Light Intensity and Photoperiod Affect Growth and Nutritional Quality of Brassica Microgreens
Abstract
:1. Introduction
2. Results
2.1. Effects of Light Intensity on Growth and Quality of Cabbage and Chinese Kale Microgreens
2.1.1. Growth and Biomass
2.1.2. Pigment Content
2.1.3. Content of Soluble Protein, Soluble Sugar, Vitamin C and Nitrate
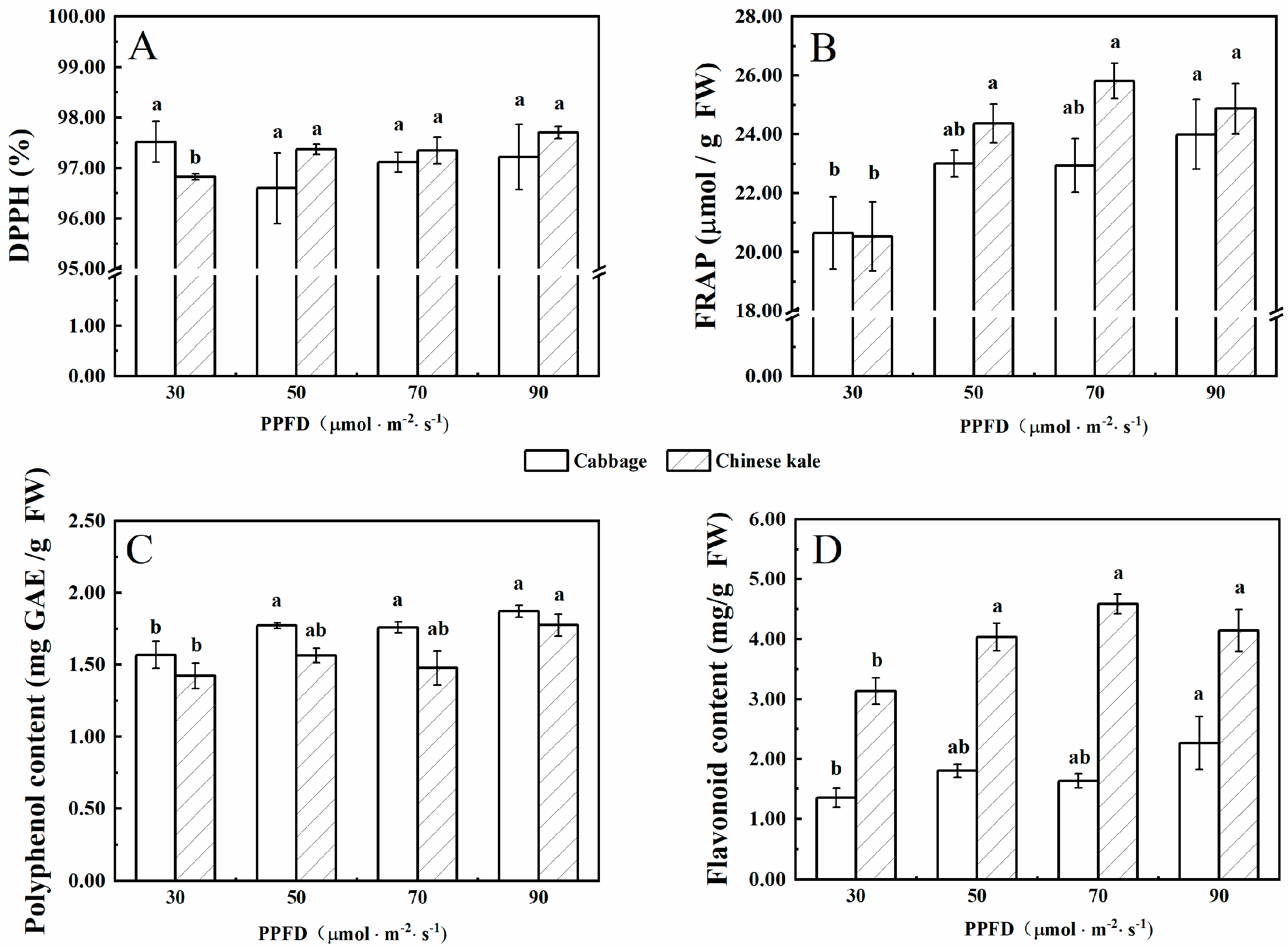
2.1.4. Antioxidant Content and Capacity
2.1.5. Heatmap Analysis
2.1.6. Multivariate Principal Component Analysis
2.1.7. Glucosinolate Content
2.2. Effects of Photoperiod on Growth and Quality in Cabbage and Chinese Kale Microgreens
2.2.1. Growth and Biomass
2.2.2. Pigment Content
2.2.3. Content of Soluble Protein, Soluble Sugar, Vitamin C and Nitrate
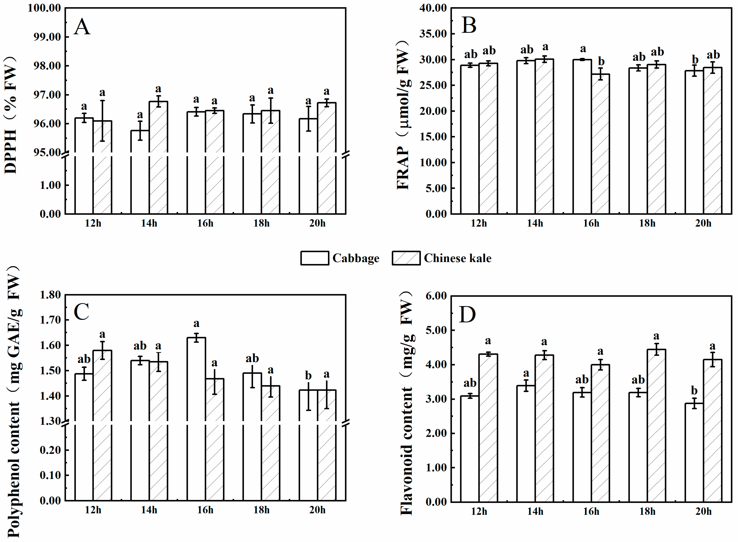
2.2.4. Antioxidant Content and Capacity
2.2.5. Heatmap Analysis
2.2.6. Multivariate Principal Component Analysis
2.2.7. Glucosinolate Content
3. Discussion
3.1. Effects of Light Intensity and Photoperiod on Growth of Cabbage and Chinese Kale Microgreens
3.2. Effects of Light Intensity and Photoperiod on Nutrition of Cabbage and Chinese Kale Microgreens
3.3. Effects of Light Intensity and Photoperiod on Antioxidant Content and Activity in Cabbage and Chinese Kale Microgreens
3.4. Effects of Light Intensity and Photoperiod on Glucosinolate Content in Cabbage and Chinese Kale Microgreens
4. Materials and Methods
4.1. Plant Materials and Treatments
4.2. Growth Determination
4.3. Phytochemical Determination
4.3.1. Chlorophyll (Chl) and Carotenoid Contents
4.3.2. Soluble Protein Content
4.3.3. Soluble Sugar Content
4.3.4. Flavonoid Content
4.3.5. Vitamin C Content
4.3.6. Polyphenol Content
4.3.7. DPPH Radical-Scavenging Rate
4.3.8. Ferric-Reducing Antioxidant Power
4.3.9. Nitrate Content
4.3.10. Glucosinolate Content Determination
4.4. Statistical Analysis
5. Conclusions
Author Contributions
Funding
Institutional Review Board Statement
Informed Consent Statement
Data Availability Statement
Conflicts of Interest
Sample Availability
References
- Podsedek, A. Natural antioxidants and antioxidant capacity of Brassica vegetables: A review. LWT-Food Sci. Technol. 2007, 40, 1–11. [Google Scholar] [CrossRef]
