Synthesis and Characterization of Bipyridyl-(Imidazole)n Mn(II) Compounds and Their Evaluation as Potential Precatalysts for Water Oxidation
Abstract
:1. Introduction
2. Results
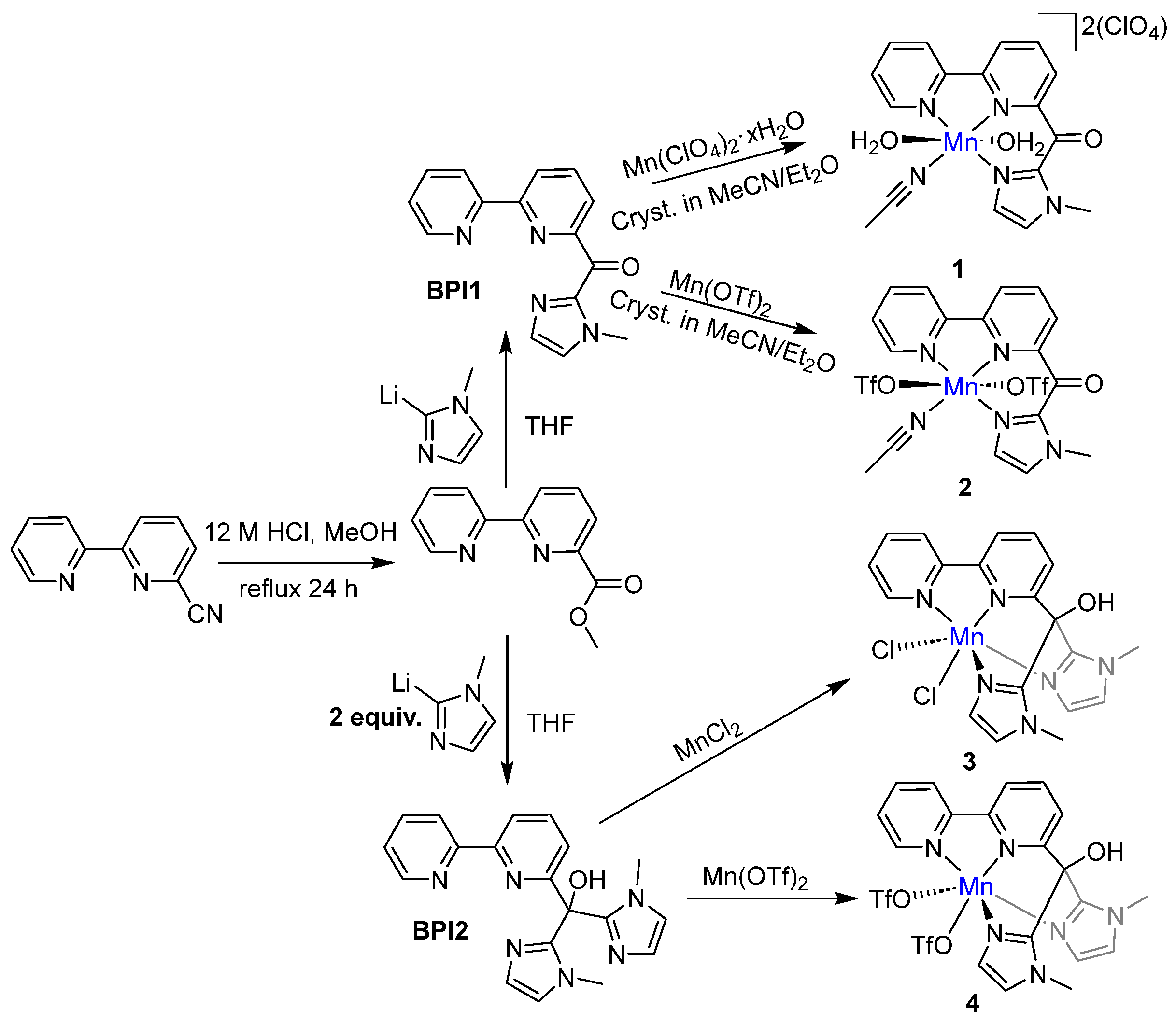
2.1. Synthesis
2.2. X-ray Crystallography
2.3. Solution Speciation
2.4. UV-Vis Absorption Spectroscopy
2.5. Electrochemistry
2.6. Electrochemistry in the Presence of Water
2.7. Attempted Water Oxidation Electrocatalysis in Aqueous Buffer Solutions
3. Discussion
4. Materials and Methods
4.1. Materials
4.2. Physical Methods
4.2.1. 6-Cyano-2,2′-bipyridine
4.2.2. 6-Methoxycarbonyl-2,2′-bipyridine
4.2.3. Bpy–(imidazole)1 (BPI1)
4.2.4. Bpy–(imidazole)2 (BPI2)
4.2.5. Complex 1
4.2.6. Complex 2
4.2.7. Complex 3
4.2.8. Complex 4
4.3. Controlled Potential Electrolysis
4.4. X-ray Crystallography
4.5. Density Functional Theory (DFT) Calculations
4.6. Protonation and Stability Constant Determination
Supplementary Materials
Author Contributions
Funding
Institutional Review Board Statement
Informed Consent Statement
Data Availability Statement
Conflicts of Interest
Sample Availability
References
- Borgstahl, G.E.O.; Parge, H.E.; Hickey, M.J.; Beyer, W.F.; Hallewell, R.A.; Tainer, J.A. The Structure of Human Mitochondrial Manganese Superoxide Dismutase Reveals a Novel Tetrameric Interface of Two 4-Helix Bundles. Cell 1992, 71, 107–118. [Google Scholar] [CrossRef] [PubMed]
- Woo, E.-J.; Dunwell, J.M.; Goodenough, P.W.; Marvier, A.C.; Pickersgill, R.W. Germin Is a Manganese Containing Homohexamer with Oxalate Oxidase and Superoxide Dismutase Activities. Nat. Struct. Biol. 2000, 7, 1036–1040. [Google Scholar] [CrossRef] [PubMed]
- Hajnal, I.; Faber, K.; Schwab, H.; Hall, M.; Steiner, K. Oxidative Alkene Cleavage Catalysed by Manganese-Dependent Cupin TM1459 from Thermotoga maritima. Adv. Synth. Catal. 2015, 357, 3309–3316. [Google Scholar] [CrossRef]
- Jaroszewski, L.; Schwarzenbacher, R.; Von Delft, F.; McMullan, D.; Brinen, L.S.; Canaves, J.M.; Dai, X.; Deacon, A.M.; DiDonato, M.; Elsliger, M.-A.; et al. Crystal Structure of a Novel Manganese-Containing Cupin (TM1459) from Thermotoga maritima at 1.65 Å Resolution. Proteins Struct. Funct. Bioinform. 2004, 56, 611–614. [Google Scholar] [CrossRef]
- Kloer, D.P.; Ruch, S.; Al-Babili, S.; Beyer, P.; Schulz, G.E. The Structure of a Retinal-Forming Carotenoid Oxygenase. Science 2005, 308, 267–269. [Google Scholar] [CrossRef]
- Kondo, M.; Tatewaki, H.; Masaoka, S. Design of Molecular Water Oxidation Catalysts with Earth-Abundant Metal Ions. Chem. Soc. Rev. 2021, 50, 6790–6831. [Google Scholar] [CrossRef]
