahpour, A. A. Helv. Chim. Acta. 1989, 72, 1501.
  13. Mukerjee, A. K.; Singh, A. K. Tetrahedron 1978, 34, 1731.
  14. Doyle, T. W.; Belleau, B.; Luh, B. Y.; Conway, T. T.; Menord, M.; Douglas, J. L.; Chu, D. T. W.; Lim, G.; Morris, L. R.; Rivest, P.; Cosey, M. Can. J. Chem. 1977, 55, 484.
  15. Bose, A. K.; Spiegelman, G.; Manhas, M. S. J. Am. Chem. Soc. 1968, 90, 4506.
  16. Palomo, C.; Aizpurua, J. M.; Gareia, J. M.; Galarza, R.; Legido, M.; Urchegui, R.; Roman, P.; Luque, A.; Server-Carrio, J.; Linden, A. J. Org. Chem. 1997, 62, 2070.
  17. Kagan, H. B.; Basselier, J. J.; Luche, J. L. Tetrahedron Lett. 1964, 941.
  18. Decazes, P. J.; Luche, J. L.; Kagan, H. B. Tetrahedron Lett. 1970, 3661. [Google Scholar]
  19. Wolfe, S.; Hasan, S. K. Can. J. Chem. 1970, 48, 3572.
  20. Kukolja, S.; Lammert, S.R. J. Am. Chem. Soc. 1975, 97, 5582.
  21. Sheehan, J. C.; Ryan, J. J. J. Am. Soc. 1951, 73, 4367.
  22. Sheehan, J. C.; Dadic, M. J. Heterocycl. Chem. 1968, 5, 779.
  23. Finegold, S. M.; Martin, W. J. Diagnostic Microbiology, 6th ed.; Mosby: London, 1982; p. 450. [Google Scholar]
  • Sample Availability: Available from the authors.

Share and Cite

MDPI and ACS Style

Jarrahpour, A.A.; Shekarriz, M.; Taslimi, A. Asymmetric Synthesis and Antimicrobial Activity of Some New Mono and Bicyclic β-Lactams. Molecules 2004, 9, 939-948. https://doi.org/10.3390/91100939

AMA Style

Jarrahpour AA, Shekarriz M, Taslimi A. Asymmetric Synthesis and Antimicrobial Activity of Some New Mono and Bicyclic β-Lactams. Molecules. 2004; 9(11):939-948. https://doi.org/10.3390/91100939

Chicago/Turabian Style

Jarrahpour, A. A., M. Shekarriz, and A. Taslimi. 2004. "Asymmetric Synthesis and Antimicrobial Activity of Some New Mono and Bicyclic β-Lactams" Molecules 9, no. 11: 939-948. https://doi.org/10.3390/91100939

APA Style

Jarrahpour, A. A., Shekarriz, M., & Taslimi, A. (2004). Asymmetric Synthesis and Antimicrobial Activity of Some New Mono and Bicyclic β-Lactams. Molecules, 9(11), 939-948. https://doi.org/10.3390/91100939

Article Metrics

Back to TopTop