- Brazaityte, A.; Sakalauskiene, S.; Samuoliene, G.; Jankauskiene, J.; Viršile, A.; Novičkovas, A.; Sirtautas, R.; Miliauskiene, J.; Vaštakaite, V.; Dabašinskas, L.; et al. The effects of LED illumination spectra and intensity on carotenoid content in Brassicaceae microgreens. Food Chem. 2015, 173, 600–606. [Google Scholar] [CrossRef] [PubMed]
- Lin, K.H.; Shih, F.C.; Huang, M.Y.; Weng, J.H. Physiological characteristics of photosynthesis in yellow-green, green and dark-green Chinese Kale (Brassica oleracea L var. alboglabra musil.) under varying light intensities. Plants 2020, 9, 960. [Google Scholar] [CrossRef]
- Lefsrud, M.G.; Kopsell, D.A.; Kopsell, D.E.; Curran-Celentano, J. Irradiance levels affect growth parameters and carotenoid pigments in kale and spinach grown in a controlled environment. Physiol. Plant. 2006, 127, 624–631. [Google Scholar] [CrossRef]
- Kamal, K.Y.; Khodaeiaminjan, M.; El-Tantawy, A.A.; Moneim, D.A.; Salam, A.A.; Ash-shormillesy, S.M.A.I.; Attia, A.; Ali, M.A.S.; Herranz, R.; El-Esawi, M.A.; et al. Evaluation of growth and nutritional value of Brassica microgreens grown under red, blue and green LEDs combinations. Physiol. Plant. 2020, 169, 625–638. [Google Scholar] [CrossRef]
- He, R.; Gao, M.; Shi, R.; Song, S.; Zhang, Y.; Su, W.; Liu, H. The combination of selenium and LED light quality affects growth and nutritional properties of broccoli sprouts. Molecules 2020, 25, 4788. [Google Scholar] [CrossRef] [PubMed]
- Gao, M.; He, R.; Shi, R.; Zhang, Y.; Song, S.; Su, W.; Liu, H. Differential effects of low light intensity on broccoli microgreens growth and phytochemicals. Agronomy 2021, 11, 537. [Google Scholar] [CrossRef]
- Charron, C.S.; Sams, C.E. Glucosinolate content and myrosinase activity in rapid-cycling Brassica oleracea grown in a controlled environment. J. Am. Soc. Hortic. Sci. 2004, 129, 321–330. [Google Scholar] [CrossRef] [Green Version]
- Kwack, Y.; Kim, K.K.; Hwang, H.; Chun, C. Growth and quality of sprouts of six vegetables cultivated under different light intensity and quality. Hortic. Environ. Biotechnol. 2015, 56, 437–443. [Google Scholar] [CrossRef]
- Lefsrud, M.G.; Kopsell, D.A. Biomass production and pigment accumulation in kale grown under different radiation cycles in a controlled environment. Hort Sci. 2006, 41, 1412–1415. [Google Scholar] [CrossRef]
