Thermodynamically Stable Cationic Dimers in Carboxyl-Functionalized Ionic Liquids: The Paradoxical Case of “Anti-Electrostatic” Hydrogen Bonding
Abstract
:1. Introduction
2. Materials and Methods
2.1. Synthesis and Characterization
2.2. Computational Methods
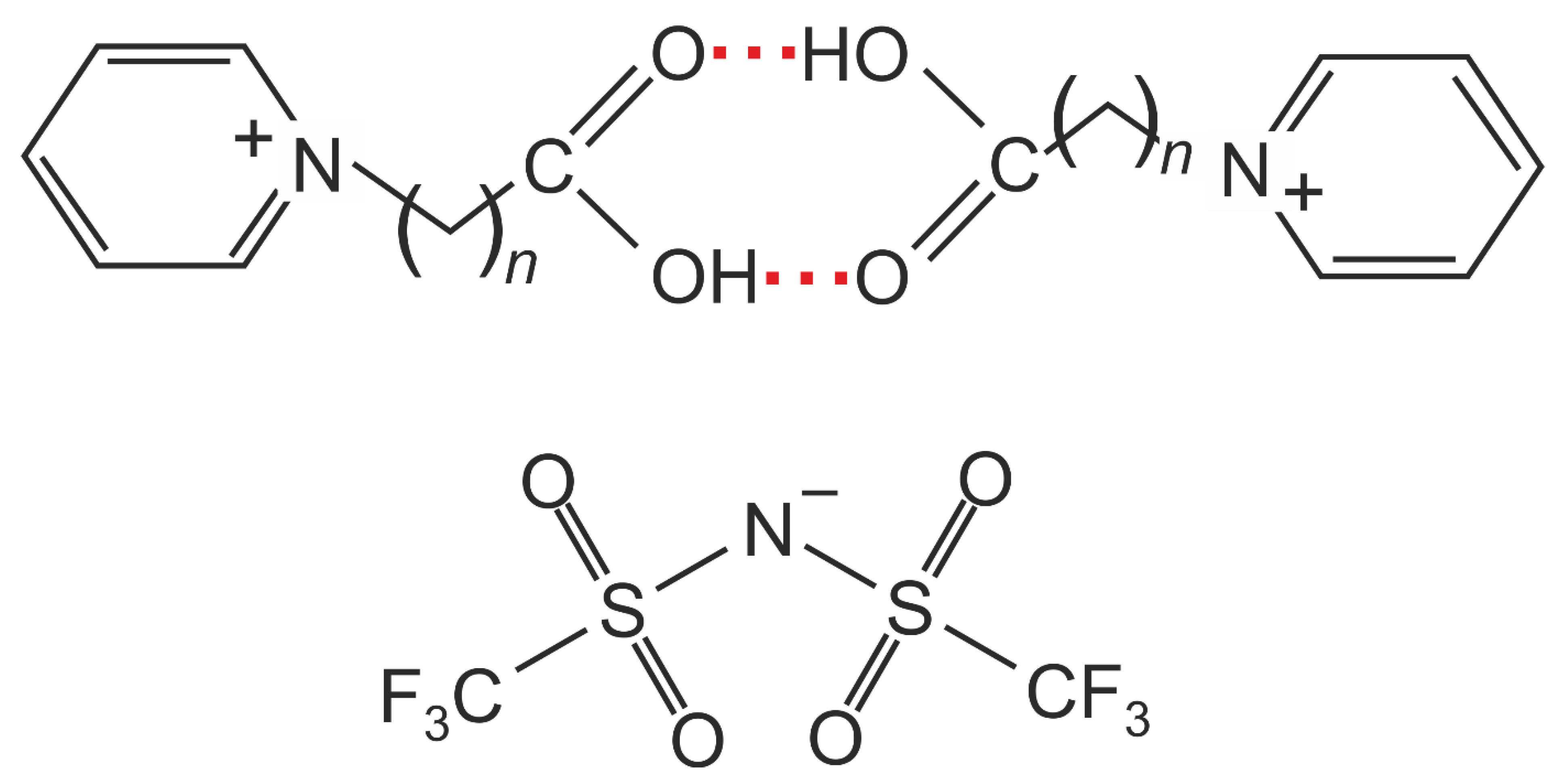
2.3. Strategy of This Study and Investigated Complexes
3. Results and Discussion
3.1. The Crystal Structure of the Ionic Liquid 1–(Carboxymethyl)Pyridinium Bis(Trifluoromethylsulfonyl)Imide [HOOC–CH2–py][NTf2]
3.2. The Structural Motif of Neutral (HOOC–(CH2)n–py+)2(NTf2−)2 Complexes
3.3. The Structural Motif of Singly Charged (HOOC–CH2–py+)2(NTf2−) Complexes
3.4. The Structural Motif of Double-Charged Cationic Dimer (HOOC–CH2–py+)2
3.5. Kinetically Stabilized Cationic Dimers (HOOC–(CH2)n–py+)2 with n = 1–5
3.6. Thermodynamically Stabilized Cationic Dimers (HOOC–(CH2)n–py+)2 with n = 6–8
3.7. QCE Cluster Equilibria
3.8. NBO Descriptors Strongly Correlate with Energy, H-Bond Distances, NMR Proton Chemical Shifts, and Vibrational Frequencies
4. Conclusions
Supplementary Materials
Author Contributions
Funding
Institutional Review Board Statement
Informed Consent Statement
Acknowledgments
Conflicts of Interest
Sample Availability
References
- Weinhold, F.; Klein, R.A. Anti-Electrostatic Hydrogen Bonds. Angew. Chem. Int. Ed. 2014, 53, 11214–11217. [Google Scholar] [CrossRef] [PubMed]
- Frenking, G.; Camamori, G.F. No Need for a Re-examination of the Electrostatic Notation of the Hydrogen Bonding: A Comment. Angew. Chem. Int. Ed. 2015, 54, 2596–2599. [Google Scholar] [CrossRef]
- Weinhold, F. Polyion Covalency: Exotic Species from the Unexplored World of Electrostatically Shielded Molecular Ion Chemistry. Angew. Chem. Int. Ed. 2017, 56, 14577–14581. [Google Scholar] [CrossRef]
- Oliveira, B.G. State of the art in hydrogen bond. Quim. Nova 2015, 38, 1313–1322. [Google Scholar]
- Horn, P.R.; Mao, Y.; Head-Gordon, M. Probing non-covalent interactions with a second generation energy decomposition analysis using absolutely localized molecular orbitals. Phys. Chem. Chem. Phys. 2016, 18, 23067–23079. [Google Scholar] [CrossRef] [PubMed]
- Tao, Y.; Zou, W.; Kraka, E. Strengthening of hydrogen bonding with the push-pull effect. Chem. Phys. Lett. 2017, 685, 251–258. [Google Scholar]
- Wang, C.; Fu, Y.; Zhang, L.; Danovich, D.; Shaik, S.; Mo, Y. Hydrogen and halogen between ions of like charges: Are they anti-electrostatic in nature? J. Comput. Chem. 2018, 39, 481–487. [Google Scholar] [CrossRef]
- Weinhold, F. Theoretical Prediction of Robust Second-Row Oxyanion Clusters in the Metastable Domain of Antielectrostatic Hydrogen Bonding. Inorg. Chem. 2018, 57, 2035–2044. [Google Scholar] [CrossRef]
- Mata, I.; Alkorta, I.; Molins, E.; Espinosa, E. Electrostatics at the Origin of the Stability of Phosphate-Phosphate Complexes Locked by Hydrogen Bonds. Chem. Phys. Chem. 2012, 13, 1421–1424. [Google Scholar] [CrossRef]
- Mata, I.; Alkorta, I.; Molins, E.; Espinosa, E. Tracing environment effects that influence the stability of anion-anion complexes: The case of phosphate-phosphate interactions. Chem. Phys. Lett. 2013, 555, 106–109. [Google Scholar] [CrossRef]
- Mata, I.; Alkorta, I.; Molins, E.; Espinosa, E. The Paradox of Hydrogen-Bonded Anion-Anion Aggregates in Oxoanions: A Fundamental Electrostatic Problem Explained in Terms of Electrophilic… Nucleophilic Interactions. J. Phys. Chem. A 2015, 119, 183–194. [Google Scholar] [CrossRef] [Green Version]
