Heteroleptic Coumarin-Based Silver(I) Complexes: Possible New Antimicrobial Agents
Abstract
1. Introduction
2. Results and Discussion
2.1. Synthesis and Spectroscopic Characterisation of 2-(2-Oxo-2H-chromen-7-yl)-oxyacetatobistriphenylphosphinosilver(I) Complexes
2.2. X-Ray Crystallography of Adducts 5 and 6
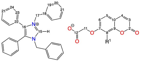
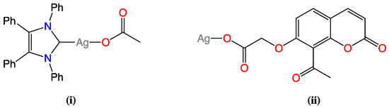
2.3. Synthesis of [(1,3-Dibenzyl-4,5-diphenyl imidazole-2-ylidene)–(8-acetyl-2-oxo-2H-chromene-7-yl)oxyaceto)(silver(I))] (11) via an Ion Exchange Route
2.3.1. Determination of Growth Inhibitory Activity of 8-Acetyl-C-7-oxyacetoAg(I)] and Its Triphenylphosphine and NHC Adducts Against MRSA and E. coli
2.3.2. Determination of Antibacterial Activity of Synthesised Coumarin Silver(I) Complexes Using the Broth Microdilution Assay
3. Materials and Methods
3.1. General Experimental Procedures
3.2. Synthesis of [(Bis-triphenylphosphino)-((8-acetyl-2-oxo-2H-chromene-7-yl)oxy]aceto Silver(I) (5) [8-AcetylC-oxyaceto-Ag-(TPP)2]
3.3. Synthesis of [Bis-triphenylphosphino)-((2-oxo-2H-chromene-7-yl)oxy]aceto Silver(I) (6) [C-7-oxyaceto-Ag-(TPP)2]
3.4. Synthesis of Intermediate Compounds Required for the Isolation of [(1,3-Dibenzyl-4,5-diphenyl imidazole-2-ylidene)–(substituted-2-oxo-2H-chromene-7-yl)]oxyaceto Silver(I) Complexes
3.4.1. General Synthesis of Sodium Salts of 2H-Chromene-2-One Derived Ligands
3.5. General Synthesis of [(1,3-Dibenzyl-4,5-diphenyl-imidazole-2-ylidene)+-(substituted)-(2-oxo-2H-chromene-7-yl)oxy]acetate]− Ionic Intermediates
3.5.1. [1,3-Dibenzyl-4,5-diphenylimidazole-2-ylidene)]+-[(8-acetylcoumarin-7-oxyacetate)− (9) [8-acetylcou-7-oxyacetNHC]
3.5.2. [1,3-Dibenzyl-4,5-diphenylimidazole-2-ylidene)]+-[Coumarin-7-oxyacetate]− (10) [cou-7-oxyacetNHC]
3.6. Synthesis of [(1,3-Dibenzyl-4,5-diphenyl imidazole-2-ylidene)–(8-acetoxy-2-oxo-2H-chromene-7-oxyaceto)] Silver(I) (11) via an Ion Exchange Route
3.7. Details of Bacterial Strains Used for Biological Studies
Preparation of Microtitre Test Plates for the Broth Microdilution Assay
4. Conclusions
Supplementary Materials
Author Contributions
Funding
Data Availability Statement
Conflicts of Interest
References
- UNEP. Bracing for Superbugs: Strengthening Environmental Action in the One Health Response to Antimicrobial Resistance; UNEP: Nairobi, Kenya, 2023. [Google Scholar]
- GBD 2019 Antimicrobial Resistance Collaborators. Global mortality associated with 33 bacterial pathogens in 2019: A systematic analysis for the Global Burden of Disease Study 2019. Lancet 2022, 400, 2221–2248. [Google Scholar] [CrossRef] [PubMed]
- Antimicrobial Resistance Collaborators. Global burden of bacterial antimicrobial resistance in 2019: A systematic analysis. Lancet 2022, 399, 629–655. [Google Scholar] [CrossRef] [PubMed]
- Mazumder, P.; Kumar, M. Antimicrobial Resistance Ignited by COVID-19 Pandemic: SOS for Antimicrobial Stewardship. In Wastewater Surveillance for COVID-19 Management; Kumar, M., Kuroda, K., Mukherjee, S., Ngiehm, L.D., Vithanage, M., Tyagi, V.K., Eds.; Springer International Publishing: Cham, Switzerland, 2024; pp. 323–336. [Google Scholar]