- Fillol, J.L.; Codolà, Z.; Garcia-Bosch, I.; Gómez, L.; Pla, J.J.; Costas, M. Efficient Water Oxidation Catalysts Based on Readily Available Iron Coordination Complexes. Nat. Chem. 2011, 3, 807–813. [Google Scholar] [CrossRef]
- Crandell, D.W.; Xu, S.; Smith, J.M.; Baik, M.-H. Intramolecular Oxyl Radical Coupling Promotes O–O Bond Formation in a Homogeneous Mononuclear Mn-Based Water Oxidation Catalyst: A Computational Mechanistic Investigation. Inorg. Chem. 2017, 56, 4435–4445. [Google Scholar] [CrossRef]
- Thornley, W.A.; Bitterwolf, T.E. Photochemistry of the Permanganate Ion in Low-Temperature Frozen Matrices. Inorg. Chem. 2015, 54, 3370–3375. [Google Scholar] [CrossRef]
- Barber, J. Crystal Structure of the Oxygen-Evolving Complex of Photosystem II. Inorg. Chem. 2008, 47, 1700–1710. [Google Scholar] [CrossRef]
- Baffert, C.; Collomb, M.-N.; Deronzier, A.; Pécaut, J.; Limburg, J.; Crabtree, R.H.; Brudvig, G.W. Two New Terpyridine Dimanganese Complexes: A Manganese(III,III) Complex with a Single Unsupported Oxo Bridge and a Manganese(III,IV) Complex with a Dioxo Bridge. Synthesis, Structure, and Redox Properties. Inorg. Chem. 2002, 41, 1404–1411. [Google Scholar] [CrossRef] [PubMed]
- Arafa, W.A.A.; Kärkäs, M.D.; Lee, B.-L.; Åkermark, T.; Liao, R.-Z.; Berends, H.-M.; Messinger, J.; Siegbahn, P.E.M.; Åkermark, B. Dinuclear Manganese Complexes for Water Oxidation: Evaluation of Electronic Effects and Catalytic Activity. Phys. Chem. Chem. Phys. 2014, 16, 11950–11964. [Google Scholar] [CrossRef] [PubMed]
- Limburg, J.; Vrettos, J.S.; Liable-Sands, L.M.; Rheingold, A.L.; Crabtree, R.H.; Brudvig, G.W. A Functional Model for O-O Bond Formation by the O2-Evolving Complex in Photosystem II. Science 1999, 283, 1524–1527. [Google Scholar] [CrossRef] [PubMed]
- Limburg, J.; Vrettos, J.S.; Chen, H.; de Paula, J.C.; Crabtree, R.H.; Brudvig, G.W. Characterization of the O2-Evolving Reaction Catalyzed by [(Terpy)(H2O)MnIII(O)2MnIV(OH2)(Terpy)](NO3)3 (Terpy = 2,2′:6,2″-Terpyridine). J. Am. Chem. Soc. 2001, 123, 423–430. [Google Scholar] [CrossRef] [PubMed]
- Yagi, M.; Narita, K. Catalytic O2 Evolution from Water Induced by Adsorption of [(OH2)(Terpy)Mn(μ-O)2Mn(Terpy)(OH2)]3+ Complex onto Clay Compounds. J. Am. Chem. Soc. 2004, 126, 8084–8085. [Google Scholar] [CrossRef]
- Ghosh, T.; Christou, G.; Maayan, G. Efficient Homogeneous Electrocatalytic Water Oxidation by a Manganese Cluster with an Overpotential of Only 74 mV. Angew. Chem. Int. Ed. 2019, 58, 2785–2790. [Google Scholar] [CrossRef]
