Swelling of Thermo-Responsive Gels in Aqueous Solutions of Salts: A Predictive Model
Abstract
1. Introduction
2. Materials
3. Methods
3.1. Equilibrium Swelling of TR Gels
4. Results and Discussion
4.1. Swelling of PNIPAAm Gels in Water
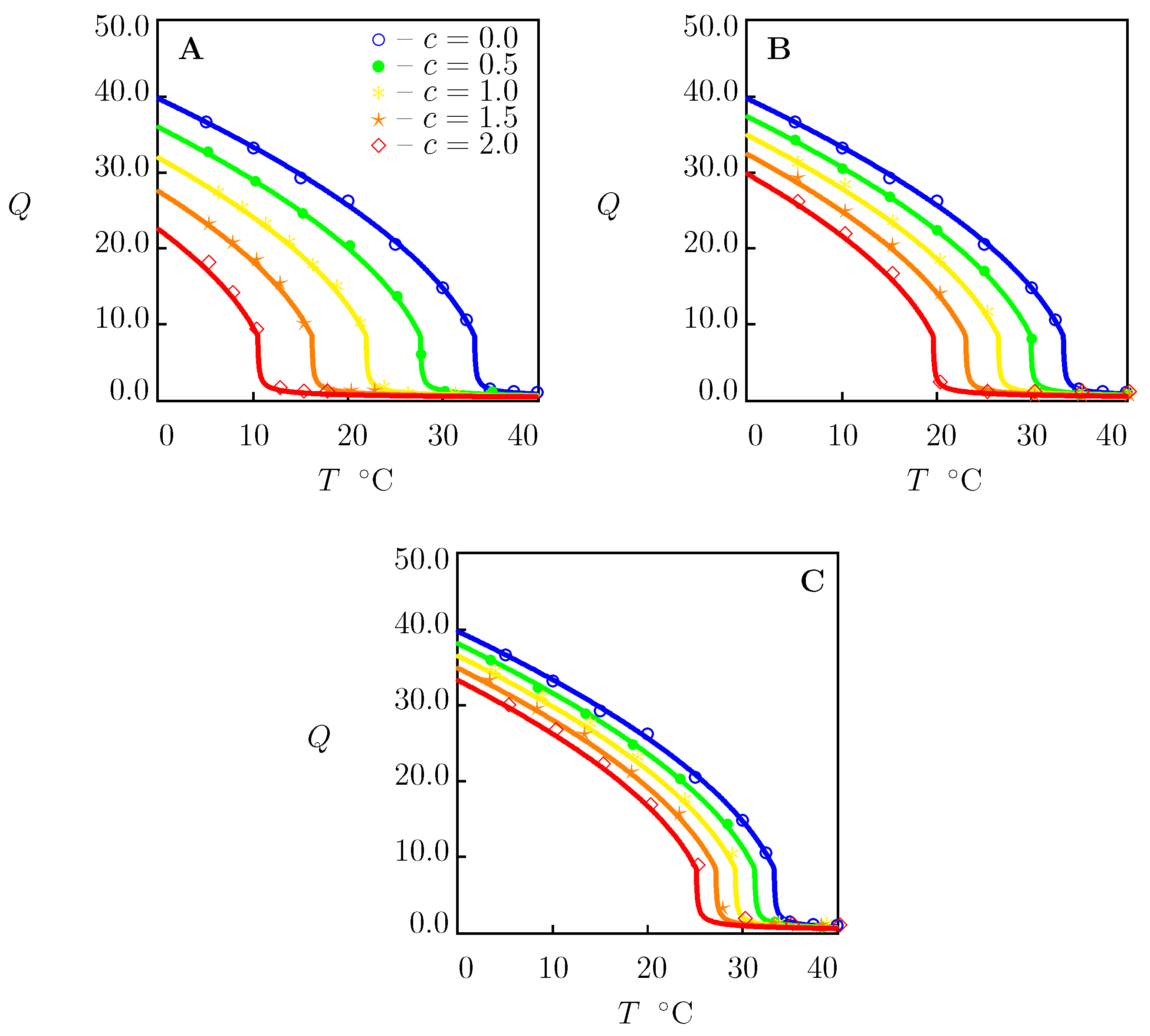
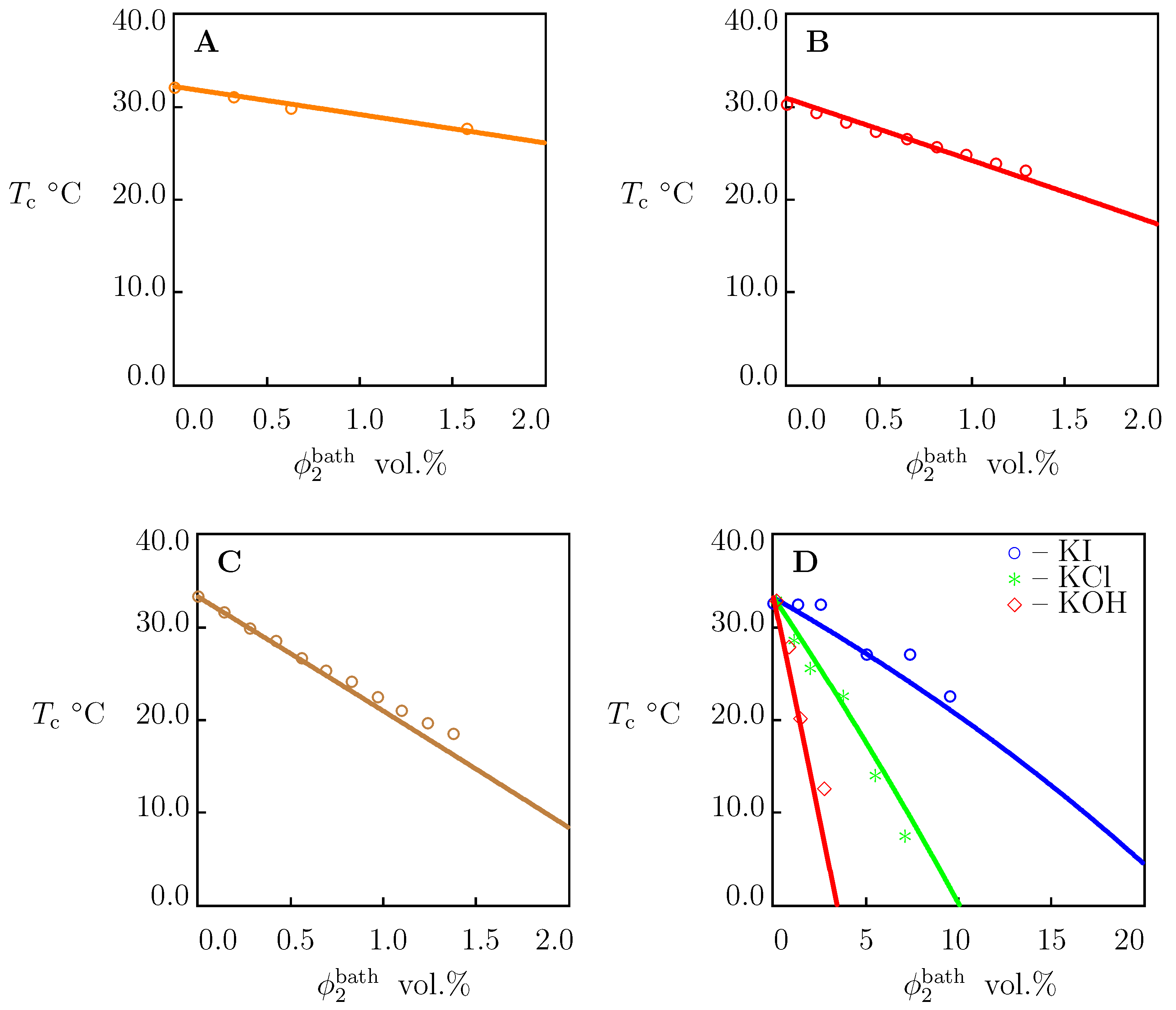
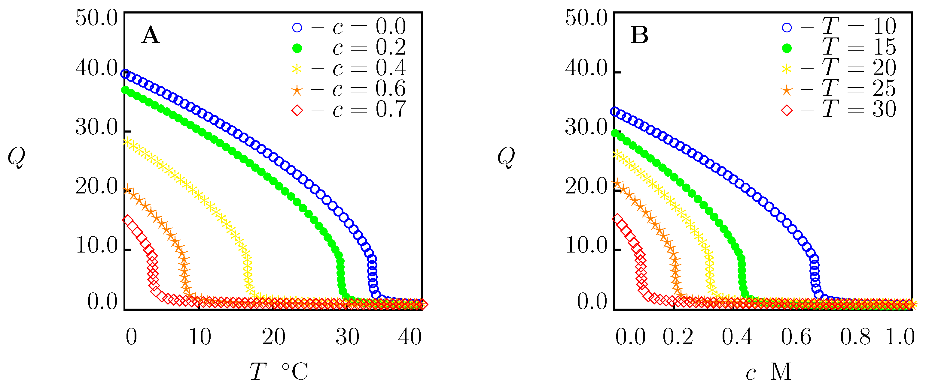
4.2. Swelling of PNIPAAm Gels in Aqueous Solutions of Salts
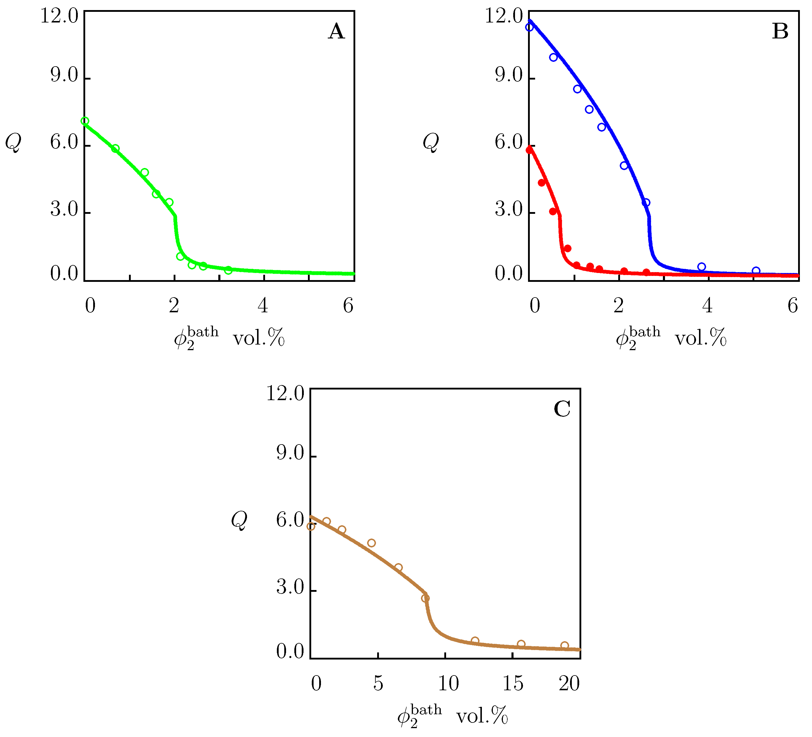
4.3. PNIPAAm Chains in Aqueous Solutions of Salts
4.4. Numerical Analysis
4.5. Discussion
- When a TR gel is in the swollen state, the volume fraction of ions in the fluid phase inside the gel is close to the volume fraction of ions in the surrounding solution, per Equation (20). This allows the entire set of FH coefficients in Equation (7) to be replaced with the only scalar coefficient (a measure of the hydrophobicity of polymer chains).
- When a TR gel is immersed into pure water, its equivalent FH parameter depends on temperature T only, per Equation (29). In an aqueous solution of a salt, the dependence of on temperature T and volume fraction of salt is given by Equation (26), where the coefficient K is connected with the viscosity B-coefficient of the salt B by Equation (35). Collapse of the gel occurs when its equivalent FH parameter reaches the ultimate value .