- Sullivan, M.; Kia, A.F.-A.; Long, M.; Walsh, M.; Kavanagh, K.; McClean, S.; Creaven, B.S. Isolation and characterisation of silver(I) complexes of substituted coumarin-4-carboxylates which are effective against Pseudomonas aeruginosa biofilms. Polyhedron 2014, 67, 549–559. [Google Scholar] [CrossRef]
- Jaiswal, S.; Bhattacharya, K.; Sullivan, M.; Walsh, M.; Creaven, B.S.; Laffir, F.; Duffy, B.; McHale, P. Non-cytotoxic antibacterial silver–coumarin complex doped sol–gel coatings. Colloids Surf. B Biointerfaces 2013, 102, 412–419. [Google Scholar] [CrossRef]
- Mujahid, M.; Trendafilova, N.; Arfa-Kia, A.F.; Rosair, G.; Kavanagh, K.; Devereux, M.; Walsh, M.; McClean, S.; Creaven, B.S.; Georgieva, I. Novel silver(I) complexes of coumarin oxyacetate ligands and their phenanthroline adducts: Biological activity, structural and spectroscopic characterisation. J. Inorg. Biochem. 2016, 163, 53–67. [Google Scholar] [CrossRef]
- Mujahid, M.; Kia, A.F.-A.; Duff, B.; Egan, D.A.; Devereux, M.; McClean, S.; Walsh, M.; Trendafilova, N.; Georgieva, I.; Creaven, B.S. Spectroscopic studies, DFT calculations, and cytotoxic activity of novel silver(I) complexes of hydroxy ortho-substituted-nitro-2H-chromen-2-one ligands and a phenanthroline adduct. J. Inorg. Biochem. 2015, 153, 103–113. [Google Scholar] [CrossRef]
- Gao, Y.; Wu, W.; Qiao, K.; Feng, J.; Zhu, L.; Zhu, X. Bioavailability and toxicity of silver nanoparticles: Determination based on toxicokinetic–toxicodynamic processes. Water Res. 2021, 204, 117603. [Google Scholar] [CrossRef]
- Gupta, D.; Guliani, E.; Bajaj, K. Coumarin—Synthetic Methodologies, Pharmacology, and Application as Natural Fluorophore. Top. Curr. Chem. 2024, 382, 16. [Google Scholar] [CrossRef]
- Martin, A.; De Menezes, I.R.A.; Sousa, A.K.; Farias, P.A.M.; Dos Santos, F.A.V.; Freitas, T.S.; Figueredo, F.G.; Ribeiro-Filho, J.; Carvalho, D.T.; Coutinho, H.D.M.; et al. In vitro and in silico antibacterial evaluation of coumarin derivatives against MDR strains of Staphylococcus aureus and Escherichia coli. Microb. Pathog. 2023, 177, 106058. [Google Scholar] [CrossRef]
- Yildirim, M.; Poyraz, S.; Ersatir, M. Recent advances on biologically active coumarin-based hybrid compounds. Med. Chem. Res. 2023, 32, 617–642. [Google Scholar] [CrossRef]
- Mooney, E.; Tacke, M.; Müller-Bunz, H.; Bruno-Colmenárez, J.; Cooke, G.; Caraher, E.; Kelleher, F.; Creaven, B.S. Hybrid silver(I) coumarin-carbene and coumarin-triphenylphosphine complexes: Towards more effective antimicrobial therapies. Inorganica Chim. Acta 2024, 572, 122222. [Google Scholar] [CrossRef]
- Prencipe, F.; Zanfardino, A.; Di Napoli, M.; Rossi, F.; D’Errico, S.; Piccialli, G.; Mangiatordi, G.F.; Saviano, M.; Ronga, L.; Varcamonti, M.; et al. Silver (I) N-Heterocyclic Carbene Complexes: A Winning and Broad Spectrum of Antimicrobial Properties. Int. J. Mol. Sci. 2021, 22, 2497. [Google Scholar] [CrossRef]
- Napoli, M.; Saturnino, C.; Cianciulli, E.I.; Varcamonti, M.; Zanfardino, A.; Tommonaro, G.; Longo, P. Silver(I) N-heterocyclic carbene complexes: Synthesis, characterization and antibacterial activity. J. Organomet. Chem. 2013, 725, 46–53. [Google Scholar] [CrossRef]