- Chen, J.; Chen, Z.; Li, Z.; Zhao, Y.; Chen, X.; Wang-Pruski, G.; Guo, R. Effect of Photoperiod on Chinese Kale (Brassica alboglabra) Sprouts Under White or Combined Red and Blue Light. Front. Plant. Sci. 2021, 11, 589746. [Google Scholar] [CrossRef] [PubMed]
- Zhang, X.; Bian, Z.; Yuan, X.; Chen, X.; Lu, C. A review on the effects of light-emitting diode (LED) light on the nutrients of sprouts and microgreens. Trends Food Sci. Technol. 2020, 99, 203–216. [Google Scholar] [CrossRef]
- Yuan, M.; Jia, X.; Ding, C.; Zeng, H.; Du, L.; Yuan, S.; Zhang, Z.; Wu, Q.; Hu, C.; Liu, J. Effect of fluorescence light on phenolic compounds and antioxidant activities of soybeans (Glycine max L Merrill) during germination. Food Sci. Biotechnol. 2015, 24, 1859–1865. [Google Scholar] [CrossRef]
- Gerovac, J.R.; Craver, J.K.; Boldt, J.K.; Lopez, R.G. Light intensity and quality from sole-source light-emitting diodes impact growth, morphology, and nutrient content of Brassica microgreens. Hort Sci. 2016, 51, 497–503. [Google Scholar] [CrossRef] [Green Version]
- Binenbaum, J.; Weinstain, R.; Shani, E. Gibberellin Localization and Transport in Plants. Trends Plant. Sci. 2018, 23, 410–421. [Google Scholar] [CrossRef] [Green Version]
- Potter, T.I.; Rood, S.B.; Zanewich, K.P. Light intensity, gibberellin content and the resolution of shoot growth in Brassica. Planta 1999, 207, 505–511. [Google Scholar] [CrossRef]
- Tuan, P.A.; Thwe, A.A.; Kim, Y.B.; Kim, J.K.; Kim, S.J.; Lee, S.; Chung, S.O.; Park, S.U. Effects of white, blue, and red light-emitting diodes on carotenoid biosynthetic gene expression levels and carotenoid accumulation in sprouts of tartary buckwheat (fagopyrum tataricum gaertn.). J. Agric. Food Chem. 2013, 61, 12356–12361. [Google Scholar] [CrossRef]
- Kopsell, D.A.; Sams, C.E.; Barickman, T.C.; Morrow, R.C. Sprouting broccoli accumulate higher concentrations of nutritionally important metabolites under narrow-band light-emitting diode lighting. J. Am. Soc. Hortic. Sci. 2014, 139, 469–477. [Google Scholar] [CrossRef]
- Jones-Baumgardt, C.; Llewellyn, D.; Ying, Q.; Zheng, Y. Intensity of sole-source light-emitting diodes affects growth, yield, and quality of brassicaceae microgreens. Hort Sci. 2019, 54, 1168–1174. [Google Scholar] [CrossRef] [Green Version]