- In the collapsed state, the coefficient adopts its maximum value because clusters formed by hydrophobic side groups above are covered by segments whose hydrophilicity is independent of temperature. The kinetics of aggregation of hydrophobic side groups at is governed by the order parameter given by Equation (33).
5. Conclusions
Supplementary Materials
Author Contributions
Funding
Institutional Review Board Statement
Informed Consent Statement
Data Availability Statement
Conflicts of Interest
References
- Shibayama, M.; Tanaka, T. Volume phase transition and related phenomena of polymer gels. Adv. Polym. Sci. 1993, 109, 3–62. [Google Scholar]
- Kim, Y.-J.; Matsunaga, Y.T. Thermo-responsive polymers and their application as smart biomaterials. J. Mater. Chem. B 2017, 5, 4307–4321. [Google Scholar] [CrossRef]
- Liang, Y.; He, J.; Guo, B. Functional hydrogels as wound dressing to enhance wound healing. ACS Nano 2021, 15, 12687–12722. [Google Scholar] [CrossRef]
- Doberenz, F.; Zeng, K.; Willems, C.; Zhang, K.; Groth, T. Thermoresponsive polymers and their biomedical application in tissue engineering—A review. J. Mater. Chem. B 2020, 8, 607–628. [Google Scholar] [CrossRef] [PubMed]
- Osvath, Z.; Toth, T.; Ivan, B. Sustained drug release by thermoresponsive sol-gel hybrid hydrogels of poly(N-isopropylacrylamide-co-3-(trimethoxysilyl)propyl methacrylate) copolymers. Macromol. Rapid Commun. 2017, 38, 1600724. [Google Scholar] [CrossRef]
- Yuan, H.; Liu, G. Ionic effects on synthetic polymers: From solutions to brushes and gels. Soft Matter 2020, 16, 4087–4104. [Google Scholar] [CrossRef]
- Zhang, Y.; Furyk, S.; Bergbreiter, D.E.; Cremer, P.S. Specific ion effects on the water solubility of macromolecules: PNIPAM and the Hofmeister series. J. Am. Chem. Soc. 2005, 127, 14505–14510. [Google Scholar] [CrossRef] [PubMed]
- Zhang, Y.; Cremer, P.S. Interactions between macromolecules and ions: The Hofmeister series. Curr. Opin. Chem. Biol. 2006, 10, 658–663. [Google Scholar] [CrossRef]
- Francisco, O.A.; Glor, H.M.; Khajehpour, M. Salt effects on hydrophobic solvation: Is the observed salt specificity the result of excluded volume effects or water mediated ion-hydrophobe association? ChemPhysChem 2020, 21, 484–493. [Google Scholar] [CrossRef]
- Bruce, E.E.; Okur, H.I.; Stegmaier, S.; Drexler, C.I.; Rogers, B.A.; van der Vegt, N.F.A.; Roke, S.; Cremer, P.S. Molecular mechanism for the interactions of Hofmeister cations with macromolecules in aqueous solution. J. Am. Chem. Soc. 2020, 142, 19094–19100. [Google Scholar] [CrossRef] [PubMed]
- Freitag, R.; Garret-Flaudy, F. Salt effects on the thermoprecipitation of poly(N-isopropylacrylamide) oligomers from aqueous solution. Langmuir 2002, 18, 3434–3440. [Google Scholar] [CrossRef]
- Jones, G.; Dole, M. The viscosity of aqueous solutions of strong electrolytes with special reference to barium chloride. J. Am. Chem. Soc. 1929, 51, 2950–2964. [Google Scholar] [CrossRef]
- Jenkins, D.H.B.; Marcus, Y. Viscosity B-coefficients of ions in solution. Chem. Rev. 1995, 95, 2695–2724. [Google Scholar] [CrossRef]
- Breslau, B.R.; Miller, I.F. On the viscosity of concentrated aqueous electrolyte solutions. J. Phys. Chem. 1970, 74, 1056–1061. [Google Scholar] [CrossRef]