- Kasuga, N.C.; Sato, M.; Amano, A.; Hara, A.; Tsuruta, S.; Sugie, A.; Nomiya, K. Light-stable and antimicrobial active silver(I) complexes composed of triphenylphosphine and amino acid ligands: Synthesis, crystal structure, and antimicrobial activity of silver(I) complexes constructed with hard and soft donor atoms (n∞{[Ag(L)(PPh3)]2} with L = α-ala− or asn− and n = 1 or 2). Inorganica Chim. Acta 2008, 361, 1267–1273. [Google Scholar] [CrossRef]
- Sharkey, M.A.; O’Gara, J.P.; Gordon, S.V.; Hackenberg, F.; Healy, C.; Paradisi, F.; Patil, S.A.; Schaible, B.; Tacke, M. Investigations into the Antibacterial Activity of the Silver-Based Antibiotic Drug Candidate SBC3. Antibiotics 2012, 1, 25–28. [Google Scholar] [CrossRef]
- Edwards, D.A.; Harker, R.M.; Mahon, M.F.; Molloy, K.C. Aerosol-assisted chemical vapour deposition (AACVD) of silver films from triorganophosphine adducts of silver carboxylates, including the structure of [Ag(O2CC3F7)(PPh3)2]. Inorganica Chim. Acta 2002, 328, 134–146. [Google Scholar] [CrossRef]
- Whitcomb, D.R.; Rogers, R.D. The molecular structure of [bis-triphenylphosphine-silver(I) stearate], [((C6H5)3P)2Ag(O2C(CH2)16CH3)], solubilization of long alkyl chain silver carboxylates. J. Chem. Crystallogr. 1996, 26, 99–105. [Google Scholar] [CrossRef]
- Han, J.; Shen, Y.; Li, C.; Li, Y.; Pan, Y. Synthesis and characterization of triphenylphosphine stabilized silver α,β-unsaturated carboxylate: Crystal structure of [Ag(O2CCHC(CH3)2)(PPh3)2]. Inorganica Chim. Acta 2005, 358, 4417–4422. [Google Scholar] [CrossRef]
- Khe, J.M.; Fong, Z.; Lee, W.L.; Tan, K.W.; Ting, A.S.Y.; Cheow, Y.L. Synthesis, characterisation and biological evaluation of novel bisimidazolium mononuclear and dinuclear silver(I)-N-heterocyclic carbene complexes with long N-alkyl chains. J. Organomet. Chem. 2024, 1009, 123076. [Google Scholar] [CrossRef]
- Nikfarjam, N.; Ghomi, M.; Agarwal, T.; Hassanpour, M.; Sharifi, E.; Khorsandi, D.; Ali Khan, M.; Rossi, F.; Rossetti, A.; Nazarzadeh Zare, E.; et al. Antimicrobial Ionic Liquid-Based Materials for Biomedical Applications. Adv. Funct. Mater. 2021, 31, 2104148. [Google Scholar] [CrossRef]
- Bildstein, B.; Malaun, M.; Kopacka, H.; Wurst, K.; Mitterböck, M.; Ongania, K.-H.; Opromolla, G.; Zanello, P. N,N‘-Diferrocenyl-N-heterocyclic Carbenes and Their Derivatives. Organometallics 1999, 18, 4325–4336. [Google Scholar] [CrossRef]
- Creaven, B.S.; Egan, D.A.; Kavanagh, K.; McCann, M.; Noble, A.; Thati, B.; Walsh, M. Synthesis, characterization and antimicrobial activity of a series of substituted coumarin-3-carboxylatosilver(I) complexes. Inorganica Chim. Acta 2006, 359, 3976–3984. [Google Scholar] [CrossRef]
- EUCAST Disk Diffusion Test Methodology. Available online: https://www.eucast.org/ast_of_bacteria/disk_diffusion_methodology (accessed on 6 March 2024).
- O’Beirne, C.; Alhamad, N.F.; Ma, Q.; Müller-Bunz, H.; Kavanagh, K.; Butler, G.; Zhu, X.; Tacke, M. Synthesis, structures and antimicrobial activity of novel NHC∗- and Ph3P-Ag(I)-Benzoate derivatives. Inorganica Chim. Acta 2019, 486, 294–303. [Google Scholar] [CrossRef]
- Testing, T.E.C.o.A.S. EUCAST Reading Guide for Broth Microdilution. Available online: https://www.eucast.org/ast_of_bacteria/mic_determination (accessed on 11 October 2024).