- Lefsrud, M.G.; Kopsell, D.A.; Augé, R.M.; Both, A.J. Biomass production and pigment accumulation in kale grown under increasing photoperiods. Hort Sci. 2006, 41, 603–606. [Google Scholar] [CrossRef] [Green Version]
- Meas, S.; Luengwilai, K.; Thongket, T. Enhancing growth and phytochemicals of two amaranth microgreens by LEDs light irradiation. Sci. Hortic. 2020, 265, 109204. [Google Scholar] [CrossRef]
- Martín-Cabrejas, M.A.; Díaz, M.F.; Aguilera, Y.; Benítez, V.; Mollá, E.; Esteban, R.M. Influence of germination on the soluble carbohydrates and dietary fibre fractions in non-conventional legumes. Food Chem. 2008, 107, 1045–1052. [Google Scholar] [CrossRef]
- Zhou, W.L.; Liu, W.K.; Yang, Q.C. Quality changes in hydroponic lettuce grown under pre-harvest short-duration continuous light of different intensities. J. Hortic. Sci. Biotechnol. 2012, 87, 429–434. [Google Scholar] [CrossRef]
- Samuoliene, G.; Brazaityte, A.; Jankauskiene, J.; Viršile, A.; Sirtautas, R.; Novičkovas, A.; Sakalauskiene, S.; Sakalauskaite, J.; Duchovskis, P. LED irradiance level affects growth and nutritional quality of Brassica microgreens. Cent. Eur. J. Biol. 2013, 8, 1241–1249. [Google Scholar] [CrossRef]
- Zhan, L.; Li, Y.; Hu, J.; Pang, L.; Fan, H. Browning inhibition and quality preservation of fresh-cut romaine lettuce exposed to high intensity light. Innov. Food Sci. Emerg. Technol. 2012, 14, 70–76. [Google Scholar] [CrossRef]
- Fu, W.; Li, P.; Wu, Y.; Tang, J. Effects of different light intensities on anti-oxidative enzyme activity, quality and biomass in lettuce. Hortic. Sci. 2012, 39, 129–134. [Google Scholar] [CrossRef] [Green Version]
- McCall, D.; Willumsen, J. Effects of nitrogen availability and supplementary light on the nitrate content of soil-grown lettuce. J. Hortic. Sci. Biotechnol. 1999, 74, 458–463. [Google Scholar] [CrossRef]
- Zhang, X.; He, D.; Niu, G.; Yan, Z.; Song, J. Effects of environment lighting on the growth, photosynthesis, and quality of hydroponic lettuce in a plant factory. Int. J. Agric. Biol. Eng. 2018, 11, 33–40. [Google Scholar] [CrossRef]
- Park, C.H.; Kim, N.S.; Park, J.S.; Lee, S.Y.; Lee, J.W.; Park, S.U. Effects of light-emitting diodes on the accumulation of glucosinolates and phenolic compounds in sprouting canola (Brassica napus L.). Foods 2019, 8, 76. [Google Scholar] [CrossRef] [Green Version]
