Extraction of Camphor Tree Essential Oil by Steam Distillation and Supercritical CO2 Extraction
Abstract
:1. Introduction
2. Results and Discussion
2.1. Steam Distillation
2.2. Supercritical CO2 Extraction
2.2.1. Single Factor Experiment
2.2.2. Orthogonal Experiment
2.3. Analysis of Essential Oil Component
2.4. Comparative Analysis of These Two Different Methods
2.4.1. Steam Distillation
2.4.2. Supercritical CO2 Extraction
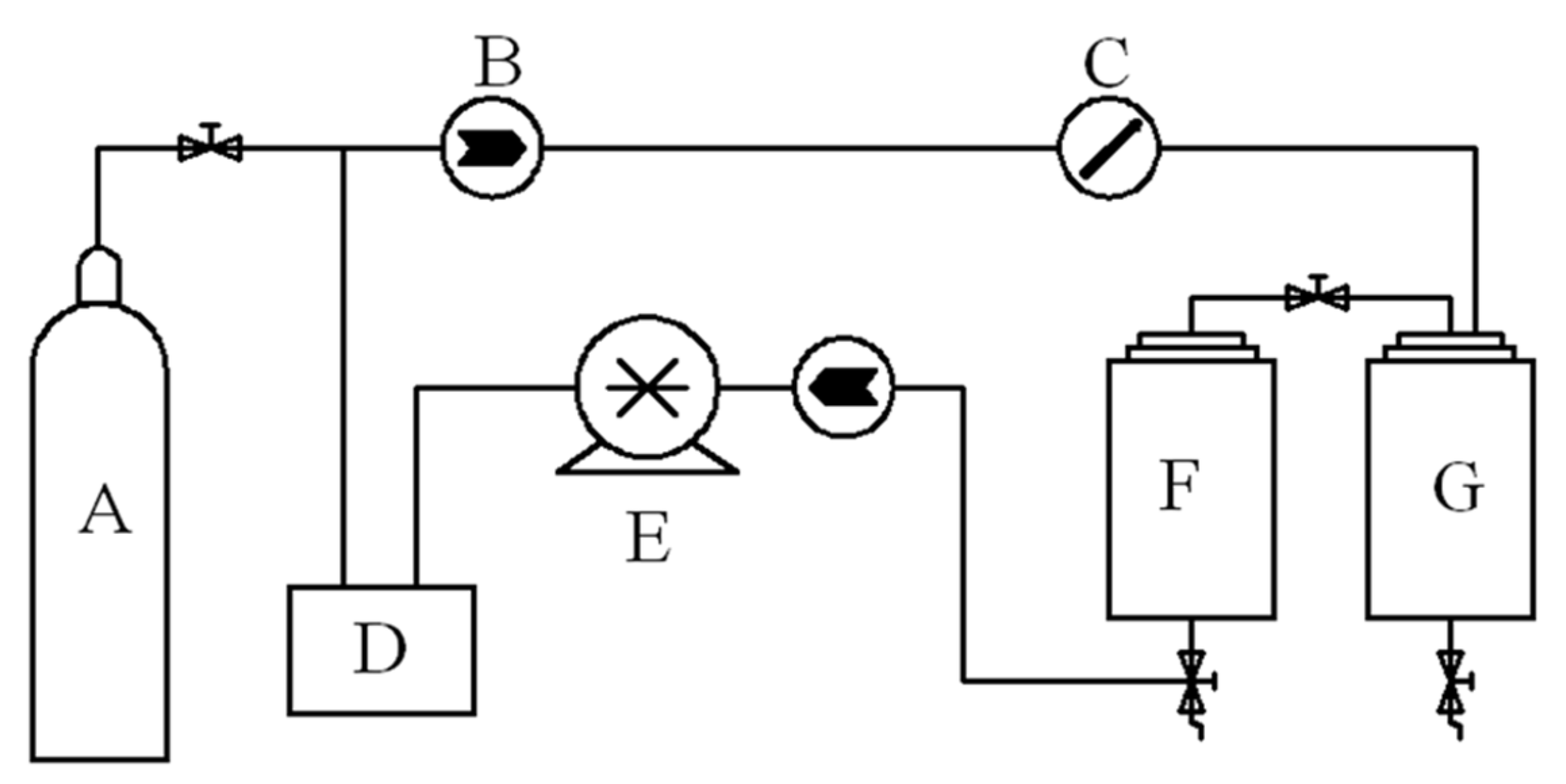
3. Materials and Methods
3.1. Materials
3.2. Extraction Experiments of Camphor Tree Essential Oil
3.2.1. Steam Distillation Extraction
3.2.2. Supercritical CO2 Extraction
3.3. Analysis Methods
4. Conclusions
Author Contributions
Funding
Institutional Review Board Statement
Informed Consent Statement
Data Availability Statement
Acknowledgments
Conflicts of Interest
Sample Availability
References
- Su, T.; Lin, Z.Y.; Hou, Z.J.; Ren, Y.M.; Liu, A.Q. Research progress of woody plant essential oils. World For. Res. 2021, 34, 61–66. [Google Scholar] [CrossRef]
- Barbosa, L.C.A.; Filomeno, C.A.; Teixeira, R.R. Chemical Variability and Biological Activities of Eucalyptus spp. Essential Oils. Molecules 2016, 21, 1671. [Google Scholar] [CrossRef] [PubMed] [Green Version]
- Ghabraie, M.; Vu, K.D.; Tata, L.; Salmieri, S.; Lacroix, M. Antimicrobial effect of essential oils in combinations against five bacteria and their effect on sensorial quality of ground meat. LWT Food Sci. Technol. 2016, 66, 332–339. [Google Scholar] [CrossRef] [Green Version]
- Yang, D.C.; Zhong, C.M.; Guo, H.Y.; Chen, Y.L.; Zhang, L.P.; Huang, Y.P. Research Progress on the distribution and control of camphor tree diseases in China. Biol. Disaster Sci. 2018, 41, 176–183. [Google Scholar] [CrossRef]
- Chen, J.L.; Tang, C.L.; Zhang, R.F.; Ye, S.X.; Zhao, Z.M.; Huang, Y.Q.; Xu, X.J.; Lan, W.J.; Yang, D.P. Metabolomics analysis to evaluate the antibacterial activity of the essential oil from the leaves of Cinnamomum camphora (Linn.) Presl. J. Ethnopharmacol 2020, 253, 112652. [Google Scholar] [CrossRef] [PubMed]
- Du, Y.Q.; Zhou, H.; Yang, L.Y.; Jiang, L.Y.; Chen, D.F.; Qiu, D.Y.; Yang, Y.F. Advances in Biosynthesis and Pharmacological Effects of Cinnamomum camphora (L.) Presl Essential Oil. Forests 2022, 13, 1020. [Google Scholar] [CrossRef]
- Lahlou, M. Essential oils and fragrance compounds: Bioactivity and mechanisms of action. Flavour Frag. J. 2004, 19, 159–165. [Google Scholar] [CrossRef]
- Wu, K.G.; Lin, Y.H.; Chai, X.H. Study on gas phase bactericidal mechanism of aromatic camphor oil against Escherichia coli. Memb. Conf. Acad. Semin. Guangdong Food Assoc. 2012, 6, 47–56. [Google Scholar]