- Gao, Y.; Liu, J.; Wang, M.; Na, Y.; Åkermark, B.; Sun, L. Synthesis and Characterization of Manganese and Copper Corrole Xanthene Complexes as Catalysts for Water Oxidation. Tetrahedron 2007, 63, 1987–1994. [Google Scholar] [CrossRef]
- Li, X.; Zhang, X.-P.; Guo, M.; Lv, B.; Guo, K.; Jin, X.; Zhang, W.; Lee, Y.-M.; Fukuzumi, S.; Nam, W.; et al. Identifying Intermediates in Electrocatalytic Water Oxidation with a Manganese Corrole Complex. J. Am. Chem. Soc. 2021, 143, 14613–14621. [Google Scholar] [CrossRef]
- Gao, Y.; Åkermark, T.; Liu, J.; Sun, L.; Åkermark, B. Nucleophilic Attack of Hydroxide on a MnV Oxo Complex: A Model of the O−O Bond Formation in the Oxygen Evolving Complex of Photosystem II. J. Am. Chem. Soc. 2009, 131, 8726–8727. [Google Scholar] [CrossRef]
- Kärkäs, M.D.; Åkermark, B. Water Oxidation Using Earth-Abundant Transition Metal Catalysts: Opportunities and Challenges. Dalton Trans. 2016, 45, 14421–14461. [Google Scholar] [CrossRef]
- Li, X.; Lei, H.; Xie, L.; Wang, N.; Zhang, W.; Cao, R. Metalloporphyrins as Catalytic Models for Studying Hydrogen and Oxygen Evolution and Oxygen Reduction Reactions. Acc. Chem. Res. 2022, 55, 878–892. [Google Scholar] [CrossRef] [PubMed]
- Young, K.J.; Takase, M.K.; Brudvig, G.W. An Anionic N-Donor Ligand Promotes Manganese-Catalyzed Water Oxidation. Inorg. Chem. 2013, 52, 7615–7622. [Google Scholar] [CrossRef] [PubMed]
- Lee, W.-T.; Muñoz, S.B.; Dickie, D.A.; Smith, J.M. Ligand Modification Transforms a Catalase Mimic into a Water Oxidation Catalyst. Angew. Chem. Int. Ed. 2014, 53, 9856–9859. [Google Scholar] [CrossRef]
- Papanikolaou, M.G.; Hadjithoma, S.; Gallos, J.K.; Miras, H.N.; Plakatouras, J.C.; Keramidas, A.D.; Kabanos, T.A. Synthesis, Structural and Physicochemical Properties of a Series of Manganese(II) Complexes with a Novel N5 Tripodal-Amidate Ligand and Their Potential Use as Water Oxidation Catalysts. Polyhedron 2021, 204, 115260. [Google Scholar] [CrossRef]
- Narulkar, D.D.; Devulapally, K.; Kumar, A.; Dhuri, S.N.; Dhavale, V.M.; Vardhaman, A.K.; Giribabu, L. A Novel Nonheme Manganese(II) Complex for (Electro) Catalytic Oxidation of Water. Sustain. Energy Fuels 2020, 4, 2656–2660. [Google Scholar] [CrossRef]
- Zhao, X.; Li, J.; Jian, H.; Lu, M.; Wang, M. Two Novel Schiff Base Manganese Complexes as Bifunctional Electrocatalysts for CO2 Reduction and Water Oxidation. Molecules 2023, 28, 1074. [Google Scholar] [CrossRef]
