Two Pairs of 7,7′-Cyclolignan Enantiomers with Anti-Inflammatory Activities from Perilla frutescens
Abstract
1. Introduction
2. Results
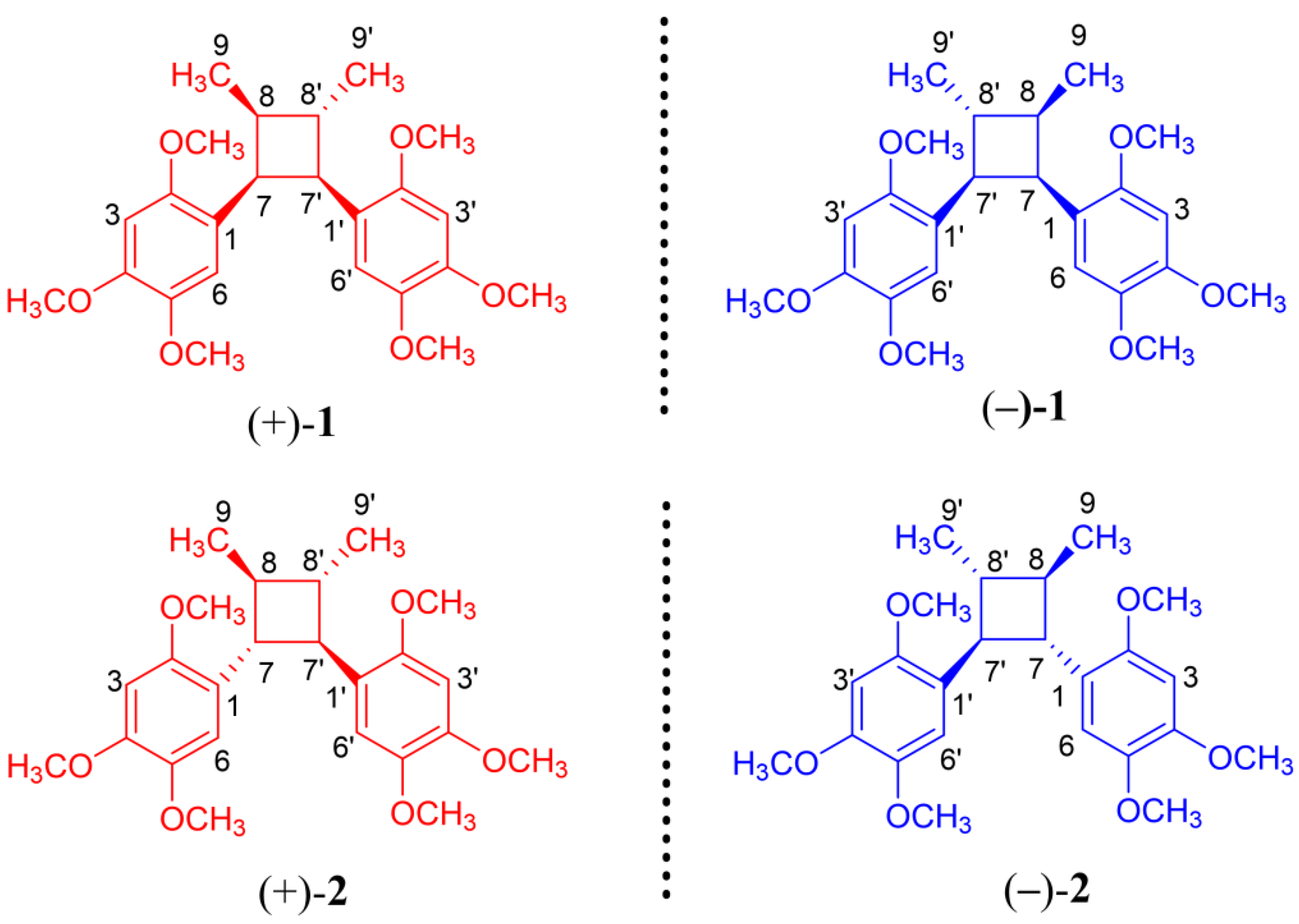
2.1. Structural Elucidation of the Isolated Compounds
2.2. Physicochemical Properties and Spectroscopic Data of Compounds 1 and 2
2.3. Effects of Compounds (+)-1 and (−)-1 on Cell Viability of RAW 264.7 Macrophages
2.4. Effects of Compounds (+)-1 and (−)-1 on NO Production in RAW 264.7 Macrophages
2.5. Effects of Compound (+)-1 on TNF-α and IL-6 Production in RAW 264.7 Macrophages
2.6. Effects of Compound (+)-1 on iNOS and COX-2 Protein Expression in RAW 264.7 Macrophages
3. Discussion
4. Materials and Methods
4.1. Plant Material
4.2. Extraction and Isolation
4.3. Cell Culture
4.4. Cell Viability Assay
4.5. NO Production Assay
4.6. Cytokines Production Assays
4.7. Western Blot Analysis
4.8. Statistical Analysis
5. Conclusions
Supplementary Materials
Author Contributions
Funding
Institutional Review Board Statement
Informed Consent Statement
Data Availability Statement
Conflicts of Interest
Sample Availability
Abbreviations
References