- Ludwig, R. Towards thermodynamically stable anionic dimers with “anti-electrostatic” hydrogen bonds overcoming like-charge repulsion. J. Mol. Liq. 2021, 340, 116882. [Google Scholar] [CrossRef]
- Holz, M.; Patil, K.J. Cation-Cation Association of Tetramethylammonium Ions in Aqueous Mixed Electrolyte Solutions. Ber. Bunsen-Ges. 1991, 95, 107–113. [Google Scholar] [CrossRef]
- Shih, O.; England, A.H.; Dallinger, G.C.; Smith, J.W.; Duffey, K.C.; Cohen, R.C.; Prendergast, D.; Saykally, R.J. Cation-cation contact pairing in water: Guanidinium. J. Chem. Phys. 2013, 139, 035104. [Google Scholar] [CrossRef] [PubMed] [Green Version]
- Larsen, A.E.; Grier, D.G. Like-Charge attractions in metastable colloidal crystallites. Nature 1997, 385, 230–233. [Google Scholar] [CrossRef]
- Caplan, M.R.; Moore, P.N.; Zhang, S.; Kamm, R.D.; Lauffenburger, D.A. Self-assembly of a β-sheet protein governed by relief of electrostatic repulsion relative to van der Waals attraction. Biomacromolecules 2000, 1, 627–631. [Google Scholar] [CrossRef]
- Gamrad, W.; Dreier, A.; Goddrad, R.; Pörschke, K.-R. Cation-Cation Pairing by N-C-H… O Hydrogen Bonds. Angew. Chem. Int. Ed. 2015, 54, 4482–4487. [Google Scholar] [CrossRef]
- Fatila, E.M.; Twum, E.B.; Sengupta, A.; Pink, M.; Karty, J.A.; Raghavachari, K.; Flood, A.H. Anions stabilize each other inside macrocyclic hosts. Angew. Chem. Int. Ed. 2016, 55, 14057–14062. [Google Scholar] [CrossRef]
- Fatila, E.M.; Twum, E.B.; Karty, J.A.; Flood, A.H. Ion Pairing and Co-facial Stacking Drive High-Fidelity Bisulfate Assembly with Cyanostar Macrocyclic Hosts. Chem. Eur. J. 2017, 23, 10652–10662. [Google Scholar] [CrossRef]
- Zhao, W.; Qiao, B.; Chen, C.-H.; Flood, A.H. High-fidelity multistate switching with anion-anion and acid-anion dimers of organophosphates in cyanostar complexes. Angew. Chem. Int. Ed. 2017, 56, 13083–13087. [Google Scholar] [CrossRef]
- Mungalpara, D.; Valkonen, A.; Rissanen, K.; Kubik, S. Efficient stabilisation of a dihydrogenphosphate tetramer and a dihydihydrogenpyrophosphate dimer by a cyclic pseudopeptide containing 1,4-disubstituted 1,2,3-triazone moieties. Chem. Sci. 2017, 8, 6005–6013. [Google Scholar] [CrossRef] [Green Version]
- Knorr, A.; Fumino, K.; Bonsa, A.-M.; Ludwig, R. Spectroscopic Evidence of ‘Jumping and Pecking’ of Cholinium and H-bond Enhanced Cation-Cation Interaction in Ionic Liquids. Phys. Chem. Chem. Phys. 2015, 17, 30978–30982. [Google Scholar] [CrossRef] [PubMed] [Green Version]
- Knorr, A.; Ludwig, R. Cation-cation clusters in ionic liquids: Cooperative hydrogen bonding overcomes like-charge repulsion. Sci. Rep. 2015, 5, 17505. [Google Scholar] [CrossRef] [PubMed] [Green Version]
- Knorr, A.; Stange, P.; Fumino, K.; Weinhold, F.; Ludwig, R. Spectroscopic Evidence for Clusters of Like-Charged Ions in Ionic Liquids Stabilized by Cooperative Hydrogen Bonding. Chem. Phys. Chem. 2016, 17, 458–462. [Google Scholar] [CrossRef] [Green Version]
- Strate, A.; Niemann, T.; Michalik, D.; Ludwig, R. When Like Charged Ions Attract in Ionic Liquids: Controlling the Formation of Cationic Clusters by the Interaction Strength of the Counterions. Angew. Chem. Int. Ed. 2017, 56, 496–500. [Google Scholar] [CrossRef] [PubMed]
- Niemann, T.; Zaitsau, D.; Strate, A.; Villinger, A.; Ludwig, R. Cationic Clustering Influences the Phase Behaviour of Ionic Liquids. Sci. Rep. 2018, 8, 1–7. [Google Scholar] [CrossRef] [Green Version]
