The Covalent Linking of Organophosphorus Heterocycles to Date Palm Wood-Derived Lignin: Hunting for New Materials with Flame-Retardant Potential
Abstract
:1. Introduction
2. Results and Discussion
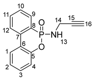
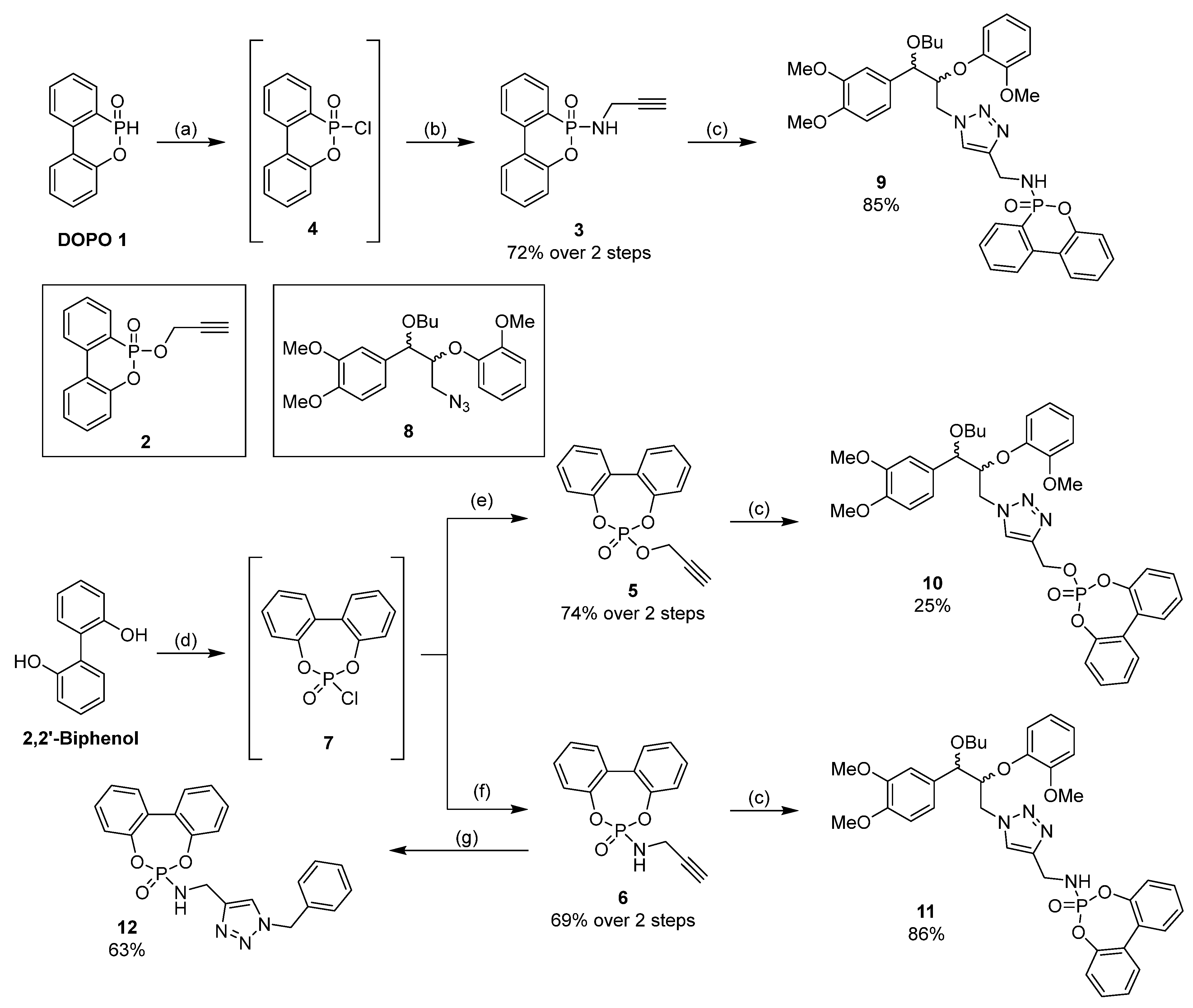
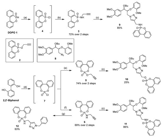
2.1. Phosphorus-Containing Heterocycle Synthesis
2.2. X-ray Crystallography
2.3. Model Compound Synthesis
2.4. Lignin Substrate Preparation
2.5. Lignin Modification
2.6. OPFR-Grafted Lignin Characterisation
2.7. Thermogravimetric Analysis of OPFR-Grafted Lignins
3. Materials and Methods
3.1. 6-(prop-2-yn-1-ylamino)dibenzo[c,e][1,2]oxaphosphinine 6-oxide 3

3.2. 6-(prop-2-yn-1-yloxy)dibenzo[d,f][1,3,2]dioxaphosphepine 6-oxide 5

3.3. 6-(prop-2-yn-1-ylamino)dibenzo[d,f][1,3,2]dioxaphosphepine 6-oxide 6

3.4. 6-(((1-benzyl-1H-1,2,3-triazol-4-yl)methyl)amino)dibenzo[d,f][1,3,2]dioxaphosphepine 6-oxide 12

3.5. X-ray Crystallography
4. Conclusions
Supplementary Materials
Author Contributions
Funding
Institutional Review Board Statement
Informed Consent Statement
Data Availability Statement
Acknowledgments
Conflicts of Interest
References
- Chang, C.J.; Terrell, M.L.; Marcus, M.; Marder, M.E.; Panuwet, P.; Ryan, P.B.; Pearson, M.; Barton, H.; Barr, D.B. Serum Concentrations of Polybrominated Biphenyls (PBBs), Polychlorinated Biphenyls (PCBs) and Polybrominated Diphenyl Ethers (PBDEs) in the Michigan PBB Registry 40 Years after the PBB Contamination Incident. Environ. Int. 2020, 137, 105526. [Google Scholar] [CrossRef] [PubMed]
- Woodward, G.; Harris, C.; Manku, J. Design of New Organophosphorus Flame Retardants. Phosphorus Sulfur Silicon Relat. Elem. 1999, 144, 25–28. [Google Scholar] [CrossRef]
- Özer, M.S.; Gaan, S. Recent Developments in Phosphorus Based Flame Retardant Coatings for Textiles: Synthesis, Applications and Performance. Prog. Org. Coat. 2022, 171, 107027. [Google Scholar] [CrossRef]
- Wendels, S.; Chavez, T.; Bonnet, M.; Salmeia, K.A.; Gaan, S. Recent Developments in Organophosphorus Flame Retardants Containing P-C Bond and Their Applications. Materials 2017, 10, 784. [Google Scholar] [CrossRef]
- Nazir, R.; Gaan, S. Recent Developments in P(O/S)–N Containing Flame Retardants. J. Appl. Polym. Sci. 2020, 137, 47910. [Google Scholar] [CrossRef]
- Yang, J.; Zhao, Y.; Li, M.; Du, M.; Li, X.; Li, Y. A Review of a Class of Emerging Contaminants: The Classification, Distribution, Intensity of Consumption, Synthesis Routes, Environmental Effects and Expectation of Pollution Abatement to Organophosphate Flame Retardants (OPFRs). Int. J. Mol. Sci. 2019, 20, 2874. [Google Scholar] [CrossRef] [PubMed]
