Abstract
In this review, we describe and discuss the phytoconstituents present in Hedychium species and emphasize their potential as drug candidates. Though they are widely validated in vitro and in vivo models, to date, no efforts have been made to compile in a single review all the pharmacologically active phytoconstituents from Hedychium species, and their pharmacological and toxicity profile. In this study, we present a reinvestigation of the chemical constituents present in Hedychium species obtained from the essential oil and solvent extraction of the flowers, leaves and rhizomes under consideration. Key databases such as PubMed, Science Direct, Scopus, and Google Scholar amongst others were probed for a systematic search using keywords to retrieve relevant publications on this plant. An exhaustive electronic survey of the related literature on Hedychium species resulted in around 200 articles. Articles published between the years 1975–2021 were included. The studies conducted on either crude extracts, solvent fractions or isolated pure compounds from Hedychium species reported with a varied range of biological effects such as anti-inflammatory, analgesic, antidiabetic, potentially anti-asthmatic, and cytotoxic, among other related activities of the chemical constituents present in its essential oil and solvent extract deployed in this review. Traditional and herbal medication around the world that uses different parts of Hedychium species were considered for anti-inflammatory, skincare, analgesic, anti-asthmatic, anti-diabetic, antidotal uses, among others. These uses support the idea that chemical constituents obtained from solvent extraction may also exert the same action individually or in a synergistic manner. The review concluded that there is scope for computation and biological study to find out possible new targets for strengthening the potency and selectivity of the relevant compounds, and to find a commercial method for extraction of active pharmaceutical ingredients.
1. Introduction
The Himalayas Mountain range is an abundant source of medicinally active plants, herbs, shrubs etc. There are many naturally growing plant species. One of the plant genera found in Himalaya region is Hedychium. We consider Hedychium species in this study. Hedychium species (spiked ginger lily) [1] are annual–perennial, rhizomatous, erect flowering plants. They are abundant with aromatic and medicinally active compounds. The herb belongs to the family Zingiberaceae. About 100 species of Hedychium are found worldwide [2], and the most-explored species are Hedychium spicatum [3], Hedychium coronarium, Hedychium coccineum, Hedychium flavescens, Hedychium gardnerianum [4] etc. They are situated in the subtropical area of Himalayan region, India, and widely found in China, Myanmar, Nepal, and Thailand, Madagascar (Africa), hot tropical regions of Asia, Indo-China, Malasia, Indonesia etc. [5]. Traditional applications and previous investigations carried out by many researchers on Hedychium species have suggested various medicinal applications. These attracted us to consider Hedychium species for our research. The plant’s whole body, essential oil and solvent extracts from rhizomes are the main sources of biological activity. Compositions of essential oil obtained from dried rhizomes with good anti-inflammatory activity [1,6,7,8], and extracts obtained from different parts (i.e., leaves, rhizomes, flowers of plant (as shown in Figure 1)) that contain numerous phytoconstituents (such as Hedychenone, Coronarin-D, Hedychilactone-D, Hedychinal and many more) that exhibit anti-inflammatory activity and other biological activity (such as anti-histaminic, hair growth, skin care, and cytotoxic (in breast cancer) effects etc.) have also been reviewed several times. Therefore, herein we reviewed and discussed the current updated information found in our search of traditional applications and knowledge of the plant, emphasizing and aiming to identify its pharmacological applications for human use. For that purpose, details on ethnopharmacology, phytochemistry, extraction, purification, isolation, identification, characterization, and the pharmacological properties of the chemical constituents obtained from Hedychium species are under consideration.
Figure 1.
Screening of chemical constituents and pharmacological activity of phyto-extract from the leaves, rhizomes, and flowers of Hedychium species.
2. Materials and Methods
An exhaustive literature search was accomplished by using different online search engines such as PubMed, PubChem, Sci-finder, ChemSpider, Science Direct, Mendeley, Scopus, Google, Google Scholar, FPO (Free Patent Online), Espacenet -patent search, Research Gate, electronic data bases and publishers’ websites such as Taylor Francis, Wiley, and ACS publications (American Chemical Society). The general keywords Hedychium spicatum, Hedychium species, Hedychenone, and labdane di-terpenes were used for the article search. The metadata were compiled, and all information retrieved from electronic data through the online literature search materialized in different sections, per its availability and the necessity of accomplishing an objective systemic review.
2.1. Phyto-Constituents
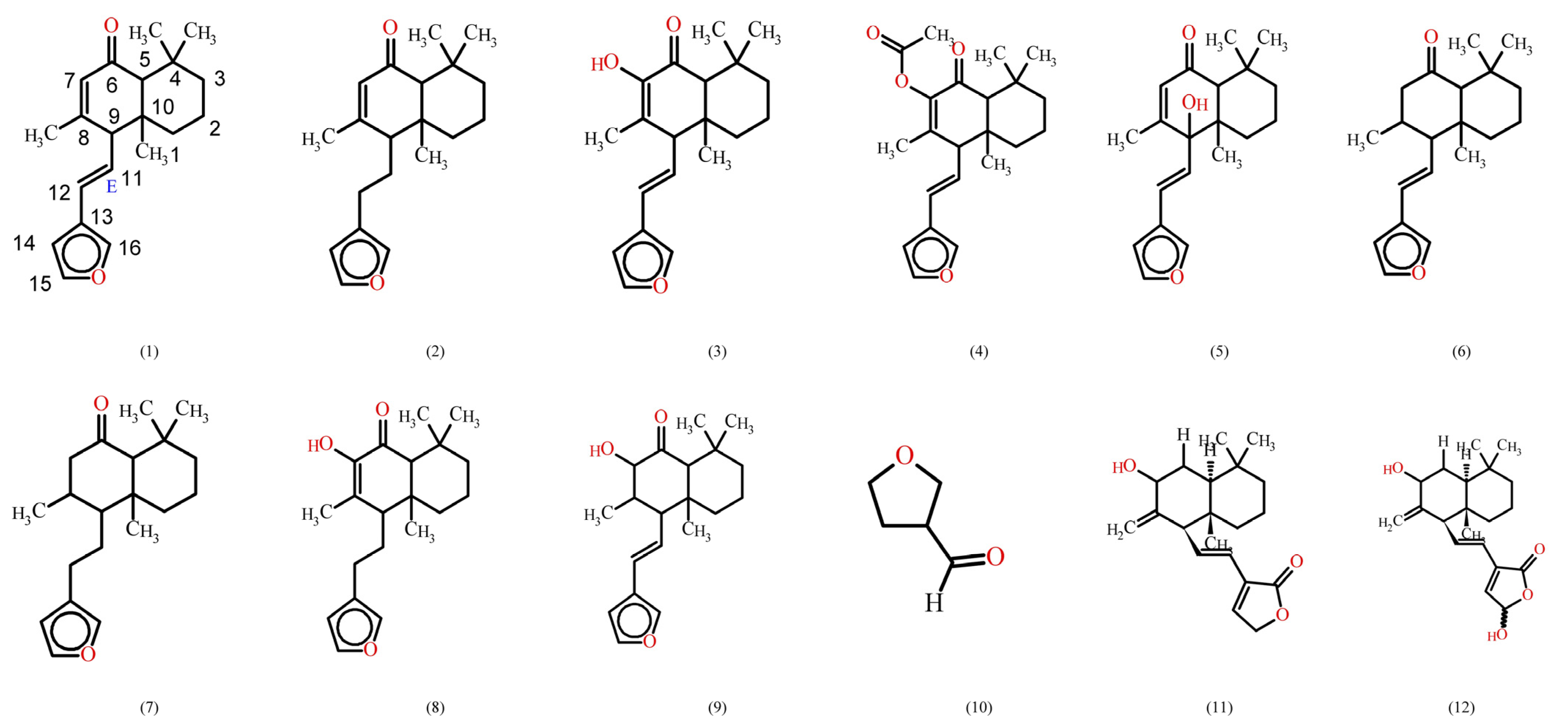
Many chemical constituents have been identified in Hedychium species. These are diterpenes, flavonoids, sesquiterpenes and the essential oil of flowers and rhizomes, which contain aromatic compounds (listed in Table 1); these chemical structures and constituents are shown in Figure 2A and Figure 2B, respectively.
Table 1.
Phytoconstituents and their semisynthetic derivatives from Hedychium species.



Figure 2.
(A). Chemical structure of Hedychium species. (B). Chemical constituents of Hedychium species.
2.1.1. Terpenes
Furanoid Di-terpene: A 50% extract of rhizomes of Hedychium spicatum contains Furanoid diterpene used in the treatment of pain, inflammation, and stomach ailments. Purification by column chromatography with silica gel and benzene yielded Hedychenone (MP 135–136 °C, [α]D +142° in CHCl3, λmax 239 nm). Confirmation tests (the Liebermann–Burchard and Ehrlich tests) yielded an orange color with Acetic acid and H2SO4. Figure 1 shows the structures of Furanoid diterpenoids such as Hedychenone{4-[(E)-2-(furan-3-yl)ethenyl]-3,4a,8,8-tetramethyl-4a,5,6,7,8,8a-hexahydronaphthalen-1(4H)-one} [9,33]. Hydrogenation of the Hedychenone side chain at position Δ11 with Pd/C yielded 11,12-dihydrohedychenone{4-[2-(furan-3-yl) ethyl]-3,4a,8,8-tetramethyl-4a,5,6,7,8,8a-hexahydronaphthalen-1(4H)-one} (λmax 220, 240 nm due to Furan and Enone chromophores), Ozonolysis of Hedychenone yielded β-furaldehyde (2,4-dinitrophenylhydrazone) MP. 147 °C. Reduction of Hedychenone and 11,12-dihydrohedychenone with LAH saturation of Δ7double bond Hedychanone (λmax 216, [α]D +62°) and 11,12-dihydrohedychanone (λmax 216, [α]D +26°) yielded [9], 7-hydroxyhedychenone (13-beta-furanolabda-6-keto-7,11-dien-7-ol), MP-108–109 °C, [α]D +125°, λmax 215, 230, and 278 nm. Acetylation of 7-Hydroxyhedychenone gives its mono acetate, and hydrogenation with Pd/C yield dihydro-7-hydroxyhedychenone [α]D +0.7°, by reduction with LAH yielded 7-hydroxyhedychanone; acetylation of 7-hydroxyhedychanone obtained its acetate [10]. The 9-hydroxyhedychenone [34] and 7-Acetoxy Hedychenone reaction scheme is shown in Figure 3.
Figure 3.
Reaction scheme for hydrogenation of Hedychenone and 7-Hydroxyhedycheno.
Labdane diterpene: Cytotoxic compounds Coronarin A, Coronarin B, Coronarin C, and Coronarin D were isolated from Hedychium coronarium, also used in rheumatism in Brazil.
Hedychium coronarium also contains Coronarin E and Coronarin F, isolated and purified by silica gel chromatography of chloroform extract. Coronarin E (C20H28O, colourless, [α]D +22.3° was confirmed with IR and 1H NMR, 13CNMR data, λmax 234 nm, e = 9100, m/z 137); Coronarin F (C30H46O3, colourless needles, M.P.157–159 °C, [α]D +90.0 °C containing exo-methylene was confirmed in IR bands at 3080, 1640, 890 cm−1, and its compound was confirmed by 1H NMR and 13C NMR) [35]. Methanol extract of Hedychium coronarium was purified with liquid–liquid extraction with ethyl acetate and water, and both reversed-phase and ordinary-phase column chromatography were performed on an ethyl-acetate fraction using the silica gel method. Hedychilactone A (C20H30O3) was isolated as a colourless liquid, λ max at 227 nm, log ε 4.08, [α]D +12.3°; Hedychilactone B (C20H30O3) was isolated as colourless liquid, [λ]D +10.6°, and an IR spectrum showed an absorption band at 3496, 1750, and 1674 cm−1.
Hedychilactone C (C20H30O4) was isolated as colourless liquid, with λmax at 222 nm, log ε 3.92 and [λ]D +23.8 °C [17].
Farnesane-type sesquiterpenes Hedychium coronarium (cultivated in Japan) contain Heychiols A, Hedychiols B 8,9-diacetate, and Farnesane-type sesquiterpenes. Methanol extract of Hedychium coronarium was purified with liquid–liquid extraction with ethyl acetate and water, and both reversed-phase and ordinary-phase column chromatography were performed on an ethyl-acetate fraction using the silica gel method. Hedychiol A (C15H26O2) Hedychiol B 8,9-iacetate (C19H30O5) were isolated as colourless oil and [λ]D −18.8° [32].
