Multifunctional Dy3+ Complexes with Triphenylmethanolates: Structural Diversity, Luminescence, and Magnetic Relaxation
Abstract
1. Introduction
2. Results and Discussion
2.1. Synthesis and Structures
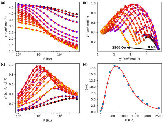
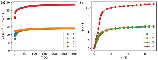
2.2. Magnetic Properties
2.3. Photoluminescence
3. Materials and Methods
3.1. General Procedures
3.2. Syntheses
3.3. X-Ray Crystallography
3.4. Magnetic Measurements
3.5. Photoluminescence Spectra
4. Conclusions
Supplementary Materials
Author Contributions
Funding
Institutional Review Board Statement
Informed Consent Statement
Data Availability Statement
Acknowledgments
Conflicts of Interest
References
- Guo, F.-S.; Day, B.M.; Chen, Y.-C.; Tong, M.-L.; Mansikkamäki, A.; Layfield, R.A. Magnetic Hysteresis up to 80 Kelvin in a Dysprosium Metallocene Single-Molecule Magnet. Science 2018, 362, 1400–1403. [Google Scholar] [CrossRef] [PubMed]
- McClain, K.R.; Gould, C.A.; Chakarawet, K.; Teat, S.J.; Groshens, T.J.; Long, J.R.; Harvey, B.G. High-Temperature Magnetic Blocking and Magneto-Structural Correlations in a Series of Dysprosium(Iii) Metallocenium Single-Molecule Magnets. Chem. Sci. 2018, 9, 8492–8503. [Google Scholar] [CrossRef] [PubMed]
- Goodwin, C.A.P.; Ortu, F.; Reta, D.; Chilton, N.F.; Mills, D.P. Molecular Magnetic Hysteresis at 60 Kelvin in Dysprosocenium. Nature 2017, 548, 439–442. [Google Scholar] [CrossRef] [PubMed]
- Guo, F.-S.; Day, B.M.; Chen, Y.-C.; Tong, M.-L.; Mansikkamäki, A.; Layfield, R.A. A Dysprosium Metallocene Single-Molecule Magnet Functioning at the Axial Limit. Angew. Chem. Int. Ed. Engl. 2017, 56, 11445–11449. [Google Scholar] [CrossRef]
- Sanvito, S.; Rocha, A.R. Molecular-Spintronics: The Art of Driving Spin through Molecules. arXiv 2006, arXiv:cond-mat/0605239. [Google Scholar]
- Gaita-Ariño, A.; Luis, F.; Hill, S.; Coronado, E. Molecular Spins for Quantum Computation. Nat. Chem. 2019, 11, 301–309. [Google Scholar] [CrossRef]
- Bogani, L.; Wernsdorfer, W. Molecular Spintronics Using Single-Molecule Magnets. Nat. Mater. 2008, 7, 179–186. [Google Scholar] [CrossRef]
- Rinehart, J.D.; Long, J.R. Exploiting Single-Ion Anisotropy in the Design of f-Element Single-Molecule Magnets. Chem. Sci. 2011, 2, 2078–2085. [Google Scholar] [CrossRef]
- Ungur, L.; Chibotaru, L.F. Strategies toward High-Temperature Lanthanide-Based Single-Molecule Magnets. Inorg. Chem. 2016, 55, 10043–10056. [Google Scholar] [CrossRef]
- Liddle, S.T.; Slageren, J. van Improving F-Element Single Molecule Magnets. Chem. Soc. Rev. 2015, 44, 6655–6669. [Google Scholar] [CrossRef]
- Ding, Y.-S.; Han, T.; Zhai, Y.-Q.; Reta, D.; Chilton, N.F.; Winpenny, R.E.P.; Zheng, Y.-Z. A Study of Magnetic Relaxation in Dysprosium(III) Single-Molecule Magnets. Chem.—A Eur. J. 2020, 26, 5893–5902. [Google Scholar] [CrossRef] [PubMed]