- Campbell, D.B.; Wilson, K. Chirality and its importance in drug development. Biochem. Soc. Trans. 1991, 19, 472–475. [Google Scholar] [CrossRef]
- Kasprzyk-Hordern, B. Pharmacologically active compounds in the environment and their chirality. Chem. Soc. Rev. 2010, 39, 4466–4503. [Google Scholar] [CrossRef]
- Lorenz, H.; Seidel-Morgenstern, A. Processes to separate enantiomers. Angew. Chem. Int. Ed. Engl. 2014, 53, 1218–1250. [Google Scholar] [CrossRef] [PubMed]
- Fukuhara, A.; Imai, T.; Otagiri, M. Stereoselective disposition of flurbiprofen from a mutual prodrug with a histamine H2-antagonist to reduce gastrointestinal lesions in the rat. Chirality 1996, 8, 494–502. [Google Scholar] [CrossRef]
- Zimmerman, D.M.; Smits, S.E.; Hynes, M.D.; Cantrell, B.E.; Leander, J.D.; Mendelsohn, L.G.; Nickander, R. Picenadol. Drug Alcohol Depend. 1985, 14, 381–401. [Google Scholar] [CrossRef]
- Kwak, Y.; Ju, J. Inhibitory activities of Perilla frutescens britton leaf extract against the growth, migration, and adhesion of human cancer cells. Nutr. Res. Pract. 2015, 9, 11–16. [Google Scholar] [CrossRef]
- Chinese Pharmacopoeia Committee. Pharmacopoeia of the People’s Republic of China, Part 1; Chemical Industry Press: Beijing, China, 2020; p. 354.