- Strate, A.; Overbeck, V.; Lehde, V.; Neumann, J.; Bonsa, A.-M.; Niemann, T.; Paschek, D.; Michalik, D.; Ludwig, R. The Influence of Like-Charge Attraction on the Structure and Dynamics of Ionic Liquids: NMR Chemical Shifts, Quadrupole Coupling Constants, Rotational Correlation Times and Failure of Stokes—Einstein—Debye. Phys. Chem. Chem. Phys. 2018, 20, 5617–5625. [Google Scholar] [CrossRef]
- Niemann, T.; Neumann, J.; Stange, P.; Gärtner, S.; Youngs, T.G.A.; Paschek, D.; Warr, G.G.; Atkin, R.; Ludwig, R. The Double-Faced Nature of Hydrogen Bonding in Hydroxy-Functionalized Ionic Liquids Shown by Neutron Diffraction and Molecular Dynamics Simulations. Angew. Chem. Int. Ed. 2019, 58, 12887–12892. [Google Scholar] [CrossRef]
- Khudozhitkov, A.E.; Overbeck, V.; Stange, P.; Paschek, D.; Stepanov, A.G.; Kolokolov, D.I.; Ludwig, R. Hydrogen Bonding Between Ions of Like Charge in Ionic Liquids Characterized by NMR Deuteron Quadrupole Coupling Constants-Comparison with Salt Bridges and Molecular Systems. Angew. Chemie Int. Ed. 2019, 58, 17863–17871. [Google Scholar] [CrossRef] [Green Version]
- Khudozhitkov, A.E.; Niemann, T.; Stange, P.; Donoshita, M.; Stepanov, A.G.; Kitagawa, H.; Kolokolov, D.I.; Ludwig, R. Freezing the Motion in Hydroxy-Functionalized Ionic Liquids-Temperature Dependent NMR Deuteron Quadrupole Coupling Constants for Two Types of Hydrogen Bonds Far below the Glass Transition. J. Phys. Chem. Lett. 2020, 11, 6000–6006. [Google Scholar] [CrossRef]
- Strate, A.; Neumann, J.; Niemann, J.; Stange, P.; Khudozhitkov, A.E.; Stepanov, A.G.; Paschek, D.; Kolokolov, D.I.; Ludwig, R. Counting Cations Involved in Cationic Clusters of Hydroxy-Functionalized Ionic Liquids by Means of Infrared and Solid-State NMR Spectroscopy. Phys. Chem. Chem. Phys. 2020, 22, 6861–6867. [Google Scholar] [CrossRef]
- Neumann, J.; Paschek, D.; Ludwig, R. Kinetics of Hydrogen Bonding between Ions with Opposite and Like Charges in Hydroxyl-Functionalized Ionic Liquids. J. Phys. Chem. B 2021, 125, 281–286. [Google Scholar] [CrossRef]
- Neumann, J.; Ludwig, R.; Paschek, D. Hydrogen Bonds between Ions of Opposite and Like Charge in Hydroxyl-Functionalized Ionic Liquids: An Exhaustive Examination of the Interplay between Global and Local Motions and Intermolecular Hydrogen Bond Lifetimes and Kinetics. J. Phys. Chem. B 2021, 125, 5132–5144. [Google Scholar] [CrossRef]
- Li, H.; Niemann, T.; Ludwig, R.; Atkin, R. Effect of Hydrogen Bonding Between Ions of Like Charge on the Boundary Layer Friction of Hydroxy-Functionalized Ionic Liquids. J. Phys. Chem. Lett. 2020, 11, 3905–3910. [Google Scholar] [CrossRef]
- Niemann, T.; Zaitsau, D.H.; Strate, A.; Stange, P.; Ludwig, R. Controlling “like-likes-like” charge attraction in Hydroxy-Functionalized ionic liquids by polarizability of the cations, interaction strength of the anions and varying alkyl chain length. Phys. Chem. Chem. Phys. 2020, 22, 2763–2774. [Google Scholar] [CrossRef]
- Headrick, J.M.; Diken, E.G.; Walters, R.S.; Hammer, N.I.; Christie, R.A.; Cui, J.; Myshakin, E.M.; Duncan, M.A.; Johnson, M.A.; Jordan, K.D. Spectral Signatures of Hydrated Proton Vibrations in Water Clusters. Science 2005, 308, 1765–1769. [Google Scholar] [CrossRef]
- Hammer, N.I.; Shin, J.-W.; Headrick, J.M.; Diken, E.G.; Roscioli, J.R.; Weddle, G.H.; Johnson, M.A. How Do Small Water Clusters Bind an Excess Electron? Science 2004, 306, 675–679. [Google Scholar] [CrossRef] [PubMed]
