Abstract
Correlations of AM1 and PM3 theoretical data, 13C-NMR substituent chemical shifts (13C-SCS) and IR carbonyl group wave numbers [ν(C3═O)] were studied using dual substituent parameter (DSP) models for 5-substituted indole-2,3-diones. For the C7 atom a reverse substituent effect attributed to extended π-polarization was observed. On the other hand, the DSP approaches for the C3 atom showed normal substituent effects with some contribution of reverse effect supported strongly by 13C-SCS correlations. In the ν(C3═O) and p(C3═O) DSP correlations the field effect contribution predominates over the resonance effect, which justifies the using of earlier suggested vibrational coupling (V-C) model for 5- and 6-substituted indole-2,3-diones.
Introduction
Indole-2,3-dione (isatin) derivatives have shown a wide scale of biological activities. Many of them are antibacterial, antifungal and anticonvulsant compounds [1,2,3]. Moreover, some isatin derivatives exhibit remarkable anti-HIV [4] and cytostatic activity [5]. Recently the substituent effects and the phenomenon of vibrational coupling have been studied in a series of 5- and 6-substituted indole-2,3-diones using IR, NMR and theoretical AM1 data [6]. It was shown that the two ν(C═O) absorption bands of isatins could be attributed to the symmetric and the asymmetric stretching vibrational modes in the mechanically coupled cyclic α-dicarbonyl system. Consequently a vibrational coupling (V-C) model was suggested for mono substituent parameter (MSP) correlations of IR spectral data of 5- and 6-substituted derivatives.
The aim of this work was to study and compare Reynolds’ and Taft’s dual substituent parameter (DSP) models [7] for correlations of theoretical (AM1 and PM3) as well as 13C-NMR and IR spectral data of a series of 5-substituted indole-2,3-diones (1-8) (Scheme 2).
Results and Discussion
The correlations of carbonyl vibrational wave numbers ν(C3═O) of the series of compounds 1 – 8 using DSP Reynolds’ and Taft’s models (for σR = σRo) show the following results:
| Reynolds’ model: | ρF = 3.22, ρR = 3.37 | Taft’s model: | ρF = 3.80, ρF = 3.09 |
| R = 0.965 | R = 0.982 | ||
| F = 58.9, f = 0.289 | F = 68.4, f = 0.221 |
Generally the Taft’s model approach gave statistically more significant results than the Reynolds’ model for both qC and qM correlations. Almost identical correlations were found for the qC and qM property for given atom. Hence we will use the qM value as a representative for interpretation of Taft’s model correlations.
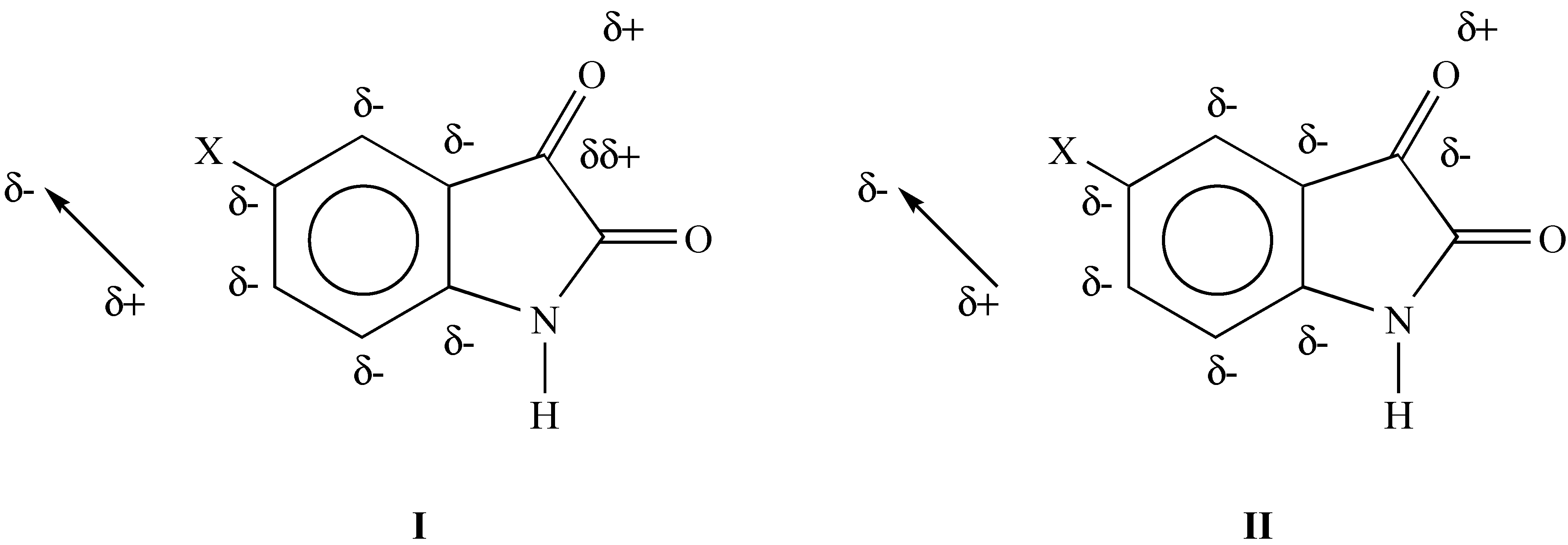
The best-chosen resonance parameters were σRBA values for the carbon atoms and σRo constants for the oxygen atom of the C3=O group. This may justify the lower quality behavior of Reynolds’ model mentioned earlier for carbon atoms since this uses σRo values while the best chosen resonance parameter in Taft’s model is σRBA. According to Taft’s model the atoms used in correlations can be classified into two groups: i) those within the benzene ring, namely C7 and C7a and ii) those outside the benzene ring, such as C3 and O3’. The atoms C7 and C7a alternate in charge sign similarly to their corresponding ρI and ρR values, ρI and ρR being negative for C7 and indicating a reverse resonance and field effects respectively. The C7 atom represents a meta-position in 5-X-isatin series. A similar effect was observed for α-carbon atoms of the side chains in p-disubstituted benzenes on probing 13C NMR substituent chemical shifts (13C SCS) [14]. Craik et al. [14] have proposed two types of field π-polarizations, namely localized and extended π-polarization. It is believed that the localized π-polarization accounts for non-terminal atoms, whereas both localized and extended π-polarizations contribute to electron charge density at terminal atoms. In our case the reverse substituent effect at the C7 site can be attributed to extended π-polarization, which predominates over the localized π-polarization in analogy to [8]. This effect can be schematically drawn as structures I and II, respectively (Scheme 1).
