Correction: Han et al. Study on the Joint Toxicity of BPZ, BPS, BPC and BPF to Zebrafish. Molecules 2021, 26, 4180
1. Corrected Data in Abstract
2. Corrected Data in Introduction
3. Corrected Data of Section 2.1
3.1. In the Second Paragraph of Section 2.1
3.2. In the Third Paragraph of Section 2.1
4. Corrected Data of Section 2.2
In the First Paragraph of Section 2.2
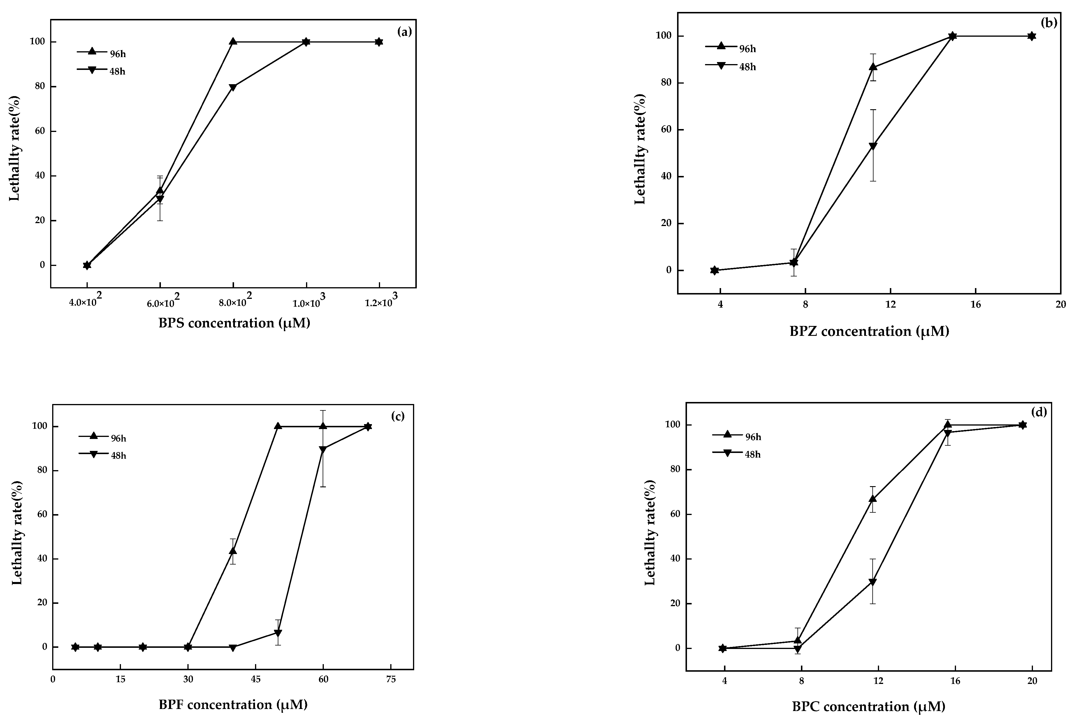
5. Corrected Figure 1

6. Corrected Table 2
| Target | LC50/(µM) | S 1 | AI | Action |
|---|---|---|---|---|
| BPF–BPS | 21.7(19.0~24.2)–3.3 × 102 | 1.07 | −0.07 | antagonism |
| (2.9 × 102~3.7 × 102) | ||||
| BPF–BPZ | 21.7(19.2~24.0)–5.1 | 1.08 | −0.08 | antagonism |
| (4.6~5.7) | ||||
| BPF–BPC | 19.3(15.9~21.3)–5.2 | 0.95 | 0.05 | synergism |
| (4.2~5.7) | ||||
| BPS–BPZ | 3.6 × 102 (3.2 × 102~4.0 × 102)–5.5 | 1.15 | −0.15 | antagonism |
| (5.0~6.2) | ||||
| BPS–BPC | 3.9 × 102 (3.5 × 102~4.5 × 102)–6.8 | 1.25 | −0.25 | antagonism |
| (6.1~7.9) | ||||
| BPZ–BPC | 4.7–5.3 | 0.99 | 0.01 | synergism |
7. Corrected Table 3
| Target | LC50/(µM) | S | AI | Action |
|---|---|---|---|---|
| BPF–BPS–BPZ | 15.0–2.3 × 102–3.5 | 1.11 | −0.11 | antagonism |
| BPF–BPZ–BPC | 16.4(8.2~18.9)–3.9(1.9~4.5)–4.4(2.2~5.0) | 1.22 | −0.22 | antagonism |
| BPS–BPZ–BPC | 2.2 × 102–3.4–3.8 | 1.05 | −0.05 | antagonism |
| BPS–BPC–BPF | 2.7 × 102–4.6–17.4 | 1.30 | −0.30 | antagonism |
| BPF–BPS–BPZ–BPC | 11.7(6.1~13.8)–1.8 × 102 (94.2~2.1 × 102)–2.8(1.5~3.3)–3.2(1.6~3.7) | 1.18 | −0.18 | antagonism |
Reference
- Han, Y.; Fei, Y.; Wang, M.; Xue, Y.; Chen, H.; Liu, Y. Study on the Joint Toxicity of BPZ, BPS, BPC and BPF to Zebrafish. Molecules 2021, 26, 4180. [Google Scholar] [CrossRef] [PubMed]
Disclaimer/Publisher’s Note: The statements, opinions and data contained in all publications are solely those of the individual author(s) and contributor(s) and not of MDPI and/or the editor(s). MDPI and/or the editor(s) disclaim responsibility for any injury to people or property resulting from any ideas, methods, instructions or products referred to in the content. |
© 2023 by the authors. Licensee MDPI, Basel, Switzerland. This article is an open access article distributed under the terms and conditions of the Creative Commons Attribution (CC BY) license (https://creativecommons.org/licenses/by/4.0/).
Share and Cite
Han, Y.; Fei, Y.; Wang, M.; Xue, Y.; Chen, H.; Liu, Y. Correction: Han et al. Study on the Joint Toxicity of BPZ, BPS, BPC and BPF to Zebrafish. Molecules 2021, 26, 4180. Molecules 2023, 28, 8098. https://doi.org/10.3390/molecules28248098
Han Y, Fei Y, Wang M, Xue Y, Chen H, Liu Y. Correction: Han et al. Study on the Joint Toxicity of BPZ, BPS, BPC and BPF to Zebrafish. Molecules 2021, 26, 4180. Molecules. 2023; 28(24):8098. https://doi.org/10.3390/molecules28248098
Chicago/Turabian StyleHan, Ying, Yumeng Fei, Mingxin Wang, Yingang Xue, Hui Chen, and Yuxuan Liu. 2023. "Correction: Han et al. Study on the Joint Toxicity of BPZ, BPS, BPC and BPF to Zebrafish. Molecules 2021, 26, 4180" Molecules 28, no. 24: 8098. https://doi.org/10.3390/molecules28248098
APA StyleHan, Y., Fei, Y., Wang, M., Xue, Y., Chen, H., & Liu, Y. (2023). Correction: Han et al. Study on the Joint Toxicity of BPZ, BPS, BPC and BPF to Zebrafish. Molecules 2021, 26, 4180. Molecules, 28(24), 8098. https://doi.org/10.3390/molecules28248098