- Yu, H.; Qiu, J.F.; Ma, L.J.; Hu, Y.J.; Li, P.; Wan, J.B. Phytochemical and phytopharmacological review of Perilla frutescens L. (Labiatae), a traditional edible-medicinal herb in China. Food Chem. Toxicol. 2017, 108, 375–391. [Google Scholar] [CrossRef] [PubMed]
- Kang, R.; Helms, R.; Stout, M.J.; Jaber, H.; Chen, Z.; Nakatsu, T. Antimicrobial activity of the volatile constituents of Perilla frutescens and its synergistic effects with polygodial. J. Agric. Food Chem. 1992, 40, 2328–2330. [Google Scholar] [CrossRef]
- Shin, T.Y.; Kim, S.H.; Kim, S.H.; Kim, Y.K.; Park, H.J.; Chae, B.S.; Jung, H.J.; Kim, H.M. Inhibitory effect of mast cell-mediated immediate-type allergic reactions in rats by Perilla frutescens. Immunopharmacol. Immunotoxicol. 2000, 22, 489–500. [Google Scholar] [CrossRef] [PubMed]
- Ryu, J.H.; Son, H.J.; Lee, S.H.; Sohn, D.H. Two neolignans from Perilla frutescens and their inhibition of nitric oxide synthase and tumor necrosis factor-α expression in murine macrophage cell line RAW 264.7. Bioorg. Med. Chem. Lett. 2002, 12, 649–651. [Google Scholar] [CrossRef]
- Masahiro, T.; Risa, M.; Harutaka, Y.; Kazuhiro, C. Novel antioxidants isolated from Perilla frutescens Britton var. crispa (Thunb.). Biosci. Biotechnol. Biochem. 1996, 60, 1093–1095. [Google Scholar] [CrossRef]
- Nakazawa, T.; Yasuda, T.; Ueda, J.; Ohsawa, K. Antidepressant-like effects of apigenin and 2,4,5-trimethoxycinnamic acid from Perilla frutescens in the forced swimming test. Biol. Pharm. Bull. 2003, 26, 474–480. [Google Scholar] [CrossRef] [PubMed]
- Kadota, S.; Tsubono, K.; Makino, K.; Takeshita, M.; Kikuchi, T. Convenient synthesis of magnoshinin, an anti-inflammatory neolignan. Tetrahedron Lett. 1987, 28, 2857–2860. [Google Scholar] [CrossRef]
- Sadek, A.A.; Abdelwahab, S.; Eid, S.Y.; Almaimani, R.A.; Althubiti, M.A.; EI-Readi, M.Z. Overexpression of inducible nitric oxide synthase in allergic and nonallergic nasal polyp. Oxid. Med. Cell. Longev. 2019, 2019, 7506103. [Google Scholar] [CrossRef] [PubMed]
- Cha, S.M.; Cha, J.D.; Jang, E.J.; Kim, G.U.; Lee, K.Y. Sophoraflavanone G prevents Streptococcus mutans surface antigen I/II-induced production of NO and PGE2 by inhibiting MAPK-mediated pathways in RAW 264.7 macrophages. Arch. Oral Biol. 2016, 68, 97–104. [Google Scholar] [CrossRef] [PubMed]
- Chen, H.; Ma, F.; Hu, X.; Jin, T.; Xiong, C.; Teng, X. Elevated COX2 expression and PGE2 production by downregulation of RXRα in senescent macrophages. Biochem. Biophys. Res. Commun. 2013, 440, 157–162. [Google Scholar] [CrossRef] [PubMed]
- Adesso, S.; Popolo, A.; Bianco, G.; Sorrentino, R.; Pinto, A.; Autore, G.; Marzocco, S. The uremic toxin indoxyl sulphate enhances macrophage response to LPS. PLoS ONE 2013, 8, e76778. [Google Scholar] [CrossRef] [PubMed]