Scheme 1.
Scheme 1.

It should be noted that it is not necessary to have equal π-polarization at the benzene ring in 5-X-isatins, since the benzene ring is not symmetrically substituted. The data in Table 3 show that the reverse resonance effect in position 7 is larger than the reverse field effect. AM1 charge densities and Mulliken charges seem to overestimate the importance of reverse resonance effect, which is similar to the results published for p-substituted nitrobenzenes [8]. The ρI and ρR values at the C7 atom are for both quantities qM and qC smaller in absolute values than the corresponding ρI and ρR at the C7a atom. This resembles the results obtained in similar correlations at non-conjugative sites in aromatic compounds (meta-position) [9] or at α-carbon atoms of side chains in p-disubstituted benzenes [10]. The C7 atom in compounds 1 – 8 is a non-conjugative site with the substituent on the C5 atom and represents a meta-position.
Taft’s DSP correlation for qM(C7a) is similar to those for 13C SCS in p-disubstituted benzenes for several reasons: i) the best chosen resonance parameter is σRBA, ii) the field and resonance effects are normal and iii) the ρR/ρI ratio is twice [11].
DSP correlation of qM(C3) reveals normal substituent effect (see Table 3). The qM(O3’) correlation using Taft’s DSP approach shows more contribution of field than resonance effect at the oxygen atom. This agrees with the proposed structure of π-polarization giving more weight to field effect at the oxygen atom of C3=O group. However, due to the existing of some reverse effect at C3 atom the total ρI and ρR values for qM(C3) are decreased when compared with ρI and ρR for qM(O3’) (see I in Scheme 2). The reverse substituent effect at C3 site is very typical and obvious for α-carbon atom of side chains in p-disubstituted benzenes and is indicated by correlation results for 13C SCS of C3 atom in series of compounds 1 – 8:
13C SCS = -3 σI – 0.89 σRo
R = 0.990
F = 80.2, f = 0.087
R = 0.990
F = 80.2, f = 0.087
Also reverse substituent effect of 13C SCS was observed when Hammett σp- constants were used for the same set of compounds:
13C SCS = -1.72 σp- – 0.2
R = -0.950
F = 38.8, f = 0.211
R = -0.950
F = 38.8, f = 0.211
The later results are in a good agreement with those obtained for p-disubstituted benzenes [10,11,12]. For Taft’s DSP correlations the wave numbers of the stretching vibration of C3=O group calculated using AM1 method, were employed:
νc(C3═O) = 3.8 σI + 3.09 σRo
R = 0.982
F = 88.4, f = 0.221
R = 0.982
F = 88.4, f = 0.221
The above results give more weight to the field effect than resonance effect contribution of the substituent to the ν(C3═O) values. The increase of the field effect is even more for the correlation of bond orders (calculated by PM3 method) and is twice of than the resonance effect contribution:
p(C3═O) = 0.0173 σI + 0.0092 σRo
R = 0.970
F = 55.3, f = 0.117
R = 0.970
F = 55.3, f = 0.117
These observations partly justify the use of the vibrational coupling (V-C) model suggested recently [6] for Hammet type correlations of the IR stretching vibrational wave numbers of 5- and 6-substituted isatins.