- Kim, Y.J.; Kim, Y.B.; Li, X.; Choi, S.R.; Park, S.; Park, J.S.; Lim, Y.P.; Park, S.U. Accumulation of Phenylpropanoids by White, Blue, and Red Light Irradiation and Their Organ-Specific Distribution in Chinese Cabbage (Brassica rapa ssp. pekinensis). J. Agric. Food Chem. 2015, 63, 6772–6778. [Google Scholar] [CrossRef]
- Liu, H.K.; Chen, Y.Y.; Hu, T.T.; Zhang, S.J.; Zhang, Y.H.; Zhao, T.Y.; Yu, H.E.; Kang, Y.F. The influence of light-emitting diodes on the phenolic compounds and antioxidant activities in pea sprouts. J. Funct. Foods 2016, 25, 459–465. [Google Scholar] [CrossRef]
- Wang, Y.; Gao, S.; He, X.; Li, Y.; Zhang, Y.; Chen, W. Response of total phenols, flavonoids, minerals, and amino acids of four edible fern species to four shading treatments. PeerJ 2020, 8, e8354. [Google Scholar] [CrossRef] [PubMed]
- Saito, K.; Yonekura-Sakakibara, K.; Nakabayashi, R.; Higashi, Y.; Yamazaki, M.; Tohge, T.; Fernie, A.R. The flavonoid biosynthetic pathway in Arabidopsis: Structural and genetic diversity. Plant. Physiol. Biochem. 2013, 72, 21–34. [Google Scholar] [CrossRef] [PubMed] [Green Version]
- Ali, M.B.; Khandaker, L.; Oba, S. Comparative study on functional components, antioxidant activity and color parameters of selected colored leafy vegetables as affected by photoperiods. J. Food Agric. Environ. 2009, 7, 392–398. [Google Scholar]
- Gu, Z.X.; Guo, Q.H.; Gu, Y.J. Factors Influencing Glucoraphanin and Sulforaphane Formation in Brassica Plants: A Review. J. Integr. Agric. 2012, 11, 1804–1816. [Google Scholar] [CrossRef]
- Engelen-Eigles, G.; Holden, G.; Cohen, J.D.; Gardner, G. The effect of temperature, photoperiod, and light quality on gluconasturtiin concentration in watercress (Nasturtium officinale R. Br.). J. Agric. Food Chem. 2006, 54, 328–334. [Google Scholar] [CrossRef] [PubMed]
- Lichtenthaler, H.K.; Buschmann, C. Chlorophylls and Carotenoids: Measurement and Characterization by UV-VIS Spectroscopy. Curr. Protoc. Food Anal. Chem. 2001, 1, F4.3.1–F4.3.8. [Google Scholar] [CrossRef]
- Blakesley, R.W.; Boezi, J.A. Short communication: A new staining technique for proteins gels using Coomassie brilliant blue G250. Anal. Biochem. 1977, 82, 580–582. [Google Scholar] [CrossRef]
- Kohyama, K.; Nishinari, K. Effect of soluble sugars on gelatinization and retrogradation of sweet potato starch. J. Food Sci. 1992, 57, 128–131. [Google Scholar] [CrossRef]