- Kuo, T.T.; Chang, H.Y.; Chen, T.Y.; Liu, B.C.; Chen, H.Y.; Hsiung, Y.C.; Hsia, S.M.; Chang, C.J.; Huang, T.C. Melissa officinalis extract induces apoptosis and inhibits migration in human colorectal cancer cells. ACS Omega 2020, 5, 31792–31800. [Google Scholar] [CrossRef] [PubMed]
- Fialová, S.; Slobodníková, L.; Veizerová, L.; Grančai, D. Lycopus europaeus: Phenolic fingerprint, antioxidant activity and antimicrobial effect on clinical Staphylococcus aureus strains. Nat. Prod. Res. 2015, 29, 2271–2274. [Google Scholar] [CrossRef] [PubMed]
- Shi, J.G. Lignan Chemistry; Chemical Industry Press: Beijing, China, 2009; pp. 210–211. [Google Scholar]
- Morikawa, T.; Ninomiya, K.; Akaki, J.; Kakihara, N.; Kuramoto, H.; Matsumoto, Y.; Hayakawa, T.; Muraoka, O.; Wang, L.B.; Wu, L.J.; et al. Dipeptidyl peptidase-IV inhibitory activity of dimeric dihydrochalcone glycosides from flowers of Helichrysum arenarium. J. Nat. Med. 2015, 69, 494–506. [Google Scholar] [CrossRef] [PubMed]
- Karaköse, H.; Jaiswal, R.; Deshpande, S.; Kuhnert, N. Investigating the photochemical changes of chlorogenic acids induced by UV light in model systems and in agricultural practice with stevia rebaudiana cultivation as an example. J. Agric. Food Chem. 2015, 63, 3338–3347. [Google Scholar] [CrossRef] [PubMed]
- Malhotra, S.; Koul, S.K.; Taneja, S.C.; Pushpangadan, P.; Dhar, K.L. A neolignan from Piper sumatranum. Phytochemistry 1990, 29, 2733–2734. [Google Scholar] [CrossRef]
- Tsai, I.L.; Lee, F.P.; Wu, C.C.; Duh, C.Y.; Ishikawa, T.; Chen, J.J.; Chen, Y.C.; Seki, H.; Chen, I.S. New cytotoxic cyclobutanoid amides, a new furanoid lignan and anti-platelet aggregation constituents from Piper arborescens. Planta Med. 2005, 71, 535–542. [Google Scholar] [CrossRef] [PubMed]
- Ma, G.L.; Xiong, J.; Yang, G.X.; Pan, L.L.; Hu, C.L.; Wang, W.; Fan, H.; Zhao, Q.H.; Zhang, H.Y.; Hu, J.F. Biginkgosides A–I, unexpected minor dimeric flavonol diglycosidic truxinate and truxillate esters from Ginkgo biloba leaves and their antineuroinflammatory and neuroprotective activities. J. Nat. Prod. 2016, 79, 1354–1364. [Google Scholar] [CrossRef] [PubMed]
- Kikuchi, T.; Kadota, S.; Yanada, K.; Tanaka, K.; Watanabe, K.; Yoshizaki, M.; Tokoi, T.; Shingu, T. Isolation and structure of magnosalin and magnoshinin, new neolignans from magnolia saliciforia maxim. Chem. Pharm. Bull. 1983, 31, 1112–1114. [Google Scholar] [CrossRef]
- De Sales-Neto, J.M.; Lima, É.A.; Cavalcante-Silva, L.H.A.; Vasconcelos, U.; Rodrigues-Mascarenhas, S. Anti-inflammatory potential of pyocyanin in LPS-stimulated murine macrophages. Immunopharmacol. Immunotoxicol. 2019, 41, 102–108. [Google Scholar] [CrossRef] [PubMed]
- Lee, H.H.; Jang, E.; Kang, S.Y.; Shin, J.S.; Han, H.S.; Kim, T.W.; Lee, D.H.; Lee, D.H.; Lee, J.H.; Jang, D.S.; et al. Anti-inflammatory potential of patrineolignan B isolated from Patrinia scabra in LPS-stimulated macrophages via inhibition of NF-κB, AP-1, and JAK/STAT pathways. Int. Immunopharmacol. 2020, 86, 106726. [Google Scholar] [CrossRef] [PubMed]