- Gupta, S.K.; Rajeshkumar, T.; Rajaraman, G.; Murugavel, R. An Air-Stable Dy(III) Single-Ion Magnet with High Anisotropy Barrier and Blocking Temperature. Chem. Sci. 2016, 7, 5181–5191. [Google Scholar] [CrossRef] [PubMed]
- Liu, J.; Chen, Y.-C.; Liu, J.-L.; Vieru, V.; Ungur, L.; Jia, J.-H.; Chibotaru, L.F.; Lan, Y.; Wernsdorfer, W.; Gao, S.; et al. A Stable Pentagonal Bipyramidal Dy(III) Single-Ion Magnet with a Record Magnetization Reversal Barrier over 1000 K. J. Am. Chem. Soc. 2016, 138, 5441–5450. [Google Scholar] [CrossRef] [PubMed]
- Wang, C.; Sun, R.; Chen, Y.; Wang, B.-W.; Wang, Z.-M.; Gao, S. Assembling High-Temperature Single-Molecule Magnets with Low-Coordinate Bis(Amido) Dysprosium Unit [DyN2]+ via Cl–K–Cl Linkage. CCS Chem. 2020, 2, 362–368. [Google Scholar] [CrossRef]
- Chilton, N.F.; Goodwin, C.A.P.; Mills, D.P.; Winpenny, R.E.P. The First Near-Linear Bis(Amide) f-Block Complex: A Blueprint for a High Temperature Single Molecule Magnet. Chem. Commun. 2014, 51, 101–103. [Google Scholar] [CrossRef]
- Woodruff, D.N.; Winpenny, R.E.P.; Layfield, R.A. Lanthanide Single-Molecule Magnets. Chem. Rev. 2013, 113, 5110–5148. [Google Scholar] [CrossRef]
- Konieczny, P.; Pełka, R.; Masuda, Y.; Sakata, S.; Kayahara, S.; Irie, N.; Kajiwara, T.; Baran, S. Anisotropy of Spin–Lattice Relaxations in Mononuclear Tb3+ Single-Molecule Magnets. J. Phys. Chem. C 2020, 124, 7930–7937. [Google Scholar] [CrossRef]
- Parmar, V.S.; Gransbury, G.K.; Whitehead, G.F.S.; Mills, D.P.; Winpenny, R.E.P. Slow Magnetic Relaxation in Distorted Tetrahedral Dy(III) Aryloxide Complexes. Chem. Commun. 2021, 57, 9208–9211. [Google Scholar] [CrossRef]
- Ding, Y.-S.; Chilton, N.F.; Winpenny, R.E.P.; Zheng, Y.-Z. On Approaching the Limit of Molecular Magnetic Anisotropy: A Near-Perfect Pentagonal Bipyramidal Dysprosium(III) Single-Molecule Magnet. Angew. Chem. Int. Ed. 2016, 55, 16071–16074. [Google Scholar] [CrossRef]
- Ding, Y.-S.; Yu, K.-X.; Reta, D.; Ortu, F.; Winpenny, R.E.P.; Zheng, Y.-Z.; Chilton, N.F. Field- and Temperature-Dependent Quantum Tunnelling of the Magnetisation in a Large Barrier Single-Molecule Magnet. Nat. Commun. 2018, 9, 3134. [Google Scholar] [CrossRef]
- Yu, K.-X.; Kragskow, J.G.C.; Ding, Y.-S.; Zhai, Y.-Q.; Reta, D.; Chilton, N.F.; Zheng, Y.-Z. Enhancing Magnetic Hysteresis in Single-Molecule Magnets by Ligand Functionalization. Chem 2020, 6, 1777–1793. [Google Scholar] [CrossRef]
- Long, J.; Tolpygin, A.O.; Cherkasov, A.V.; Nelyubina, Y.V.; Guari, Y.; Larionova, J.; Trifonov, A.A. Tuning the Coordination Sphere of Octahedral Dy(III) Complexes with Silanolate/Stannanolate Ligands: Synthesis, Structures and Slow Relaxation of the Magnetization. CrystEngComm 2021, 23, 8351–8359. [Google Scholar] [CrossRef]