- Caputo, L.; Piccialli, I.; Ciccone, R.; Caprariis, P.D.; Pannaccione, A. Lavender and coriander essential oils and their main component linalool exert a protective effect against amyloid-β neurotoxicity. Phytother Res. 2020, 35, 486–493. [Google Scholar] [CrossRef]
- Horváth, A.; Pandur, E.; Sipos, K.; Micalizzi, G.; Mondello, L.; Böszörményi, A.; Birinyi, P.; Horváth, G. Anti-inflammatory effects of lavender and eucalyptus essential oils on the in vitro cell culture model of bladder pain syndrome using T24 cells. BMC Complement. Med. 2022, 22, 119–133. [Google Scholar] [CrossRef]
- Santos, E.D.; Leito, M.M.; Ito, C.; Silva-Filho, S.E.; Kassuya, C. Analgesic and anti-inflammatory articular effects of essential oil and camphor isolated from Ocimum kilimandscharicum Gürke leaves. J. Ethnopharmacol 2020, 269, 113697. [Google Scholar] [CrossRef] [PubMed]
- Slavko, G.; Jasenka, Č.; Andrijana, R. Impact of essential oils on mycelial growth of Botrytis cinerea. Poljoprivreda 2016, 22, 29–33. [Google Scholar] [CrossRef]
- Alonso, L.; Fernandes, K.S.; Mendanha, S.A.; Gonçalves, P.J.; Gomes, R.S.; Dorta, M.L.; Alonso, A. In vitro antileishmanial and cytotoxic activities of nerolidol are associated with changes in plasma membrane dynamics. BBA Biomembr. 2019, 1861, 1049–1056. [Google Scholar] [CrossRef]
- Jing, C.L.; Huang, R.H.; Su, Y.; Li, Y.Q.; Zhang, H.S. Variation in Chemical Composition and Biological Activities of Flos Chrysanthemi indici Essential Oil under Different Extraction Methods. Biomolecules 2019, 9, 518. [Google Scholar] [CrossRef] [PubMed] [Green Version]
- Wu, F.F.; Jin, Y.M.; Xu, X.M.; Yang, N. Electrofluidic pretreatment for enhancing essential oil extraction from citrus fruit peel waste. J. Clean Prod. 2017, 159, 85–94. [Google Scholar] [CrossRef]
- Zakia, B.O.S.S.; Hayate, H.G.; Lila, B.M.; Peggy, R.; Hocine, R.; Abdennour, A.; Nabyla Khaled, K.; Khodir, M. Essential oils composition, antibacterial and antioxidant activities of hydrodistillated extract of Eucalyptus globulus fruits. Ind Crop. Prod. 2016, 89, 167–175. [Google Scholar] [CrossRef]
- Mohammadhosseini, M.; Sarker, S.D.; Akbarzadeh, A. Chemical composition of the essential oils and extracts of Achillea species and their biological activities: A review. J. Ethnopharmacol 2017, 199, 257–315. [Google Scholar] [CrossRef]
- Ferrentino, G.; Morozova, K.; Horn, C.; Scampicchio, M. Extraction of Essential Oils from Medicinal Plants and their Utilization as Food Antioxidants. Curr Pharm Des. 2020, 26, 519–541. [Google Scholar] [CrossRef]