- Waghorne, W.E. Viscosities of electrolyte solutions. Phil. Trans. R. Soc. Lond. A 2001, 359, 1529–1543. [Google Scholar] [CrossRef]
- Otake, K.; Inomata, H.; Konno, M.; Saito, S. Thermal analysis of the volume phase transition with N-isopropylacrylamide gels. Macromolecules 1990, 23, 283–289. [Google Scholar] [CrossRef]
- Mori, T.; Hamada, M.; Kobayashi, T.; Okamura, H.; Minigawa, K.; Masuda, S.; Tanaka, M. Effect of alkyl substituents structures and added ions on the phase transition of polymers and gels prepared from methyl 2-alkylamidoacrylates. J. Polym. Sci. A Polym. Chem. 2005, 43, 4942–4952. [Google Scholar] [CrossRef]
- Van Tran, V.; Park, D.; Lee, Y.-C. Hydrogel applications for adsorption of contaminants in water and wastewater treatment. Environ. Sci. Pollut. Res. 2018, 25, 24569–24599. [Google Scholar] [CrossRef]
- Saga, K.; Suzuki, H.; Matsumura, T.; Tsukahara, T. Direct temperature-swing extraction of rear-earth elements from acidic solution using the hydrophobic interactions of poly(N-isopropylacrylamide) with diglycolamide-typed ligands. Analyt. Sci. 2019, 35, 461–464. [Google Scholar] [CrossRef]
- Shen, Z.; Chen, F.; Zhu, X.; Yong, K.-T.; Gu, G. Stimuli-responsive functional materials for soft robotics. J. Mater. Chem. B 2020, 8, 8972–8991. [Google Scholar] [CrossRef]
- Apsite, I.; Salehi, S.; Ionov, L. Materials for smart soft actuator systems. Chem. Rev. 2022, 122, 1349–1415. [Google Scholar] [CrossRef] [PubMed]
- Zhou, X.; Li, C.; Zhu, L.; Zhou, X. Engineering hydrogels by soaking: From mechanical strengthening to environmental adaptation. Chem. Commun. 2020, 56, 13731–13747. [Google Scholar] [CrossRef] [PubMed]
- Roquero, D.M.; Katz, E. “Smart” alginate hydrogels in biosensing, bioactuation and biocomputing: State-of-the-art and perspectives. Sens. Actuators Rep. 2022, 4, 100095. [Google Scholar] [CrossRef]
- Zheng, W.J.; An, N.; Yang, J.H.; Zhou, J.; Chen, Y.M. Tough Al-alginate/poly(N-isopropylacrylamide) hydrogel with tunable LCST for soft robotics. ACS Appl. Mater. Interfaces 2015, 7, 1758–1764. [Google Scholar] [CrossRef] [PubMed]
- Zou, Z.; Zhang, B.; Nie, X.; Cheng, Y.; Hu, Z.; Liao, M.; Li, S. A sodium alginate-based sustained-release IPN hydrogel and its applications. RSC Adv. 2020, 10, 39722–39730. [Google Scholar] [CrossRef] [PubMed]
- Hu, C.; Lu, W.; Mata, A.; Nishinari, K.; Fang, Y. Ions-induced gelation of alginate: Mechanisms and applications. Int. J. Biol. Macromol. 2021, 177, 578–588. [Google Scholar] [CrossRef] [PubMed]
- Haq, M.A.; Su, Y.; Wang, D. Mechanical properties of PNIPAM based hydrogels: A review. Mater. Sci. Eng. C 2017, 70, 842–855. [Google Scholar] [CrossRef] [PubMed]
- Shibayama, M.; Ikkai, F.; Inamoto, S.; Nomura, S. pH and salt concentration dependence of the microstructure of poly(N-isopropylacrylamide-co-acrylic acid) gels. J. Chem. Phys. 1996, 105, 4358–4366. [Google Scholar] [CrossRef]
- Beltran, S.; Hooper, H.H.; Blanch, H.W.; Prausnitz, J.M. Swelling equilibria for ionized temperature-sensitive gels in water and in aqueous salt solutions. J. Chem. Phys. 1990, 92, 2061–2066. [Google Scholar] [CrossRef][Green Version]