- Robertson, W.H.; Diken, E.G.; Price, E.A.; Shin, J.-W.; Johnson, M.A. Spectroscopic Determination of the OH-Solvation Shell in the OH-(H2O)n Clusters. Science 2003, 299, 1367. [Google Scholar] [CrossRef] [PubMed]
- Wolk, A.B.; Leavitt, C.M.; Garand, E.; Johnson, M.A. Cryogenic Ion Chemistry and Spectroscopy. Acc Chem. Res. 2014, 47, 202–210. [Google Scholar] [CrossRef] [PubMed]
- Menges, F.S.; Zeng, H.J.; Kelleher, P.J.; Gorlova, O.; Johnson, M.A.; Niemann, T.; Strate, A.; Ludwig, R. Structural Motifs in Cold Ternary Ion Complexes of Hydroxyl-Functionalized Ionic Liquids: Isolating the Role of Cation-Cation Interactions. J. Phys. Chem. Lett. 2018, 9, 2979–2984. [Google Scholar] [CrossRef]
- Niemann, T.; Strate, A.; Ludwig, R.; Zeng, H.J.; Menges, F.S.; Johnson, M.A. Spectroscopic Evidence of an Attractive Cation-Cation Interaction in Hydroxy-Functionalized Ionic Liquids: A Hydrogen-Bonded Chain-like Trimer. Angew. Chem. Int. Ed. 2018, 57, 15364–15368. [Google Scholar] [CrossRef]
- Niemann, T.; Strate, A.; Ludwig, R.; Zeng, H.J.; Menges, F.S.; Johnson, M.A. Cooperatively Enhanced Hydrogen Bonds in Ionic Liquids: Closing the Loop with Molecular Mimics of Hydroxy-Functionalized Cations. Phys. Chem. Chem. Phys. 2019, 21, 18092–18098. [Google Scholar] [CrossRef]
- Zeng, H.J.; Menges, F.S.; Niemann, T.; Strate, A.; Ludwig, R.; Johnson, M.A. Chain Length Dependence of Hydrogen Bond Linkages Between Cationic Constituents in Hydroxy-Functionalized Ionic Liquids: Tracking Bulk Behavior to the Molecular Level with Cold Cluster Ion Spectroscopy. J. Phys. Chem. Lett. 2020, 11, 683–688. [Google Scholar] [CrossRef] [PubMed]
- Strate, A.; Niemann, T.; Ludwig, R. Controlling the Kinetic and Thermodynamic Stability of Cationic Clusters by the Addition of Molecules or Counterions. Phys. Chem. Chem. Phys. 2017, 19, 18854–18862. [Google Scholar] [CrossRef] [PubMed]
- Niemann, T.; Stange, P.; Strate, A.; Ludwig, R. Like-likes-Like: Cooperative Hydrogen Bonding Overcomes Coulomb Repulsion in Cationic Clusters with Net Charges uo to Q=+6. Chem. Phys. Chem. 2018, 19, 1691–1695. [Google Scholar] [CrossRef] [Green Version]
- Niemann, T.; Stange, P.; Strate, A.; Ludwig, R. When Hydrogen Bonding Overcomes Coulomb Repulsion: From Kinetic to Thermodynamic Stability of Cationic Dimers. Phys. Chem. Chem. Phys. 2019, 21, 8215–8220. [Google Scholar] [CrossRef]
- Philipp, J.K.; Fritsch, S.; Ludwig, R. Cyclic Octamer of Hydroxyl-functionalized Cations with Net Charge Q=+8e Kinetically Stabilized by a ‘Molecular Island’ of Cooperative Hydrogen Bonds. Chem. Phys. Chem. 2020, 21, 2411–2416. [Google Scholar] [CrossRef] [PubMed]
- Philipp, J.K.; Ludwig, R. Clusters of Hydroxyl-Functionalized Cations Stabilized by Cooperative Hydrogen Bonds: The Role of Polarizability and Alkyl Chain Length. Molecules 2020, 25, 4972. [Google Scholar] [CrossRef]
- Emel’yanenko, V.N.; Stange, P.; Feder-Kubis, J.; Verevkin, S.P.; Ludwig, R. Dissecting intermolecular interactions in the condensed phase of ibuprofen and related compounds: The specific role and quantification of hydrogen bonding and dispersion forces. Phys. Chem. Chem. Phys. 2020, 22, 4896–4904. [Google Scholar] [CrossRef]
- Shishov, A.; Bulatov, A.; Locatelli, M.; Carradori, S.; Andruch, V. Application of deep eutectic solvents in analytical chemistry. A review. Microchem. J. 2017, 135, 33–38. [Google Scholar] [CrossRef]