- Han, J.M.; Lee, E.K.; Gong, S.Y.; Sohng, J.K.; Kang, Y.J.; Jung, H.J. Sparassis crispa exerts anti-inflammatory activity via suppression of TLR-mediated NF-κB and MAPK signaling pathways in LPS-induced RAW 264.7 macrophage cells. J. Ethnopharmacol. 2019, 231, 10–18. [Google Scholar] [CrossRef]
- Ren, J.; Li, L.; Wang, Y.; Zhai, J.; Chen, G.; Hu, K. Gambogic acid induces heme oxygenase-1 through Nrf2 signaling pathway and inhibits NF-κB and MAPK activation to reduce inflammation in LPS-activated RAW 264.7 cells. Biomed. Pharmacother. 2019, 109, 555–562. [Google Scholar] [CrossRef]
- Guo, Y.; Li, Q.; Xuan, Y.T.; Wu, W.J.; Tan, W.; Slezak, J.; Zhu, X.; Tomlin, A.; Bolli, R. Exercise-induced late preconditioning in mice is triggered by eNOS-dependent generation of nitric oxide and activation of PKCε and is mediated by increased iNOS activity. Int. J. Cardiol. 2021, 340, 68–78. [Google Scholar] [CrossRef] [PubMed]
- Hattori, H.; Tsutsuki, H.; Nakazawa, M.; Ueda, M.; Ihara, H.; Sakamoto, T. Naringin lauroyl ester inhibits lipopolysaccharide-induced activation of nuclear factor κB signaling in macrophages. Biosci. Biotechnol. Biochem. 2016, 80, 1403–1409. [Google Scholar] [CrossRef] [PubMed]
- Moita, E.; Gil-Izquierdo, A.; Sousa, C.; Ferreres, F.; Silva, L.R.; Valentão, P.; Domínguez-Perles, R.; Baenas, N.; Andrade, P.B. Integrated analysis of COX-2 and iNOS derived inflammatory mediators in LPS-stimulated RAW macrophages pre-exposed to Echium plantagineum L. bee pollen extract. PLoS ONE 2013, 8, e59131. [Google Scholar] [CrossRef] [PubMed]
- Kim, S.E.; Kawaguchi, K.; Hayashi, H.; Furusho, K.; Maruyama, M. Remission effects of dietary soybean isoflavones on DSS-induced murine colitis and an LPS-activated macrophage cell line. Nutrients 2019, 11, 1746. [Google Scholar] [CrossRef] [PubMed]
- Song, S.Y.; Jung, Y.Y.; Hwang, C.J.; Lee, H.P.; Sok, C.H.; Kim, J.H.; Lee, S.M.; Seo, H.O.; Hyun, B.K.; Choi, D.Y. Inhibitory effect of ent-Sauchinone on amyloidogenesis via inhibition of STAT3-mediated NF-κB activation in cultured astrocytes and microglial BV-2 cells. J. Neuroinflamm. 2014, 11, 118. [Google Scholar] [CrossRef] [PubMed]
- Goto, H.; Osawa, E. Corner flapping: A simple and fast algorithm for exhaustive generation of ring conformations. J. Am. Chem. Soc. 1989, 111, 8950–8951. [Google Scholar] [CrossRef]
- Goto, H.; Osawa, E. An efficient algorithm for searching low-energy conformers of cyclic and acyclic molecules. J. Chem. Soc., Perkin Trans. 1993, 2, 187–198. [Google Scholar] [CrossRef]
- Frisch, M.J.; Trucks, G.W.; Schlegel, H.B.; Scuseria, G.E.; Robb, M.A.; Cheeseman, J.R.; Scalmani, G.; Barone, V.; Petersson, G.A.; Nakatsuji, H.; et al. Gaussian 16; Revision B.01; Gaussian, Inc.: Wallingford, CT, USA, 2016. [Google Scholar]