- Long, J.; Guari, Y.; Ferreira, R.A.S.; Carlos, L.D.; Larionova, J. Recent Advances in Luminescent Lanthanide Based Single-Molecule Magnets. Coord. Chem. Rev. 2018, 363, 57–70. [Google Scholar] [CrossRef]
- Jia, J.-H.; Li, Q.-W.; Chen, Y.-C.; Liu, J.-L.; Tong, M.-L. Luminescent Single-Molecule Magnets Based on Lanthanides: Design Strategies, Recent Advances and Magneto-Luminescent Studies. Coord. Chem. Rev. 2019, 378, 365–381. [Google Scholar] [CrossRef]
- Pointillart, F.; Cador, O.; Le Guennic, B.; Ouahab, L. Uncommon Lanthanide Ions in Purely 4f Single Molecule Magnets. Coord. Chem. Rev. 2017, 346, 150–175. [Google Scholar] [CrossRef]
- Marin, R.; Brunet, G.; Murugesu, M. Shining New Light on Multifunctional Lanthanide Single-Molecule Magnets. Angew. Chem. Int. Ed. 2021, 60, 1728–1746. [Google Scholar] [CrossRef] [PubMed]
- Long, J.; Tolpygin, A.O.; Mamontova, E.; Lyssenko, K.A.; Liu, D.; Albaqami, M.D.; Chibotaru, L.F.; Guari, Y.; Larionova, J.; Trifonov, A.A. An Unusual Mechanism of Building up of a High Magnetization Blocking Barrier in an Octahedral Alkoxide Dy3+-Based Single-Molecule Magnet. Inorg. Chem. Front. 2021, 8, 1166–1174. [Google Scholar] [CrossRef]
- Boyle, T.J.; Bunge, S.D.; Clem, P.G.; Richardson, J.; Dawley, J.T.; Ottley, L.A.M.; Rodriguez, M.A.; Tuttle, B.A.; Avilucea, G.R.; Tissot, R.G. Synthesis and Characterization of a Family of Structurally Characterized Dysprosium Alkoxides for Improved Fatigue-Resistance Characteristics of PDyZT Thin Films. Inorg. Chem. 2005, 44, 1588–1600. [Google Scholar] [CrossRef]
- Long, J.; Selikhov, A.N.; Mamontova, E.; Lyssenko, K.A.; Guari, Y.; Larionova, J.; Trifonov, A.A. Synthesis, Structure, Magnetic and Luminescence Properties of Two Dysprosium Single-Molecule Magnets Based on Phenoxide Dye Ligands. CrystEngComm 2020, 22, 1909–1913. [Google Scholar] [CrossRef]
- Long, J.; Tolpygin, A.O.; Lyubov, D.M.; Rad’kova, N.Y.; Cherkasov, A.V.; Nelyubina, Y.V.; Guari, Y.; Larionova, J.; Trifonov, A.A. High Magnetization Reversal Barriers in Luminescent Dysprosium Octahedral and Pentagonal Bipyramidal Single-Molecule Magnets Based on Fluorinated Alkoxide Ligands. Dalton Trans. 2021, 50, 8487–8496. [Google Scholar] [CrossRef]
- Jin, P.-B.; Luo, Q.-C.; Liu, Y.-Y.; Zheng, Y.-Z. Enhancing Blocking Temperature Using Inverse Hydrogen Bonds for Non-Radical Bridged Dimeric Dy(III) Single-Molecule Magnets. Sci. China Chem. 2024, 67, 3328–3338. [Google Scholar] [CrossRef]
- Long, J.; Habib, F.; Lin, P.-H.; Korobkov, I.; Enright, G.; Ungur, L.; Wernsdorfer, W.; Chibotaru, L.F.; Murugesu, M. Single-Molecule Magnet Behavior for an Antiferromagnetically Superexchange-Coupled Dinuclear Dysprosium(III) Complex. J. Am. Chem. Soc. 2011, 133, 5319–5328. [Google Scholar] [CrossRef] [PubMed]