- Xie, Y.; Zheng, Y.; Dai, X.; Wang, Q.; Cao, J.; Xiao, J. Seasonal dynamics of total flavonoid contents and antioxidant activity of Dryopteris erythrosora. Food Chem. 2015, 186, 113–118. [Google Scholar] [CrossRef]
- Chen, G.; Mo, L.; Li, S.; Zhou, W.; Wang, H.; Liu, J.; Yang, C. Separation and determination of reduced vitamin C in polymerized hemoglobin-based oxygen carriers of the human placenta. Artif. Cells Nanomed. Biotechnol. 2015, 43, 152–156. [Google Scholar] [CrossRef] [PubMed]
- Singleton, V.L.; Orthofer, R.; Lamuela-Raventós, R.M. Analysis of total phenols and other oxidation substrates and antioxidants by means of folin-ciocalteu reagent. Sci. Hortic. 2016, 213, 281–286. [Google Scholar] [CrossRef]
- Tadolini, B.; Juliano, C.; Piu, L.; Franconi, F.; Cabrini, L. Resveratrol inhibition of lipid peroxidation. Free Radic. Res. 2000, 33, 105–114. [Google Scholar] [CrossRef] [PubMed]
- Benzie, I.F.F.; Strain, J.J. The Ferric Reducing Ability of Plasma (FRAP) as a Measure of “Antioxidant Power”: The FRAP Assay. Anal. Methods 2016, 8, 6107–6114. [Google Scholar] [CrossRef] [PubMed] [Green Version]
- Cataldo, D.A.; Haroon, M.H.; Schrader, L.E.; Youngs, V.L. Rapid colorimetric determination of nitrate in plant tissue by nitration of salicylic acid. Commun. Soil Sci. Plant. Anal. 1975, 6, 71–80. [Google Scholar] [CrossRef]
- Chen, C.; Chen, H.; Zhang, Y.; Thomas, H.R.; Frank, M.H.; He, Y.; Xia, R. TBtools: An Integrative Toolkit Developed for Interactive Analyses of Big Biological Data. Mol. Plant. 2020, 13, 1194–1202. [Google Scholar] [CrossRef] [PubMed]












| Cultivars | PPFD μmoL·m−2·s−1 | Hypocotyl Length cm | Fresh Weight (per Plant) mg | Dry Weight (per Plant) mg |
|---|---|---|---|---|
| Cabbage | 30 | 4.83 ± 0.10 a | 52.13 ± 1.43 b | 2.66 ± 0.09 b |
| 50 | 4.70 ± 0.14 ab | 57.75 ± 0.65 a | 2.88 ± 0.12 b | |
| 70 | 4.53 ± 0.04 b | 54.25 ± 0.88 ab | 3.21 ± 0.06 a | |
| 90 | 4.07 ± 0.06 c | 47.50 ± 1.65 c | 2.95 ± 0.10 ab | |
| Chinese kale | 30 | 4.43 ± 0.08 a | 36.88 ± 0.85 b | 2.42 ± 0.06 b |
| 50 | 4.35 ± 0.20 a | 42.63 ± 1.18 a | 2.79 ± 0.08 a | |
| 70 | 3.97 ± 0.06 b | 43.63 ± 0.75 a | 2.86 ± 0.11 a | |
| 90 | 3.57 ± 0.10 c | 36.75 ± 1.15 b | 2.71 ± 0.07 a |