- Mahfouz, A.A.; Said, H.S.; Elfeky, S.M.; Shaaban, M.I. Inhibition of Erythromycin and Erythromycin-Induced Resistance among Staphylococcus aureus Clinical Isolates. Antibiotics 2023, 12, 503. [Google Scholar] [CrossRef]
- Brittain, D.C. Erythromycin. Med. Clin. North Am. 1987, 71, 1147–1154. [Google Scholar] [CrossRef]
- Fyfe, C.; Grossman, T.H.; Kerstein, K.; Sutcliffe, J. Resistance to Macrolide Antibiotics in Public Health Pathogens. Cold Spring Harb. Perspect. Med. 2016, 6, a025395. [Google Scholar] [CrossRef]
- Platon, V.-M.; Dragoi, B.; Marin, L. Erythromycin Formulations—A Journey to Advanced Drug Delivery. Pharmaceutics 2022, 14, 2180. [Google Scholar] [CrossRef]
- Harika, K.; Shenoy, V.P.; Narasimhaswamy, N.; Chawla, K. Detection of Biofilm Production and Its Impact on Antibiotic Resistance Profile of Bacterial Isolates from Chronic Wound Infections. J. Glob. Infect. Dis. 2020, 12, 129–134. [Google Scholar]
- Srinivasan, R.; Santhakumari, S.; Poonguzhali, P.; Geetha, M.B.; Dyavaiah, M.; Lin, X. Bacterial Biofilm Inhibition: A Focused Review on Recent Therapeutic Strategies for Combating the Biofilm Mediated Infections. Front. Microbiol. 2021, 12, 676458. [Google Scholar] [CrossRef]
- Mohamad, F.; Alzahrani, R.R.; Alsaadi, A.; Alrfaei, B.M.; Yassin, A.E.B.; Alkhulaifi, M.M.; Halwani, M. An Explorative Review on Advanced Approaches to Overcome Bacterial Resistance by Curbing Bacterial Biofilm Formation. Infect. Drug Resist. 2023, 16, 19–49. [Google Scholar] [CrossRef]
- Krause, L.; Herbst-Irmer, R.; Sheldrick, G.M.; Stalke, D. Comparison of silver and molybdenum microfocus X-ray sources for single-crystal structure determination. J. Appl. Crystallogr. 2015, 48, 3–10. [Google Scholar] [CrossRef] [PubMed]
- Bruker. SAINT, v8.40B; Bruker AXS Inc.: Madison, WI, USA, 2009. [Google Scholar]
- Sheldrick, G.M. Crystal structure refinement with SHELXL. Acta Crystallogr. C Struct. Chem. 2015, C71, 3–8. [Google Scholar] [CrossRef] [PubMed]
- Sheldrick, G.M. SHELXT-Integrated Space-Group and Crystal-Structure Determination. Acta Crystallogr. A Struct. Chem. 2015, A71, 3–8. [Google Scholar] [CrossRef]
- Dolomanov, O.V.; Bourhis, L.J.; Gildea, R.J.; Howard, J.A.K.; Puschmann, H. OLEX2: A complete structure solution, refinement and analysis program. J. Appl. Crystallogr. 2009, 42, 339–341. [Google Scholar] [CrossRef]
- Groom, C.R.; Bruno, I.J.; Lightfoot, M.P.; Ward, S.C. The Cambridge Structural Database. Acta Crystallogr. B Struct. Sci. Cryst. Eng. Mater. 2016, 72, 171–179. [Google Scholar] [CrossRef]










| Complex | Main IR Bands (cm−1) | Melting Point (°C) | ||||||
|---|---|---|---|---|---|---|---|---|
| νCO δ Lactone | νasym (OCO) | νsym (OCO) | ||||||
| [8-acetyl-C-7-oxyacetoAg(TPP2)] (5) | 1731 | 1479 | 1353 | 141.2–144.5 | ||||
| [C-7-oxyacetoAg(TPP2)] (6) | 1722 | 1479 | 1329 | 139.2–140.1 | ||||
| Microanalytical and AAS data | ||||||||