- Burba, C.M.; Carter, S.M.; Meyer, K.J.; Rice, C.V. Salt effects on poly(N-isopropylacrylamide) phase transition thermodynamics from NMR spectroscopy. J. Phys. Chem. B 2008, 112, 10399–10404. [Google Scholar] [CrossRef] [PubMed]
- Drozdov, A.D.; Sanporean, C.-G.; Christiansen, J.C. Modeling the effects of temperature and pH on swelling of stimuli-responsive gels. Eur. Polym. J. 2015, 73, 278–296. [Google Scholar] [CrossRef]
- Drozdov, A.D.; de Claville Christiansen, J. The effects of pH and ionic strength on the volume phase transition temperature of thermo-responsive anionic copolymer gels. Polymer 2021, 221, 123637. [Google Scholar] [CrossRef]
- Drozdov, A.D.; de Claville Christiansen, J. Modulation of the volume phase transition temperature for multi-stimuli-responsive copolymer hydrogels. Int. J. Mech. Sci. 2021, 211, 106753. [Google Scholar] [CrossRef]
- Jangizehi, A.; Seiffert, S. Salt partitioning in ionized, thermo-responsive hydrogels: Perspective to water desalination. J. Chem. Phys. 2021, 154, 144902. [Google Scholar] [CrossRef] [PubMed]
- Lee, C.H.; Bae, Y.C. Effect of salt on swelling behaviors of thermosensitive hydrogels: Applicability of the nonrandom contact model. Macromolecules 2015, 48, 4063–4072. [Google Scholar] [CrossRef]
- Yang, H.E.; Bae, Y.C. Group contribution method for the swelling behavior of thermo-responsive hydrogels. J. Polym. Sci. B Polym. Phys. 2017, 55, 455–463. [Google Scholar] [CrossRef]
- Tokuyama, H.; Mori, H.; Hamaguchi, R.; Kato, G. Prediction of the lower critical solution temperature of poly(N-isopropylacrylamide-co-methoxy triethyleneglycol acrylate) in aqueous salt solutions using support vector regression. Chem. Eng. Sci. 2021, 231, 116325. [Google Scholar] [CrossRef]
- Annaka, M.; Motokawa, K.; Sasaki, S.; Nakahira, T.; Kawasaki, H.; Maeda, H.; Amo, Y.; Tominaga, Y. Salt-induced volume phase transition of poly(N-isopropylacrylamide) gel. J. Chem. Phys. 2000, 113, 5980–5985. [Google Scholar] [CrossRef]
- Ikehata, A.; Ushiki, H. Effect of salt on the elastic modulus of poly(N-isopropylacrylamide) gels. Polymer 2002, 43, 2089–2094. [Google Scholar] [CrossRef]
- Dhara, D.; Chatterji, P.R. Swelling and deswelling pathways in non-ionic poly(N-isopropylacrylamide) hydrogels in presence of additives. Polymer 2000, 41, 6133–6143. [Google Scholar] [CrossRef]
- Park, T.G.; Hoffman, A.S. Sodium chloride-induced phase transition in nonionic poly(N-isopropylacrylamide) gel. Macromolecules 1993, 26, 5045–5048. [Google Scholar] [CrossRef]
- Dutta, S.; Dhara, D. Effect of preparation temperature on salt-induced deswelling and pattern formation in poly(N-isopropylacrylamide) hydrogels. Polymer 2015, 76, 62–69. [Google Scholar] [CrossRef]
- Baltes, T.; Garret-Flaudy, F.; Freitag, R. Investigation of the LCST of polyacrylamides as a function of molecular parameters and the solvent composition. J. Polym. Sci. A Polym. Chem. 1999, 37, 2977–2989. [Google Scholar] [CrossRef]
- Lopez-Leon, T.; Ortega-Vinuesa, J.L.; Bastos-Gonzalez, D.; Elaissari, A. Thermally sensitive reversible microgels formed by poly(N-isopropylacrylamide) charged chains: A Hofmeister effect study. J. Colloid Interface Sci. 2014, 426, 300–307. [Google Scholar] [CrossRef] [PubMed]
- Schild, H.G.; Tirrell, D.A. Microcalorimetric detection of lower critical solution temperatures in aqueous polymer solutions. J. Phys. Chem. 1990, 94, 4352–4356. [Google Scholar] [CrossRef]
