Iron Carbonyl Complexes of [2.2.2]Hericene as a Rigid Tris(1,3-diene) Ligand
Abstract
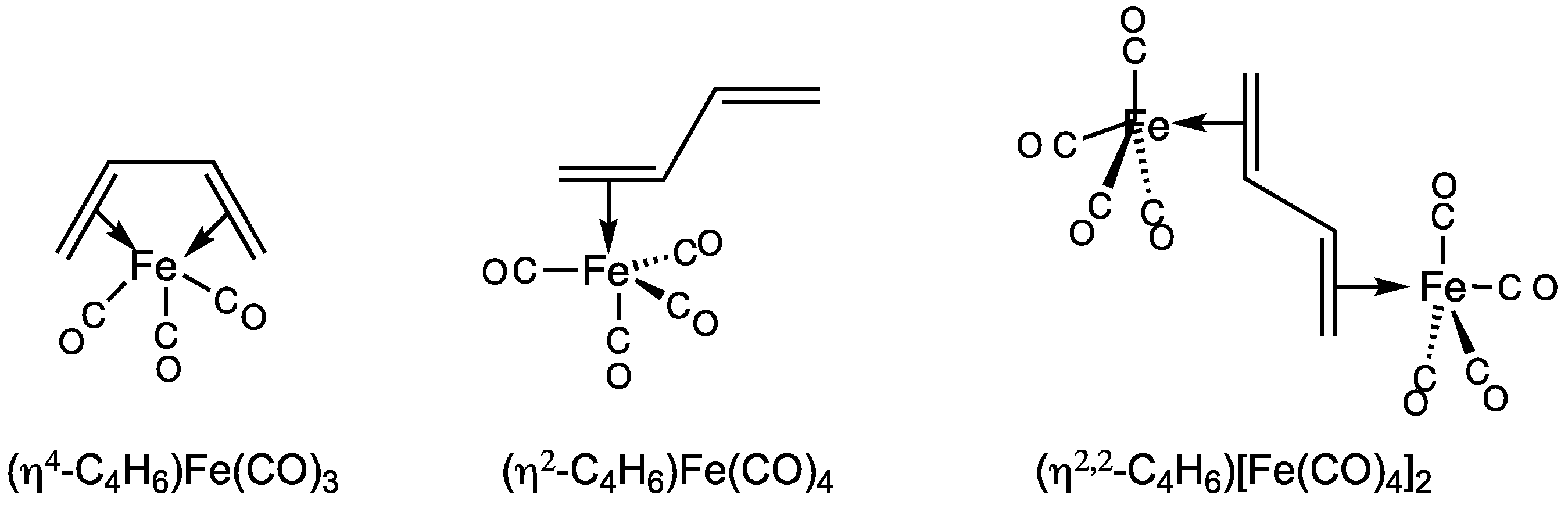
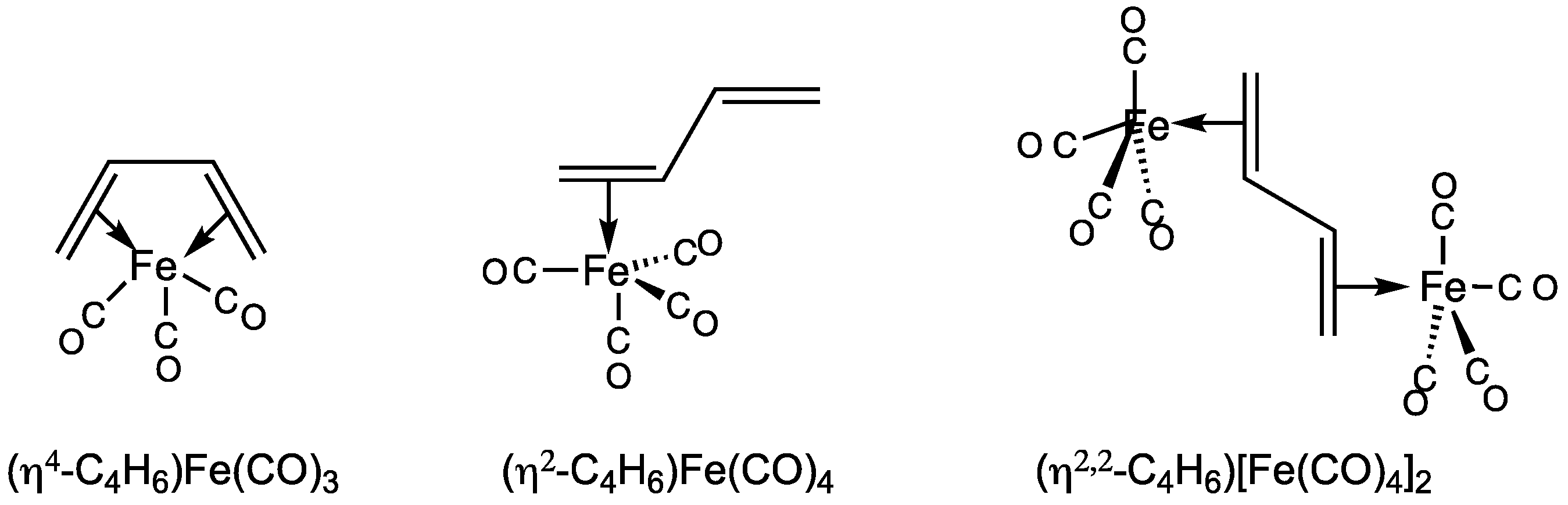
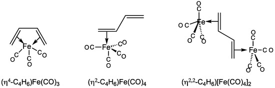
1. Introduction
2. Results and Discussion
2.1. (hericene)Fe(CO)3 Structures
2.2. Binuclear (hericene)Fe2(CO)n (n = 6, 5) Structures
2.2.1. (hericene)Fe2(CO)6