- Liu, Y.; Liu, F.; Qiao, M.M.; Guo, L.; Chen, M.H.; Peng, C.; Xiong, L. Curcumanes A and B, two bicyclic sesquiterpenoids with significant vasorelaxant activity from Curcuma longa. Org. Lett. 2019, 21, 1197–1201. [Google Scholar] [CrossRef]
- Bruhn, T.; Schaumlöffel, A.; Hemberger, Y.; Bringmann, G. Spec Dis; Version 1.7; University of Würzburg: Würzburg, Germany, 2017. [Google Scholar]







| Position | Compound 1 | Compound 2 | ||
|---|---|---|---|---|
| δH | δC | δH | δC | |
| 1 | 121.0 | 124.0 | ||
| 2 | 152.4 | 151.8 | ||
| 3 | 6.44 s | 98.0 | 6.46 s | 98.0 |
| 4 | 146.5 | 147.7 | ||
| 5 | 141.8 | 143.2 | ||
| 6 | 6.38 s | 113.5 | 6.95 s | 112.3 |
| 7 | 4.40 t (9.6) | 39.2 | 3.26 t (overlapped) | 45.5 |
| 8 | 2.39 m | 39.6 | 1.76 m | 43.6 |
| 9 | 0.66 d (7.2) | 15.1 | 1.18 d (6.0) | 19.2 |
| 1′ | 122.5 | 124.0 | ||
| 2′ | 152.0 | 151.8 | ||
| 3′ | 6.30 s | 98.2 | 6.46 s | 98.0 |
| 4′ | 147.9 | 147.7 | ||
| 5′ | 143.1 | 143.2 | ||
| 6′ | 6.80 brs | 111.5 | 6.95 s | 112.3 |
| 7′ | 3.55 t (9.6) | 44.2 | 3.26 t (overlapped) | 45.5 |
| 8′ | 2.49 m | 41.3 | 1.76 m | 43.6 |
| 9′ | 1.28 d (6.6) | 20.1 | 1.18 d (6.0) | 19.2 |
| OMe-2 | 3.75 s | 57.3 | 3.69 s | 56.7 |
| OMe-4 | 3.80 s | 56.1 | 3.85 s | 56.3 |
| OMe-5 | 3.37 s | 56.1 | 3.87 s | 56.9 |
| OMe-2′ | 3.39 s | 56.0 | 3.69 s | 56.7 |
| OMe-4′ | 3.80 s | 56.3 | 3.85 s | 56.3 |
| OMe-5′ | 3.84 s | 57.2 | 3.87 s | 56.9 |
Publisher’s Note: MDPI stays neutral with regard to jurisdictional claims in published maps and institutional affiliations. |
© 2022 by the authors. Licensee MDPI, Basel, Switzerland. This article is an open access article distributed under the terms and conditions of the Creative Commons Attribution (CC BY) license (https://creativecommons.org/licenses/by/4.0/).
Share and Cite
Zuo, J.; Zhang, T.-H.; Xiong, L.; Huang, L.; Peng, C.; Zhou, Q.-M.; Dai, O. Two Pairs of 7,7′-Cyclolignan Enantiomers with Anti-Inflammatory Activities from Perilla frutescens. Molecules 2022, 27, 6102. https://doi.org/10.3390/molecules27186102
Zuo J, Zhang T-H, Xiong L, Huang L, Peng C, Zhou Q-M, Dai O. Two Pairs of 7,7′-Cyclolignan Enantiomers with Anti-Inflammatory Activities from Perilla frutescens. Molecules. 2022; 27(18):6102. https://doi.org/10.3390/molecules27186102
Chicago/Turabian StyleZuo, Jing, Tian-Hao Zhang, Liang Xiong, Lu Huang, Cheng Peng, Qin-Mei Zhou, and Ou Dai. 2022. "Two Pairs of 7,7′-Cyclolignan Enantiomers with Anti-Inflammatory Activities from Perilla frutescens" Molecules 27, no. 18: 6102. https://doi.org/10.3390/molecules27186102
APA StyleZuo, J., Zhang, T.-H., Xiong, L., Huang, L., Peng, C., Zhou, Q.-M., & Dai, O. (2022). Two Pairs of 7,7′-Cyclolignan Enantiomers with Anti-Inflammatory Activities from Perilla frutescens. Molecules, 27(18), 6102. https://doi.org/10.3390/molecules27186102