- Zheng, S.; Liang, X.; Dai, C.; Yang, X.; Li, Z.; Lai, Y.; Hong, L.; Lin, J. Electrochemical Water Oxidation Using a Stable Water-Soluble Mononuclear Manganese Clathrochelate. N. J. Chem. 2023, 47, 13979–13984. [Google Scholar] [CrossRef]
- Lide, D.R. (Ed.) Properties of Amino Acids. In CRC Handbook of Chemistery and Physics; CRC Press: Boca Raton, FL, USA, 2005. [Google Scholar]
- McMillion, N.D.; Wilson, A.W.; Goetz, M.K.; Chang, M.-C.; Lin, C.-C.; Feng, W.-J.; McCrory, C.C.L.; Anderson, J.S. Imidazole for Pyridine Substitution Leads to Enhanced Activity Under Milder Conditions in Cobalt Water Oxidation Electrocatalysis. Inorg. Chem. 2019, 58, 1391–1397. [Google Scholar] [CrossRef]
- Tang, C.C.; Davalian, D.; Huang, P.; Breslow, R. Models for Metal Binding Sites in Zinc Enzymes. Syntheses of Tris [4(5)-Imidazolyl]Carbinol (4-TIC), Tris(2-Imidazolyl)Carbinol (2-TIC), and Related Ligands, and Studies on Metal Complex Binding Constants and Spectra. J. Am. Chem. Soc. 1978, 100, 3918–3922. [Google Scholar] [CrossRef]
- Breslow, R.; Hunt, J.T.; Smiley, R.; Tarnowski, T. Synthesis of Some Polyimidazole Ligands Related to Zinc Enzymes. J. Am. Chem. Soc. 1983, 105, 5337–5342. [Google Scholar] [CrossRef]
- Mashuta, M.S.; Webb, R.J.; Oberhausen, K.J.; Richardson, J.F.; Buchanan, R.M.; Hendrickson, D.N. Valence Detrapping in Iron(II)-Iron(III) Models of Iron-Oxo Proteins. J. Am. Chem. Soc. 1989, 111, 2745–2746. [Google Scholar] [CrossRef]
- Sjödin, M.; Gätjens, J.; Tabares, L.C.; Thuéry, P.; Pecoraro, V.L.; Un, S. Tuning the Redox Properties of Manganese(II) and Its Implications to the Electrochemistry of Manganese and Iron Superoxide Dismutases. Inorg. Chem. 2008, 47, 2897–2908. [Google Scholar] [CrossRef] [PubMed]
- Sarkar, S.; Moon, D.-H.; Lah, M.-S.; Lee, H.-I. Structure and Heme-Independent Peroxidase Activity of a Fully-Coordinated Mononuclear Mn(II) Complex with a Schiff-Base Tripodal Ligand Containing Three Imidazole Groups. Bull. Korean Chem. Soc. 2010, 31, 3173–3179. [Google Scholar] [CrossRef]
- Triller, M.U.; Pursche, D.; Hsieh, W.-Y.; Pecoraro, V.L.; Rompel, A.; Krebs, B. Catalytic Oxidation of 3,5-Di-Tert-Butylcatechol by a Series of Mononuclear Manganese Complexes: Synthesis, Structure, and Kinetic Investigation. Inorg. Chem. 2003, 42, 6274–6283. [Google Scholar] [CrossRef]
- Frapart, Y.-M.; Boussac, A.; Albach, R.; Anxolabéhère-Mallart, E.; Delroisse, M.; Verlhac, J.-B.; Blondin, G.; Girerd, J.-J.; Guilhem, J.; Cesario, M.; et al. Chemical Modeling of the Oxygen-Evolving Center in Plants. Synthesis, Structure, and Electronic and Redox Properties of a New Mixed Valence Mn−Oxo Cluster: [Mn2III,IVO2(bisimMe2en)2]3+ (bisimMe2en = N,N‘-Dimethyl-N,N‘-Bis(Imidazol-4-Ylmethyl)Ethane-1,2-Diamine). EPR Detection of an Imidazole Radical Induced by UV Irradiation at Low Temperature. J. Am. Chem. Soc. 1996, 118, 2669–2678. [Google Scholar] [CrossRef]