2.1.2. Flavonoids
Leaves of Hedychium coccineum and Hedychium coronarium contain flavanols myricetin and quercetin. Glycoside syringetin 3-rhamnoside has been identified in Hedychium stenopetalum. A flavonoid aglycone moiety was identified after acid hydrolysis of 80% methanolic leaf extract. The hydrolyzed product was identified by TLC, using a standard marker solution based on the Rf value under visualization in a UV chamber [26]. Dichloromethane and methanol (1:1) solvent was used to extract the Hedychium spicatum rhizome. Chrysin was isolated in an ethyl acetate/ether/hexane (25:14:61) fraction of silica gel (100–200 mesh) column chromatography [22]. Chloroform extract of the Hedychium spicatum rhizome was chromatographed over silica gel (60–120 mesh), and Teptochrysin containing fraction F2 was further purified by column chromatography over silica gel (100–200 mesh) using Methanol:Chloroform (7:93) solvent, and was characterized by IR, MS, 1D and 2D NMR [11].
2.1.3. Glycoside
Syringetin-3-rhamnoside was identified in Hedychium stenopetalum [26]. Hedychium coronarium flowers’ extraction in 80% aqueous acetone and chloroform yielded Coronalactosides I, obtained as a white powder [25].
2.1.4. Xanthone
Hedychium gardnerianum rosc. rhizome was extracted with successive extraction methods using hexane and acetone. The extract was purified over silica gel column chromatography using a chloroform and methanol gradient mixture, which was further purified using silica gel prep TLC and further crystallization in methanol, yielding 3-(2-Hydroxyethoxy) xenthone, 1-Hydroxyxanthone, Oplopanone. and Salicylic acid (2-Hydroxybenzoic acid), with 1-Hydroxyxanthone having MP 143–145 °C and UV λmax (MeOH, nm) 230, 251, 297, 361 [27].
2.1.5. Saponins
Water and alcoholic extract passed a foaming test for Saponins, and a physiochemical test of Hedychium spicatum, a rhizome powdered drug [3] with individual compounds not yet identified.
2.2. Essential Oil
The physiochemical properties of essential oil obtained from Hedychium spicatum are given in Table 2.
Table 2.
Physio-chemical characteristics of essential oil of Hedychium spicatum.
The oil contains alpha-pinene, beta-pinene, Limonene, 1:8 Cineole, Linalool found in major amounts, and Camphore, Linalyl acetate, Terpineol, Borneol, Caryophyllene, r-Cadinene, humulene, Terpineolene and P-Cymene in low quantities. These compounds were studied by TLC and GLC methods [8]. The chemical composition of the essential oil of Hedychium spicatum rhizomes by gas chromatography shows that the essential oil contains Caryophyllene, monoterpenes, sesquiterpenes, and sesquiterpene alcohol [8,36]. The essential oil was isolated from chopped rhizome with steam distillation, and the distillate was further saturated with NaCl, then further extracted with petroleum ether (60–80 °C) and hexane. Isolation of compounds from the essential oil at a boiling point of 60–80 °C yielded a (0.3%) compound using fractional distillation, with a spinning band distillation assembly based on the boiling point. 1,8-cineol (boiling point 62 °C), (+)-linalool (boiling point 120 °C), five alcohol, (+)-Elemol (26%), (−)-epi-10-Gama-eudesmol (19%), and (30%) of (−)-alpha-Cadinol, alpha-Eudesmol, (+)-beta-Eudesmol mixture were isolated. Bottini et al. reported the essential oil constituents isolated from different Hedychium species, which are listed in Figure 4 and Table 3.
Figure 4.
Chemical composition of essential oil obtained from Hedychium species.
Table 3.
Chemical constituents present in essential oil of rhizomes/leaves of Hedychium species.
2.3. Synthesis of Labdane Diterpenes
2.3.1. Synthesis of Hedychenone, Yunnacoronarin A from Larixol
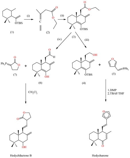
Larixol is a Labdane isolated from Larch oleoresin, converted into Aldehyde using a 3-step transformation using osmium tetroxide/sodium periodate oxidation. Free alcohol is protected by silyl ether followed by elimination of tertiary acetate using 2,4,6-collidine, which is identified by the presence of vinylic protons. 3-furyl lithium is used for addition reaction to the aldehyde group and converted into a mixture of Epimeric alcohols. The Epimeric alcohols are mesylated in the presence of 2,6-lutidine, which produces an elimination product with trans configuration. Cleavage of silyl ether followed by oxidation produces an intermediate which produces Hedychenone on isomerization, and upon reduction with di-isobutyl, aluminum hydride yields Yunnacoronarin A. The reaction scheme is shown in Figure 5.
Figure 5.
Synthesis of Hedychenone and Yunnacoronarin D: Reagents and conditions: (i) osmium tetroxide/sodium periodate oxidation sequence (50%); (ii) (1) Et3SiCl, DMAP cat, py, 8 h (94%), (2) 2,4,6-Collidine as solvent, 170 °C, 12 h (79%); (iii) (1) 3-Furyllithium, 78 °C, 2 h (68%), (2) 2,6-Lutidine (7 equiv), CH2Cl2, add MsCl (3 equiv), rt, 18 h (68%); (iv) (1) AcOH, THF–H2O (5:1:3), RT, overnight (95%), (2) IBX (3 equiv) AcOEt, 60 °C, 3 h (85%); (v) THF, 78 °C, Dibal-H (6 equiv), 2 h (95%) (vi) MeONa (0.2 M in MeOH), 2 h (quant); (vii) (1) SeO2 (1.5 equiv), Dioxane, 80 °C—8 h; (2) NaBH4, EtOH, 78 °C (60% two steps).
2.3.2. Synthesis of Yunnacoronarin D from Hedychenone
Yunnacoronarin D is synthesized from Hedychenone by oxidation of the allylic methyl group and reduction of the aldehyde group. Photo-oxidation of Hedychenone also produces Yunnacoronarin [33]; the reaction scheme is shown in Figure 5.
2.3.3. Synthesis of Hedychenone and Hedychilactone-B from a Hindered Diene System
A diene system undergoes [4+2] cycloaddition with allene carboxylate, which produces an intermediate. The [2+2] cycloadduct of this intermediate yields a cyclo-butane intermediate. The cyclo-butane intermediate provides a mixture of Diels-alder adducts; they are Exo and Endo isomers. The Exo isomer is asymmetrically converted to Hedychenone by reduction, oxidation, olefination, and de-sialylation in the presence of 3-furyl ylide [42]. The Ester cycloadduct intermediate is reduced to give intermediate aldehyde, which reacts with tri-phenylphosphoranylidene lactone in methane dichloride to yield Hedychilactone B [21]; the reaction scheme is shown in Figure 6.
Figure 6.
Synthesis of Hedychenone and Hedychilactone B, where (1). hindered diene; (2). allene carboxylate; (3). [4+2] cycloadduct; (4). corresponding alcohol of cycloadduct prepared by DIBAL reduction; (5). 3-Furyl ylide; (6). corresponding aldehyde of cycloadduct; (7). tri-Phenylphosphoranylidene lactone. (i), (ii), and (iii) are synthetic roots for the preparation of intermediates.
2.3.4. Synthesis of Derivative of Hedychenone
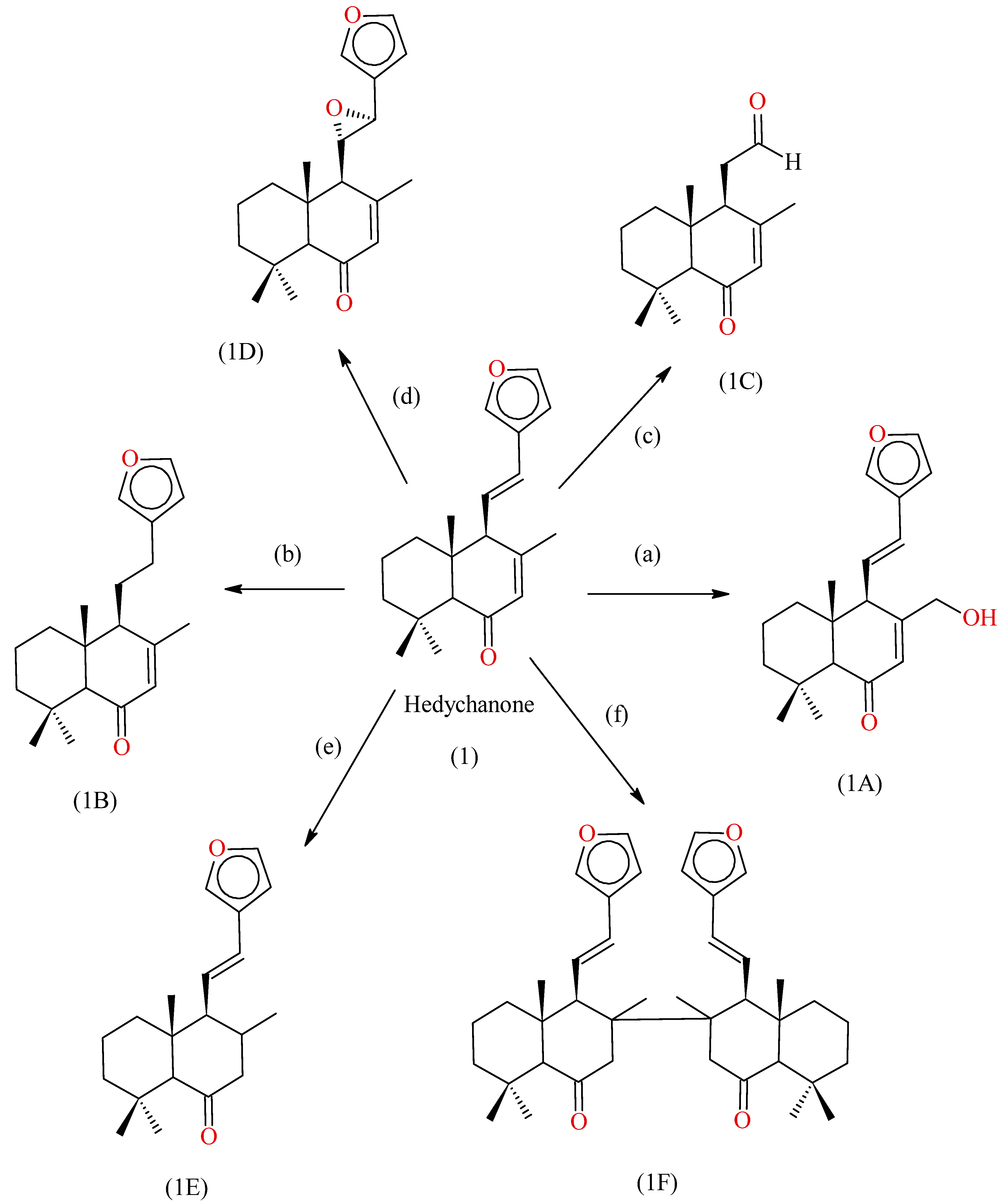
Hedychenone converted into 6,7-dihydro Hedychenone in the presence of 10% Pd/C in ethanol yielded 6,7-Dihydro Hedychenone. 6,7-Dihydro Hedychenone further reduced with LiAlH4 in THF at 0° C yielded 6,7,11,12-tetra Hydro Hedychenone. Reduction of Hedychenone with aluminium mercury alloy yielded a dimerization product. Ozonolysis of Hedychenone with O3 in DCM at −10 °C produced an aldehyde product [43]; the reaction scheme is shown in Figure 7.
Figure 7.
Synthesis of compounds from Hedychenone, reagents and conditions, where (a) SeO2, dry Dioxane/reflux, 70 °C, 1 h, 94%; (b) (1) Pd/C (10%), EtOH, 1 h; (2) LiAlH4, THF, 0 °C, 4 h, 50%; (c) O3, CH2Cl2, 10 °C, 4 h, 55%; (d) m-CPBA, CH2Cl2, rt, 2 h, 70%; (e) Pd/C (10%), EtOH, 1 h, 70%; (f) Al-Hg alloy, HCl–MeOH/reflux, 3 h. 1A: Yunnacoronarin D; 1B: 11,12-Dihydrohedychenone; 1C; Aldehyde product; 1D: 11,12-oxidised products; 1E: Hedychenone; 1F: Dimer product.
Hedychenone undergoes epoxidation with m-CPBA in DCM at room temperature. The synthesised compound was further characterized by NMR, Mass and FTIR. The SAR indicates that the Furanoid ring system has good cytotoxicity, rather than the Decalone nucleus. Dimerization through C-8 was found to significantly enhance the cytotoxic activity of Hedychenone.
2.3.5. Other Reactions
Enzymatic hydrolysis of Coronalactosides I with Naringinase
Coronalactoside-I in 0.1 M acetate buffer (pH 3.8, 1.0 mL) was treated with Naringinase solution at 40 °C for 24 h, thereby forming Coronalactone. Workup and chromatography was performed on the mixture over reverse-phase silica gel. Coronalactone was found to be a colourless oil, and [α]D-12.9°. The reaction scheme is shown in Figure 8.
Figure 8.