- Leal, J.P.; Esperança, J.M.S.S.; Minas da Piedade, M.E.; Canongia Lopes, J.N.; Rebelo, L.P.N.; Seddon, K.R. The nature of ionic liquids in the gas phase. J. Phys. Chem. A 2007, 111, 6176–6182. [Google Scholar] [CrossRef] [PubMed]
- Yavir, K.; Marcinkowski, Ł.; Marcinkowska, R.; Namieśnik, J.; Kloskowski, A. Analytical applications and physicochemical properties of ionic liquid-based hybrid materials: A review. Anal Chim Acta. 2019, 1054, 1–16. [Google Scholar] [CrossRef] [PubMed]
- Weinhold, F. Quantum cluster equilibrium theory of liquids: General theory and computer implementation. J. Chem. Phys. 1998, 109, 367–372. [Google Scholar] [CrossRef]
- Weinhold, F. Quantum cluster equilibrium theory of liquids: Illustrative application to water. J. Chem. Phys. 1998, 109, 373–384. [Google Scholar] [CrossRef]
- Kirchner, B. What can clusters tell us about the bulk?: Peacemaker: Extended quantum cluster equilibrium calculations. Comput. Phys. Commun. 2011, 182, 1428–1446. [Google Scholar] [CrossRef]
- Glendening J, E.D.; Badenhoop, K.; Reed, A.E.; Carpenter, J.E.; Bohmann, J.A.; Morales, C.M.; Karafiloglou, P.; Landis, C.R.; Weinhold, F. Natural Bond Orbital 7.0; Theoretical Chemistry Institute, University of Wisconsin: Madison, WI, USA, 2018. [Google Scholar]
- Weinhold, F.; Landis, C.R. Valency and Bonding a Natural Bond Orbital Donor-Acceptor Perspective; University Press: Cambridge, MA, USA, 2005. [Google Scholar]
- Weinhold, F. Resonance Character of Hydrogen-bonding Interactions in Water and Other H-bonded Species. Adv Protein. Chem. 2005, 72, 121–155. [Google Scholar] [PubMed]
- Weinhold, F.; Klein, R.A. What is a hydrogen bond? Mutually consistent theoretical and experimental criteria for characterizing H-bonding interactions. Mol. Phys. 2012, 110, 565–579. [Google Scholar] [CrossRef]
- Weinhold, F.; Klein, R.A. What is a hydrogen bond? Resonance covalency in the supramolecular domain. Chem. Educ. Res. Pract. 2014, 15, 276–285. [Google Scholar] [CrossRef]
- Nockemann, P.; Thijs, B.; Parac-Vogt, T.N.; Van Hecke, K.; Van Meervelt, L.; Tinant, B.; Hartenbach, I.; Schleid, T.; Thi Ngan, V.; Nguyen, M.T.; et al. Carboxyl-functionalized Task-Specific Ionic Liquids for Solubilizing Metal Oxides. Inorg. Chem. 2008, 47, 9987–9999. [Google Scholar] [CrossRef]
- Sheldrick, G.M. ACTA Crystallographica a-foundation and advances. Acta. Cryst. 2008, A64, 112–122. [Google Scholar] [CrossRef] [Green Version]
- Sheldrick, G.M. SHELXT—Integrated space-group and crystal-structure determination. Acta Cryst. 2015, C71, 3–8. [Google Scholar] [CrossRef] [Green Version]
- Krause, L.; Herbst-Irmer, R.; Sheldrick, G.M.; Stalke, D. Comparison of silver and molybdenum microfocus X-ray sources for single-crystal structure determination. J. Appl. Crystallogr. 2015, 48, 3–10. [Google Scholar] [CrossRef] [PubMed] [Green Version]
- Frisch, M.J.; Trucks, G.W.; Schlegel, H.B.; Scuseria, G.E.; Robb, M.A.; Cheeseman, J.R.; Scalmani, G.; Barone, V.; Petersson, G.A.; Nakatsuji, H.; et al. Gaussian 09, Revision D.01. Gaussian, Inc.: Wallingford, UK, 2013. [Google Scholar]
- Grimme, S.; Antony, J.; Ehrlich, S.; Krieg, H. A consistent and accurate ab initio parametrization of density functional dispersion correction (DFT-D) for the 94 elements H-Pu. J. Chem. Phys. 2010, 132, 154104. [Google Scholar] [CrossRef] [Green Version]