- Liu, J.-L.; Chen, Y.-C.; Tong, M.-L. Symmetry Strategies for High Performance Lanthanide-Based Single-Molecule Magnets. Chem. Soc. Rev. 2018, 47, 2431–2453. [Google Scholar] [CrossRef]
- Bajaj, N.; Mavragani, N.; Kitos, A.A.; Chartrand, D.; Maris, T.; Mansikkamäki, A.; Murugesu, M. Hard Single-Molecule Magnet Behavior and Strong Magnetic Coupling in Pyrazinyl Radical-Bridged Lanthanide Metallocenes. Chem 2024, 8, 2484–2499. [Google Scholar] [CrossRef]
- Wang, J.; Li, Q.-W.; Wu, S.-G.; Chen, Y.-C.; Wan, R.-C.; Huang, G.-Z.; Liu, Y.; Liu, J.-L.; Reta, D.; Giansiracusa, M.J.; et al. Opening Magnetic Hysteresis by Axial Ferromagnetic Coupling: From Mono-Decker to Double-Decker Metallacrown. Angew. Chem. Int. Ed. 2021, 60, 5299–5306. [Google Scholar] [CrossRef]
- Kolesnikov, I.E.; Kalinichev, A.A.; Kurochkin, M.A.; Golyeva, E.V.; Terentyeva, A.S.; Kolesnikov, E.Y.; Lähderanta, E. Structural, Luminescence and Thermometric Properties of Nanocrystalline YVO4:Dy3+ Temperature and Concentration Series. Sci. Rep. 2019, 9, 2043. [Google Scholar] [CrossRef]
- Harder, S.; Ruspic, C.; Bhriain, N.N.; Berkermann, F.; Schürmann, M. Benzyl Complexes of Lanthanide(II) and Lanthanide(III) Metals: Trends and Comparisons. Z. Für Naturforschung B 2008, 63, 267–274. [Google Scholar] [CrossRef]
- Taylor, M.D.; Carter, C.P. Preparation of Anhydrous Lanthanide Halides, Especially Iodides. J. Inorg. Nucl. Chem. 1962, 24, 387–391. [Google Scholar] [CrossRef]
- Amorose, D.M.; Lee, R.A.; Petersen, J.L. 1-Sila-3-Metallacyclobutanes, Precursors for the Generation of Highly Electrophilic Group 4 Metallocene Alkyl Cations. Spectroscopic and Structural Evidence of a Weakly Bound THF Ligand in [(C5Me5)2Zr(CH2SiMe3)(THF)][BPh4]. Organometallics 1991, 10, 2191–2198. [Google Scholar] [CrossRef]
- Lyle, S.J.; Rahman, M.d.M. Complexometric Titration of Yttrium and the Lanthanons—I: A Comparison of Direct Methods. Talanta 1963, 10, 1177–1182. [Google Scholar] [CrossRef]
- Sheldrick, G.M. Crystal Structure Refinement with SHELXL. Acta Cryst. C 2015, 71, 3–8. [Google Scholar] [CrossRef] [PubMed]
- Dolomanov, O.V.; Bourhis, L.J.; Gildea, R.J.; Howard, J.a.K.; Puschmann, H. OLEX2: A Complete Structure Solution, Refinement and Analysis Program. J. Appl. Cryst. 2009, 42, 339–341. [Google Scholar] [CrossRef]











| Compound | Dy−O− Distances (Å) | Dy−O/N Distances (Å) | −O−Dy−O− Angle (°) | Oax−Dy−Xax Angle (°) |
|---|---|---|---|---|
| 1 | 2.054(4), 2.062(5) | 2.341(5)–2.449(6) | 102.7(2) | 164.4(2) |
| 2 | 1.980(17)–2.102(5) | 2.362(5), 2.407(5) | 97.8(8)–163.0(10) a | 169.55(17) |