Enzymatic hydrolysis of Coronolactoside-I; (i) Naringinase, 0.2 M acetate buffer, 40 °C, 24 h. (ii) (+) or (−)-2-Methoxy-2-trifluoromethylphenylacetyl chloride ((+)-MTPACL), Pyridine.
Labdane diterpenes Hedychenone was converted to Yunnacoronarin A, Yunnacoronarin D, Hedychilactone B, 6,7-Dihydrohedychenone, 6,7,11,12-Tetra hydro Hedychenone, Aldehyde product of Hedychenone, and Dimer of Hedychenone were found to be more cytotoxic than Hedychenone. Coronalactone had an active moiety of Coronalactoside, and hepatoprotective activity.
2.4. Herbal and Traditional Uses of Hedychium species
Various Hedychium species are used to treat ailments and diseases in traditional herbal medication. Extracts, decoctions, infusions, macerates, oils and squeezed liquid forms are used for different administrations, as listed in Table 4.
Table 4.
Traditional uses of different parts of Hedychium species.
2.5. Pharmacological Activity of Hedychium species
Hedychium species possess various pharmacodynamic activities based on different activity that has been carried out by researchers. Table 5 contains the pharmacodynamic activities of the extract, and the chemical constituents present in extract.
Table 5.
Pharmacological activity of chemical constituents of Hedychium species.
2.5.1. Anti-Inflammatory and Analgesic Activity
In a personal communication report by Dhawan, B.N, (Pharmacology division, CDRI, Lucknow) it was reported that the ethanolic extract of the Hedychium spicatum plant rhizome has anti-inflammatory properties [31].
In Vitro Anti-Inflammatory and Analgesic Effect
Shrotriya et al. evaluated Hedychium coronarium and successive rhizome extracts of Hexane, Chloroform, and Methanol for analgesic activity.
Acetic Acid-Induced Writhing Test for Analgesic Effect
This test found that chloroform and methanolic extract of 400 mg/kg bw both inhibited writhing reflux (27.23% by chloroform and 40.59% by methanolic extract) in eight groups of pre-screened Swiss albino mice with significant p < 0.001 and 50 mg/body weight of aminopyrine as control. Inhibition was measured using formula [67]:
Radiant Heat Tail-Flick Method for Analgesic Activity
Tail-flick latency was assessed using morphine 2 mg/kg body weight as control and an analgesiometer. The percentage of elongation measures showed significant response for radiant heat, with p < 0.001 [67].
Carrageenan-Induced Rat Hind Paw Edema Animal Model for Anti-Inflammatory Study
This model was used to estimate acute inflammation. Different concentrations of hexane, chloroform, methanol extract were tested against PBZ (Phenylbutazone), with an 80 mg/kg dose and percentage inhibition calculated using the following formula:
Nitric Oxide Inhibitory Effect
- In Vitro Inhibitory Assay Oof NO Produced in LPS and IFN-g-Stimulated 264.7 Macrophages
Labdane diterpenes, Hedychenoids A, Hedychenoids B, Hedychenone, Forrestin A, and Villosin were isolated from the rhizomes of Hedychium yunnanense by ethanol maceration, and further purified by liquid–liquid extraction using ethyl acetate and water, then butanol. Hedychenoids B and Villosin had an inhibitory effect, with IC50 values of 6.57 ± 0.88 and 5.99 ± 01.20 µg/mL respectively [85].
Inhibition of NO Production and iNOS Induction in LPS-Activated Mouse Peritoneal Macrophages
NO is a free radical produced by oxidation of L-arginine by NO synthase (NOS). NO is involved in various processes, e.g., vasodilation, nonspecific host definition, ischemic reperfusion injury, and chronic and acute inflammation which respond to pro-inflammatory agents such as interleukin-1 β, tumour necrosis factor-α, and LPS in macrophages, endothelial cells, and smooth muscle cells. Hedychilactone A, Hedychilactone B, Hedychilctone C, Coronarin D, Coronarin D methyl ether, Coronarine E, Labda-8(17), 13(14)-dien-15,16-olide, Hedychenone, 7-Hydroxihedychenone, (+)-Nerolidol, Hedychiol A, Hedychiol B 8,9-diacetate, and LNMMA were tested for inhibitory effects, and the study found that a concentration of 10 µM–100 µM caused significant inhibition, with p < 0.05 to p < 0.01 [17]. Figure 9 shows the mechanism of NO production.
Figure 9.
iNOS-induced inflammation by proinflammatory agents in various cells.
Inhibition of Acetic Acid-Induced Vascular Permeability in Mice (Anti-Inflammatory)
Histamine and serotonin play an important role in the vascular permeability induced by acetic acid, an exudative state of inflammation. The anti-inflammatory effects of methanolic extract of Hedychium coronarium and some labdane diterpenes (Coronarin D, Coronarin D methyl ether) were tested, and the study found that methanol extract (Dose 250–500 mg/kg), Coronarin D (Dose 25–50 mg/kg), and Coronarin D methyl ether (Dose 25–50 mg/kg) had a significance of p < 0.05–p < 0.01 [17].
Inhibition of Released Beta-Hexosaminidase from RBL-2H3 Cells In Vitro (Antiallergic)
The 12 compounds of Hedychiol A, Hedychiol B 8,9-diacetate, Hedychilactone A, B, C, Coronarin D, Coronarin D methyl ether, Coronarin E, Labda-8(17), 13(14)-dien-15,16-olide, Hedychenone, 7-hydroxyhedychenone, and (+)-Nerolidol from Hedychium coronarium were examined for an antiallergic reaction by testing their inhibitory effect on the release of beta-Hexosaminidase from RBL-2h3 cells. The study found that the compounds have inhibitory concentrations from 10 µM to 100 µM, which were significantly different from the control, with p < 0.05 to p < 0.01 [33]. Coronarin G, Coronarin H, Coronarin I, Coronarin D, Coronarin D methyl ether, Hedyforrestin C, (E)-nerolidol, b-sitosterol, daucosterol, and stigmasterol isolated from Hedychium coronarium were evaluated. The inhibitory effect of the compounds was tested on Lipopolysaccharide-stimulated production of pro-inflammatory cytokines in bone marrow-derived dendritic cells. The compounds Coronarin G, Coronarin H, and Hedyforrestin C were significant inhibitors of LPS-stimulated TNF-α, IL-6, and IL-12 p40 production, with IC50 ranging from 0.19 ± 0.11 to 10.38 ± 2.34 µM, and the other compounds are cytotoxic [65]. Figure 10 shows stimulation of TNF-α.
Figure 10.
Anti-allergic, hepatoprotective and anti-inflammatory underlying mechanism.
Hedycoronen A, Hedycoronen B, labda-8(17),11,13-trien-16,15-olide, 16-hydroxyl-abda-8(17),11,13-trien-15,16-olide, Coronarin A, and Coronarin E were isolated from Hedychium coronarium rhizome extract with methanol, and further purification was carried out through successive liquid–liquid extractions with water, chloroform, and water and ethyl acetate, followed by chromatography over silica gel. Hedycoronen A and Hedycoronen B were found to have a potent inhibitory effect on LPS-stimulated interleukin-6 (IL-6) and IL-12 p40, with IC50 ranging from 4.1 ± 0.2 to 9.1 ± 0.3 μM. Hedycoronen A and Hedycoronen B were found to have moderate inhibitory activity on tumor necrosis factor-α (TNF-α) production, with IC50 values of 46.0 ± 1.3 and 12.7 ± 0.3 μM [66,87].
Hedychicoronarin, Peroxycoronarin D, 7β-hydroxycalcaratarin A, (E)-7β-hydroxy-6-oxo-labda-8(17),12-diene-15,16-dial, Calcaratarin A, Coronarin A, Coronarin D, Coronarin D methyl ether, Coronarin D ethyl ether, (E)-labda-8(17),12-diene-15,16-dial, ergosta-4,6,8(14),22-tetraen-3-one, a mixture of β-sitostenone and β-stigmasta-4,22-dien-3-one, 6β-hydroxystigmast-4-en-3-one, 6β-hydroxystigmasta-4,22-dien-3-one, and a mixture of stearic acid and palmitic acid were isolated from Hedychium coronarium. The inhibitory effect of the compounds was tested on superoxide radical anion generation. Elastase release by human neutrophils was evaluated in response to fMet-Leu-Phe/cytochalasin B. Compounds 7β-hydroxycalcaratarin A and (E)-7β-hydroxy-6-oxo-labda-8(17),12-diene-15,16-dial, calcaratarin A, (E)-labda-8(17),12-diene-15,16-dial, and ergosta-4,6,8(14),22-tetraen-3-one had an inhibitory concentration of IC50 < 6.17 µg/mL [70].
2.5.2. Antioxidant Activity
Chan et al., 2008 carried out estimation of total phenolic content and free radical-scavenging activities using a Folin–Ciocalteu, and DPPH radical scavenging assay. The methanolic extract of leaves of Hedychium coronarium (from the Lake Gardens of Kuala Lumpur, Malaysia) were used for the study. The methanolic extract obtained from rhizomes of Hedychium spicatum was found to have potent antioxidant activity [71,73,76]. The total phenolic content was estimated using the gallic acid calibration equation y = 0.0111 × 0.0148 (R2 = 0.9998), and the total phenolic content of Hedychium coronarium was 820 ± 55 mg GAE/100 g, with significance of p < 0.05. The DPPH radical scavenging activity [88] was calculated as IC50 and expressed as the ascorbic acid equivalent antioxidant capacity (AEAC), at IC50 = 0.00387 mg/mL, whereas Hedychium coronarium had a capacity of 814 ± 116 mg AA/100 g, with significance of p < 0.05. AEAC (mg AA/100 g) = IC50(ascorbate)/IC50(sample)·105 [58]. Essential oil from a Hedychium gardnerianum Sheppard ex Ker-Gawl leaf was evaluated for DPPH antioxidation activity, and good antioxidant activity was found against ascorbic acid and BHT, as standard [86].
2.5.3. Anti-Microbial Activity and Anti-Fungal Activity
Anti-Microbial Activity and Anti-Fungal Activity by Disk Diffusion Method
Aqueous, methanol, ethanol, acetone, and hexane extracts of Hedychium spicatum rhizome were evaluated against B. subtilis, S. aureus, M. luteus, E. coli, A. flavus, A. fumigatus, M. gypseum, and C. albicans, and the zone of inhibition was recorded in (mm) at different doses (mg/disc). The results found that the extracts were active against B. subtilis, M. luteus, E. coli, A. flavus, and C. albicans, and not active against S. aureus, A. fumigatus, and M. gypseum [74]. The essential oil of Hedychium coronarium was obtained through hydro distillation, and the composition of the essential oil was identified by gas chromatography combined with mass spectroscopy with a flame ionization detector; the major components were B-pinene, eucalyptol, linalool, Coronarin-E, etc. The essential oil exhibited DPPH radical-scavenging activities, and also inhibited C. albicans and F. oxysporum [71,89].
Bisht, G.S et al., 2006 carried out an anti-microbial study for petroleum ether, benzene, chloroform, ethyl acetate, acetone, ethanol, aqueous extract, and essential oil from Hedychium spicatum rhizome. Dimethyl sulfoxide (DMSO) was used as a dilunt for the extract, and Tween-20 was used as the diluent for essential oil. The following bacterial strains: Bacillus cereus G (+), Staphylococcus aureus (KI-1A) G (+), Staphylococcus aureus G (+), Alcaligenes faecalis G (−), Escherichia coli G (−), Escherichia coli (MTCC 1687) G (−), Klebsiella pneumoneae G (−), Pseudomonas aeruginosa (MTCC 424) G (−), Salmonella typhi G (−), Shigella dysenterae G (−) and fungal strain i.e., Alternaria saloni, Aspergillus fummigatus, Aspergilus flavus, Aspergillus niger, Candida albicans (MTCC 227), Fusarium oxysporum, Mucarracemosus, Peniciliummonotricales, Penicilium spp., Rhizopus stolonifer, Trichoderma viride, and Trichodermalignorum, were used. The study found that the concentrations of anti-microbial and anti-fungal compounds were 20 mg/disc for extract and 500 µL/disc for essential oil, respectively. Gentamycin (10 µg/disc), penicillin (10 unit/disc), Vancomycin (30 µg/disc), and Methicillin (5 µg/disc) were used as standard anti-microbial agents, and Cyclohexamide (30 µg/disc) was used as a fungicide, using a Petri dish diffusion/agar diffusion test [75].
S. Joshi et al. carried out an antimicrobial assay using a Petri dish diffusion method, testing the rhizome essential oil (50 µL/disc) of Hedychium ellipticum, Hedychium aurantiacum, hedychium coronarium, and Hedychium spicatum and control Amikacin, Ciprofloxacin, Ampicillin, Gentamycin, and Tetracycline on bacterial strains S. aureus, Sal. Enterica, Pasteurella multocida, Shigella flexneri and Escherichia coli. The minimum inhibitory concentration of essential oil was found to range from 0.97 to 62.5 µL/mL, depending on the susceptibility of the tested organism [72].