Conclusions
The following conclusions may be drawn on the basis of the above discussed results for 5‑substituted indole-2,3-diones:
- 1)
- Application of the Taft’s model provides always better correlation results for both Coulson charge densities and Mulliken charges than the use of Reynolds model.
- 2)
- For the C7 site a reverse substituent effects was observed and is believed to be connected with the extended π-polarization.
- 3)
- The DSP correlation analysis for the C3 atom of the investigated molecules shows a normal substituent effect.
- 4)
- The Taft’s model DSP correlations for C3=O bond vibrational wave numbers and bond orders show that the contribution of the field effect to this bond is roughly twice the contribution of the resonance effect.
- 5)
- The previously reported vibrational-coupling model proposed on the basis of MSP correlations was confirmed using the results of DSP correlations studied in this work.
Experimental
The 13C NMR data (in DMSO-d6) and IR data (in CHCl3) of 5-substituted indole-2,3-diones (1-8, Scheme 2) were reported previously [6] and their selection for requirements of this study is listed in Table 1.
Scheme 2.
Scheme 2.

Semiempirical molecular orbital calculations for Coulson atomic charge densities (qC), Mulliken charges (qM) and bond orders (p) were done by AM1 Hamiltonian [13] using the AMPAC program package [14]. Geometries were completely optimized without any restrictions using the keyword PRECISE. The selected AM1 and PM3 theoretical data for 5-substituted indole-2,3-diones (1-8) are given in Table 2.
Table 1.
Selected IR and 13C NMR spectral dataa for 5-substituted indole-2,3-diones (1-8)
| Compound | 1 | 2 | 3 | 4 | 5 | 6 | 7 | 8 |
| 13C SCS C3)b ppm | 184.33 | 184.56 | -d | 184.92 | 183.29 | 183.12 | 182.31 | -d |
| ν(C3=O)c cm-1 | 1744.0 | 1740.1 | 1744.0 | 1744.8 | 1750.8 | 1750.4 | 1749.0 | 1753.6 |
aTaken from[6]. bMeasured in DMSO-d6. cMeasured in CHCl3. dNot measured.
Table 2.
Selected AM1 and PM3 theoretical data for 5-substituted indole-2,3-diones 1-8
| Comp. | AM1 | PM3 | ||||||||
| qC(C3) | qM(C3) | qC(C7) | qM(C7) | qC(C7a) | qM(C7a) | qO(C3’) | qM(C3’) | νc(C3=O)a | p(C3=O) | |
| 1 | 0.2710 | 0.3065 | -0.1857 | -0.2398 | 0.1110 | 0.1261 | -0.2674 | -0.2963 | 2134 | 1.9538 |
| 2 | 0.2686 | 0.3036 | -0.1488 | -0.1991 | 0.0727 | 0.0883 | -0.2714 | -0.2999 | 2135 | 1.9578 |
| 3 | 0.2708 | 0.3059 | -0.1811 | -0.2342 | 0.1045 | 0.1195 | -0.2690 | -0.2978 | 2134 | 1.9535 |
| 4 | 0.2692 | 0.050 | -0.1611 | -0.2139 | 0.0976 | 0.1128 | -0.2619 | -0.2906 | 2135 | 1.9611 |
| 5 | 0.2781 | 0.3080 | -0.1880 | -0.2416 | 0.1245 | 0.1392 | -0.2591 | -0.2881 | 2135 | 1.9589 |
| 6 | 0.2709 | 0.3069 | -0.1785 | -0.2321 | 0.1126 | 0.1276 | -0.2612 | -0.2901 | 2135 | 1.9589 |
| 7 | 0.2731 | 0.3111 | -0.2016 | -0.2510 | 0.1558 | 0.1703 | -0.2420 | -0.2712 | 2137 | 1.9678 |
| 8 | 0.2732 | 0.3099 | -0.2042 | -0.2579 | 0.1389 | 0.1535 | -0.2572 | -0.2863 | 2136 | 1.9598 |
aCalculated wave numbers (cm-1)
The statistical result for DSP modeling of AM1 charge densities and Mulliken charges for 5-substituted isatins (1-8) according to both Reynolds’ and Taft’s models [7] using equation q(A) = ρF σI + ρR σR + q(A)H and σI and σR values taken from [15,16,17,18] are given in Table 3.
Table 3.