- Blum, A.; Behl, M.; Birnbaum, L.S.; Diamond, M.L.; Phillips, A.; Singla, V.; Sipes, N.S.; Stapleton, H.M.; Venier, M. Organophosphate Ester Flame Retardants: Are They a Regrettable Substitution for Polybrominated Diphenyl Ethers? Environ. Sci. Technol. Lett. 2019, 6, 638–649. [Google Scholar] [CrossRef] [PubMed]
- Shen, J.; Liang, J.; Lin, X.; Lin, H.; Yu, J.; Wang, S. The Flame-Retardant Mechanisms and Preparation of Polymer Composites and Their Potential Application in Construction Engineering. Polymers 2022, 14, 82. [Google Scholar] [CrossRef]
- Camino, G.; Costa, L. Performance and Mechanisms of Fire Retardants in Polymers—A Review. Polym. Degrad. Stab. 1988, 20, 271–294. [Google Scholar] [CrossRef]
- Bifulco, A.; Varganici, C.D.; Rosu, L.; Mustata, F.; Rosu, D.; Gaan, S. Recent Advances in Flame Retardant Epoxy Systems Containing Non-Reactive DOPO Based Phosphorus Additives. Polym. Degrad. Stab. 2022, 200, 109962. [Google Scholar] [CrossRef]
- Jian, R.K.; Ai, Y.F.; Xia, L.; Zhao, L.J.; Zhao, H.B. Single Component Phosphamide-Based Intumescent Flame Retardant with Potential Reactivity towards Low Flammability and Smoke Epoxy Resins. J. Hazard Mater. 2019, 371, 529–539. [Google Scholar] [CrossRef]
- Abdur Rashid, M.; Liu, W.; Wei, Y.; Jiang, Q. Review of Reversible Dynamic Bonds Containing Intrinsically Flame Retardant Biomass Thermosets. Eur. Polym. J. 2022, 173, 111263. [Google Scholar] [CrossRef]
- vom Stein, T.; Grande, P.M.; Kayser, H.; Sibilla, F.; Leitner, W.; Domínguez de María, P. From Biomass to Feedstock: One-Step Fractionation of Lignocellulose Components by the Selective Organic Acid-Catalyzed Depolymerization of Hemicellulose in a Biphasic System. Green Chem. 2011, 13, 1772–1777. [Google Scholar] [CrossRef]
- Grande, P.M.; Viell, J.; Theyssen, N.; Marquardt, W.; Domínguez De María, P.; Leitner, W. Fractionation of Lignocellulosic Biomass Using the OrganoCat Process. Green Chem. 2015, 17, 3533–3539. [Google Scholar] [CrossRef]
- Del Rio, L.F.; Chandra, R.P.; Saddler, J.N. The Effect of Varying Organosolv Pretreatment Chemicals on the Physicochemical Properties and Cellulolytic Hydrolysis of Mountain Pine Beetle-Killed Lodgepole Pine. Appl. Biochem. Biotechnol. 2010, 161, 1–21. [Google Scholar] [CrossRef] [PubMed]
- Mesa, L.; González, E.; Cara, C.; González, M.; Castro, E.; Mussatto, S.I. The Effect of Organosolv Pretreatment Variables on Enzymatic Hydrolysis of Sugarcane Bagasse. Chem. Eng. J. 2011, 168, 1157–1162. [Google Scholar] [CrossRef]