| Cultivars | PPFD μmol·m−2·s−1 | Chl a (mg/g) | Chl b (mg/g) | Total Chl (mg/g) | Carotenoid (mg/g) |
|---|---|---|---|---|---|
| Cabbage | 30 | 0.25 ± 0.01 c | 0.07 ± 0.02 c | 0.32 ± 0.02 c | 0.063 ± 0.004 b |
| 50 | 0.48 ± 0.04 b | 0.15 ± 0.01 b | 0.64 ± 0.05 b | 0.110 ± 0.005 a | |
| 70 | 0.67 ± 0.05 a | 0.22 ± 0.02 a | 0.90 ± 0.08 a | 0.107 ± 0.009 a | |
| 90 | 0.57 ± 0.03 ab | 0.18 ± 0.01 ab | 0.76 ± 0.04 ab | 0.117 ± 0.000 a | |
| Chinese kale | 30 | 0.32 ± 0.02 b | 0.10 ± 0.00 b | 0.42 ± 0.02 b | 0.075 ± 0.003 b |
| 50 | 0.34 ± 0.06 b | 0.10 ± 0.02 b | 0.44 ± 0.08 b | 0.077 ± 0.010 b | |
| 70 | 0.67 ± 0.05 a | 0.22 ± 0.02 a | 0.89 ± 0.08 a | 0.102 ± 0.008 a | |
| 90 | 0.44 ± 0.03 b | 0.13 ± 0.01 b | 0.58 ± 0.05 b | 0.099 ± 0.003 a |
| Cultivars | Principal Components | PC1 | PC2 | PC3 | PC4 | PC5 |
|---|---|---|---|---|---|---|
| Cabbage | Eigenvalue | 7.4 | 3.1 | 1.7 | 1.1 | 0.6 |
| Variance (%) | 49.1 | 20.6 | 11.7 | 7.1 | 3.8 | |
| Cumulation (%) | 49.1 | 69.7 | 81.4 | 88.4 | 92.2 | |
| Chinese kale | Eigenvalue | 7.4 | 3.5 | 2.4 | 0.7 | 0.3 |
| Variance (%) | 49.6 | 23.1 | 16.0 | 5.0 | 2.3 | |
| Cumulation (%) | 49.6 | 72.7 | 88.7 | 93.7 | 96.0 |
| Cultivars | Photoperiod h·d−1 | Hypocotyl Length cm | Fresh Weight (per Plant) mg | Dry Weight (per Plant) mg |
|---|---|---|---|---|
| Cabbage | 12 | 3.26 ± 0.11 b | 62.88 ± 1.08 b | 4.11 ± 0.14 bc |
| 14 | 3.93 ± 0.13 a | 73.75 ± 1.89 a | 4.64 ± 0.21 a | |
| 16 | 4.01 ± 0.15 a | 67.50 ± 1.18 b | 4.47 ± 0.12 ab | |
| 18 | 3.95 ± 0.07 a | 62.63 ± 1.02 b | 3.93 ± 0.11 c | |
| 20 | 3.80 ± 0.16 a | 77.50 ± 2.72 a | 4.76 ± 0.16 a | |
| Chinese kale | 12 | 2.89 ± 0.15 a | 55.33 ± 0.99 bc | 4.22 ± 0.12 ab |
| 14 | 3.09 ± 0.14 a | 62.78 ± 1.51 a | 4.49 ± 0.15 ab | |
| 16 | 3.08 ± 0.06 a | 59.00 ± 1.53 b | 4.56 ± 0.12 a | |
| 18 | 2.99 ± 0.17 a | 51.11 ± 1.55 d | 4.11 ± 0.15 b | |
| 20 | 3.12 ± 0.12 a | 54.78 ± 0.68 cd | 4.27 ± 0.10 ab |
| Cultivars | Photoperiod h·d−1 | Chl a (mg/g) | Chl b (mg/g) | Total Chl (mg/g) | Carotenoid (mg/g) |
|---|---|---|---|---|---|
| Cabbage | 12 | 0.66 ± 0.02 c | 0.26 ± 0.01 c | 0.92 ± 0.03 c | 0.151 ± 0.005 b |
| 14 | 0.74 ± 0.03 ab | 0.30 ± 0.01 ab | 1.04 ± 0.04 ab | 0.170 ± 0.007 a | |
| 16 | 0.77 ± 0.02 a | 0.31 ± 0.01 a | 1.08 ± 0.02 a | 0.175 ± 0.003 a | |
| 18 | 0.68 ± 0.03 bc | 0.27 ± 0.01 bc | 0.94 ± 0.04 bc | 0.158 ± 0.007 ab | |
