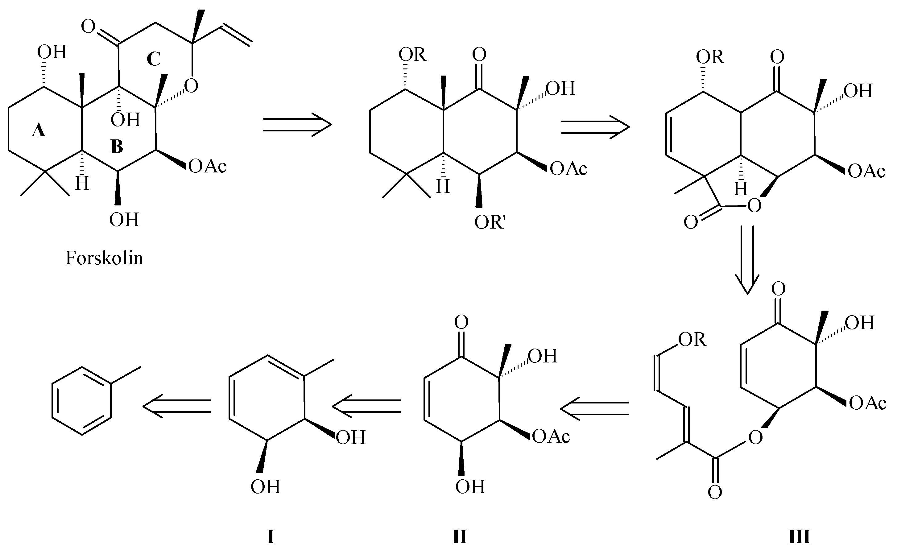
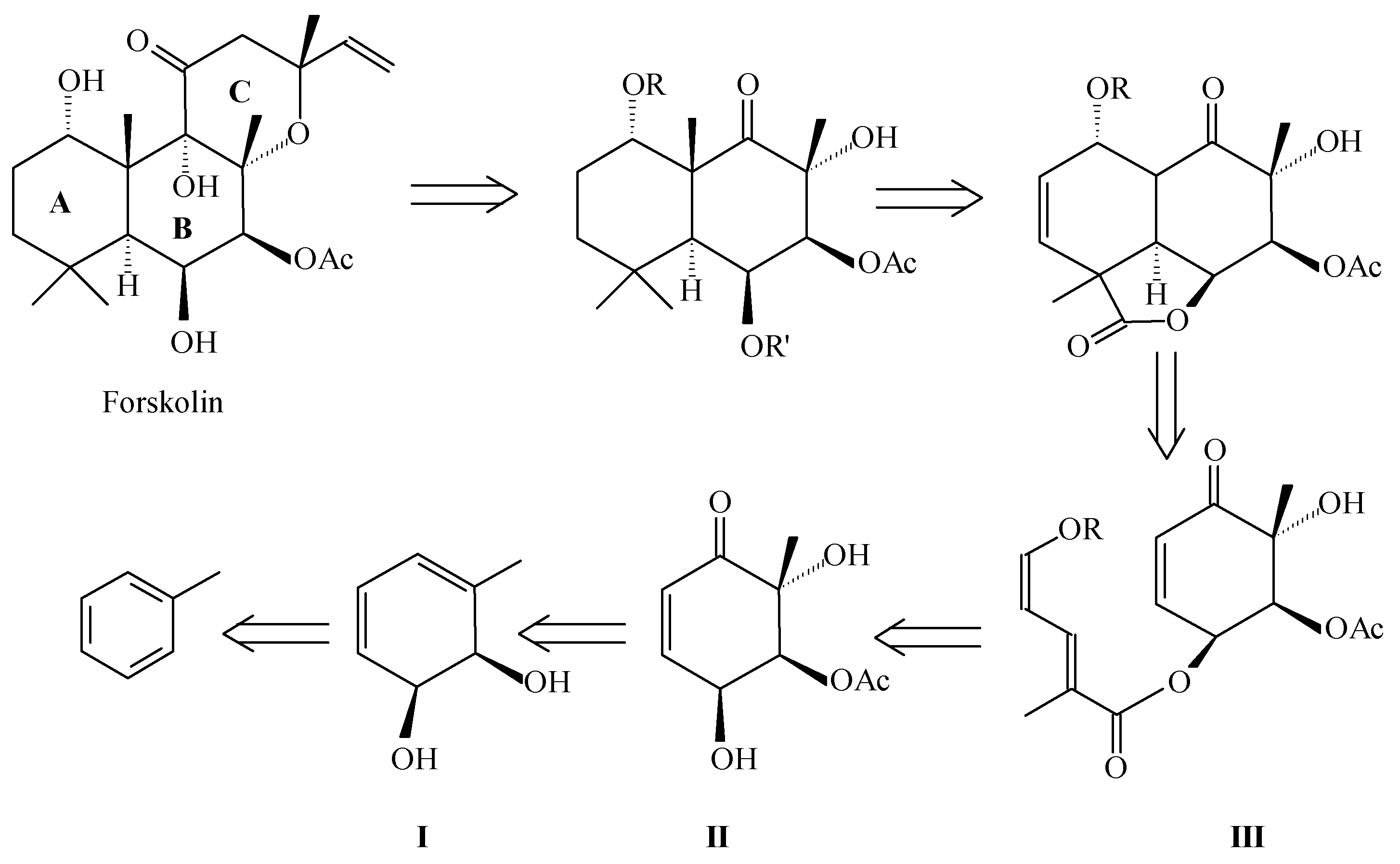
Approach to the A-B Ring System of Forskolin through Biotransformation of Toluene
Abstract
:Introduction

Experimental
Results and Discussion

Acknowledgments:
References and Notes
- Gibson, D.; Hensley, M.; Mabry, T. Biochemistry 1970, 9, 1926.
- Hudlicky, T.; et al. Chem. Rev. 1996, 1195.
- Seoane, G.; Brovetto, M.; Schapiro, V.; Cavalli, G.; Sierra, A.; Padilla, P. New Journal of Chemistry 1999, 23, 549–556.
Share and Cite
Schapiro, V.; Seoane, G.; García, G. Approach to the A-B Ring System of Forskolin through Biotransformation of Toluene. Molecules 2000, 5, 522-523. https://doi.org/10.3390/50300522
Schapiro V, Seoane G, García G. Approach to the A-B Ring System of Forskolin through Biotransformation of Toluene. Molecules. 2000; 5(3):522-523. https://doi.org/10.3390/50300522
Chicago/Turabian StyleSchapiro, V., G. Seoane, and G. García. 2000. "Approach to the A-B Ring System of Forskolin through Biotransformation of Toluene" Molecules 5, no. 3: 522-523. https://doi.org/10.3390/50300522
APA StyleSchapiro, V., Seoane, G., & García, G. (2000). Approach to the A-B Ring System of Forskolin through Biotransformation of Toluene. Molecules, 5(3), 522-523. https://doi.org/10.3390/50300522