In Vitro Antimicrobial Activity Using Agar Diffusion/Disk Diffusion Method
A Mueller–Hinton agar plate was cultured with microbial broth culture to study the zone of inhibition, using Hedychium coronarium rhizome essential oil (Contains Mono-terpenes, Di-terpenes, and sesqui-terpenes), by cylinder plate method. The plates were incubated for 24 h at 37 °C for bacteria and 24–48 h at 28 °C for fungi. The bacteria Bacillus subtilis and Pseudomonas aeruginosa and the yeast-like fungus Candida albicans and Trichoderma sp. (Dermatophyte) were studied. The study found that the essential oil of rhizomes has a better inhibitory effect against Trichoderma sp. and Candida albicans than against Bacillus subtilis and Pseudomonas aeruginosa [41].
2.5.4. Anthelmintic Property
Aqueous, hydro-ethanolic, hydro-methanolic, and methanol extract were evaluated for activity; the study found that methanolic extract of Hedychium spicatum was as effective as Thiabendazole at 2%, 4%, and 6% concentrations [76].
Caenorhabditis Elegans Mobility Test for Anthelmintic Activity
Lima A et al., 2021 carried out anthelmintic activity using adult C. elegans, both susceptible (wild-type and Bristol N2), and Ivermectin-resistant; a balance saline solution was used in 24-well plates for treatments with nematodes. The concentration of Hedychuim coronarium rhizome essential oil and standard monoterpenes, i.e., α-Pinene, β-Pinene, (S)-(−) Limonene, (R)-(+) Limonene 1,8-Cineole, and p-Cymene, was found to range from 0.009 to 10 mg/mL, diluted in DMSO 1%. After 24 h at 24° C, mortality was evaluated with a negative control mixture of M-9 solution and Ivermectin as positive control. The study found that the essential oil of Hedychium coronarium rhizomes had an IC50 concentration of 0.082 mg/mL (IC95 concentration 0.058–0.117 mg/mL) for the Bristol N2 strain, and an inhibitory concentration of IC50 of 0.82 mg/mL (IC95 0.556–1.2 mg/mL) for the Ivermectin-resistant strain, with a significance value of p < 0.05 [40].
2.5.5. Anti-Histaminic, Mast Cell-Stabilizing and Bronchodilator Effect
An in vitro study of hydroalcoholic extract of root composition containing Hedychium spicatum root was carried out to examine its antihistaminic effect (with Histamine dihydrochloride as control) on Guinea pigs, with a composition of 50 mg/kg of Hydroalcoholic extract. It effectively works as a preventive-type antagonist. When investigating mast cell stabilization (Ketotifen fumarate as control) on rats, a 1000 µg/mL concentration composition produced 54–58% inhibition of mast cell degranulation, with a significance value of p < 0.001. The bronchodilatory effect of the extract composition on histamine-induced bronchospasm (80–86%) was investigated in guinea pigs; a 200 mg/kg–500 mg/kg composition increased pre-convulsion time by 27–36%, with a significance value of p < 0.001 [84].
2.5.6. Cytotoxic Activity
Sesquiterpenes isolated from Hedychium spicatum (Eudesma-4(15)-ene-β-11diol, crytomeridiol, β-Udesmol, 3-Hydroxy-β-eudesmol, Mucrolidin, Oplapanone, α-Terpineol, Elemol, Dehydrocarissone, Δ7-β-Eudesmol, Opladiol, Hydroxycryptomeridiol, β-Caryophyllene oxide, Coniferaldehyde and Ethylferulate) were examined through inhibitory their effects against A-549, B-16, Hela, HT-29, NCI-H460, PC-3, IEC-6 and L-6 cancer cell lines. The results found that the compounds had potent cytotoxic activity, with an IC50 value of 0.3 μg/mL and 1.80 μg/mL [29].
Cytotoxic Screening Test
A chloroform extract of rhizome of Hedychium coronarium eluted over silica gel column chromatography and seven fractions were evaluated for cytotoxicity, which was tested by a total cell packed volume method using Sarcoma 180 ascites in mice. (E)-λ-8(17),12-di Coronarin A (IC50 = 1.65), Ene-15,16-dial (IC50 = 18.5), Coronarin B (IC50 = 2.70), Coronarin C (IC50 = 17.5), and Coronarin D (IC50 = 17.0), were also tested by an inhibition of colony formation method using Chinese hamsters. V-79 cells’ cytotoxicity was determined by T(the number of stained colonies of test groups)/C(the dose of the control group × 100 values, or the IC50 drug concentration that inhibits colony growth by 50%) [68].
In Vitro Cytotoxicity Assay
Labdane diterpenes, Hedychenoids A, Hedychenoids B, Hedychenone, Forrestin A, and Villosin were isolated from the rhizomes of Hedychium yunnanense by ethanol maceration, and further purified by liquid–liquid extraction using Ethyl acetate and water, then Butanol. The compounds were tested using an SRB method on SGC-7901 (the human gastric cancer cell line) and HELA (human cervical carcinoma). The study found that Hedychenoids B, Hedychenone, and Villosin had cytotoxicity against SGC-7901, with IC50 values of 14.88 ± 0.52, 7.08 ± 0.21 and 7.76 ± 0.21 µg/mL, and against HELA, with IC50 values of 9.76 ± 0.48 and 13.24 ± 0.63 µg/mL, respectively [85].
In Vitro Cytotoxic Study of Hedychenone and Its Analogues
MCF-7 (breast cancer), HL-60 (human promyelocytic leukemia), CHO (Chinese hamster ovary), A-375 (Human malignant melanoma), and A-549 (Human lung carcinoma) cell lines were studied [46]. Hedyforrestin D, 15-Ethoxy-hedyforrestin D, Yunnacoronarin A, Yunnacoronarin B and Yunnacoronarin C were tested for cytotoxicity against the lung adenocarcinoma cell A549, and leukemia cells K562 through an MTT assay. The study found that Yunnacoronarin A and Yunnacoronarin B have good activity, with IC50 values of 0.92 and 2.2 µM. The unsaturated lactone group had an important role in the anti-tumor activity against human lung adenocarcinoma [24]. Hexane extract of Hedychium coronarium-derived compounds 6-oxo-7,11,13-labdatrien-17-al-16,15-olide, 7,17-dihy-droxy-6-oxo-7,11,13-labdatrien-16,15-olide, Coronarin D [90,91], 7 Coronarin C, 7 Coronarin D methyl ether,15-Cryptomeridiol,16-Hedychenone,13, 6-oxo-7,11,13-labdatri-ene-16,15-Olide,12-pacovatinin A,17,4-Hydroxy-3-methoxy cinnamaldehyde, 18, and 4-Hydroxy-3-methoxy ethyl cinnamate were tested against A-549 (lung cancer), SK-N-SH (human neuroblastoma), MCF-7 (breast cancer) and HELA (cervical cancer) cell lines, showing moderate cytotoxic activity [92], and antineoplastic activity against brain cancer. The antiproliferative activity of Coronarin D against Glioblastoma cell line U–251 was reported [69].
2.5.7. Ameliorating Potential
The protective effect of Hedychium spicatum rhizome powder with concentrations of 4000 ppm and 2000 ppm was tested against 250 ppm IC50 of Indoxacarb-induced toxicity on a group of cockerels. The ameliorative effect of Hedychium spicatum root powder and its ability to restore the gene activities and expression of antioxidant, biotransformation, and immune system genes were demonstrated in cockerels fed Indoxacarb [77,93,94].
2.5.8. Hepatoprotective Effect
Hepatoprotective Effect on D-GalN-Induced Cytotoxicity in Primary Cultured Mouse Hepatocytes
S. Nakamura et al. carried out a 3-(4,5-dimethylthiazol-2-yl)-2,5-diphenyl-tetrazolium bromide (MTT) colorimetric assay in primary cultured mouse hepatocytes. Hepatocytes were isolated by the collagen perfusion method. Some 80% Aqueous extract, Coronarins B, Coronarins C, Coronarins D, 15-Hydroxylabda-8(17), 11,13-trien-16,15-olide, 16-Formyllabda-8(17),12-dien-15,11-olide, Ferullic acid, and Silybin were tested. During the test, Formazone was produced. The optical density of Formazone solution at 562 nm (reference: 660 nm) was measured by microplate reader. The percentage inhibition was calculated by the following formula: [OD sample−OD control/OD normal−OD control] × 100. The study concluded that 80% Aqueous acetone extract of Hedychium coronarium flower and other chemical constituents had a hepatoprotective effect, with a significant p < 0.01 value of percentage inhibition [25]. The expression of hepatic genes associated with biotransformation, antioxidant, and immune systems in WLH cockerels fed indoxacarb was evaluated, and a protective effect of Hedychium spicatum root extract was found. The extract prevents changes in expression of antioxidant, biotransformation, and immune system genes [65]. Figure 10 shows inhibition of D-GalN-induced cytotoxicity.
- Compounds showing hepatoprotective effect through inhibition of D-GalN-induced cytotoxicity: Coronarins B, Coronarins C, Coronarins D, 15-Hydroxylabda-8(17), 11,13-trien-16,15-olide, 16-Formyllabda-8(17),12-dien-15,11-olide, and Ferullic acid.
- Compounds showing anti-inflammatory effect through inhibition of lPs-induced NO production: Hedychenoids A, Hedychenoids B, Hedychenone, Forrestin A, Villosin, Hedychilactone A, Hedychilactone B, Hedychilctone C, Coronarin D, Coronarin D methyl ether, Coronarine E, Labda-8(17), 13(14)-dien-15,16-olide, Hedychenone, 7-Hydroxihedychenone, (+)-Nerolidol, Hedychiol A, and Hedychiol B 8,9-diacetate.
- Compounds showing anti-allergic effect through inhibition of TNF-α-induced cytotoxicity: Coronarin G, Coronarin H, Coronarin I, Coronarin D, Coronarin D methyl ether, Hedyforrestin C, (E)-Nerolidol, β-Sitosterol, Daucosterol, and Stigmasterol.
2.5.9. In Vitro Pediculicidal Activity
V. Jadhav et al. carried out an in vitro pediculicidal activity. The hydro distillate essential oil of Hedychium spicatum rhizomes has been tested on P.humanuscapitis (Phthiraptera: Pediculidae). Essential oil of 1, 2 and 5% concentration was blended with coconut oil as a base. A 1% permethrin-based preparation was used as a positive control. Lice clasping hair strands were immersed completely in the test solutions and the marketed preparation for 1 min. Vital signs were measured after 5, 10, 15, 20, 30, 45, 60, 90, and 120-min; lice were judged to be dead if a vital sign was zero. Mortality was observed as 85%, 80%, and 75% for the 5%, 2%, and 1% Hedychium spicatum essential oil; after 2 h, 100% mortality was observed, which is as significant as 1% permethrin preparation [78].
2.5.10. Hair-Growth Promotion Activity
Pentadecane and Ethyl para methoxy cinnamate were isolated from Hedychium spicatum rhizome hexane extract and evaluated for the in vivo hair growth promotion activity on female Wistar rats weighing 120–150 g. The results found that pentadecane demonstrates good reduction in hair growth time, but hexane extract shows better-than-individual compound activity [30].
2.5.11. CNS Depressant Activity of Hedychium Spectrum Extract on Rats
Ethanolic, hexane, and chloroform extracts were evaluated at a dose of 100 mg/kg body weight for CNS activity, and it was found that the extracts have CNS depressant activity using Gabapentin and Caffeine 250 mg/kg body weight as control [79].
2.6. Medicinal/Therapeutic Uses of Herbal Compositions
2.6.1. Antimicrobial Composition
Hydro alcoholic distillate of Hedychium spicatum is used with other plants’ distillates as an antimicrobial composition in Japan [95].
2.6.2. Skin Protective Composition
A composition of Hedychium extract has been reported to treat environmental damage to the skin, regulating firmness, tone, wrinkles, and skin texture with a cosmetically acceptable carrier.
Inhibition of UV-Induced Matrix Metalloproteinase-(MMP)
Epidermal equivalents derived from human epidermal keratinocytes topically treated with 0% or 0.5% w/w of Hedychium spicatum were irradiated with solar spectrum light and analysed with ELISA, which proved that compositions containing Hedychium spicatum extract provide protection against UV-induced matrix mettalloproteinase-1 (MMP-1) (the UV light in 15 MED’s effect on MMP-1: 19.3 pg/mL was reduced to 11.2 pg/mL with 0% Hedychium extract, and on MMP-1: 31.2 was reduced to 2.1 pg/mL composition with 0.5% Hedychium extract) [80].