- Zermane, A.; Larkeche, O.; Meniai, A.H.; Crampon, C.; Badens, E. Optimization of essential oil supercritical extraction from Algerian Myrtus communis L. leaves using response surface methodology. J. Supercrit Fluid 2014, 85, 89–94. [Google Scholar] [CrossRef]
- Idris, S.A.; Rosli, N.R.; Raja Aris, R.M.A. Supercritical carbon dioxide extraction of fatty acids compounds from tamarind seeds. Mater. Today Proc. 2022, 63, S462–S466. [Google Scholar] [CrossRef]
- Gaaffar, I.F.; Zainuddin, N.A.M.; Zainal, S. Comparison of Identified Compounds from Extracted Pelargonium Radula Leaves by Supercritical Fluid Extraction and Commercial Geranium Essential Oil. IOP Conf. Ser. Mater. Sci. Eng. 2021, 1053, 012034. [Google Scholar] [CrossRef]
- Idris, S.A.; Markom, M.; Abd Rahman, N.; Mohd Ali, J. Prediction of overall yield of Gynura procumbens from ethanol-water + supercritical CO2 extraction using artificial neural network model. Case Stud. Chem. Environ. Eng. 2022, 5, 100175. [Google Scholar] [CrossRef]
- Zhou, Y.P. Study on Optimization of extraction process of Cinnamomum camphora leaf essential oil by steam distillation. For. Surv. Des. 2021, 41, 70–72. [Google Scholar]
- Zheng, H.F.; Liao, S.L.; Fan, G.R.; Wang, Z.D.; Chen, S.X.; Si, H.Y. Extraction of Cinnamomum camphora essential oil by steam distillation and its antibacterial activity. Chem. Ind. For. Prod. 2019, 39, 108–114. [Google Scholar] [CrossRef]
- Xiao, Z.F.; Ai, Q.; Jin, Z.N.; Zhang, B.H.; Wang, Y.B.; Zhu, Y.B. A study on growth rhythm and dynamic changes of essential oil in Cinnamomum camphora dwarf forest. ACTA Agric. Univ. Jiangxiensis 2021, 43, 834–841. [Google Scholar] [CrossRef]
- Goodier, M.C.; Zhang, A.J.; Boyd, A.H.; Hylwa, S.A.; Goldfarb, N.I.; Warshaw, E.M. Use of essential oils: A general population survey. Contact Dermat. 2018, 80, 391–393. [Google Scholar] [CrossRef]
- Carvalhojr, R.N.; Corazza, M.L.; Cardozo-Filho, L.; Meireles, M. Phase Equilibrium for (Camphor + CO2), (Camphor + Propane), and (Camphor + CO2 + Propane). J. Chem Eng. Data 2006, 51, 997–1000. [Google Scholar] [CrossRef]
- Jokić, S.; Jerković, I.; Rajić, M.; Aladić, K.; Bilić, M.; Vidović, S. SC-CO2 extraction of Vitex agnus-castus L. fruits: The influence of pressure, temperature and water presoaking on the yield and GC-MS profiles of the extracts in comparison to the essential oil composition. J. Supercrit Fluid 2017, 123, 50–57. [Google Scholar] [CrossRef]
- Yu, X.C.; Li, X.S.; Gong, Z.W. Study on extraction of essential oil of camphortree leaves with ultrasonic enhancement of supercritical CO2. Chem. Res. Appl. 2011, 23, 1314–1318. [Google Scholar] [CrossRef]