DSP correlations for AM1 charge densities and Mulliken charges of compounds 1-8
| ρF | ρR | R | Fa | fb | ρF | ρR | R | Fa | fb | |
| qC(C3)c | 0.0012 | 0.0070 | 0.950 | 78.7 | 0.3302 | 0.0010 | 0.0051 | 0.965 | 87.1 | 0.2186 |
| qM(C3)c | 0.0041 | 0.0111 | 0.982 | 69.3 | 0.2119 | 0.0046 | 0.0084 | 0.966 | 95.3 | 0.2097 |
| qC(C7)c | -0.0058 | -0.0866 | 0.960 | 66.0 | 0.2521 | -0.0104 | -0.0665 | 0.979 | 67.0 | 0.2122 |
| qM(C7)c | -0.0071 | -0.0890 | 0.964 | 69.3 | 0.2481 | -0.0107 | -0.0686 | 0.982 | 70.5 | 0.1117 |
| qC(C7a)c | -0.0425 | 0.1070 | 0.985 | 85.3 | 0.1083 | 0.0461 | 0.0815 | 0.990 | 98.4 | 0.1002 |
| qM(C7a)c | 0.0415 | 0.1065 | 0.985 | 86.7 | 0.1073 | 0.0452 | 0.0802 | 0.991 | 113.7 | 0.1013 |
| qC(O3’)d | 0.0249 | 0.0166 | 0.975 | 68.0 | 0.2613 | 0.0241 | 0.0153 | 0.984 | 83.5 | 0.2411 |
| qM(O3’)d | 0.0250 | 0.0175 | 0.976 | 67.9 | 0.2791 | 0.0253 | 0.0160 | 0.983 | 82.3 | 0.2489 |
aFisher – Snedecor test for parameters significant at the 95 % level. bf-Test i.e. standard deviation/root mean square error of data (sd/rmse) cσR = σRBA. dσR = σRo.
Acknowledgements
The authors appreciate the financial support of the Scientific Grant Agency of the Ministry of Education of Slovak Republic (grant No. VEGA 1/7399/20).
References and Notes
- Stojceva-Radovanovic, B.C.; Andjekovic, S.S. J. Serb. Chem. 1998, 63, 397.
- Rehman, A.-U.; Subhan, A.S; Iqbal, C.M.; Azeen, A.; Rehman, A.-U. J. Chem. Soc. Pak. 1997, 19, 239.
- Singh, G.S.; Singh, T.; Lakhan, R. Indian J. Chem., Sect. B: Org. Incl. Med Chem. 1997, B36, 951.
- Pandeya, S.N; Srivam, D.; Nath, G.; DeClercq, E. Sci. Pharm. 1999, 67, 103.
- Falsone, G.; Cateni, F.; El-Alali, A.; Papaiannu, A.; Ravalico, L.; Furlani, A. Pharmacol. Let. 1992, 2, 104.
- Radhy, H.A.; Fadhil, G.F.; Perjéssy, A.; Kolehmainen, E.; Fabian, W.M.F.; Šamalíková, M.; Laihia, K.; Šusteková, Z. Heterocycl. Commun. 2001, 7, 387.
- Fadhil, G.F. Collect. Czech. Chem. Commun. 1993, 58, 385.
- Craik, D.J.; Brownlee, R.T.C. Progr. Physic. Org. Chem. 1983, 14, 1.
- Craik, D.J. Substituent Effects on Nuclear Shielding, Annual Reports on NMR Spectroscopy; Academic Press: London, 1983. [Google Scholar]
- Al-Shawi, S.A.O. Ph.D. Thesis, University of Basrah, Basrah, 1998.
- Al-Amood, K.H. M.Sc. Thesis, University of Basrah, Basrah, 1999.
- Saleh, B.A. M.Sc. Thesis, University of Basrah, Basrah, 1999.
- Dewar, M.J.S.; Zoebisch, E.G.; Healy, E.F.; Stewart, J.J.P. J. Am. Chem. Soc. 1985, 107, 3902.
- AMPAC 6.55, 1994, Semichem, 7128 Summit, KS 66216, USA.
- Ehrenson, S.; Brownlee, R.T.C.; Taft, R. W. Progr. Phys. Org. Chem. 1973, 10, 1.
- Exner, O. Advances in Linear Free Energy Relationships; Chapman, N. B., Shorter, J., Eds.; Plenum Press: London, 1972. [Google Scholar]
- Reynolds, W.F.A.; Gomes, A.; Maron, A.; McIntyre, D.W.; Tanin, A.; Hamer, G.K.; Peat, I.R. Can. J. Chem. 1983, 61, 2376.
- Levitt, L.S.; Widing, H. F. Progr. Phys. Org. Chem. 1976, 12, 119.
- Sample Availability: Available from the authors.
© 2002 by MDPI (http://www.mdpi.org). Reproduction is permitted for noncommercial purposes.