- Patel, T.; Ghosh, G.; Yusa, S.-I.; Bahadur, P. Solution behavior of poly(N-isopropylacrylamide) in water: Effect of additives. J. Dispers. Sci. Technol. 2011, 32, 1111–1118. [Google Scholar] [CrossRef]
- Zhang, Y.; Furyk, S.; Sagle, L.B.; Cho, Y.; Bergbreiter, D.E.; Cremer, P.S. Effects of Hofmeister anions on the LCST of PNIPAM as a function of molecular weight. J. Phys. Chem. C 2007, 111, 8916–8924. [Google Scholar] [CrossRef]
- Panayiotou, M.; Freitag, R. Influence of the synthesis conditions and ionic additives on the swelling behaviour of thermo-responsive polyalkylacrylamide hydrogels. Polymer 2005, 46, 6777–6785. [Google Scholar] [CrossRef]
- Eeckman, F.; Karim Amighi, K.; Moes, A.J. Effect of some physiological and non-physiological compounds on the phase transition temperature of thermoresponsive polymers intended for oral controlled-drug delivery. Int. J. Pharm. 2001, 222, 259–270. [Google Scholar] [CrossRef]
- Flory, P.J.; Rehner, J. Statistical mechanics of cross-linked polymer networks II. Swelling. J. Chem. Phys. 1943, 11, 521–526. [Google Scholar] [CrossRef]
- Orofino, T.A.; Flory, P.J. Relationship of the second virial coefficient to polymer chain dimensions and interaction parameters. J. Chem. Phys. 1957, 26, 1067–1076. [Google Scholar] [CrossRef]
- Hirotsu, S. Critical points of the volume phase transition in N-isopropylacrylamide gels. J. Chem. Phys. 1988, 88, 427–431. [Google Scholar] [CrossRef]
- Quesada-Perez, M.; Maroto-Centeno, J.A.; Forcada, J.; Hidalgo-Alvarez, R. Gel swelling theories: The classical formalism and recent approaches. Soft Matter 2011, 7, 10536–10547. [Google Scholar] [CrossRef]
- Nandi, S.; Winter, H.H. Swelling behavior of partially cross-linked polymers: A ternary system. Macromolecules 2005, 38, 4447–4455. [Google Scholar] [CrossRef]
- Otake, K.; Inomata, H.; Konno, M.; Saito, S. A new model for the thermally induced volume phase transition of gels. J. Chem. Phys. 1989, 91, 1345–1350. [Google Scholar] [CrossRef]
- Drozdov, A.D. Volume phase transition in thermo-responsive hydrogels: Constitutive modeling and structure–property relations. Acta Mech. 2015, 226, 1283–1303. [Google Scholar] [CrossRef]
- Aseyev, V.; Tenhu, H.; Winnik, F.M. Non-ionic thermoresponsive polymers in water. Adv. Polym. Sci. 2011, 242, 29–89. [Google Scholar]
- Halperin, A.; Kroger, M.; Winnik, F.M. Poly(N-isopropylacrylamide) phase diagrams: Fifty years of research. Angew. Chem. Int. Ed. 2015, 54, 15342–15367. [Google Scholar] [CrossRef] [PubMed]
- Mukherji, D.; Marques, C.M.; Kremer, K. Smart responsive polymers: Fundamentals and design principles. Annu. Rev. Condens. Matter Phys. 2020, 11, 271–299. [Google Scholar] [CrossRef]
- Tavagnacco, L.; Zaccarelli, E.; Chiessi, E. On the molecular origin of the cooperative coil-to-globule transition of poly(N-isopropylacrylamide) in water. Phys. Chem. Chem. Phys. 2018, 20, 9997–10010. [Google Scholar] [CrossRef]
- Kurzbach, D.; Junk, M.J.N.; Hinderberger, D. Nanoscale inhomogeneities in thermoresponsive polymers. Macromol. Rapid Commun. 2013, 34, 119–134. [Google Scholar] [CrossRef]