- Guo, X.Y. GC-MS and GC-O analysis of volatile components of Six Edible aromatic plants. J. Agric. Eng. 2019, 35, 299–307. [Google Scholar]
- Plant, R.M.; Dinh, L.; Argo, S.; Shah, M. The Essentials of Essential Oils. Adv. Pediatrics 2019, 66, 111–112. [Google Scholar] [CrossRef] [PubMed]
- Swathi, M.G.; Ahipa, T.N. Aggregation induced emission properties of new cyanopyridone derivatives. J. Mol. Liq. 2018, 265, 747–755. [Google Scholar] [CrossRef]
- Rastakhiz, N.; Azar, P.A.; Tehrani, M.S.; Moradalizadeh, M.; Larijani, K. Essential oil composition of Artemisia lehmanniana Bunge. Extracted by Hydrodistillation, microwave assisted hydrodistillation and solid phase micro extraction, A comparative study. Int. J. Life Sci. 2015, 9, 25–27. [Google Scholar] [CrossRef] [Green Version]
- He, F.P.; Lei, C.Y.; Fan, J.X.; Gong, D.Y.; Kang, Z.M.; Liu, R.; Han, S.Q.; Luo, L.N.; Wu, X.B.; Peng, Y. Research Progress on extraction methods, components and functional properties of plant essential oils. Food Ind. Technol. 2019, 40, 307–312. [Google Scholar] [CrossRef]
- Wang, W.J.; Li, R.F. GC-MS Analysis of the Essential Oil from Ligustrum quihoui Carr. by SFE-CO2 and SD Method. J. Anhui Agric. Sci. 2016, 44, 116–119. [Google Scholar] [CrossRef]
- Yi, H.Y.; He, G.X.; Guo, J.S.; Pei, G. Comparative study on supercritical CO2 extraction and steam distillation extraction of essential oil from Aucklandia. J. Hunan Univ. Tradit. Chin. Med. 2010, 34–36. [Google Scholar] [CrossRef]
- Jiang, Q.B.; Li, Q.Y.; Wang, L.; Zhong, C.L.; Peng, Y.H.; Wu, Y.C. Analysis of four methods for the extraction of firenuts leaf oil. Mol. Plant Breed. 2018, 16, 1985–2000. [Google Scholar] [CrossRef]
- Luo, J.; Liu, J.Y.; Hou, Z.H.; Chen, X.; Chu, H.J.; Zhang, Y.Y. GC-MS analysis of evening primrose oil components extracted by supercritical CO2 extraction and water distillation. Preserv. Process. 2015, 15, 49–53. [Google Scholar]
- Donelian, A.; Carlson, L.H.C.; Lopes, T.J.; Machado, R.A.F. Comparison of extraction of patchouli (Pogostemon cablin) essential oil with supercritical CO2 and by steam distillation. J. Supercrit Fluid 2009, 48, 15–20. [Google Scholar] [CrossRef]
- Moldão-Martins, M.; Palavra, A.; Beirão da Costa, M.L.; Bernardo-Gil, M.G. Supercritical CO2 extraction of Thymus zygis L. subsp. sylvestris aroma. J. Supercrit Fluid 2000, 18, 25–34. [Google Scholar] [CrossRef]
- Dong, J.Y.; Liu, M.L.; Ren, B.; Zhang, M. Analysis of volatile oil and polysaccharide in Houpo from different habitats. Pharm. Clin. Chin. Mater. Med. 2017, 8, 26–30. [Google Scholar]




| Material | m1 (g) | m2 (g) | Extraction Rate (%) |
|---|---|---|---|
| Leaves | 199.93 | 0.65 ± 0.05 | 0.326 ± 0.026 |