| 20 | 0.72 ± 0.01 abc | 0.29 ± 0.01 abc | 1.01 ± 0.02 abc | 0.165 ± 0.003 ab | |
| Chinese kale | 12 | 0.47 ± 0.03 b | 0.18 ± 0.01 b | 0.65 ± 0.04 b | 0.175 ± 0.010 b |
| 14 | 0.58 ± 0.04 ab | 0.22 ± 0.02 ab | 0.81 ± 0.06 ab | 0.222 ± 0.019 ab | |
| 16 | 0.68 ± 0.05 a | 0.26 ± 0.02 a | 0.94 ± 0.08 a | 0.260 ± 0.024 a | |
| 18 | 0.58 ± 0.04 ab | 0.21 ± 0.02 ab | 0.79 ± 0.06 ab | 0.210 ± 0.016 ab | |
| 20 | 0.65 ± 0.03 b | 0.24 ± 0.01 a | 0.89 ± 0.04 a | 0.242 ± 0.014 a |
| Cultivars | Principal Components | PC1 | PC2 | PC3 | PC4 | PC5 |
|---|---|---|---|---|---|---|
| Cabbage | Eigenvalue | 5.9 | 3.1 | 1.9 | 1.3 | 1.1 |
| Variance (%) | 39.1 | 20.7 | 12.4 | 8.9 | 7.7 | |
| Cumulation (%) | 39.1 | 59.8 | 72.1 | 81.0 | 88.7 | |
| Chinese kale | Eigenvalue | 5.4 | 2.3 | 1.7 | 1.5 | 1.1 |
| Variance (%) | 35.9 | 15.1 | 11.2 | 9.9 | 7.1 | |
| Cumulation (%) | 35.9 | 51.0 | 62.2 | 72.1 | 79.2 |
Publisher’s Note: MDPI stays neutral with regard to jurisdictional claims in published maps and institutional affiliations. |
© 2022 by the authors. Licensee MDPI, Basel, Switzerland. This article is an open access article distributed under the terms and conditions of the Creative Commons Attribution (CC BY) license (https://creativecommons.org/licenses/by/4.0/).
Share and Cite
Liu, K.; Gao, M.; Jiang, H.; Ou, S.; Li, X.; He, R.; Li, Y.; Liu, H. Light Intensity and Photoperiod Affect Growth and Nutritional Quality of Brassica Microgreens. Molecules 2022, 27, 883. https://doi.org/10.3390/molecules27030883
Liu K, Gao M, Jiang H, Ou S, Li X, He R, Li Y, Liu H. Light Intensity and Photoperiod Affect Growth and Nutritional Quality of Brassica Microgreens. Molecules. 2022; 27(3):883. https://doi.org/10.3390/molecules27030883
Chicago/Turabian StyleLiu, Kaizhe, Meifang Gao, Haozhao Jiang, Shuying Ou, Xiaopeng Li, Rui He, Yamin Li, and Houcheng Liu. 2022. "Light Intensity and Photoperiod Affect Growth and Nutritional Quality of Brassica Microgreens" Molecules 27, no. 3: 883. https://doi.org/10.3390/molecules27030883
APA StyleLiu, K., Gao, M., Jiang, H., Ou, S., Li, X., He, R., Li, Y., & Liu, H. (2022). Light Intensity and Photoperiod Affect Growth and Nutritional Quality of Brassica Microgreens. Molecules, 27(3), 883. https://doi.org/10.3390/molecules27030883