Prevention of Smoke-Induced Loss of Thiols in Normal Human Dermal Fibroblasts
Glutathione works as a redox buffer by maintaining a balance of oxidants and antioxidants. UV exposure depletes antioxidants and glutathione, which leads to higher UVR sensitivity that causes wrinkling on the skin and environmental damage. Ten minutes of exposure to smoke reduces the thiols percentage, hence a 100 µg/mL Hedychium spicatum extract concentration afforded thiols protection in 106 ± 15.8 (mean ± SD) smoke groups [80].
Inhibition of Nitric Oxide Production
The ability of Hedychium extract to inhibit nitric oxide production was tested in LPS-stimulate murine macrophages. Nitric oxide is involved in physiological processes such as vasodilation, neurotransmission, inflammation, and growth of cancers. Nitric oxide combined with one superoxide radical produces peroxy nitrite, a highly toxic free radical. Murine macrophage RAW 264.7 was treated with Hedychium extract with concentrations of 10 to 200 µg/mL, and lipopolysaccharide from E. coli. with an IC50 of 69.97 µg/mL [80].
2.6.3. Compositions Used to Darkenthe Skin
The composition of Hedychium extract, some peptides and other extracts were tested for their ability to darken to skin and have been studied in in vitro and in vivo on human skin.
Induced Pigmentation in Human Cell Culture
Keratinocyte-melanocyte culture (Human HaCaT keratinocytes) was used to test different peptide (at 50 µM), pigment melanin and derivatives of melanin (0.0001% w/v t 1% w/v), and plant extract Forskolin was used as a pigmentation inducer. L-3,4-Dihydroxyphenylalanine (DOPA) staining and computerized image analysis were carried out (the parameters measured were the surface area of stained material within the melanocytes and keratinocytes, the total surface area of cells in culture, and the related pigmented area). Cell viability was assayed using Alamar BlueTM, and the increased pigmentation level of a peptide + Hedychium extract (50 µM, 0.1% w/v) composition was tested during analysis; the mean related pigmented area was 0.050, and the control mean area was 0.150 [81].
Induced Pigmentation In Vivo
Dark-skinned Yucatan micro swine were used for analysis of the increase in pigment deposition Forskolin or Coleus extract. Versus a positive control (1% w/v); pigment increased from 1% to 5% w/v, and peptide from 250 µM to 500 µM. Hedychium spicatum extract dissolved in ethanol: propylene glycol at a ratio of 70:30 v/v indicated a strong increase in pigment deposition, and some increase in caps [81].
Darkening of Human Skin
Human skin was tested (after being obtained from patients undergoing cosmetic surgery). Human graft was treated with composition of peptide (500 µM) and soluble melanin Melasyn-100 tm (1% w/v) in Lysosome (20 mg/mL) as a control; histological sections were evaluated for changes in pigment deposition and capped epidermal cells above the basal layer [81].
The effect of ethanol extract of leaves and pseudo stem of Hedychium coronarium on melanogenesis in B16 cells was evaluated (through melanin titration); stimulation of melanin release was inhibited by the extract at 1 mg/mL concentration. This indicates that it may help to inhibit sun-induced pigmentary spots [96].
2.6.4. Synergistic Antipyretic Formulation
A formulation containing Berberis aristata (15%), Tinosporacordifoia (15%), Alstoniascholaris (10%), Andrographis paniculata (10%), Hedychium spicatum (15%), preservative/sodium benzoate (0.001%), and simple syrup QS (to make the volume up to 100%) was tested in Dengue and yeast-induced pyrexia in rats. At 1 h, their raised temperature was reduced, and the significance was high (P < (0.01). The experiment was controlled with Paracetamol 150 mg [97].
2.6.5. Altering the Perception of Malodor
Composition containing Frankincense, Benzyl benzoate, ldehyde mixture, Amyl salicylate essential oil of Hedychium spicatum, Vanillin, Rose oil, Rose oil absolute, Ylang Ylang oil, Mexican pepper leaf oil, lignaloe wood oil [98].
2.6.6. Composition Containing Active Sunscreen Agent
Hexane and ethyl acetate fractions were isolated over silica gel and 60–120 mesh containing p-Methoxy cinnamic acid esters from Hedychium spicatum extract. Formulations containing Hedychium spicatum extract were analyzed for SPF 13.97 using an SPF 290S analyzer; the formulations were sun protection cream, sun protection shampoo, and sun protection gel, all containing Cinnamic acid ester active fractions. Skin irritation was tested in Guinea pigs, and localized reversible dermal responses were checked without the involvement of immune response [99].
2.6.7. Composition Treating Tenia Infection
Hedychium spicatum extract prepared by pulverized rhizome was extracted with chloroform at 60 °C. 6.5% w/w. Ethyl-p-methoxycinnamate was extracted and isolated by silica gel column chromatography using pet ether in ethyl acetate. Final crystallization was carried out using pet ether. An M.P of 48–50 °C was characterized by 1H NMR and MS 206 (M+) [82,100].
2.6.8. Anti-TNF Alpha Activity of Hedychium Spicatum Extract and Lead Molecule
TNF-α production was assayed by Lipopolysaccharide (LPS) in human peripheral blood mononuclear cells. (hPBMCs). Extract of Hedychium spicatum inhibited TNF-α production by 5–96% at a concentration of 10 µg/mL to 100 µg/mL, while Ethyl-p-methoxycinnamate inhibited TNF-α by 0–80% at a concentration of 10 µg/mL to 100 µg/mL in human polymorph nuclear cells [82,100].
2.6.9. Ointment Cream Formulation and Its In vitro Anti-Dermatophytic Activity
A 10% Hedychium spicatum extract was used with other formulation ingredients w/w. Trichophyton mentagrophytes and Microsporumgypseum culture grown on a PDA agar slant at 28 °C. Extract of Hedychium spicatum (0.01 to 0.10 mg/mL), Ethyl-p-methoxycinnamate (0.01 to 0.10 mg/mL), and ointment (100, 50, 25, 10, and 5 mg/mL) were assayed against control Ketoconazole 2% in 0.5 mg/mL and Tolftate 1% in 0.05 mg/mL concentration as standard. The minimum inhibitory concentration (MIC) was found for the extract (0.04 mg/mL), and for Ethyl-p-methoxycinnamate (0.03 mg/mL), Ketoconazole 2% (0.5 mg/mL), and Tolnaflate 1% (0.05 mg/mL) [82,100].
2.6.10. Antidiabetic Activity of Extract and Composition Used to Reduce Blood Glucose Level
Ethanol extract of the leaves and pseudo stem of Hedychium coronarium was tested for glucose tolerance in normal rats (with a dose of 750 mg/kg reducing blood glucose in 120 min) and mice with type-II diabetes (with a dose of 1.5 g/kg causing a significant reduction in blood glucose, with a significance value of p < 0.01). An intraperitoneal glucose tolerance test was carried out in normal mice (with a dose of 1.5 g/kg, with p < 0.01), while an insulin increase test was carried out in normal mice (with a dose of 1.5 g/kg, with p < 0.01 value). A glucose tolerance test was carried out in rats with type-I diabetes (with a dose of 1.5 g/kg, with p< 0.01), and an insulin increase test was performed on mice with type-II diabetes (with a dose of 1 g/kg, with p < 0.01). An insulin resistance test was carried out in rats with type-I diabetes (with a dose of 1 g/kg, with p < 0.01) [64]. The water extract of leaves and the pseudo-stem of Hedychium coronarium were tested for glucose tolerance in normal rats (with a dose of 1.5 g/kg, with p < 0.01), and water–ethanol extract was tested for glucose tolerance in normal rats (with a dose of 0.8 g/kg, with p < 0.01) [64,101,102].
2.6.11. Anti-Inflammatory Composition in Cream
Inflammatory cytokines (TNF-alpha, IL-6, and IL-1beta in pcg/mg protein) were tested in the blood serum of mice by an enzyme-linked immune-sorbent assay (ELISA), which showed the topical synergistic anti-inflammatory activity of three essential oil blends, including 60% Cymbopogon citratus oil, 20% Zenthoxylumarmatum oil, and 20% Hedychium spicatum oil, which is beneficial in inflammatory arthritis [103]. The macrobiotic composition of Hedychium spicatum extract, along with other ingredients, shows health benefits that are effective in facial and body care for acne, dermatitis, eczema [104], and conditioning of the skin [105]. Various extract- and essential oil-based formulations have been produced for the treatment of immune system disorders such as cancer and lupus [106].
2.6.12. Uses in Cracked Heels
A cracked heel cream composition containing Hedychium spicatum extract may be effective as an anti-inflammatory and used as barrier to protect the skin [83].
2.6.13. Therapeutic Effect of Composition of Plant Extract of Hedychium Coronarium Root for Treatment of the Human Body
A mitochondrial network in fibroblasts was irradiated with UVA (Mito-tracker staining, ATP, and NAD+/NADH titration). Cytotoxicity and viability were checked by an XTT assay. Concentrations of 0.005% and 0.01% extract were non-cytotoxic to fibroblasts [96]. The lysosomal network in fibroblasts was irradiated with UVA (Lysotracker staining). Cytotoxicity and viability were checked by an XTT assay. Concentrations of 0.0005% and 0.01% extract (50% hydro-alcoholic root extract) were non-cytotoxic to fibroblasts [96].
Evaluation of the effect of the root extract on human skin explants was then performed using a pollution model. The extract has the potential to fight against inflammatory stress mediators induced by pollution [100]. The effect of β-endorphin production by normal human keratinocytes was evaluated; treatment of normal keratinocytes with extract concentrations of 0.001 to 0.005% induced stimulation of β-endorphin release [96].
The antioxidant potential of the ethanol extract of the leaves and pseudo stem of Hedychium coronarium was evaluated in normal human keratinocytes (using ROS detection with an H2DCFDA probe). The extract showed inhibitory action on ROS production with a concentration of 0.01%, p < 0.122 [96]. The effect of the ethanol extract of leaves and the pseudo stem of Hedychium coronarium on autophagic activity in fibroblasts was evaluated by irradiation with blue light (according to MDC assay, the autophagic activity of fibroblast cells decreases by 13–35% at concentrations of 0.001% to 0.005%) [96].
3. Discussion
Hedychium plants are easily available in the Himalayan regions of India and China [44,52]. Hedychium plants are used in gardening and for some traditional applications. Utilization of plants for suitable and precise medicinal activity is needed. In our study, we found Hedychium species are abundant with terpenes and terpenoids. Diterpenes and diterpenoids i.e., Hedychenone, Hedychilactone D, Coronarin D, Coronarin D ethyl ether etc. [9,32] may have future potential as anti-inflammatories, and may be effective against inflammatory mediators and precursors. Terpenoids are hexane-soluble, while hexane extracted materials are not likely to be used for human intake. Suitable green technology may help the extract to become more prominent in human uses, such as super critical fluid extraction, and ethanol-based extraction methods. Extracts and individual compounds were isolated from Hedychium spicatum and Hedychium coronarium, and both species were studied in vitro for anti-inflammatory, antifungal, antimicrobial, and cytotoxic qualities [44,45,69].
Identification of possible pharmacological pathways and the specific medicinal activity of individual drug candidates may help to improve and strengthen plant-based herbal API (active pharmaceutical ingredients). Screening of pharmacological activity using artificial learning/machine learning (AL/ML) methods [107] helps to draw conclusions on the specificity of a given compound. Computational approaches such as docking, MD simulation, virtual screen for different and most suitable protein-binding sites, and ADMET study [108] for stabilizing pharmacokinetic parameters may be used To increase compounds’ potency and receptor specificity, de novo drug design [109] and receptor-based drug design approaches may be used.
4. Conclusions
Terpenes are used in perfumery and aromatherapy due to their pleasant odor and aromatic effect. This study found that Hedychium species are abundant with aromatic properties. Hedychium species contain monoterpenes and sesquiterpene present in the essential oil of leaves, flowers, rhizomes, and roots. Terpenes are chiral in nature, meaning they provide distinct physiological characteristics to the compounds, such as odor, medicinal activity, and toxicity. Unsaturation is a key feature of terpenes, as is the presence of oxygen atoms in terpenoids. Hexane, ethyl acetate, and chloroform extracts of plant parts of the Hedychium species contain various diterpenes, diterpenoids, and labdane-type diterpenoids. Methanol, ethanol, hydroalcoholic, and aqueous extract fractions contain polyphenolic compounds, flavonoids, xanthones, and some glycosides.
The essential oil of Hedychium plant parts contains aromatic, anti-inflammatory, and antimicrobial activity due to mono and sesquiterpenes. Hexane, ethyl-acetate and chloroform fractions exhibit significant anti-inflammatory, cytotoxic, antimicrobial activity due to terpenoids and labdane diterpenes. The methanol and ethanol extracts of Hedychium plant parts contain antioxidant and hydroalcoholic extract and possess antioxidant and bronchodilator activity. Herbal ancient medication using the different parts (e.g., leaves, rhizomes, and flowers) of Hedychium extracts has effective anti-inflammatory, analgesic, antidiabetic, and anti-asthmatic qualities; it is also used as an antidote to snake bites, and in various other synergistic activities. This is because in traditional medication systems, the plant’s whole parts, dried powder and hydroalcoholic or alcoholic extract are used, which contain all the active molecules needed to treat a disease or ailment.