2.2.2. (hericene)Fe2(CO)5

2.3. Trinuclear (hericene)Fe3(CO)n (n = 9, 8) Structures
2.3.1. (hericene)Fe3(CO)9

2.3.2. (hericene)Fe3(CO)8

2.4. Thermochemistry
3. Theoretical Methods
4. Summary
Supplementary Materials
Author Contributions
Funding
Data Availability Statement
Conflicts of Interest
References
- Kealy, T.J.; Pauson, P.L. A new type of organo-iron compound. Nature 1951, 168, 1039–1040. [Google Scholar] [CrossRef]
- Miller, S.A.; Tebboth, J.A.; Tremaine, J.F. Dicyclopentadienyl iron. J. Chem. Soc. 1952, 632–635. [Google Scholar] [CrossRef]
- Reihlen, O.; Gruhl, A.; Hessling, G.; Pfrengle, O. Über Carbonyle und Nitrosyle. Liebigs Ann. Chem. 1930, 482, 161. [Google Scholar] [CrossRef]
- Hallam, B.F.; Pauson, P.L. Metal derivatives of conjugated dienes. Part I. Butadiene- and cyclohexadiene-iron tricarbonyls. J. Chem. Soc. 1958, 642–645. [Google Scholar] [CrossRef]
- Pyykkö, P. Understanding the 18-electron rule. J. Organometal. Chem. 2006, 691, 4336–4340. [Google Scholar] [CrossRef]
- Mills, O.S.; Robinson, G.R. The structure of butadiene irontricarbonyl. Acta Cryst. 1963, 16, 758. [Google Scholar] [CrossRef]
- Murdoch, H.D.; Weiss, E. Butadien-Eisencarbonyl-Verbindungen. Helv. Chim. Acta 1962, 137, 1156–1161. [Google Scholar] [CrossRef]
- Pilet, O.; Vogel, P. 2,3,5,6,7,8-Hexakis(methylene)bicyclo[2.2.2]octane. Helv. Chim. Acta 1980, 19, 1003–1004. [Google Scholar] [CrossRef]
- Hänisch, U.; Tagliaferri, E.; Roulet, R.; Vogel, P. Preparation and Diels-Alder reactivity of tricarbonyliron complexes of [2.2.2]hericene. Helv. Chim. Acta 1983, 66, 2182–2190. [Google Scholar] [CrossRef]
- Köhler, F.H.; Steck, H.A. Ein- bis dreikernige metall-π-derivate von Hericen mit (Me3P)3Fe- und CpCo-fragmenten. J. Organometal. Chem. 1993, 444, 165–177. [Google Scholar] [CrossRef]
- Ziegler, T.; Autschbach, J. Theoretical methods of potential use for studies of inorganic reaction mechanisms. Chem. Revs. 2005, 105, 2695–2722. [Google Scholar] [CrossRef] [PubMed]
- Ryzhikov, M.R.; Kozlova, S.G. Induced currents and an 1H NMR chemical shifts in transition metal clusters (μ-H)2Fe3(μ3-Q)(CO)9 (Q = S, Se, Te). J. Struct. Chem. 2017, 58, 861–865. [Google Scholar] [CrossRef]
- Peng, B.; Li, Q.-S.; Xie, Y.; King, R.B.; Schaefer, H.F. Unsaturated trinuclear ruthenium carbonyls: Large structural differences between analogous carbonyl derivatives of the first, second, and third row transition metals. Dalton Trans. 2008, 48, 6977–6986. [Google Scholar] [CrossRef] [PubMed]
- Dunning, T.H. Gaussian basis sets for use in correlated molecular calculations. I. The atoms boron through neon and hydrogen. J. Chem. Phys. 1989, 90, 1007–1023. [Google Scholar] [CrossRef]
- Becke, A.D. Density functional thermochemistry. III. The role of exact exchange. J. Chem. Phys. 1993, 98, 5648–5652. [Google Scholar] [CrossRef]
- Lee, C.; Yang, W.; Parr, R.G. Development of the Colle-Salvetti correlation-energy formula into a functional of the electron density. Phys. Rev. 1988, 37, 785–789. [Google Scholar] [CrossRef]
- Zhao, Y.; Truhlar, D.G. A new local density functional for main-group thermochemistry, transition metal bonding, thermochemical kinetics, and noncovalent interactions. J. Chem. Phys. 2006, 125, 194101. [Google Scholar] [CrossRef]
- Jeng-Da Chaia, J.-D.; Head-Gordon, M. Long-range corrected hybrid density functionals with damped atom–atom dispersion corrections. Phys. Chem. Chem. Phys. 2008, 10, 6615–6620. [Google Scholar] [CrossRef]
- Minenkov, Y.; Singstad, Å.; Occhipinti, G.; Jensen, V.R. The accuracy of DFT-optimized geometries of functional transition metal compounds: A validation study of catalysts for olefin metathesis and other reactions in the homogeneous phase. Dalton Trans. 2012, 41, 5526–5541. [Google Scholar] [CrossRef]
- Huzinaga, S. Gaussian Type functions for polyatomic systems. I. J. Chem. Phys. 1965, 42, 1293–1302. [Google Scholar] [CrossRef]
- Dunning, T.H. Gaussian basis functions for use in molecular calculations. I. Contraction of (9s5p) atomic basis sets for the first-row atoms. J. Chem. Phys. 1970, 53, 2823–2833. [Google Scholar] [CrossRef]
- Wachters, A.J.H. Gaussian basis set for molecular wavefunctions containing third-row atoms. J. Chem. Phys. 1970, 52, 1033–1036. [Google Scholar] [CrossRef]
- Hood, D.M.; Pitzer, R.M.; Schaefer, H.F. Electronic structure of homoleptic transition metal hydrides: TiH4, VH4, CrH4, MnH4, FeH4, CoH4, and NiH4. J. Chem. Phys. 1979, 71, 705–712. [Google Scholar] [CrossRef]
- Frisch, M.J.; Trucks, G.W.; Schlegel, H.B.; Scuseria, G.E.; Robb, M.A.; Cheeseman, J.R.; Scalmani, G.; Barone, V.; Mennucci, B.; Petersson, G.A.; et al. Gaussian 09, Revision A.02; Gaussian, Inc.: Wallingford, CT, USA, 2009. [Google Scholar]