| Complex | Molecular Formula | Theory (%) | Found (%) | |||||
| C | H | Ag | C | H | Ag | |||
| [8-acetyl-C-7-oxyaceto Ag(TPP2)] (5) | C49H39O6AgP2 | 65.86 | 4.40 | 11.97 | 66.00 | 4.31 | 12.07 | |
| [C-7-oxyacetoAg(TPP2)] (6) | C47H37O5AgP2.CH2Cl2 | 61.56 | 4.20 | 11.52 | 62.59 | 4.14 | 11.71 | |
| Derivative | (8-Acetyl) = R1 | (H) = R1 | ||||||
|---|---|---|---|---|---|---|---|---|
| H5 | H11 | C11 | C12 | H5 | H11 | C11 | C12 | |
| R2 = Ag(I) (3, 4) | 7.66 | 4.60 | 68.0 | 170.0 | 7.58 | 4.54 | 67.5 | 170.8 |
| R2= Ag-TPP2 (5, 6) | 7.42 | 4.49 | 67.5 | 170.5 | 7.53–7.35 | 4.42 | 67.9 | 170.7 |
| Bond Lengths [Å] | ||
|---|---|---|
| (5) | (6) | |
| Ag(1)-P(1) | 2.4060(8) | 2.4104(6) |
| Ag(1)-P(2) | 2.4317(8) | 2.4040(6) |
| Ag(1)-O(1) | 2.383(2) | 2.4548(16) |
| Ag(1)-O(3) | 2.538(2) | 2.4061(16) |
| O(1)-C(2) | 1.248(4) | 1.261(3) |
| O(3)-C(2) | 1.248(4) | 1.250(3) |
| Bond Angles (°) | ||
| (5) | (6) | |
| P(1)-Ag(1)-O(1) | 115.94(6) | 116.40(4) |
| P(2)-Ag(1)-P(1) | 127.53(3) | 126.62(2) |
| P(2)-Ag(1)-O(1) | 114.57(6) | 111.08(4) |
| P(2)-Ag(1)-O(3) | 98.19(6) | 114.06(4) |
| O(3)-Ag(I)-P(1) | 122.81(6) | 112.63(4) |
| O(3)-Ag(1)-O(1) | 53.51(7) | 54.51(5) |
| O(3)-C(2)-O(1) | 125.65(3) | 125.0(2) |
| Hydrogen Bonds for 5 (Å and °) | ||||
|---|---|---|---|---|
| D-H…A | d(D-H) | d(H…A) | d(D…A) | <(DHA) |
| C(29)-H(29)…O(1)#1 | 0.95 | 2.53 | 3.293(4) | 137.6 |
| C(34)-H(34)…O(3)#2 | 0.95 | 2.45 | 3.177(4) | 132.9 |
| C(40)-H(40)…O(17)#3 | 0.95 | 2.65 | 3.236(4) | 120.4 |
| C(41)-H(41)…O(17)#3 | 0.95 | 2.64 | 3.229(5) | 120.6 |
| Hydrogen Bonds for 6 (Å and °) | ||||
| C(33)-H(33)…O(3)#1 | 0.95 | 2.56 | 3.150(3) | 121 |
| C(43)-H(43)…O(9) | 0.95 | 2.55 | 3.156(3) | 122 |
| Compound | Yield (%) | Main IR Bands (cm−1) | ||||||||
|---|---|---|---|---|---|---|---|---|---|---|
| νCO δ Lactone | νasym (OCO) | νsym (OCO) | νC-N (imid) | νC-C (imid) | ||||||
| [8-acetyl-C-7-oxyacetoNa] (7) | 83 | 1728 | 1609 | 1294 | ||||||
| [C-7-oxyacetoNa] (8) | 91 | 1741 | 1617 | 1283 | ||||||
| [8-acetylcou-7-oxyacetNHC] (9) | 90 | 1724 | 1601 | 1288 | 1553 | 1456 | ||||
| [cou-7-oxyacetNHC] (10) | 96 | 1728 | 1613 | 1277 | 1554 | 1455 | ||||
| [(8-acetyl-C-7-oxyaceto)(Ag)(NHC)] (11) | 82 | 1728 | 1601 | 1398 | 1558 | 1489 | ||||
| Microanalytical Data | ||||||||||
| Compound | Molecular Formula | Theory (%) | Found (%) | |||||||
| C | H | N | Ag | C | H | N | Ag | |||
| [8-acetyl-C-7-oxyacetoNa] (7) | C13H9O6Na·H2O | 51.67 | 3.67 | 51.63 | 3.48 | |||||
| [C-7-oxyacetoNa] (8) | C11H7O5Na·H2O | 50.78 | 3.49 | 49.69 | 3.71 | |||||
| [8-acetyl-C-7-oxyacetoNHC] (9) | C42H34O6N2·(H2O)2 | 72.19 | 5.48 | 4.01 | 71.85 | 5.21 | 4.15 | |||
| [(8-acetyl-C-7-oxyaceto)(Ag)(NHC)] (11) | C42H33O6N2Ag | 65.55 | 4.32 | 3.64 | 14.02 | 66.42 | 4.35 | 3.80 | 14.42 | |
| Derivative | Oxyacetic Acid | NHC Ionic Intermediate | ||||||
|---|---|---|---|---|---|---|---|---|
| H15 | H11 | C11 | C12 | H15 | H11 | C11 | C12 | |
