Abstract
By using broken lines to represent coordination interactions in organometallic and other coordinated compounds, we can draw structures satisfying the valencies of the atoms present. These broken lines should be used to replace many false single covalent bonds now used to depict organometallic and coordinated compounds. Chemical drawing software should not recognize such broken lines as single covalent bonds and they should be ignored. An example of confusing and erroneous structural representation of organometallics and coordination compounds is discussed.
Introduction
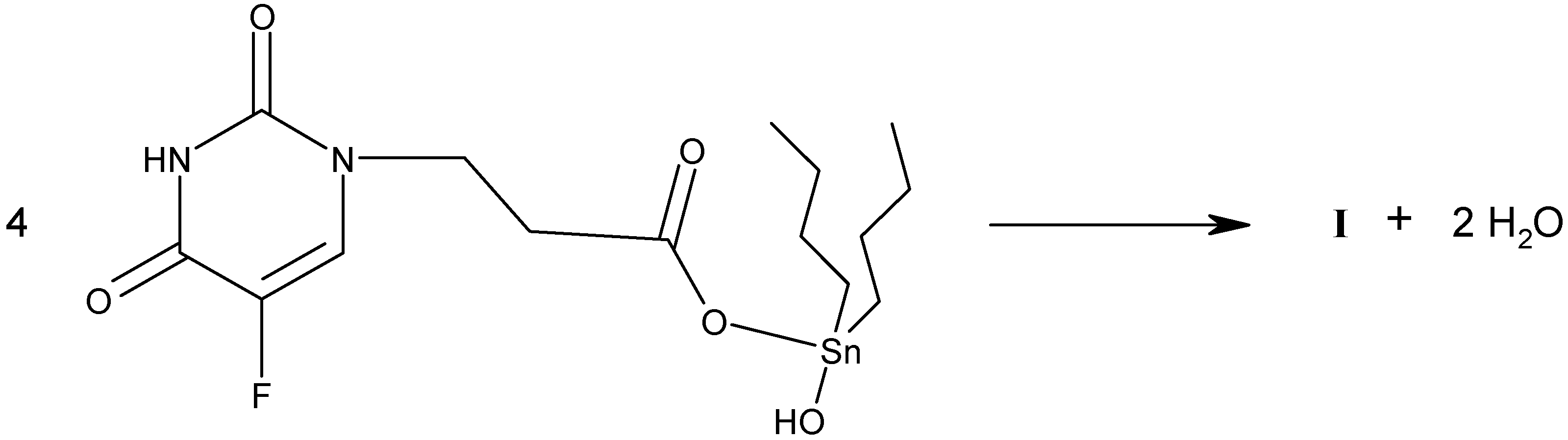
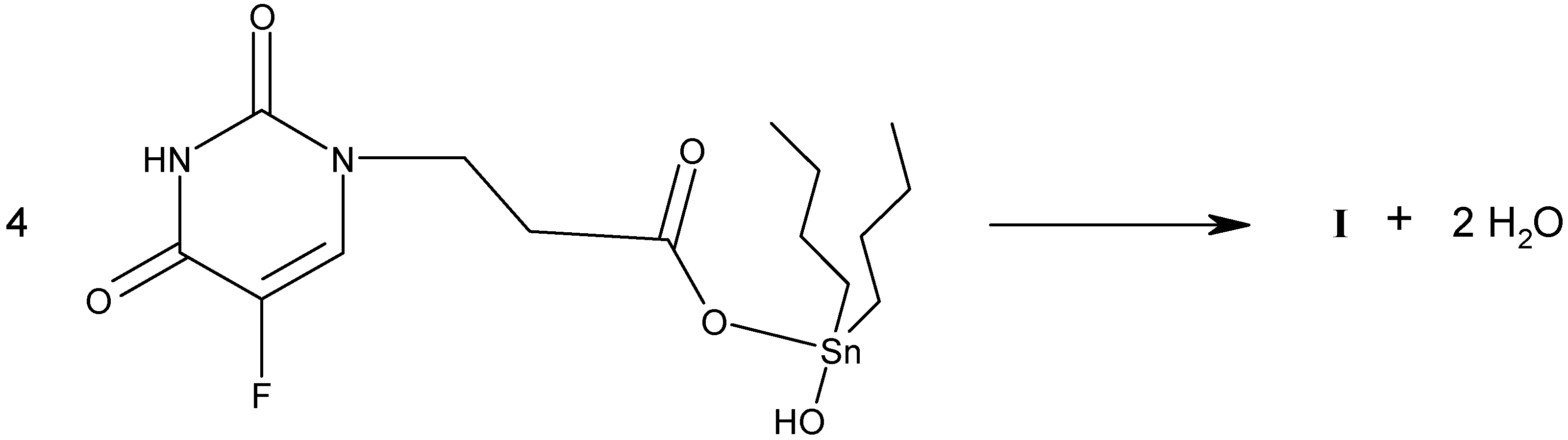
In recent papers [1], the original drawing of structure I depicts extended valencies at 6 atoms (four Sn and two O), as easily identified by most chemical drawing software packages (Figure 1). According to this structural diagram the unit formula would be 2 C30H49F2N4O9Sn2 (or 2× C30H49F2N4O9Sn2). However, according to the reaction scheme (see Scheme 1) given in the original papers [1], the formula of the starting material is C15H25FN2O5Sn, therefore the correct molecular formula for product I should be 2 C30H48F2N4O9Sn2 (or 2 × C30H48F2N4O9Sn2) [2].
Figure 1.
Structure I as drawn in the original paper [1].
Figure 1.
Structure I as drawn in the original paper [1].