| 3 | 2.124(8) | 2.601(11) | 102.4(3) | 161.6(4) |
| 4 | 2.0335(12) | 2.3473(15) | - | 171.46(7), 164.59(8) b |
| Samples | AT (s−1.Oe−4) | B1 (s−1) | B2 (Oe−2) | CT (s−1) | AH (s−1.K−1) | τ0 (s−1) | E (cm−1) | C (s−1.K−9) |
|---|---|---|---|---|---|---|---|---|
| B (s−1.Oe2) | ||||||||
| 1 | (2.1 ± 0.2) ×10−11 | (1.5 ± 1.0) ×103 | (3.7 ± 2.5) ×10−4 | 4.2 ± 2.0 | 22 ± 1 | (1.3 ± 0.3) ×10−5 | 11.1 ± 0.4 | (1.03 ± 0.07) ×10−2 |
| 2 | (1.8 ± 0.4) ×10−11 | 82 ± 57 | (2.1 ± 1.8) ×10−4 | 4.2 ± 0.9 | 2.0 ± 0.1 | (2.2 ± 0.5) ×10−6 | 16.5 ± 0.3 | (1.27 ± 0.07) ×10−2 |
| 3 | (7.1 ± 0.8) ×10−8 | (5.8 ± 5.4) × 105 | 81 ± 45 | 485 ± 4 | (2.1 ± 0.8) ×10−5 | 9.4 ± 0.7 | (3.7 ± 0.2) ×10−2 | |
| (s−1) | (K) | (s−1) | (K) | (s−1) | (K) |
| (2.0 ± 1.2) 10−8 | 421 ± 25 | (1.0 ± 0.1) 10−4 | 98 ± 3 | (2.6 ± 0.2) 10−3 | 37.5 ± 0.7 |
Disclaimer/Publisher’s Note: The statements, opinions and data contained in all publications are solely those of the individual author(s) and contributor(s) and not of MDPI and/or the editor(s). MDPI and/or the editor(s) disclaim responsibility for any injury to people or property resulting from any ideas, methods, instructions or products referred to in the content. |
© 2024 by the authors. Licensee MDPI, Basel, Switzerland. This article is an open access article distributed under the terms and conditions of the Creative Commons Attribution (CC BY) license (https://creativecommons.org/licenses/by/4.0/).
Share and Cite
Félix, G.; Tolpygin, A.O.; Larquey, A.; Gogolev, I.A.; Nelyubina, Y.V.; Guari, Y.; Larionova, J.; Trifonov, A.A. Multifunctional Dy3+ Complexes with Triphenylmethanolates: Structural Diversity, Luminescence, and Magnetic Relaxation. Molecules 2024, 29, 5343. https://doi.org/10.3390/molecules29225343
Félix G, Tolpygin AO, Larquey A, Gogolev IA, Nelyubina YV, Guari Y, Larionova J, Trifonov AA. Multifunctional Dy3+ Complexes with Triphenylmethanolates: Structural Diversity, Luminescence, and Magnetic Relaxation. Molecules. 2024; 29(22):5343. https://doi.org/10.3390/molecules29225343
Chicago/Turabian StyleFélix, Gautier, Aleksei O. Tolpygin, Aurore Larquey, Ilia A. Gogolev, Yulia V. Nelyubina, Yannick Guari, Joulia Larionova, and Alexander A. Trifonov. 2024. "Multifunctional Dy3+ Complexes with Triphenylmethanolates: Structural Diversity, Luminescence, and Magnetic Relaxation" Molecules 29, no. 22: 5343. https://doi.org/10.3390/molecules29225343
APA StyleFélix, G., Tolpygin, A. O., Larquey, A., Gogolev, I. A., Nelyubina, Y. V., Guari, Y., Larionova, J., & Trifonov, A. A. (2024). Multifunctional Dy3+ Complexes with Triphenylmethanolates: Structural Diversity, Luminescence, and Magnetic Relaxation. Molecules, 29(22), 5343. https://doi.org/10.3390/molecules29225343