- Geiger, R.A.; Leto, D.F.; Chattopadhyay, S.; Dorlet, P.; Anxolabéhère-Mallart, E.; Jackson, T.A. Geometric and Electronic Structures of Peroxomanganese(III) Complexes Supported by Pentadentate Amino-Pyridine and -Imidazole Ligands. Inorg. Chem. 2011, 50, 10190–10203. [Google Scholar] [CrossRef]
- Warzeska, S.T.; Miccichè, F.; Mimmi, M.C.; Bouwman, E.; Kooijman, H.; Spek, A.L.; Reedijk, J. Tuning the Coordination Mode in Mononuclear Manganese Complexes by Changing the Steric Bulk of the Carboxylates. J. Chem. Soc. Dalton Trans. 2001, 3507–3512. [Google Scholar] [CrossRef]
- Long, L.-S.; Chen, X.-M.; Yu, X.-L.; Zhou, Z.-Y.; Ji, L.N. Synthesis, Structures and Hydrolytic Properties of Metal Complexes with 1,3-Bis[(4-Methyl-5-Imidazol-1-Yl)Ethylideneamino]Propan-2-Ol. Polyhedron 1999, 18, 1927–1933. [Google Scholar] [CrossRef]
- Yang, S.-P.; Tong, Y.-X.; Zhu, H.-L.; Cao, H.; Chen, X.-M.; Ji, L.-N. Three Transition Metal Complexes Formed with Tripodal Polyimidazole Ligands: Synthesis, Crystal Structures and Reactivity toward Superoxide. Polyhedron 2001, 20, 223–229. [Google Scholar] [CrossRef]
- Oberhausen, K.J.; O’Brien, R.J.; Richardson, J.F.; Buchanan, R.M.; Costa, R.; Latour, J.M.; Tsai, H.L.; Hendrickson, D.N. Synthesis and Characterization of a (.Mu.-Oxo)(.Mu.-Carboxylato)Dimanganese(III) Polyimidazole Complex. Inorg. Chem. 1993, 32, 4561–4565. [Google Scholar] [CrossRef]
- Thorarinsdottir, A.E.; Nocera, D.G. Energy Catalysis Needs Ligands with High Oxidative Stability. Chem Catal. 2021, 1, 32–43. [Google Scholar] [CrossRef]
- Collins, T.J. Designing Ligands for Oxidizing Complexes. Acc. Chem. Res. 1994, 27, 279–285. [Google Scholar] [CrossRef]
- Tamagaki, S.; Kanamaru, Y.; Ueno, M.; Tagaki, W. Physical and Chemical Properties of Mononuclear Cobalt Dioxygen Complexes with Tetraimidazolyl-Substituted Pyridine Chelates. Bull. Chem. Soc. Jpn. 1991, 64, 165–174. [Google Scholar] [CrossRef]
- Takano, S.; Yano, Y.; Tagaki, W. Syntheses of Some New Ligands Containing Imidazoles and Reversible Oxygenation of the cobalt(ii) Complexes. Chem. Lett. 1981, 10, 1177–1180. [Google Scholar] [CrossRef]
- Zhang, G.; Zeng, H.; Wu, J.; Yin, Z.; Zheng, S.; Fettinger, J.C. Highly Selective Hydroboration of Alkenes, Ketones and Aldehydes Catalyzed by a Well-Defined Manganese Complex. Angew. Chem. Int. Ed. 2016, 55, 14369–14372. [Google Scholar] [CrossRef]