- Teramura, H.; Sasaki, K.; Oshima, T.; Matsuda, F.; Okamoto, M.; Shirai, T.; Kawaguchi, H.; Ogino, C.; Hirano, K.; Sazuka, T.; et al. Organosolv Pretreatment of Sorghum Bagasse Using a Low Concentration of Hydrophobic Solvents Such as 1-Butanol or 1-Pentanol. Biotechnol. Biofuels 2016, 9, 27. [Google Scholar] [CrossRef] [PubMed]
- Lancefield, C.S.; Panovic, I.; Deuss, P.J.; Barta, K.; Westwood, N.J. Pre-Treatment of Lignocellulosic Feedstocks Using Biorenewable Alcohols: Towards Complete Biomass Valorisation. Green Chem. 2017, 19, 202–214. [Google Scholar] [CrossRef]
- Schmetz, Q.; Teramura, H.; Morita, K.; Oshima, T.; Richel, A.; Ogino, C.; Kondo, A. Versatility of a Dilute Acid/Butanol Pretreatment Investigated on Various Lignocellulosic Biomasses to Produce Lignin, Monosaccharides and Cellulose in Distinct Phases. ACS Sustain. Chem. Eng. 2019, 7, 11069–11079. [Google Scholar] [CrossRef]
- Zijlstra, D.S.; Analbers, C.A.; de Korte, J.; Wilbers, E.; Deuss, P.J. Efficient Mild Organosolv Lignin Extraction in a Flow-Through Setup Yielding Lignin with High β-O-4 Content. Polymers 2019, 11, 1913. [Google Scholar] [CrossRef]
- Viola, E.; Zimbardi, F.; Morgana, M.; Cerone, N.; Valerio, V.; Romanelli, A. Optimized Organosolv Pretreatment of Biomass Residues Using 2-Methyltetrahydrofuran and n-Butanol. Processes 2021, 9, 2051. [Google Scholar] [CrossRef]
- Davidson, D.J.; Lu, F.; Faas, L.; Dawson, D.M.; Warren, G.P.; Panovic, I.; Montgomery, J.R.D.; Ma, X.; Bosilkov, B.G.; Slawin, A.M.Z.; et al. Organosolv Pretreatment of Cocoa Pod Husks: Isolation, Analysis, and Use of Lignin from an Abundant Waste Product. ACS Sustain. Chem. Eng. 2023, 11, 14323–14333. [Google Scholar] [CrossRef] [PubMed]
- Zhang, D.; Zeng, J.; Liu, W.; Qiu, X.; Qian, Y.; Zhang, H.; Yang, Y.; Liu, M.; Yang, D. Pristine Lignin as a Flame Retardant in Flexible PU Foam. Green Chem. 2021, 23, 5972–5980. [Google Scholar] [CrossRef]
- Zhang, Y.M.; Zhao, Q.; Li, L.; Yan, R.; Zhang, J.; Duan, J.C.; Liu, B.J.; Sun, Z.Y.; Zhang, M.Y.; Hu, W.; et al. Synthesis of a Lignin-Based Phosphorus-Containing Flame Retardant and Its Application in Polyurethane. RSC Adv. 2018, 8, 32252–32261. [Google Scholar] [CrossRef] [PubMed]
- Yang, H.; Yu, B.; Xu, X.; Bourbigot, S.; Wang, H.; Song, P. Lignin-Derived Bio-Based Flame Retardants toward High-Performance Sustainable Polymeric Materials. Green Chem. 2020, 22, 2129–2161. [Google Scholar] [CrossRef]
- Jawerth, M.; Johansson, M.; Lundmark, S.; Gioia, C.; Lawoko, M. Renewable Thiol-Ene Thermosets Based on Refined and Selectively Allylated Industrial Lignin. ACS Sustain. Chem. Eng. 2017, 5, 10918–10925. [Google Scholar] [CrossRef]