- Ehrlich, S.; Moellmann, J.; Reckien, W.; Bredow, T.; Grimme, S. System-dependent dispersion coefficients for the DFT–D3 treatment of adsorption processes on ionic surfaces. Chem. Phys. Chem. 2011, 12, 3414–3420. [Google Scholar] [CrossRef] [PubMed]
- Grimme, S.; Jansen, A. Dispersion-Corrected Mean-Field Electronic Structure Methods. Chem. Rev. 2016, 116, 5105–5154. [Google Scholar] [CrossRef] [PubMed] [Green Version]
- Weigend, F. Accurate Coulomb-fitting basis sets for H to Rn. Phys. Chem. Chem. Phys. 2006, 8, 1057–1065. [Google Scholar] [CrossRef]
- Weigend, F.; Ahlrichs, R. Balanced basis sets of split valence, triple zeta valence and quadruple zeta valence quality for H to Rn: Design and assessment of accuracy. Phys. Chem. Chem. Phys. 2005, 7, 3297–3305. [Google Scholar] [CrossRef] [PubMed]
- Boys, S.F.; Bernardi, F. The calculation of small molecular interactions by the differences of separate total energies. Some procedures with reduced errors. Mol. Phys. 1970, 19, 553–566. [Google Scholar] [CrossRef]
- Mentel, L.M.; Baerends, E.J. Can the Counterpoise Correction for Basis Set Superposition Effect Be Justified. J. Chem. Theory Comp. 2014, 10, 252–267. [Google Scholar] [CrossRef]
- Perlt, E.; von Domaros, M.; Kirchner, B.; Ludwig, R.; Weinhold, F. Predicting the Ionic Product of Water. Sci. Rep. 2017, 7, 10244. [Google Scholar] [CrossRef] [Green Version]
- Winkel, K.; Hage, W.; Loerting, T.; Price, S.L.; Mayer, E. Carbonic Acid: From Polyamorphism to Polymorphism. J. Am. Chem. Soc. 2007, 129, 13863–13871. [Google Scholar] [CrossRef] [PubMed]
- Takahashi, O.; Nishida, N.; Kanai, S.; Horikawa, Y.; Tokushima, T. XAS and RIXS study of acetic acid and methyl formate in liquid. J. Phys. Conf. Ser. 2016, 712, 012040. [Google Scholar] [CrossRef] [Green Version]
- Kalescky, R.; Kraka, E.; Cremer, D. Accurate determination of the binding energy of the formic acid dimer: The importance of geometry relaxation. J. Chem. Phys. 2014, 140, 084315. [Google Scholar] [CrossRef]
- Kollipost, F.; Larsen, R.W.; Domanskaya, A.V.; Nörenberg, M.; Suhm, M.A. Communication: The highest frequency hydrogen bond vibration and an experimental value for the dissociation energy of formic acid dimer. J. Chem. Phys. 2012, 136, 151101. [Google Scholar] [CrossRef] [Green Version]
- Xue, Z.; Suhm, M.A. Adding more weight to a molecular recognition unit: The low-frequency modes of carboxylic acid dimers. Mol. Phys. 2010, 108, 2279–2288. [Google Scholar] [CrossRef]
- McQuarrie, D.A. Statistical Mechanics; Harper and Row: New York, NY, USA, 1973. [Google Scholar]
- Ludwig, R.; Weinhold, F. Quantum cluster equilibrium theory of liquids: Light and heavy QCE/3-21G model water. Phys. Chem. Chem. Phys. 2000, 2, 1613–1619. [Google Scholar] [CrossRef]
- Ludwig, R.; Weinhold, F. Quantum Cluster Equilibrium theory of liquids: Isotopically substituted QCE/3-21G model water. Z. Phys. Chem. 2002, 216, 659–674. [Google Scholar] [CrossRef]
- Ludwig, R.; Weinhold, F.; Farrar, T.C. Experimental and Theoretical Determination of the Temperature Dependence of Deuteron and Oxygen Quadrupole Coupling Constants of Liquid. Water J. Chem. Phys. 1995, 103, 6941–6950. [Google Scholar] [CrossRef]
- Ludwig, R.; Weinhold, F. Quantum Cluster Equilibrium Theory of Liquids: Freezing of QCE/3-21G Water to Tetrakaidecahedral ‘Bucky-Ice’. J. Chem. Phys. 1999, 110, 508–515. [Google Scholar] [CrossRef]