| 8-acetylcou-7-oxyacet | N/A | 4.91 | 65.1 | 169.5 | 9.72 | 4.37 | 68.3 | 168.3 |
| cou-7-oxyacet | N/A | 4.83 | 64.8 | 169.6 | 9.73 | 4.38 | 68.6 | 169.1 |
| imidBr | 9.64 | N/A | N/A | N/A | ||||
| Compound | Average Zone of Inhibition Against E. coli (diam. mm) | Average Zone of Inhibition Against MRSA (diam. mm) | ||
|---|---|---|---|---|
| 5 µg | 10 µg | 5 µg | 10 µg | |
| 1 and coumarin-3 carboxylic acid | Inactive | Inactive | ||
| [8-acetyl-C-7-oxyacetoAg(I)] (3) | 8.5 ± 0.3 | 9.1 ± 0.5 | 7.6 ± 0.5 | 8.4 ± 0.5 |
| [8-acetylcou-7-oxyacetoAgTPP2] (5) | Inactive | Inactive | 7.3 ± 0.6 | 8.8 ± 0.9 |
| [8-acetylcou-7-oxyacetoAgNHC] (11) | 7.6± 0.6 | 8.6 ± 0.5 | 8.0 ± 0.7 | 10.1 ± 0.9 |
| [Coumarin-3-COOAg(I)] (12) | 6.7 ± 0.6 | 8.3 ± 0.4 | 7.3 ± 0.7 | 13.4 ± 1.0 |
| Tetracycline | 15.7 ± 1.1 | 18.0 ± 0.9 | 19.4 ± 0.5 | 21.9 ± 1.1 |
| SBC3 | 6.9 ± 0.8 | 7.7 ± 0.6 | 10.2 ± 1.7 | 12.3 ± 2.1 |
| [ImidBr] | 2.9 ± 4.1 | 7.7 ± 1.3 | 9.6 ± 0.6 | 12.2 ± 1.0 |
| Silver nitrate | 8.9 ± 0.2 | 9.7 ± 0.7 | 7.9 ±0.2 | 8.8 ± 0.6 |
| Silver oxide | 8.2 ± 0.8 | 9.2 ± 0.5 | 7.6 ± 0.5 | 8.3 ± 0.4 |
| Triphenylphosphine | Inactive | Inactive | Inactive | Inactive |
| DMSO (100%) | Inactive | Inactive | Inactive | Inactive |
Disclaimer/Publisher’s Note: The statements, opinions and data contained in all publications are solely those of the individual author(s) and contributor(s) and not of MDPI and/or the editor(s). MDPI and/or the editor(s) disclaim responsibility for any injury to people or property resulting from any ideas, methods, instructions or products referred to in the content. |
© 2024 by the authors. Licensee MDPI, Basel, Switzerland. This article is an open access article distributed under the terms and conditions of the Creative Commons Attribution (CC BY) license (https://creativecommons.org/licenses/by/4.0/).
Share and Cite
Mooney, E.; Twamley, B.; Cooke, G.; Caraher, E.; Tacke, M.; Kelleher, F.; Creaven, B.S. Heteroleptic Coumarin-Based Silver(I) Complexes: Possible New Antimicrobial Agents. Molecules 2024, 29, 5917. https://doi.org/10.3390/molecules29245917
Mooney E, Twamley B, Cooke G, Caraher E, Tacke M, Kelleher F, Creaven BS. Heteroleptic Coumarin-Based Silver(I) Complexes: Possible New Antimicrobial Agents. Molecules. 2024; 29(24):5917. https://doi.org/10.3390/molecules29245917
Chicago/Turabian StyleMooney, Erika, Brendan Twamley, Gordon Cooke, Emma Caraher, Matthias Tacke, Fintan Kelleher, and Bernadette S. Creaven. 2024. "Heteroleptic Coumarin-Based Silver(I) Complexes: Possible New Antimicrobial Agents" Molecules 29, no. 24: 5917. https://doi.org/10.3390/molecules29245917
APA StyleMooney, E., Twamley, B., Cooke, G., Caraher, E., Tacke, M., Kelleher, F., & Creaven, B. S. (2024). Heteroleptic Coumarin-Based Silver(I) Complexes: Possible New Antimicrobial Agents. Molecules, 29(24), 5917. https://doi.org/10.3390/molecules29245917