Out of 100 species of Hedychium species, only Hedychium coronarium, Hedychium spicatum, Hedychium gardnerianum, Hedychium cylindricum Rid, Hedychium flavescens, Hedychium venustum, Hedychium coccineum, Hedychium ellipticum, Hedychium flavescenscarey, Hedychium longicornutum, Hedychium forrestii, Hedychium yunnanense, and Hedychium aurantiacum were studied.
Our study suggests that the extracts and essential oils of Hedychium spicatum, Hedychium coronarium, Hedychium ellipticum, Hedychium aurantiacum, Hedychium gardnerianum have anti-inflammatory, anti-pyretic, skin protective (via sunscreen), and anti-bacterial effects. The chemical constituents present in hexane, chloroform, and ethyl acetate, and in the methanolic extract of Hedychium spicatum and Hedychium coronarium, i.e., Hedychenone, Hedychilactone D, Coronarin D, Coronarin E, 9-Hydroxy Hedychenone, 7-Hydroxy Hedychenone, Yunnacoronarin A and Coronarian D methyl ether, Coronarian D ethyl ether (diterpenes and diterpenoids), are identified as having anti-inflammatory, anti-allergic, antibacterial, and cytotoxic effects. The study comprises useful findings regarding the extracts and isolated compounds of Hedychium species, which may be fruitful in the commercialization of specific compounds or extracts obtained from the Hedychium genus.
Author Contributions
Conceptualization A.P.S., R.K.S., J.K. and A.B.; writing original draft preparation A.P.S., R.K.S., J.K., A.B. and H.C.; writing paper and editing A.P.S., R.K.S., J.K., A.B. and H.C.; writing—review and editing, B.A.A.-W., M.M.K., M.S.H., M.A.O. and M.B.B.; visualization, H.C.; supervision, R.K.S., J.K. and A.B.; project administration, H.C.; funding acquisition, B.A.A.-W., M.M.K., M.S.H., M.A.O. and M.B.B. All authors have read and agreed to the published version of the manuscript.
Funding
The APC was funded by Najran University, Najran, Saudi Arabia (NU/RG/MRC/12/13).
Institutional Review Board Statement
Not applicable.
Informed Consent Statement
Not applicable.
Data Availability Statement
Not applicable.
Acknowledgments
The authors are thankful to the Deanship of Scientific Research at Najran University for funding this work under the Research Groups Funding program, grant code (NU/RG/MRC/12/13).
Conflicts of Interest
The authors declare no conflict of interest.
Abbreviations
NMR = Nuclear magnetic resonance, H-H COSY = Homonuclear correlation spectroscopy, HMBC = Heteronuclear multiple -bond correlation spectroscopy, HSQC = Heteronuclear single quantum correlation spectroscopy, NOSSY = Nuclear over-Hauser effect spectroscopy, IC50 = Inhibitory concentration 50, NOS = Nitrous oxide synthase, RBL = Release beta -hexosaminidase, DPPH = 2,2-diphenyl-1-picrylhydrazyl, AEAC = Ascorbic acid equivalent antioxidant capacity, GAE = Gallic acid equivalent, MTT = 3-(4,5-dimethylthiazol-2-yl)-2,5-diphenyl-tetrazolium bromide, LPS = Lipopolysaccharide.
References
- Prakash, O.; Chandra, M.; Punetha, H.; Pant, A.K.; Rawat, D.S. Spiked Ginger Lily (Hedychium Spp.) Oils; Elsevier Inc.: Amsterdam, The Netherlands, 2016; pp. 849–856. ISBN 9780124166448. [Google Scholar]
- World Flora Online. Demonstartion Portal World Flora Online. 2021. Available online: http://worldfloraonline.org (accessed on 5 August 2020).
- Ghildiyal, S.; Gautam, M.K.; Joshi, V.K.; Goel, R.K. Pharmacognostical Study of Hedychium spicatum (Ham-Ex-Smith) Rhizome. Asian Pacific. J. Trop. Dis. 2012, 2, S148–S153. [Google Scholar] [CrossRef]
- Pereira, M.J.; Eleutério, T.; Meirelles, M.G.; Vasconcelos, H.C. Hedychium gardnerianum Sheph. Ex Ker Gawl. from Its Discovery to Its Invasive Status: A Review. Bot. Stud. 2021, 62, 11. [Google Scholar] [CrossRef] [PubMed]
- Rasool, S.; Maqbool, M. An Overview about Hedychium spicatum: A Review Shafiqa. J. Drug Deliv. Ther. 2019, 9, 265–274. [Google Scholar] [CrossRef]
- Raina, A.P.; Negi, K.S. Essential Oil Composition of Hedychium spicatum Buch.-Ham. Ex Smith. from Uttarakhand, India. J. Essent. Oil-Bear. Plants 2015, 18, 382–388. [Google Scholar] [CrossRef]
- Semwal, R.; Semwal, D.; Mishra, S.; Semwal, R. Chemical Composition and Antibacterial Potential of Essential Oils from Artemisia capillaris, Artemisia nilagirica, Citrus limon, Cymbopogon flexuosus, Hedychium spicatum and Ocimum tenuiflorum. Nat. Prod. J. 2015, 5, 199–205. [Google Scholar] [CrossRef]
- Garg, S.N.; Shawl, A.S.; Gulati, B.C. Essential Oil of Hedychium spicatum Var. Acuminatum. Indian Perfum. 1977, 21, 79–82. [Google Scholar]
- Sharma, S.C.; Tandon, J.S.; Uprety, H.; Shukla, Y.N.; Dhar, M.M. Hedychenone: A Furanoid Diterpene from Hedychium spicatum. Phytochemistry 1975, 14, 1059–1061. [Google Scholar] [CrossRef]
- Sharma, S.C.; Tandon, J.S.; Uprety, H.; Shukla, Y.N.; Dhar, M.M. 7-Hydroxyhedychenone, A Furanoditerpene from Hedychium spicatum. Phytochemistry 1976, 15, 827–828. [Google Scholar] [CrossRef]
- Reddy, P.P.; Rao, R.R.; Rekha, K.; Suresh Babu, K.; Shashidhar, J.; Shashikiran, G.; Vijaya Lakshmi, V.; Rao, J.M. Two New Cytotoxic Diterpenes from the Rhizomes of Hedychium spicatum. Bioorganic Med. Chem. Lett. 2009, 19, 192–195. [Google Scholar] [CrossRef]
- Kumrit, I.; Suksamrarn, A.; Meepawpan, P.; Songsri, S.; Nuntawong, N. Labdane-Type Diterpenes from Hedychium gardnerianum with Potent Cytotoxicity against Human Small Cell Lung Cancer Cells. Phyther. Res. 2010, 24, 1009–1013. [Google Scholar] [CrossRef]
- Zhao, H.; Zeng, G.; Zhao, S.; Xu, J.; Kong, L.; Li, Y.; Tan, N.; Yang, S. Cytotoxic Labdane-Type Diterpenes from Hedychium longipetalum Inhibiting Production of Nitric Oxide. Bioorganic Med. Chem. Lett. 2015, 25, 4572–4575. [Google Scholar] [CrossRef]
- Ray, A.; Jena, S.; Dash, B.; Sahoo, A.; Kar, B.; Patnaik, J.; Panda, P.C.; Nayak, S.; Mahapatra, N. Hedychium coronarium Extract Arrests Cell Cycle Progression, Induces Apoptosis, and Impairs Migration and Invasion in HeLa Cervical Cancer Cells. Cancer Manag. Res. 2019, 11, 483–500. [Google Scholar] [CrossRef]
- Chimnoi, N.; Sarasuk, C.; Khunnawutmanotham, N.; Intachote, P.; Seangsai, S.; Saimanee, B.; Pisutjaroenpong, S.; Mahidol, C.; Techasakul, S. Phytochemical Reinvestigation of Labdane-Type Diterpenes and Their Cytotoxicity from the Rhizomes of Hedychium coronarium. Phytochem. Lett. 2009, 2, 184–187. [Google Scholar] [CrossRef]
- Ray, A.; Halder, T.; Jena, S.; Sahoo, A.; Ghosh, B.; Mohanty, S.; Mahapatra, N.; Nayak, S. Application of Artificial Neural Network (ANN) Model for Prediction and Optimization of Coronarin D Content in Hedychium coronarium. Ind. Crops Prod. 2020, 146, 112186. [Google Scholar] [CrossRef]
- Matsuda, H.; Morikawa, T.; Sakamoto, Y.; Toguchida, I.; Yoshikawa, M. Labdane-Type Diterpenes with Inhibitory Effects on Increase in Vascular Permeability and Nitric Oxide Production from Hedychium coronarium. Bioorganic Med. Chem. 2002, 10, 2527–2534. [Google Scholar] [CrossRef]
- Chimnoi, N.; Pisutjaroenpong, S.; Ngiwsara, L.; Dechtrirut, D.; Chokchaichamnankit, D.; Khunnawutmanotham, N.; Mahidol, C.; Techasakul, S. Labdane Diterpenes from the Rhizomes of Hedychium coronarium. Nat. Prod. Res. 2008, 22, 1249–1256. [Google Scholar] [CrossRef]
- Endringer, D.C.; Taveira, F.S.N.; Kondratyuk, T.P.; Pezzuto, J.M.; Bragaa, F.C. Cancer Chemoprevention Activity of Labdane Diterpenes from Rhizomes of Hedychium coronarium. Rev. Bras. Farmacogn. 2014, 24, 408–412. [Google Scholar] [CrossRef]
- Chen, L.C.; Wen, Z.H.; Sung, P.J.; Shu, C.W.; Kuo, W.L.; Chen, P.Y.; Chen, J.J. New Labdane-Type Diterpenoid and Cytotoxic Constituents of Hedychium coronarium. Chem. Nat. Compd. 2017, 53, 72–76. [Google Scholar] [CrossRef]
- Jung, M.E.; Murakami, M. Total Synthesis of (±)-Hedychilactone B: Stepwise Allenoate Diene Cycloaddition to Prepare Trimethyldecalin Systems. Org. Lett. 2007, 9, 461–463. [Google Scholar] [CrossRef]
- Prabhakar Reddy, P.; Ranga Rao, R.; Shashidhar, J.; Sastry, B.S.; Madhusudana Rao, J.; Suresh Babu, K. Phytochemical Investigation of Labdane Diterpenes from the Rhizomes of Hedychium spicatum and Their Cytotoxic Activity. Bioorganic Med. Chem. Lett. 2009, 19, 6078–6081. [Google Scholar] [CrossRef]
- Prabhakar Reddy, P.; Tiwari, A.K.; Ranga Rao, R.; Madhusudhana, K.; Rama Subba Rao, V.; Ali, A.Z.; Suresh Babu, K.; Madhusudana Rao, J. New Labdane Diterpenes as Intestinal α-Glucosidase Inhibitor from Antihyperglycemic Extract of Hedychium spicatum (Ham. Ex Smith) Rhizomes. Bioorganic Med. Chem. Lett. 2009, 19, 2562–2565. [Google Scholar] [CrossRef] [PubMed]
- Zhao, Q.; Qing, C.; Hao, X.J.; Han, J.; Zuo, G.Y.; Zou, C.; Xu, G.L. Cytotoxicity of Labdane-Type Diterpenoids from Hedychium forrestii. Chem. Pharm. Bull. 2008, 56, 210–212. [Google Scholar] [CrossRef] [PubMed]
- Nakamura, S.; Okazaki, Y.; Ninomiya, K.; Morikawa, T.; Matsuda, H.; Yoshikawa, M. Medicinal Flowers, Chemical Structures and Hepatoprotective Effects of Constituents from Flowers of Hedychium coronarium. Chem. Pharm. Bull. 2008, 56, 1704–1709. [Google Scholar] [CrossRef] [PubMed]
- Williams, C.A.; Harborne, J.B. The Leaf Flavonoids of the Zingiberales. Biochem. Syst. Ecol. 1977, 5, 221–229. [Google Scholar] [CrossRef]
- Carvalho, M.J.; Carvalho, L.M.; Ferreira, A.M.; Silva, A.M.S. A New Xanthone from Hedychium gardnerianum. Nat. Prod. Res. 2003, 17, 445–449. [Google Scholar] [CrossRef]
- Dan, M.; Pushpangadan, P. Studies on the Rhizome Oils from Four Hedychium Species of South India: A Chemotaxonomic Approach. Gard. Bull. Singap. 2007, 59, 57–64. [Google Scholar]