- Jedrzejczyk, M.A.; Madelat, N.; Wouters, B.; Smeets, H.; Wolters, M.; Stepanova, S.A.; Vangeel, T.; Van Aelst, K.; Van den Bosch, S.; Van Aelst, J.; et al. Preparation of Renewable Thiol-Yne “Click” Networks Based on Fractionated Lignin for Anticorrosive Protective Film Applications. Macromol. Chem. Phys. 2022, 223, 2100461. [Google Scholar] [CrossRef]
- Bhattacharyya, P.; Woollins, J.D. Selenocarbonyl Synthesis Using Woollins Reagent. Tetrahedron Lett. 2001, 42, 5949–5951. [Google Scholar] [CrossRef]
- Gray, I.P.; Bhattacharyya, P.; Slawin, A.M.Z.; Woollins, J.D. A New Synthesis of (PhPSe2)2 (Woollins Reagent) and Its Use in the Synthesis of Novel P–Se Heterocycles. Chem. Eur. J. 2005, 11, 6221–6227. [Google Scholar] [CrossRef]
- Hua, G.; Fuller, A.L.; Slawin, A.M.Z.; Woollins, J.D. Formation of New Organoselenium Heterocycles and Ring Reduction of 10-Membered Heterocycles into Seven-Membered Heterocycles. Polyhedron 2011, 30, 805–808. [Google Scholar] [CrossRef]
- Karlen, S.D.; Smith, R.A.; Kim, H.; Padmakshan, D.; Bartuce, A.; Mobley, J.K.; Free, H.C.A.; Smith, B.G.; Harris, P.J.; Ralph, J. Highly Decorated Lignins in Leaf Tissues of the Canary Island Date Palm Phoenix Canariensis. Plant Physiol. 2017, 175, 1058–1067. [Google Scholar] [CrossRef] [PubMed]
- Hua, G.; Du, J.; Surgenor, B.A.; Slawin, A.M.Z.; Woollins, J.D. Novel Fluorinated Phosphorus-Sulfur Heteroatom Compounds: Synthesis and Characterization of Ferrocenyl-and Aryl-Phosphonofluorodithioic Salts, Adducts, and Esters. Molecules 2015, 20, 12175–12197. [Google Scholar] [CrossRef] [PubMed]
- Sanhoury, M.A.; Mbarek, T.; Slawin, A.M.Z.; Ben Dhia, M.T.; Khaddar, M.R.; Woollins, J.D. Synthesis, Characterization and Structures of Cadmium(II) and Mercury(II) Complexes with Bis(Dipiperidinylphosphino)Methylamine Dichalcogenides. Polyhedron 2016, 119, 106–111. [Google Scholar] [CrossRef]
- Salmeia, K.A.; Gaan, S. An Overview of Some Recent Advances in DOPO-Derivatives: Chemistry and Flame Retardant Applications. Polym. Degrad. Stab. 2015, 113, 119–134. [Google Scholar] [CrossRef]
- Chi, Z.; Guo, Z.; Xu, Z.; Zhang, M.; Li, M.; Shang, L.; Ao, Y. A DOPO-Based Phosphorus-Nitrogen Flame Retardant Bio-Based Epoxy Resin from Diphenolic Acid: Synthesis, Flame-Retardant Behavior and Mechanism. Polym. Degrad. Stab. 2020, 176, 109151. [Google Scholar] [CrossRef]
- Lu, X.; Yu, M.; Wang, D.; Xiu, P.; Xu, C.; Lee, A.F.; Gu, X. Flame-Retardant Effect of a Functional DOPO-Based Compound on Lignin-Based Epoxy Resins. Mater. Today Chem. 2021, 22, 100562. [Google Scholar] [CrossRef]