| Flowers | 115.71 | 0.56 ± 0.07 | 0.480 ± 0.064 |
| Stems | 131.90 | 0.28 ± 0.04 | 0.212 ± 0.031 |
| Factors | A | B | C | Mass (g) | |
|---|---|---|---|---|---|
| Experimental Number | |||||
| 1 | 20 MPa | 40 °C | 0.5 h | 1.40 | |
| 2 | 20 MPa | 45 °C | 1.5 h | 3.40 | |
| 3 | 20 MPa | 50 °C | 2.5 h | 2.85 | |
| 4 | 25 MPa | 40 °C | 1.5 h | 3.18 | |
| 5 | 25 MPa | 45 °C | 2.5 h | 4.63 | |
| 6 | 25 MPa | 50 °C | 0.5 h | 1.73 | |
| 7 | 30 MPa | 40 °C | 2.5 h | 2.48 | |
| 8 | 30 MPa | 45 °C | 0.5 h | 1.04 | |
| 9 | 30 MPa | 50 °C | 1.5 h | 2.50 | |
| K1 | 7.65 | 7.06 | 4.17 | - | |
| K2 | 9.54 | 9.07 | 9.08 | - | |
| K3 | 6.02 | 7.08 | 9.96 | - | |
| k1 | 2.55 | 2.35 | 1.39 | - | |
| k2 | 3.18 | 3.02 | 3.03 | - | |
| k3 | 2.01 | 2.36 | 3.32 | - | |
| Rj | 1.17 | 0.67 | 1.96 | - | |
| NO. | Formula | Categories | Compounds Name | CAS | Area% | ||
|---|---|---|---|---|---|---|---|
| a | b | c | |||||
| 1 | C9H12O | phenol | mesitol | 527-60-6 | - | 0.82 | - |
| 2 | C9H14O | hydrocarbon | 4-acetyl-1-methyl-1-cyclohexene | 70286-20-3 | 0.29 | - | - |
| 3 | C9H14O | ketone | nopinone | 38651-65-9 | 1.43 | - | - |
| 4 | C10H16 | hydrocarbon | α-terpinene | 99-86-5 | - | 0.92 | - |
| 5 | C10H16 | hydrocarbon | 2-carene | 554-61-0 | - | 0.53 | - |
| 6 | C10H16 | hydrocarbon | β-ocimene | 502-99-8 | - | 3.31 | - |
| 7 | C10H16 | hydrocarbon | β-phellandrene | 555-10-2 | - | 14.77 | 2.65 |
| 8 | C10H16 | hydrocarbon | β-pinene | 18172-67-3 | 0.74 | - | |
| 9 | C10H16 | hydrocarbon | α-pinene | 7785-26-4 | - | 4.22 | 0.72 |
| 10 | C10H16O | alcohol | sabinol | 471-16-9 | 0.83 | - | - |
| 11 | C10H16O | aldehyde | citral | 5392-40-5 | - | 1.42 | - |
| 12 | C10H16O | ketone | camphor | 76-22-2 | - | 3.39 | 9.05 |
| 13 | C10H18O | alcohol | borneol | 464-45-9 | 0.72 | 0.88 | 0.62 |
| 14 | C10H18O | alcohol | α-terpineol | 98-55-5 | 0.44 | 4.15 | 0.47 |
| 15 | C10H18O | hydrocarbon | cineole | 470-82-6 | - | 16.37 | 14.57 |
| 16 | C10H18O | alcohol | linalool | 78-70-6 | 15.98 | 19.81 | 66.42 |
| 17 | C10H18O2 | oxide | linalool oxide | 1365-19-1 | - | 1.67 | 0.47 |
| 18 | C10H20O | alcohol | citronellol | 106-22-9 | 0.27 | - | - |
| 19 | C10H10O2 | ether | safrole | 94-59-7 | - | 1.06 | 0.69 |
| 20 | C11H20O | alcohol | 2-isopropenyl-5-methyl-6-hepten-1-ol | 13066-55-2 | 0.22 | - | - |
| 21 | C12H20O2 | ester | l-bornyl acetate | 5655-61-8 | 0.45 | - | - |
| 22 | C14H22O | phenol | 2,4-ditert-butyl phenol | 96-76-4 | - | 4.26 | 0.76 |
| 23 | C14H28O | alcohol | 9-tetradecen-1-ol | 52957-16-1 | - | 1.37 | - |
| 24 | C15H24 | hydrocarbon | γ-muurolene | 30021-74-0 | 6.52 | - | - |
| 25 | C15H24 | hydrocarbon | cubebene | 11012-64-9 | - | 3.55 | 0.64 |