- Suresh, G.; Poornima, B.; Babu, K.S.; Yadav, P.A.; Rao, M.S.A.; Siva, B.; Prasad, K.R.; Nayak, V.L.; Ramakrishna, S. Cytotoxic Sesquiterpenes from Hedychium spicatum: Isolation, Structure Elucidation and Structure-Activity Relationship Studies. Fitoterapia 2013, 86, 100–107. [Google Scholar] [CrossRef]
- Rao, V.; Mukhopadhyay, T.; Madhavi, M.S.L.; Lavakumar, S. Chemical Examination and Hair Growth Studies on the Rhizomes of Hedychium spicatum Buch.-Ham. Pharmacogn. Commun. 2011, 1, 90–93. [Google Scholar] [CrossRef]
- Sharma, S.C.; Shukla, Y.N.; Tandon, J.S. Alkaloids and Terpenoids of Ancistrocladus Heyneanus, Sagittaria Saitifolia, Lyonia Formosa and Hedychium spicatum. Phytochemistry 1975, 14, 578–579. [Google Scholar] [CrossRef]
- Morikawa, T.; Matsuda, H.; Sakamoto, Y.; Ueda, K.; Yoshikawa, M. New Farnesane-Type Sesquiterpenes, Hedychiols A and B 8,9-Diacetate, and Inhibitors of Degranulation in RBL-2H3 Cells from the Rhizome of Hedychium coronarium. Chem. Pharm. Bull. 2002, 50, 1045–1049. [Google Scholar] [CrossRef]
- Aslaoui, J.; Li, H.; Morin, C. Synthesis of Hedychenone, Yunnancoronarins and Aframodial Derivatives. Tetrahedron Lett. 2005, 46, 1713–1716. [Google Scholar] [CrossRef]
- Tavares, W.R.; Barreto, M.D.C.; Seca, A.M.L. Uncharted Source of Medicinal Products: The Case of the Hedychium Genus. Medicines 2020, 7, 23. [Google Scholar] [CrossRef]
- Itokawa, H.; Morita, H.; Takeya, K.; Motidome, M. Diterpenes from Rhizomes of Hedychium coronarium. Chem. Pharm. Bull. 1994, 17, 1460–1462. [Google Scholar] [CrossRef]
- Bottini, A.T.; Garfagnoli, D.J.; Delgado, L.S.; Dev, V.; Duong, S.T.; Kelley, C.G.; Keyer, R.; Raffel, R.; Joshi, P.; Mathela, C.S. Sesquiterpene Alcohols from Hedychium spicatum Var: Acuminatum. J. Nat. Prod. 1987, 50, 732–734. [Google Scholar] [CrossRef]
- Medeiros, J.R.; Campos, L.B.; Mendonça, S.C.; Davin, L.B.; Lewis, N.G. Composition and Antimicrobial Activity of the Essential Oils from Invasive Species of the Azores, Hedychium gardnerianum and Pittosporum Undulatum. Phytochemistry 2003, 64, 561–565. [Google Scholar] [CrossRef]
- Taylor, P.; Ahmad, F.; Jantan, I.; Jalil, J.; Ahmad, F. Constituents of the Rhizome Oil of Hedychium Constituents of the Rhizome Oil of Hedychium Cylindricum Ridl. J. Essent. Oil Res. 2004, 16, 299–301. [Google Scholar] [CrossRef]
- Tawatsin, A.; Asavadachanukorn, P.; Thavara, U. Repellency of Essential Oils Extracted from Plants in Thailand against Four Mosquito Vectors (Diptera: Culicidae) and Oviposition Deterrent Effects against Aedes Aegypti (Diptera Culicidae). Southeast Asian J. Trop. Med. Public Health 2006, 37, 915–931. [Google Scholar]
- Lima, A.S.; Costa Junior, H.N.P.; Costa-Junior, L.M.; Monteiro, O.S.; Maia, J.G.S.; da Rocha, C.Q. Anthelmintic Effect of Essential Rhizome Oil from Hedychium coronarium Koenig (Zingiberaceae) Introduced in Northeastern Brazil. Acta Trop. 2021, 218, 105912. [Google Scholar] [CrossRef]
- Joy, B.; Rajan, A.; Abraham, E. Antimicrobial Activity and Chemical Composition of Essential Oil from Hedychium coronarium. Phyther. Res. 2007, 21, 439–443. [Google Scholar] [CrossRef]
- Jung, M.E.; Murakami, M. Total Synthesis of (±)-Hedychenone: Trimethyldecalin Terpene Systems via Stepwise Allenoate Diene Cycloaddition. Org. Lett. 2006, 8, 5857–5859. [Google Scholar] [CrossRef]
- Prabhakar Reddy, P.; Lavekar, A.G.; Suresh Babu, K.; Ranga Rao, R.; Shashidhar, J.; Shashikiran, G.; Madhusudana Rao, J. Synthesis, Cytotoxic Activity and Structure-Activity Relationships of Hedychenone Analogues. Bioorganic Med. Chem. Lett. 2010, 20, 2525–2528. [Google Scholar] [CrossRef] [PubMed]
- National, T.; Myanmar, P.; Ong, H.G.; Ling, S.M.; Thet, T.; Win, M.; Kang, D.; Lee, J.; Kim, Y.; Ong, H.G.; et al. Ethnomedicinal Plants and Traditional Knowledge among Three Chin Indigenous Groups in Natma Taung National Park (Myanmar). J. Ethnopharmacol. 2018, 225, 136–158. [Google Scholar] [CrossRef]
- Savithramma, N.; Sulochana, C.; Rao, K.N. Ethnobotanical Survey of Plants Used to Treat Asthma in Andhra Pradesh, India. J. Ethnopharmacol. 2007, 113, 54–61. [Google Scholar] [CrossRef] [PubMed]
- Rawat, S.; Jugran, A.K.; Bhatt, I.D.; Rawal, R.S. Hedychium Spicatum: A Systematic Review on Traditional Uses, Phytochemistry, Pharmacology and Future Prospectus. J. Pharm. Pharmacol. 2018, 70, 687–712. [Google Scholar] [CrossRef] [PubMed]
- Upasani, M.S.; Upasani, S.V.; Beldar, V.G.; Beldar, C.G.; Gujarathi, P.P. Infrequent Use of Medicinal Plants from India in Snakebite Treatment. Integr. Med. Res. 2018, 7, 9–26. [Google Scholar] [CrossRef]
- Malla, B.; Gauchan, D.P.; Chhetri, R.B. An Ethnobotanical Study of Medicinal Plants Used by Ethnic People in Parbat District of Western Nepal An Ethnobotanical Study of Medicinal Plants Used by Ethnic People in Parbat District of Western Nepal. J. Ethnopharmacol. 2015, 165, 103–117. [Google Scholar] [CrossRef]
- Panmei, R.; Gajurel, P.R.; Singh, B. Ethnobotany of Medicinal Plants Used by the Zeliangrong Ethnic Group of Manipur, Northeast India. J. Ethnopharmacol. 2019, 235, 164–182. [Google Scholar] [CrossRef]
- Tribess, B.; Pintarelli, G.M.; Bini, L.A.; Camargo, A.; Funez, A.; Gasper, A.L. De Ethnobotanical Study of Plants Used for Therapeutic Purposes in the Atlantic Forest Region, Southern Brazil. J. Ethnopharmacol. 2015, 14, 136–146. [Google Scholar] [CrossRef]
- Yazbek, P.B.; Matta, P.; Passero, L.F.; Santos, G.; Braga, S.; Assunção, L.; Sauini, T.; Cassas, F.; Garcia, R.J.F.; Honda, S.; et al. Plants Utilized as Medicines by Residents of Quilombo Da Fazenda, Núcleo Picinguaba, Ubatuba, Sao Paulo, Brazil: A Participatory Survey. J. Ethnopharmacol. 2019, 244, 112123. [Google Scholar] [CrossRef]
- Jain, S.K.; Fernandes, V.F.; Lata, S.; Ayub, A. Indo-Amazonian Ethnobotanic Connections-Similar Uses of Some Common Plants. Ethnobotany 1995, 7, 29–37. [Google Scholar]
- Vásquez, J.; Alarcón, J.C.; Jiménez, S.L.; Jaramillo, G.I.; Gómez-betancur, I.C.; Rey-suárez, J.P.; Jaramillo, K.M.; Muñoz, D.C.; Marín, D.M.; Romero, J.O. Main Plants Used in Traditional Medicine for the Treatment of Snake Bites n the Regions of the Department of Antioquia, Colombia. J. Ethnopharmacol. 2015, 170, 158–166. [Google Scholar] [CrossRef]
- Chan, E.W.C.; Wong, S.K. Phytochemistry and Pharmacology of Ornamental Gingers, Hedychium coronarium and Alpinia Purpurata: A Review. J. Integr. Med. 2015, 13, 368–379. [Google Scholar] [CrossRef]
- Taylor, P.; Parida, R.; Mohanty, S.; Nayak, S. Chemical Composition of Essential Oil from Leaf and Rhizome of Micropropagated and Conventionally Grown Hedychium coronarium Koen. from Eastern India. J. Essent. Oil Bear. Plants 2015, 18, 161–167. [Google Scholar] [CrossRef]
- Ray, A.; Dash, B.; Sahoo, S.; Sahoo, A.; Jena, S.; Kar, B.; Tuhin, C.; Ghosh, B.; Saghamitra, N. Development and Validation of an HPTLC Method for Estimation of Coronarin D in Hedychium coronarium Rhizome. Acta Chromatohraphica 2017, 29, 415–426. [Google Scholar] [CrossRef]
- Shah, A.; Avinash, K.; Ahmad, J.; Sharma, M.P. New Ethnomedicinal Claims from Gujjar and Bakerwals Tribes of Rajouri and Poonch Districts of Jammu and Kashmir, India. J. Ethnopharmacol. 2015, 166, 119–128. [Google Scholar] [CrossRef]
- Wei, E.; Chan, C.; Lim, Y.Y. Antioxidant and Tyrosinase Inhibition Properties of Leaves and Rhizomes of Ginger Species. Food Chem. 2008, 109, 477–483. [Google Scholar] [CrossRef]
- Suroowan, S.; Pynee, K.B.; Mahomoodally, M.F. A Comprehensive Review of Ethnopharmacologically Important Medicinal Plant Species from Mauritius. South Afr. J. Bot. 2019, 122, 189–213. [Google Scholar] [CrossRef]
- Coe, F.G.; Anderson, G.J. Snakebite Ethnopharmacopoeia of Eastern Nicaragua. J. Ethnopharmacol. 2005, 96, 303–323. [Google Scholar] [CrossRef]
- Valadeau, C.; Alban, J.; Sauvain, M.; Francis, A. The Rainbow Hurts My Skin: Medicinal Concepts and Plants Uses among the Yanesha (Amuesha), an Amazonian Peruvian Ethnic Group. J. Ethnopharmacol. 2010, 127, 175–192. [Google Scholar] [CrossRef]
- Kiem, P.V.; Thuy, N.T.K.; Anh, H.L.T.; Nhiem, N.X.; Minh, C.V.; Yen, P.H.; Ban, N.K.; Hang, D.T.; Tai, B.H.; Tuyen, N.V.; et al. Chemical Constituents of the Rhizomes of Hedychium coronarium and Their Inhibitory Effect on the Pro-Inflammatory Cytokines Production LPS-Stimulated in Bone Marrow-Derived Dendritic Cells. Bioorganic Med. Chem. Lett. 2011, 21, 7460–7465. [Google Scholar] [CrossRef]
- Ranjarisoa, L.N.; Razanamihaja, N.; Rafatro, H. Use of Plants in Oral Health Care by the Population of Mahajanga, Madagascar. J. Ethnopharmacol. 2016, 139, 179–194. [Google Scholar] [CrossRef] [PubMed]
- Rey, W.Y.; Yuan-Yu, W.; Lung-Yu, K.; King, K. Use of Overground Part of Hedychium coronarium Koenig in Reducing Blood Glucose; Extracts and Compositions of Overground Part of Hedychium coronarium Koenig and Their Uses. US 2011/0195139 A1, 11 August 2011. [Google Scholar]
- Kumar Choudhary, G.; Pal Singh, S. In Vitro Hepatoprotective Efficacy of Extract of Hedychium spicatum Rhizome in Paracetamol Induced Toxicity in HepG2 Cell Line. Indian J. Anim. Sci. 2018, 88, 546–549. [Google Scholar] [CrossRef]
- Van Kiem, P.; Le Tuan Anh, H.; Nhiem, N.X.; Van Minh, C.; Thuy, N.T.K.; Yen, P.H.; Hang, D.T.; Tai, B.H.; Mathema, V.B.; Koh, Y.S. Labdane-Type Diterpenoids from the Rhizomes of Hedychium coronarium Inhibit Lipopolysaccharide-Stimulated Production of Proinflammatory Cytokines in Bone Marrow-Derived Dendritic Cells. Chem. Pharm. Bull. 2012, 60, 246–250. [Google Scholar] [CrossRef] [PubMed]