| B3LYP | ωB97XD | M06-L | |
|---|---|---|---|
| (hericene)Fe3(CO)9 → (hericene)Fe3(CO)8 + CO | 43.7 | 47.5 | 44.5 |
| (hericene)Fe2(CO)6 → (hericene)Fe2(CO)5 + CO | 36.8 | 36.8 | 44.2 |
| (hericene)Fe3(CO)9 → (hericene)Fe2(CO)6 + Fe(CO)3 | 57.5 | 76.5 | 77.2 |
| (hericene)Fe2(CO)6 → (hericene)Fe(CO)3 + Fe(CO)3 | 59.9 | 77.9 | 78.8 |
| (hericene)Fe3(CO)9 → hericene)Fe(CO)3 + Fe2(CO)6 | 61.2 | 94.5 | 89.2 |
Disclaimer/Publisher’s Note: The statements, opinions and data contained in all publications are solely those of the individual author(s) and contributor(s) and not of MDPI and/or the editor(s). MDPI and/or the editor(s) disclaim responsibility for any injury to people or property resulting from any ideas, methods, instructions or products referred to in the content. |
© 2024 by the authors. Licensee MDPI, Basel, Switzerland. This article is an open access article distributed under the terms and conditions of the Creative Commons Attribution (CC BY) license (https://creativecommons.org/licenses/by/4.0/).
Share and Cite
Luo, J.; Chen, H.; Li, H.; Zheng, Y.; Fan, Q.; King, R.B.; Schaefer, H.F. Iron Carbonyl Complexes of [2.2.2]Hericene as a Rigid Tris(1,3-diene) Ligand. Molecules 2024, 29, 5337. https://doi.org/10.3390/molecules29225337
Luo J, Chen H, Li H, Zheng Y, Fan Q, King RB, Schaefer HF. Iron Carbonyl Complexes of [2.2.2]Hericene as a Rigid Tris(1,3-diene) Ligand. Molecules. 2024; 29(22):5337. https://doi.org/10.3390/molecules29225337
Chicago/Turabian StyleLuo, Jinfeng, Haoyu Chen, Huidong Li, Yongxiang Zheng, Qunchao Fan, Robert Bruce King, and Henry F. Schaefer. 2024. "Iron Carbonyl Complexes of [2.2.2]Hericene as a Rigid Tris(1,3-diene) Ligand" Molecules 29, no. 22: 5337. https://doi.org/10.3390/molecules29225337
APA StyleLuo, J., Chen, H., Li, H., Zheng, Y., Fan, Q., King, R. B., & Schaefer, H. F. (2024). Iron Carbonyl Complexes of [2.2.2]Hericene as a Rigid Tris(1,3-diene) Ligand. Molecules, 29(22), 5337. https://doi.org/10.3390/molecules29225337