- Ludwig, R. Hexamers: From Covalently Bound Organic Structures to Hydrogen Bonded Water Clusters. Chem. Phys. Chem. 2000, 1, 53–56. [Google Scholar] [CrossRef]
- Ludwig, R. Water: From Clusters to the Bulk. Angew. Chem. Int. Ed. 2001, 40, 1808–1827. [Google Scholar] [CrossRef]
- Ludwig, R. The Structure of Liquid Methanol. Chem. Phys. Chem. 2005, 6, 1369–1375. [Google Scholar] [CrossRef]
- Ludwig, R. Isotopic Quantum Effects in Liquid Methanol. Chem. Phys. Chem. 2005, 6, 1376–1380. [Google Scholar] [CrossRef] [PubMed]
- Ludwig, R.; Weinhold, F.; Farrar, T.C. Quantum cluster equilibrium theory of liquids: Molecular clusters and thermodynamics of liquid ethanol. Mol. Phys. 1999, 97, 465–477. [Google Scholar] [CrossRef]
- Ludwig, R.; Weinhold, F.; Farrar, T.C. Quantum cluster equilibrium theory of liquids: Temperature dependent chemical shifts, quadrupole coupling constants and vibrational frequencies in liquid ethanol. Mol. Phys. 1999, 97, 479–486. [Google Scholar] [CrossRef]
- Ludwig, R.; Weinhold, F.; Farrar, T.C. Experimental and Theoretical Studies of Hydrogen Bonding in Neat, Liquid Formamide. J. Chem. Phys. 1995, 102, 5118–5125. [Google Scholar] [CrossRef]
- Ludwig, R.; Weinhold, F.; Farrar, T.C. Temperature Dependence of Hydrogen Bonding in Neat Liquid Formamide. J. Chem. Phys. 1995, 103, 3636–3642. [Google Scholar] [CrossRef]
- Ludwig, R.; Weinhold, F.; Farrar, T.C. Structure of Liquid N-Methylacetamide: Temperature dependence of NMR Chemical Shifts and Quadrupole Coupling Constants. J. Phys. Chem. A 1997, 101, 8861–8870. [Google Scholar] [CrossRef]
- Ludwig, R.; Weinhold, F.; Farrar, T.C. Theoretical Study of Hydrogen Bonding in Liquid and Gaseous N-Methylformamide. J. Chem. Phys. 1997, 107, 499–507. [Google Scholar] [CrossRef]
- Ludwig, R.; Reis, O.; Winter, R.; Weinhold, F.; Farrar, T.C. Quantum Cluster Equilibrium Theory of Liquids: Temperature dependence of hydrogen bonding in Liquid N-Methylacetamide studied by IR Spectra. J. Phys. Chem. B 1998, 102, 9312–9318. [Google Scholar] [CrossRef]
- Ludwig, R. Cooperative Hydrogen Bonding in amides and peptides. J. Mol. Liq. 2000, 84, 65–75. [Google Scholar] [CrossRef]
- Kirchner, B. Cooperative versus dispersion effects: What is more important in an associated liquid such as water? J. Chem. Phys. 2005, 123, 204116. [Google Scholar] [CrossRef]
- Matisz, G.; Fabian, W.M.F.; Kelterer, A.-M.; Kunsagi-Mate, S. Weinhold’s QCE model—A modified parameter fit. Model study of liquid methanol based on MP2 cluster geometries. THEOCHEM 2010, 956, 103–109. [Google Scholar] [CrossRef]
- Matisz, G.; Fabian, W.M.F.; Kelterer, A.-M.; Kunsagi-Mate, S. Application of the Quantum Cluster Equilibrium (QCE) Model for the Liquid Phase of Primary Alcohols Using B3LYP and B3LYP-D DFT Methods. J. Phys. Chem. B 2011, 115, 3936–3941. [Google Scholar] [CrossRef]
- Matisz, G.; Fabian, W.M.F.; Kelterer, A.-M.; Kunsagi-Mate, S. Structural properties of methanol-water binary mixtures within the quantum cluster equilibrium model. Phys. Chem. Chem. Phys. 2015, 17, 8467–8479. [Google Scholar] [CrossRef] [PubMed] [Green Version]
- Brüssel, M.; Perlt, E.; Lehmann, S.B.C.; von Domaros, M.; Kirchner, B. Binary systems from quantum cluster equilibrium theory. J. Chem. Phys. 2011, 135, 194113. [Google Scholar] [CrossRef] [PubMed]
- Kirchner, B.; Weinhold, F.; Friedrich, J.; Perlt, E.; Lehmann, S.B.C. Many-Electron Approaches in Physics, Chemistry and Mathematics; Springer International Publishing: Cham, Switzerland, 2014; pp. 77–96. [Google Scholar]