| 26 | C15H24 | hydrocarbon | β-caryophyllene | 87-44-5 | 6.60 | 2.01 | - |
| 27 | C15H24 | hydrocarbon | α-cubebene | 17699-14-8 | 0.96 | - | - |
| 28 | C15H24 | hydrocarbon | ylangene | 3856-25-5 | 0.77 | - | - |
| 29 | C15H24 | hydrocarbon | β-elemene | 33880-83-0 | 1.51 | - | - |
| 30 | C15H24 | hydrocarbon | humulene | 6753-98-6 | 5.04 | - | - |
| 31 | C15H24 | hydrocarbon | β-eudesmene | 17066-67-0 | 6.96 | - | - |
| 32 | C10H18O | alcohol | terpineol | 8000-41-7 | - | 2.86 | 1.01 |
| 33 | C15H22O | ketone | γ-atlantone | 108549-47-9 | 5.16 | - | - |
| 34 | C15H22O | ketone | (E)-atlantone | 26294-59-7 | 0.65 | - | - |
| 35 | C15H24O | oxide | caryophyllene oxide | 1139-30-6 | 13.07 | - | - |
| 36 | C15H24O | oxide | humulene epoxide II | 90820-79-4 | 3.42 | - | - |
| 37 | C15H26O | alcohol | nerolidol | 7212-44-4 | 34.59 | 3.80 | 0.43 |
| 38 | C22H46 | hydrocarbon | n-docosane | 629-97-0 | - | 2.29 | - |
| 39 | C18H36O2 | acid | stearic acid | 57-11-4 | - | 0.91 | - |
| 40 | C19H36O3 | ester | methyl ricinoleate | 23224-20-6 | - | 2.65 | - |
| 41 | C28H58 | hydrocarbon | n-octacosane | 630-02-4 | - | 1.32 | - |
| 42 | C28H44O | alcohol | ergosterol | 57-87-4 | - | 0.69 | - |
Publisher’s Note: MDPI stays neutral with regard to jurisdictional claims in published maps and institutional affiliations. |
© 2022 by the authors. Licensee MDPI, Basel, Switzerland. This article is an open access article distributed under the terms and conditions of the Creative Commons Attribution (CC BY) license (https://creativecommons.org/licenses/by/4.0/).
Share and Cite
Zhang, H.; Huang, T.; Liao, X.; Zhou, Y.; Chen, S.; Chen, J.; Xiong, W. Extraction of Camphor Tree Essential Oil by Steam Distillation and Supercritical CO2 Extraction. Molecules 2022, 27, 5385. https://doi.org/10.3390/molecules27175385
Zhang H, Huang T, Liao X, Zhou Y, Chen S, Chen J, Xiong W. Extraction of Camphor Tree Essential Oil by Steam Distillation and Supercritical CO2 Extraction. Molecules. 2022; 27(17):5385. https://doi.org/10.3390/molecules27175385
Chicago/Turabian StyleZhang, Huangxian, Ting Huang, Xiaoning Liao, Yaohong Zhou, Shangxing Chen, Jing Chen, and Wanming Xiong. 2022. "Extraction of Camphor Tree Essential Oil by Steam Distillation and Supercritical CO2 Extraction" Molecules 27, no. 17: 5385. https://doi.org/10.3390/molecules27175385
APA StyleZhang, H., Huang, T., Liao, X., Zhou, Y., Chen, S., Chen, J., & Xiong, W. (2022). Extraction of Camphor Tree Essential Oil by Steam Distillation and Supercritical CO2 Extraction. Molecules, 27(17), 5385. https://doi.org/10.3390/molecules27175385