- Lee, K.; Hwang, J.; Jeong, P.H.; Park, J.; Lee, K.; Ko, J.M. New Quinone-Based Electrode Additives Electrochemically Polymerized on Activated Carbon Electrodes for Improved Pseudocapacitance. Macromol. Res. 2023, 31, 171–179. [Google Scholar] [CrossRef]
- Oh, J.; Park, J.Y.; Park, K.C.; Hwang, J.H.; Park, J.H. Phosphonamidate Compounds for Butyrylcholinesterase Selective Inhibitors. Bull. Korean Chem. Soc. 2020, 41, 1153–1160. [Google Scholar] [CrossRef]
- Januszewski, R.; Dutkiewicz, M.; Maciejewski, H.; Marciniec, B. Synthesis and Characterization of Phosphorus-Containing, Silicone Rubber Based Flame Retardant Coatings. React. Funct. Polym. 2018, 123, 1–9. [Google Scholar] [CrossRef]
- Denis, M.; Coste, G.; Sonnier, R.; Caillol, S.; Negrell, C. Influence of Phosphorus Structures and Their Oxidation States on Flame-Retardant Properties of Polyhydroxyurethanes. Molecules 2023, 28, 611. [Google Scholar] [CrossRef]
- Ralph, J.; Lapierre, C.; Boerjan, W. Lignin Structure and Its Engineering. Curr. Opin. Biotechnol. 2019, 56, 240–249. [Google Scholar] [CrossRef] [PubMed]
- Lahive, C.W.; Kamer, P.C.J.; Lancefield, C.S.; Deuss, P.J. An Introduction to Model Compounds of Lignin Linking Motifs; Synthesis and Selection Considerations for Reactivity Studies. ChemSusChem 2020, 13, 4238–4265. [Google Scholar] [CrossRef] [PubMed]
- Panovic, I.; Montgomery, J.R.D.; Lancefield, C.S.; Puri, D.; Lebl, T.; Westwood, N.J. Grafting of Technical Lignins through Regioselective Triazole Formation on β-O-4 Linkages. ACS Sustain. Chem. Eng. 2017, 5, 10640–10648. [Google Scholar] [CrossRef]
- Granata, A.; Argyropoulos, D.S. 2-Chloro-4,4,5,5-Tetramethyl-1,3,2-Dioxaphospholane, a Reagent for the Accurate Determination of the Uncondensed and Condensed Phenolic Moieties in Lignins. J. Agric. Food Chem. 1995, 43, 1538–1544. [Google Scholar] [CrossRef]
- Jiang, Z.-H.; Argyropoulos, D.S.; Granata, A. Correlation Analysis of 31P NMR Chemical Shifts with Substituent Effects of Phenols. Magn. Reason. Chem. 1995, 33, 375–382. [Google Scholar] [CrossRef]
- Smith, D.C.C. Ester Groups in Lignin. Nature 1955, 176, 267–268. [Google Scholar] [CrossRef]
- Zijlstra, D.S.; de Korte, J.; de Vries, E.P.C.; Hameleers, L.; Wilbers, E.; Jurak, E.; Deuss, P.J. Highly Efficient Semi-Continuous Extraction and In-Line Purification of High β-O-4 Butanosolv Lignin. Front. Chem. 2021, 9, 655983. [Google Scholar] [CrossRef] [PubMed]
- CrystalClear-SM Expert, v2.1.; Rigaku Americas: The Woodlands, TX, USA; Rigaku Corporation: Tokyo, Japan, 2015.