- Comez, L.; Paolantoni, M.; Sassi, P.; Corezzi, S.; Morresi, A.; Fioretto, D. Molecular properties of aqueous solutions: A focus on the collective dynamics of hydration water. Soft Matter 2016, 12, 5501–5514. [Google Scholar] [CrossRef]
- Drozdov, A.D. Self-oscillations of hydrogels driven by chemical reactions. Int. J. Appl. Mech. 2014, 6, 1450023. [Google Scholar] [CrossRef]
- Kawasaki, H.; Mitou, T.; Sasaki, S.; Maeda, H. Partition of salts between N-isopropylacrylamide gels and aqueous solutions. Langmuir 2000, 16, 1444–1446. [Google Scholar] [CrossRef]
- Sasaki, S.; Koga, S.; Annaka, M. Salt effect on elastic properties of shrunken N-isopropylacrylamide gel. J. Phys. Chem. B 2003, 107, 6893–6897. [Google Scholar] [CrossRef]
- Drozdov, A.D. Mechanical behavior of temperature-sensitive gels under equilibrium and transient swelling. Int. J. Eng. Sci. 2018, 128, 79–100. [Google Scholar] [CrossRef]
- Drozdov, A.D.; de Claville Christiansen, J. Equilibrium swelling of thermo-responsive copolymer microgels. RSC Adv. 2020, 10, 42718–42732. [Google Scholar] [CrossRef]
- Drozdov, A.D. Equilibrium swelling of biocompatible thermo-responsive copolymer gels. Gels 2021, 7, 40. [Google Scholar] [CrossRef]
- Lee, K.Y.; Mooney, D.J. Alginate: Properties and biomedical applications. Prog. Polym. Sci. 2012, 37, 106–126. [Google Scholar] [CrossRef]
- Gu, H.; Wang, G.; Cao, X. Thermoresponsive nanocomposite hydrogels with high mechanical strength and toughness based on a dual crosslinking strategy. J. Appl. Polym. Sci. 2021, 138, 51509. [Google Scholar] [CrossRef]
- Hribar, B.; Southall, N.T.; Vlachy, V.; Dill, K.A. How ions affect the structure of water. J. Am. Chem. Soc. 2002, 124, 12302–12311. [Google Scholar] [CrossRef]
- Marcus, Y. Effect of ions on the structure of water: Structure making and breaking. Chem. Rev. 2009, 109, 1346–1370. [Google Scholar] [CrossRef]
- Zangi, R.; Berne, B.J. Aggregation and dispersion of small hydrophobic particles in aqueous electrolyte solutions. J. Phys. Chem. B 2006, 110, 22736–22741. [Google Scholar] [CrossRef]












Publisher’s Note: MDPI stays neutral with regard to jurisdictional claims in published maps and institutional affiliations. |
© 2022 by the authors. Licensee MDPI, Basel, Switzerland. This article is an open access article distributed under the terms and conditions of the Creative Commons Attribution (CC BY) license (https://creativecommons.org/licenses/by/4.0/).
Share and Cite
Drozdov, A.D.; deClaville Christiansen, J. Swelling of Thermo-Responsive Gels in Aqueous Solutions of Salts: A Predictive Model. Molecules 2022, 27, 5177. https://doi.org/10.3390/molecules27165177
Drozdov AD, deClaville Christiansen J. Swelling of Thermo-Responsive Gels in Aqueous Solutions of Salts: A Predictive Model. Molecules. 2022; 27(16):5177. https://doi.org/10.3390/molecules27165177
Chicago/Turabian StyleDrozdov, A. D., and J. deClaville Christiansen. 2022. "Swelling of Thermo-Responsive Gels in Aqueous Solutions of Salts: A Predictive Model" Molecules 27, no. 16: 5177. https://doi.org/10.3390/molecules27165177
APA StyleDrozdov, A. D., & deClaville Christiansen, J. (2022). Swelling of Thermo-Responsive Gels in Aqueous Solutions of Salts: A Predictive Model. Molecules, 27(16), 5177. https://doi.org/10.3390/molecules27165177