- Chen, H.; Tagore, R.; Das, S.; Incarvito, C.; Faller, J.W.; Crabtree, R.H.; Brudvig, G.W. General Synthesis of Di-μ-Oxo Dimanganese Complexes as Functional Models for the Oxygen Evolving Complex of Photosystem II. Inorg. Chem. 2005, 44, 7661–7670. [Google Scholar] [CrossRef]
- Siewert, I.; Gałęzowska, J. Cobalt Catalyst with a Proton-Responsive Ligand for Water Oxidation. Chem. Eur. J. 2015, 21, 2780–2784. [Google Scholar] [CrossRef]
- Ketkaew, R.; Tantirungrotechai, Y.; Harding, P.; Chastanet, G.; Guionneau, P.; Marchivie, M.; Harding, D.J. OctaDist: A Tool for Calculating Distortion Parameters in Spin Crossover and Coordination Complexes. Dalton Trans. 2021, 50, 1086–1096. [Google Scholar] [CrossRef]
- Irving, H.; Williams, R.J.P. Order of Stability of Metal Complexes. Nature 1948, 162, 746–747. [Google Scholar] [CrossRef]
- Nakamoto, K. Ultraviolet Spectra and Structures of 2,2′-Bipyridine and 2,2′,2″-Terpyridine in Aqueous Solution1. J. Phys. Chem. 1960, 64, 1420–1425. [Google Scholar] [CrossRef]
- Martin, R.L. Natural Transition Orbitals. J. Chem. Phys. 2003, 118, 4775–4777. [Google Scholar] [CrossRef]
- Creutz, C. Bipyridine Radical Ions. Comments Inorg. Chem. 1982, 1, 293–311. [Google Scholar] [CrossRef]
- Krishnan, C.V.; Creutz, C.; Schwarz, H.A.; Sutin, N. Reduction Potentials for 2,2′-Bipyridine and 1,10-Phenanthroline Couples in Aqueous Solutions. J. Am. Chem. Soc. 1983, 105, 5617–5623. [Google Scholar] [CrossRef]
- Boniolo, M.; Hossain, M.K.; Chernev, P.; Suremann, N.F.; Heizmann, P.A.; Lyvik, A.S.L.; Beyer, P.; Haumann, M.; Huang, P.; Salhi, N.; et al. Water Oxidation by Pentapyridyl Base Metal Complexes? A Case Study. Inorg. Chem. 2022, 61, 9104–9118. [Google Scholar] [CrossRef]
- Boniolo, M.; Chernev, P.; Cheah, M.H.; Heizmann, P.A.; Huang, P.; Shylin, S.I.; Salhi, N.; Hossain, M.K.; Gupta, A.K.; Messinger, J.; et al. Electronic and Geometric Structure Effects on One-Electron Oxidation of First-Row Transition Metals in the Same Ligand Framework. Dalton Trans. 2021, 50, 660–674. [Google Scholar] [CrossRef]
- Gaynor, R.B.; McIntyre, B.N.; Lindsey, S.L.; Clavo, K.A.; Shy, W.E.; Mees, D.E.; Mu, G.; Donnadieu, B.; Creutz, S.E. Steric Effects on the Chelation of Mn2+ and Zn2+ by Hexadentate Polyimidazole Ligands: Modeling Metal Binding by Calprotectin Site 2. Chem. Eur. J. 2023, 29, e202300447. [Google Scholar] [CrossRef]