- CrysAlisPro, v1.171.42.94a Rigaku Oxford Diffraction; Rigaku Corporation: Tokyo, Japan, 2023.
- Sheldrick, G.M. SHELXT—Integrated space-group and crystal structure determination. Acta Crystallogr. Sect. A Found. Adv. 2015, 71, 3–8. [Google Scholar] [CrossRef]
- Sheldrick, G.M. Crystal structure refinement with SHELXL. Acta Crystallogr. Sect. C Struct. Chem. 2015, 71, 3–8. [Google Scholar] [CrossRef]
- Dolomanov, O.V.; Bourhis, L.J.; Gildea, R.J.; Howard, J.A.K.; Puschmann, H. OLEX2: A complete structure solution, refinement and analysis program. J. Appl. Crystallogr. 2009, 42, 339–341. [Google Scholar] [CrossRef]









Disclaimer/Publisher’s Note: The statements, opinions and data contained in all publications are solely those of the individual author(s) and contributor(s) and not of MDPI and/or the editor(s). MDPI and/or the editor(s) disclaim responsibility for any injury to people or property resulting from any ideas, methods, instructions or products referred to in the content. |
© 2023 by the authors. Licensee MDPI, Basel, Switzerland. This article is an open access article distributed under the terms and conditions of the Creative Commons Attribution (CC BY) license (https://creativecommons.org/licenses/by/4.0/).
Share and Cite
Davidson, D.J.; McKay, A.P.; Cordes, D.B.; Woollins, J.D.; Westwood, N.J. The Covalent Linking of Organophosphorus Heterocycles to Date Palm Wood-Derived Lignin: Hunting for New Materials with Flame-Retardant Potential. Molecules 2023, 28, 7885. https://doi.org/10.3390/molecules28237885
Davidson DJ, McKay AP, Cordes DB, Woollins JD, Westwood NJ. The Covalent Linking of Organophosphorus Heterocycles to Date Palm Wood-Derived Lignin: Hunting for New Materials with Flame-Retardant Potential. Molecules. 2023; 28(23):7885. https://doi.org/10.3390/molecules28237885
Chicago/Turabian StyleDavidson, Daniel J., Aidan P. McKay, David B. Cordes, J. Derek Woollins, and Nicholas J. Westwood. 2023. "The Covalent Linking of Organophosphorus Heterocycles to Date Palm Wood-Derived Lignin: Hunting for New Materials with Flame-Retardant Potential" Molecules 28, no. 23: 7885. https://doi.org/10.3390/molecules28237885
APA StyleDavidson, D. J., McKay, A. P., Cordes, D. B., Woollins, J. D., & Westwood, N. J. (2023). The Covalent Linking of Organophosphorus Heterocycles to Date Palm Wood-Derived Lignin: Hunting for New Materials with Flame-Retardant Potential. Molecules, 28(23), 7885. https://doi.org/10.3390/molecules28237885