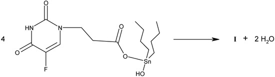
Scheme 1.
Scheme 1.

This occurrence reminds us of the frequent observation of confusing, and, in not rare cases, erroneous chemical drawings in Organic Chemistry [3,4]. Moreover, in structural drawings of organometallics and complexes, one can often find even more frequent, confusing or erroneous cases. In this short paper I would like to recommend the proper use of dashed lines (or broken lines) in drawing molecular structures to avoid confusion and errors.
Results and Discussion
In a recent paper [3], we have proposed that various bonds (see Figure 2) commonly used for specification of absolute configuration, e.g. the two types of solid wedge and broken wedge representations most frequently seen in literature (a and b), can be replaced by only one kind of wedge, namely the solid wedge (c and d). Only one wedge should be used when representing a quadrivalent center (d). The three normal bonds are distributed on a cone opposite to the wedge. The flexibility, simplicity, unambiguity and usefulness for R-S specification of the one-wedge system are discussed, as well as its esthetic appeal [3].
Figure 2.
One-wedge convention for stereochemical representations.
Figure 2.
One-wedge convention for stereochemical representations.

One kind of wedge should also be enough for drawing organometalic compounds and complexes. Therefore, we can apply broken lines, broken bars, etc., for the representation of other kinds of interactions between atoms in complicated structural drawings.
Thus, the molecular structure of the product I in the aforementioned paper [1] should be more properly drawn as 1. Indeed, the structure registered in the MDPI database for the available sample of product I is 1 [5]. Consequently, the correct depiction of the structure of the dimer of 1 mentioned in the paper [1] should be 2. Its formula is 2 C30H48F2N4O9Sn2 (or 2 × C30H48F2N4O9Sn2).
In structure 2, the two single bonds in the original drawing are changed to double bonds (red) and the other four single bonds appear as broken lines. It will be misleading if the red double bonds were changed to single bonds. If the normal single bonds are used, then the two C (red) centers should have a positive charge:
Otherwise each of the two carbons (red C) will carry a hydrogen atom and the structure will be an anion with two negative charges (4). The formula will then be 2 [C30H49F2N4O9Sn2]− or 2 × [C30H49F2N4O9Sn2]−.
Finally, in the same paper [1], the same corrections should be applied for another product described, namely compound II [6]. The plausible structure might be correctly given as 5 [7].
Conclusions
To summarize, broken lines should be used to replace the many false single covalent bonds now used to depict organometallic and coordination compounds. One example is shown in formula 2. Such broken lines should not be recognized as single covalent bonds by chemical drawing software and they should be ignored when the chemical valency is considered.
References and Notes
- Zuo, D.-S.; Jiang, T.; Guan, H.-S.; Wang, K.-Q.; Qi, X; Shi, Z. Synthesis, Structure and Antitumor Activity of Dibutyltin Oxide Complexes with 5-Fluorouracil Derivatives. Crystal Structure of [(5-Fluorouracil)-1-CH2CH2COOSn(n-Bu)2]4O2. Molecules 2001, 6, 647–654. (available online at http://www.mdpi.org/molecules/papers/60800647.pdf). [Google Scholar] (b) This paper is also available in another journal: Zuo, D.-S.; Jiang, T.; Guan, H.-S.; Wang, K.-Q.; Qi, X; Shi, Z. Synthesis and Characterization of Tribenzyltin Heteroaromatic Carboxylates and Crystal Structure of Tribenzyltin 4-Pyridinecarboxylate. Chinese J. Chem. 2001, 19, 1141–1145. (see: http://202.127.145.69/chub/zghx/19111141.pdf). [Google Scholar]
- In [1], there are three errors (indicated in red) in the reported CHN analysis of product I: "Calculated for C30H46F2N4O9Sn2: C 40.81, H , N 6.45, Sn 26.91; Found: C 40.56, H , N 6.28, Sn 26.91". The found value "H, ” is an error that however closely matches the wrong, calculated value of "H, ". The correct formula is 2 C30H48F2N4O9Sn2 (or 2 × C30H48F2N4O9Sn2): and the calculated values should therefore be C, 40.76; H, , etc. The wrong formula also appears in the section describing the crystal structure determination.
- Lin, S. -K.; Patiny, L.; Yerin, A.; Wisniewski, J. L.; Testa, B. One-Wedge Convention for Stereochemical Representations. Enantiomer 2000, 5, 571–583. (The html version is available at http://www.mdpi.org/molecules/wedge/, while the pdf version is available at http://www.unibas.ch/mdpi/molecules/wedge/wedge2.pdf). [Google Scholar] Lin, S. -K. A proposal for the representation of the stereochemistry of quatrivalent centres. Chirality 1992, 4, 274–278. [Google Scholar]
- Juaristi, E.; Welch, C. J. Configurational Drawings. Enantiomer 1997, 2, 473–474. [Google Scholar] Configurational Drawings: Responses from Readers. Enantiomer 1999, 4, 483–484.
- Product I (structure 1) described in [1] is available as MDPI sample 19395. For more information, visit the http://www.mdpi.org/molmall website.
- Product II (structure 5) described in [1] is available as MDPI sample 19396. For more information, visit the http://www.mdpi.org/molmall website.
- In [1], there are also errors in the formula and the analytical data for the product II. The molecular formula for II should be 2 C28H44F2N4O9Sn2 or 2 × C28H44F2N4O9Sn2, not 2 C26H38F2N4O9Sn2. Calculated values should be C, 39.29; H, 5.18; etc., for C28H44F2N4O9Sn2.
© 2002 by MDPI (http://www.mdpi.org). Reproduction is permitted for noncommercial purposes.