- Zee, D.Z.; Nippe, M.; King, A.E.; Chang, C.J.; Long, J.R. Tuning Second Coordination Sphere Interactions in Polypyridyl–Iron Complexes to Achieve Selective Electrocatalytic Reduction of Carbon Dioxide to Carbon Monoxide. Inorg. Chem. 2020, 59, 5206–5217. [Google Scholar] [CrossRef]
- Cieslik, P.; Comba, P.; Dittmar, B.; Ndiaye, D.; Tóth, É.; Velmurugan, G.; Wadepohl, H. Exceptional Manganese(II) Stability and Manganese(II)/Zinc(II) Selectivity with Rigid Polydentate Ligands**. Angew. Chem. Int. Ed. 2022, 61, e202115580. [Google Scholar] [CrossRef]
- Dube, K.S.; Harrop, T.C. Structure and Properties of an Eight-Coordinate Mn(II) Complex That Demonstrates a High Water Relaxivity. Dalton Trans. 2011, 40, 7496–7498. [Google Scholar] [CrossRef]
- Pangborn, A.B.; Giardello, M.A.; Grubbs, R.H.; Rosen, R.K.; Timmers, F.J. Safe and Convenient Procedure for Solvent Purification. Organometallics 1996, 15, 1518–1520. [Google Scholar] [CrossRef]
- Case, F.H. The Preparation of Triazines Related to 6-Cyano-2,2′-Bipyridine1. J. Org. Chem. 1966, 31, 2398–2400. [Google Scholar] [CrossRef]
- Norrby, T.; Börje, A.; Zhang, L.; Åkermark, B.; Wagenknecht, J.H.; Francis, G.W.; Szúnyog, J.; Långström, B. Regioselective Functionalization of 2,2′-Bipyridine and Transformations into Unsymmetric Ligands for Coordination Chemistry. Acta Chem. Scand. 1998, 52, 77–85. [Google Scholar] [CrossRef]
- Robinson, W.R. Perchlorate Salts of Metal Ion Complexes: Potential Explosives. J. Chem. Educ. 1985, 62, 1001. [Google Scholar] [CrossRef]
- Sheldrick, G.M. SHELXT—Integrated Space-Group and Crystal-Structure Determination. Acta Crystallogr. Sect. Found. Adv. 2015, 71, 3–8. [Google Scholar] [CrossRef]
- Sheldrick, G.M. A Short History of SHELX. Acta Crystallogr. A 2008, 64, 112–122. [Google Scholar] [CrossRef]
- Frisch, M.J.; Trucks, G.W.; Schlegel, H.B.; Scuseria, G.E.; Robb, M.A.; Cheeseman, J.R.; Scalmani, G.; Barone, V.; Petersson, G.A.; Nakatsuji, H.; et al. Gaussian 16 Rev. C.01 2016; Gaussin, Inc.: Wallingford, CT, USA, 2016. [Google Scholar]
- Grimme, S.; Antony, J.; Ehrlich, S.; Krieg, H. A Consistent and Accurate Ab Initio Parametrization of Density Functional Dispersion Correction (DFT-D) for the 94 Elements H-Pu. J. Chem. Phys. 2010, 132, 154104. [Google Scholar] [CrossRef]
- Grimme, S.; Ehrlich, S.; Goerigk, L. Effect of the Damping Function in Dispersion Corrected Density Functional Theory. J. Comput. Chem. 2011, 32, 1456–1465. [Google Scholar] [CrossRef]
- Peintler, G.; Kormanyos, B.; Gyurcsik, B. pHCali, Version 1.32 a-20070323. Available online: https://www.staff.u-szeged.hu/~peintler/enprogs.htm#phcali (accessed on 22 October 2023).