- Shrotriya, S.; Ali, M.S.; Saha, A.; Bachar, S.C.; Islam, M.S. Anti-Inflammatory and Analgesic Effects of Hedychium coronarium Koen. Pak. J. Pharm. Sci. 2007, 20, 47–51. [Google Scholar]
- Itokawa, H.; Morita, H.; Katou, I.; Takeya, K.; Cavalheiro, A.J.; De Oliveira, R.C.B.; Ishige, M.; Motidome, M. Cytotoxic Diterpenes from the Rhizomes of Hedychium coronarium. Planta Med. 1988, 54, 311–315. [Google Scholar] [CrossRef] [PubMed]
- Franco, Y.E.M.; Okubo, M.Y.; Torre, A.D.; Paiva, P.P.; Rosa, M.N.; Silva, V.A.O.; Reis, R.M.; Ruiz, A.L.T.G.; Imamura, P.M.; de Carvalho, J.E.; et al. Coronarin D Induces Apoptotic Cell Death and Cell Cycle Arrest in Human Glioblastoma Cell Line. Molecules 2019, 24, 4498. [Google Scholar] [CrossRef]
- Chen, J.J.; Ting, C.W.; Wu, Y.C.; Hwang, T.L.; Cheng, M.J.; Sung, P.J.; Wang, T.C.; Chen, J.F. New Labdane-Type Diterpenoids and Anti-Inflammatory Constituents from Hedychium coronarium. Int. J. Mol. Sci. 2013, 14, 13063–13077. [Google Scholar] [CrossRef]
- Ray, A.; Jena, S.; Dash, B.; Kar, B.; Halder, T.; Chatterjee, T.; Ghosh, B.; Panda, P.C.; Nayak, S.; Mahapatra, N. Chemical Diversity, Antioxidant and Antimicrobial Activities of the Essential Oils from Indian Populations of Hedychium coronarium Koen. Ind. Crops Prod. 2018, 112, 353–362. [Google Scholar] [CrossRef]
- Joshi, S.; Chanotiya, C.S.; Agarwal, G.; Prakash, O.; Pant, A.K.; Mathela, C.S. Terpenoid Compositions, and Antioxidant and Antimicrobial Properties of the Rhizome Essential Oils of Different Hedychium Species Chem. Biodivers. 2008, 5, 299–309. [Google Scholar] [CrossRef]
- Singh, A.P.; Jindal, D.; Rawat, A.K.S.; Pandey, M.M.; Rastogi, S. Antioxidant Property of the Methanol Extracts of the Leaves and Rhizomes of Hedychium spicatum (Buch-Ham. Ex Smith). Asian J. Chem. 2012, 24, 197–199. [Google Scholar]
- Rawat, S.; Jugran, A.K.; Bahukhandi, A.; Bahuguna, A.; Bhatt, I.D.; Rawal, R.S.; Dhar, U. Anti-Oxidant and Anti-Microbial Properties of Some Ethno-Therapeutically Important Medicinal Plants of Indian Himalayan Region. 3 Biotech 2016, 6, 154. [Google Scholar] [CrossRef]
- Bisht, G.S.; Awasthi, A.K.; Dhole, T.N. Antimicrobial Activity of Hedychium spicatum. Fitoterapia 2006, 77, 240–242. [Google Scholar] [CrossRef]
- Choudhary, G.K.; Singh, S.P.; Kumar, R.R. In Vitro Antioxidant and Anthelmintic Properties of Rhizome Extracts of Hedychium spicatum. Indian J. Anim. Sci. 2018, 88, 300–303. [Google Scholar] [CrossRef]
- Choudhary, G.K.; Singh, S.P. Ameliorating Potential of Hedychium spictum on Oxidative Stress Following Chronic Exposure to Indoxacarb in WLH Cockerels. Indian J. Anim. Res. 2017, 51, 832–836. [Google Scholar] [CrossRef]
- Jadhav, V.; Kore, A.; Kadam, V.J. In-Vitro Pediculicidal Activity of Hedychium spicatum Essential Oil. Fitoterapia 2007, 78, 470–473. [Google Scholar] [CrossRef]
- Parcha, V.; Kumar, A.; Jadon, V.K.; Negi, Y.K.; Kaushik, V. Effect of Total Ethanol Extract of Hedychium spicatum Rhizome and Its Fractions on Central Nervous System of Rode Model. Glob. J. Pharm. Educ. Res. 2012, 1, 30–33. [Google Scholar]
- Martin, M.K.; Saliou, C. Composition Containing Hedychium Extract and Use Thereof. US 2002015 5138 A1, 2002. [Google Scholar]
- Miri, S.; Shapiro, S.S. Composition Containing a Peptide and a Pigment and the Use Thereof in Darkening the Skin. US 7081442 B2, 25 July 2006. [Google Scholar]
- Chauhan, V.S.; Satyan, K.S.; Kadam, K.P. Herbal Composition of Tinea Infection. US 20080113047 A1, 15 May 2008. [Google Scholar]
- Patil, V.V.; Thorat, Y.S.; Kote, N.S.; Hosmani, A.H. Formulation and Evaluation of Crack Cream from Plant Extracts. Int. J. Curr. Pharm. Res. 2020, 12, 130–132. [Google Scholar] [CrossRef]
- Kajaria, D.; Pandey, B.; Tiwari, S.; Tripathi, J. Anti-Histaminic, Mast Cell Stabilizing and Bronchodilator Effect of Hydroalcoholic Extract of Polyherbal Compound- Bharangyadi. Anc. Sci. Life 2012, 31, 95. [Google Scholar] [CrossRef]
- Li, Y.P.; Zhao, S.M.; Xu, J.J.; Zeng, G.Z.; Li, Y.; Tan, N.H.; Yang, Y. New Labdane Diterpenes from Hedychium yunnanense with Cytotoxicity and Inhibitory Effects on Nitric Oxide Production. Nat. Prod. Res. 2016, 30, 2669–2674. [Google Scholar] [CrossRef]
- Arruda, M.; Viana, H.; Rainha, N.; Neng, N.R.; Rosa, J.S.; Nogueira, J.M.F.; Do Carmo Barreto, M. Anti-Acetylcholinesterase and Antioxidant Activity of Essential Oils from Hedychium gardnerianum Sheppard Ex Ker-Gawl. Molecules 2012, 17, 3082–3092. [Google Scholar] [CrossRef] [PubMed]
- Zhan, Z.J.; Wen, Y.T.; Ren, F.Y.; Rao, G.W.; Shan, W.G.; Li, C.P. Diterpenoids and a Diarylheptanoid from Hedychium coronarium with Significant Anti-Angiogenic and Cytotoxic Activities. Chem. Biodivers. 2012, 9, 2754–2760. [Google Scholar] [CrossRef] [PubMed]
- Rawat, S.; Bhatt, I.D.; Rawal, R.S. Total Phenolic Compounds and Antioxidant Potential of Hedychium spicatum Buch. Ham. Ex D. Don in West Himalaya, India. J. Food Compos. Anal. 2011, 24, 574–579. [Google Scholar] [CrossRef]
- Suksathan, R.; Sookkhee, S.; Anuntalabhochai, S.; Chansakaow, S. Chemical Composition and Antibacterial Activity of Rhizome Oils from Five Hedychium Species Nat. Prod. Commun. 2013, 8, 519–522. [Google Scholar] [CrossRef]
- Hsieh, M.Y.; Hsieh, M.J.; Lo, Y.S.; Lin, C.C.; Chuang, Y.C.; Chen, M.K.; Chou, M.C. Modulating Effect of Coronarin D in 5-Fluorouracil Resistance Human Oral Cancer Cell Lines Induced Apoptosis and Cell Cycle Arrest through JNK1/2 Signaling Pathway. Biomed. Pharmacother. 2020, 128, 110318. [Google Scholar] [CrossRef]
- Bailly, C. Anticancer Activities and Mechanism of Action of the Labdane Diterpene Coronarin D. Pathol. Res. Pract. 2020, 216, 152946. [Google Scholar] [CrossRef]
- Suresh, G.; Prabhakar Reddy, P.; Suresh Babu, K.; Shaik, T.B.; Kalivendi, S.V. Two New Cytotoxic Labdane Diterpenes from the Rhizomes of Hedychium coronarium. Bioorganic Med. Chem. Lett. 2010, 20, 7544–7548. [Google Scholar] [CrossRef]
- Choudhary, G.K.; Singh, S.P. Ameliorative Efficacy of Hedychium Spicatum Root Powder in Indoxacarb Intoxicated WLH Cockerels. J. Vet. Pharmacol. Toxicol. 2017, 15, 61–64. [Google Scholar]
- Choudhary, G.K.; Singh, S.P.; Kumar, A. Effects of GandhPaalashi (Hedychium spicatum) on the Expression of Hepatic Genes Associated with Biotransformation, Antioxidant and Immune Systems in WLH Cockerels Fed Indoxacarb. Indian J. Anim. Sci. 2018, 88, 786–790. [Google Scholar] [CrossRef]
- Fukunaga, T. Food Composition Containing Antimicrobial Plant Distillate. US 005525340 A, 11 June 1996. [Google Scholar]
- Anchartechahar, V. Composition Comprising a Plant Extract of the Specie Hedychium coronarium, for Use in a Method for Treatment of the Human Body by Therapy. US 20190328820 A1, 31 October 2019. [Google Scholar]
- Pushpangadan, P.; Rawat, A.K.S.; Rao, A.; Srivastavs, S.; Kharton, S. Synergistic Antipyretic Formulation. US 206/0141069 A1, 29 June 2006. [Google Scholar]
- Pinney, V.R. Compositions Effective in Altering the Perception of Malodor. US 20070065394 A1, 22 March 2007. [Google Scholar]
- Mitra, S.; Ranganna, M. Natural Sunscreen Compositions and Processes for Producing the Same. US 7311896 B2, 25 December 2007. [Google Scholar]
- Chauhan, V.S.; Satyan, K.S.; Kadam, K.P. Herbal Composition for Tinea Infection. US 007635493 B2, 22 December 2009. [Google Scholar]
- Panigrahy, S.K.; Kumar, A.; Bhatt, R. Hedychium coronarium Rhizomes: Promising Antidiabetic and Natural Inhibitor of α-Amylase and α-Glucosidase. J. Diet. Suppl. 2020, 17, 81–87. [Google Scholar] [CrossRef]
- Tse, L.S.; Liao, P.L.; Tsai, C.H.; Li, C.H.; Liao, J.W.; Kang, J.J.; Cheng, Y.W. Glycemia Lowering Effect of an Aqueous Extract of Hedychium coronarium Leaves in Diabetic Rodent Models. Nutrients 2019, 11, 629. [Google Scholar] [CrossRef]
- Bordoloi, B.K.; Saini, K.S. Anti-Inflamatory Activity with Synergism of Herbal Essential Oils. US 20180078494 A1, 22 March 2018. [Google Scholar]
- Carpenter, R.S.; Huff, E.W.; Kapur, A. Compositions and Methods for Improving Kidney Function. US 20170304377 A1, 26 October 2017. [Google Scholar]
- Stout, H.S.; Murphy, K.A. Skin Rejuvenation and Defense System. US 9925137 B2, 27 March 2018. [Google Scholar]
- Sudhakar, S.G.; Govind, P.S. Therapeutic Compositions Comprising Herbal Extracts and Essential Oils For Smoking And Vaporization. US 2017/0136076 A1, 18 May 2017. [Google Scholar]
- Panteleev, J.; Gao, H.; Jia, L. Recent Applications of Machine Learning in Medicinal Chemistry. Bioorganic Med. Chem. Lett. 2018, 28, 2807–2815. [Google Scholar] [CrossRef]
- Ferreira, L.L.G.; Andricopulo, A.D. ADMET Modeling Approaches in Drug Discovery. Drug Discov. Today 2019, 24, 1157–1165. [Google Scholar] [CrossRef]
- Baskin, I.I. The Power of Deep Learning to Ligand-Based Novel Drug Discovery. Expert Opin. Drug Discov. 2020, 15, 755–764. [Google Scholar] [CrossRef]
Disclaimer/Publisher’s Note: The statements, opinions and data contained in all publications are solely those of the individual author(s) and contributor(s) and not of MDPI and/or the editor(s). MDPI and/or the editor(s) disclaim responsibility for any injury to people or property resulting from any ideas, methods, instructions or products referred to in the content. |
© 2023 by the authors. Licensee MDPI, Basel, Switzerland. This article is an open access article distributed under the terms and conditions of the Creative Commons Attribution (CC BY) license (https://creativecommons.org/licenses/by/4.0/).