- Spickermann, C.; Lehmann, S.B.C.; Kirchner, B. Introducing phase transitions to quantum chemistry: From Trouton’s rule to first principles vaporization entropies. J. Chem. Phys. 2008, 128, 244506. [Google Scholar] [CrossRef]
- Zaby, P.; Ingenmey, J.; Kircher, B.; Grimme, S.; Ehlert, S. Calculation of improved enthalpy and entropy of vaporization by a modified partition function in quantum cluster equilibrium theory. J. Chem. Phys. 2021, 155, 104101. [Google Scholar] [CrossRef]
- Blasius, J.; Kirchner, B. Cluster-weighting in Bulk Phase Vibrational Circular Dichroism. J. Phys. Chem. B 2020, 124, 7272–7283. [Google Scholar] [CrossRef]
- Marchelli, G.; Ingenmey, J.; von Domaros, M.; Holloczki, O.; Kirchner, B. Predicting mole fraction dependent dissociation for weak acids. Angew. Chem. Int. Ed. 2019, 58, 3212–3216. [Google Scholar]
- Von Domaros, M.; Perlt, E.; Ingenmey, J.; Marchelli, G.; Kirchner, B. Peacemaker 2: Making clusters talk about binary mixtures and neat liquids. SoftwareX 2018, 7, 356–359. [Google Scholar] [CrossRef]
- Von Domaros, M.; Perlt, E. Anharmonic effects in the quantum cluster equilibrium method. J. Chem. Phys. 2017, 146, 124114. [Google Scholar] [CrossRef] [PubMed]
- Lenz, A.; Ojamäe, L. A theoretical study of water equilibria: The cluster distribution versus temperature and pressure for (H2O)n, n = 1–60, and ice. J. Chem. Phys. 2009, 131, 13402. [Google Scholar] [CrossRef] [PubMed]















| n | R(H…O)/Å | R(O…O)/Å | ΔE/kJmol−1 |
|---|---|---|---|
| 1 | 1.738 | 2.737 | 80.1 |
| 2 | 1.723 | 2.724 | 42.9 |
| 3 | 1.712 | 2.714 | 35.91 |
| 4 | 1.707 | 2.709 | 7.4 |
| 5 | 1.703 | 2.705 | −2.5 |
| 6 | 1.701 | 2.703 | −14.3 |
| 7 | 1.670 | 2.702 | −19.3 |
| 8 | 1.698 | 2.701 | −26.0 |
Publisher’s Note: MDPI stays neutral with regard to jurisdictional claims in published maps and institutional affiliations. |
© 2022 by the authors. Licensee MDPI, Basel, Switzerland. This article is an open access article distributed under the terms and conditions of the Creative Commons Attribution (CC BY) license (https://creativecommons.org/licenses/by/4.0/).
Share and Cite
Al-Sheakh, L.; Fritsch, S.; Appelhagen, A.; Villinger, A.; Ludwig, R. Thermodynamically Stable Cationic Dimers in Carboxyl-Functionalized Ionic Liquids: The Paradoxical Case of “Anti-Electrostatic” Hydrogen Bonding. Molecules 2022, 27, 366. https://doi.org/10.3390/molecules27020366
Al-Sheakh L, Fritsch S, Appelhagen A, Villinger A, Ludwig R. Thermodynamically Stable Cationic Dimers in Carboxyl-Functionalized Ionic Liquids: The Paradoxical Case of “Anti-Electrostatic” Hydrogen Bonding. Molecules. 2022; 27(2):366. https://doi.org/10.3390/molecules27020366
Chicago/Turabian StyleAl-Sheakh, Loai, Sebastian Fritsch, Andreas Appelhagen, Alexander Villinger, and Ralf Ludwig. 2022. "Thermodynamically Stable Cationic Dimers in Carboxyl-Functionalized Ionic Liquids: The Paradoxical Case of “Anti-Electrostatic” Hydrogen Bonding" Molecules 27, no. 2: 366. https://doi.org/10.3390/molecules27020366
APA StyleAl-Sheakh, L., Fritsch, S., Appelhagen, A., Villinger, A., & Ludwig, R. (2022). Thermodynamically Stable Cationic Dimers in Carboxyl-Functionalized Ionic Liquids: The Paradoxical Case of “Anti-Electrostatic” Hydrogen Bonding. Molecules, 27(2), 366. https://doi.org/10.3390/molecules27020366