- Gans, P.; Sabatini, A.; Vacca, A. Investigation of Equilibria in Solution. Determination of Equilibrium Constants with the HYPERQUAD Suite of Programs. Talanta 1996, 43, 1739–1753. [Google Scholar] [CrossRef]
















| Parameter | Corresponding Equilibrium | Fit Value |
|---|---|---|
| log(KH1) | BPI2 + H+ ⇌ HBPI2+ | 6.34 ± 0.09 |
| log(KH2) | HBPI2+ + H+ ⇌ H2BPI22+ | 4.60 ± 0.13 |
| log(KH3) | H2BPI22+ + H+ ⇌ H3BPI23+ | 2.79 ± 0.24 |
| log(KMn) | BPI2 + Mn2+ ⇌ BPI2Mn2+ | 3.25 ± 0.45 |
| λ/nm (ε × 10−3/M−1cm−1) a | |
|---|---|
| BPI1 | 283(13), 299(sh)(12) |
| BPI2 | 291(8.0), 300(sh)(6.0) |
| 1 and 2 | 287(sh)(13), 309(15), 320(sh)(14) |
| 3 | 298(7.4), 312(sh)(5.9), 340(sh)(2.5) |
| 4 | 300(9.0), 310(sh)(7.6), 337(sh)(1.4) |
Disclaimer/Publisher’s Note: The statements, opinions and data contained in all publications are solely those of the individual author(s) and contributor(s) and not of MDPI and/or the editor(s). MDPI and/or the editor(s) disclaim responsibility for any injury to people or property resulting from any ideas, methods, instructions or products referred to in the content. |
© 2023 by the authors. Licensee MDPI, Basel, Switzerland. This article is an open access article distributed under the terms and conditions of the Creative Commons Attribution (CC BY) license (https://creativecommons.org/licenses/by/4.0/).
Share and Cite
Mu, G.; Gaynor, R.B.; McIntyre, B.N.; Donnadieu, B.; Creutz, S.E. Synthesis and Characterization of Bipyridyl-(Imidazole)n Mn(II) Compounds and Their Evaluation as Potential Precatalysts for Water Oxidation. Molecules 2023, 28, 7221. https://doi.org/10.3390/molecules28207221
Mu G, Gaynor RB, McIntyre BN, Donnadieu B, Creutz SE. Synthesis and Characterization of Bipyridyl-(Imidazole)n Mn(II) Compounds and Their Evaluation as Potential Precatalysts for Water Oxidation. Molecules. 2023; 28(20):7221. https://doi.org/10.3390/molecules28207221
Chicago/Turabian StyleMu, Ge, Ryan B. Gaynor, Baylee N. McIntyre, Bruno Donnadieu, and Sidney E. Creutz. 2023. "Synthesis and Characterization of Bipyridyl-(Imidazole)n Mn(II) Compounds and Their Evaluation as Potential Precatalysts for Water Oxidation" Molecules 28, no. 20: 7221. https://doi.org/10.3390/molecules28207221
APA StyleMu, G., Gaynor, R. B., McIntyre, B. N., Donnadieu, B., & Creutz, S. E. (2023). Synthesis and Characterization of Bipyridyl-(Imidazole)n Mn(II) Compounds and Their Evaluation as Potential Precatalysts for Water Oxidation. Molecules, 28(20), 7221. https://doi.org/10.3390/molecules28207221

