A Multifield Study on Dimethyl Acetylenedicarboxylate: A Reagent Able to Build a New Cycle on Diaminoimidazoles
Abstract
1. Introduction
2. Results and Discussion
- -
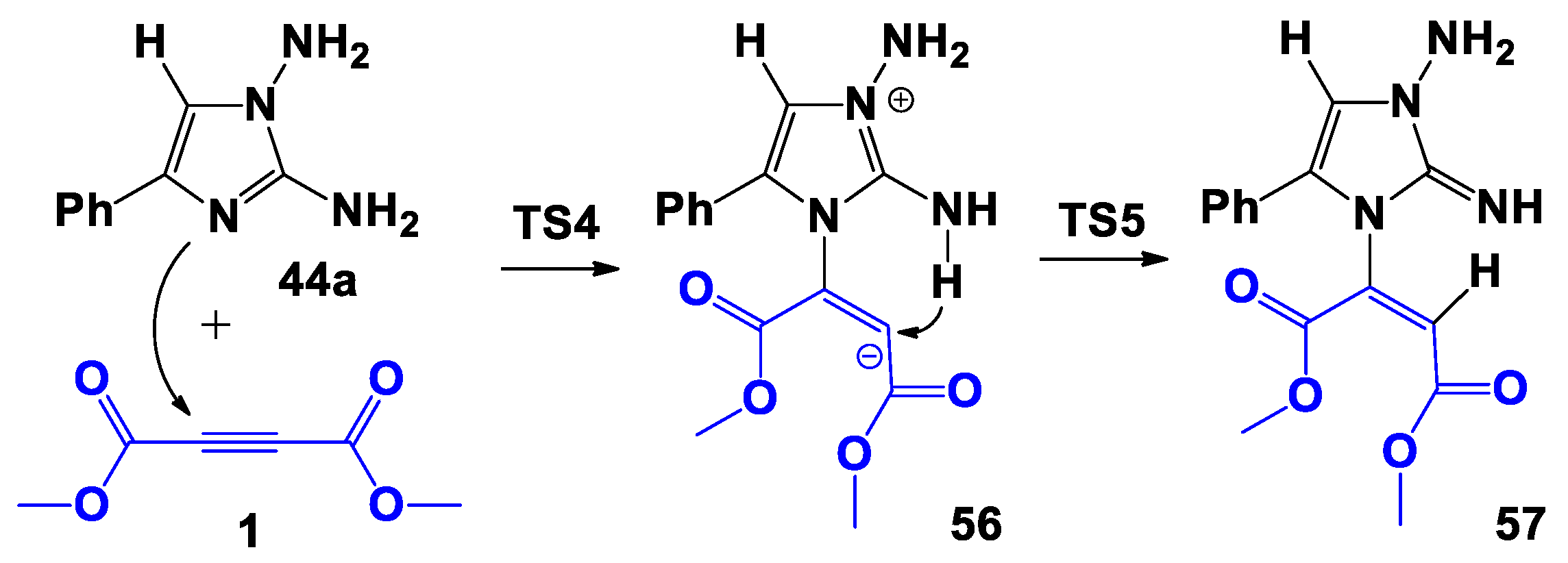
- the predominant cyclic product of the interaction of diaminoimidazoles 44 with DMAD 1 is imidazopyridazines 45;
- -
- open-chain nucleophilic addition products of diaminoimidazoles 44 to DMAD 1 at positions other than the C-2 carbon atom, which are less preferable kinetically, can participate in a further cascade of processes leading to the formation of difficultly separable mixtures not involved in further intramolecular cyclization;
- -
- interaction of diaminoimidazoles 44 with DMAD 1 is complicated in the instance that methanol or acetic acid participate to the reaction. In fact, the participation of the molecules of the third component in the formation of the primary bipolar σ-complexes can destabilize them. Conversely, during the following steps of the process, they can facilitate the transfer of protons because of the formation of classical covalent adducts;
- -
- the fact that all stationary points in the instance of trimolecular processes are higher in energy than the sum energies of the corresponding points and solvent molecules in case of bimolecular processes makes trimolecular processes alternative, but not real, processes.
- -
- polar solvents can facilitate the formation processes of type 45 systems due to their polarity (ε value), stabilizing polar intermediates, and not due to their direct involvement in the processes.
3. Materials and Methods
3.1. General
3.2. General Procedure for the Synthesis of Methyl 7-Amino-1,2-dihydro-1-R-2-oxo-5-phenylimidazo[1,5-b]pyridazine-4-carboxylates (45a–e)
3.2.1. Methyl 7-Amino-1,2-dihydro-2-oxo-5-phenylimidazo[1,5-b]pyridazine-4-carboxylate (45a)
3.2.2. Methyl 7-Amino-1-benzyl-1,2-dihydro-2-oxo-5-phenylimidazo[1,5-b]pyridazine-4-carboxylate (45b)
3.2.3. Methyl 7-Amino-1-(3-chlorobenzyl)-1,2-dihydro-2-oxo-5-phenylimidazo[1,5-b]pyridazine-4-carboxylate (45c)
3.2.4. Methyl 7-Amino-1-(2-methoxybenzyl)-1,2-dihydro-2-oxo-5-phenylimidazo[1,5-b]pyridazine-4-carboxylate (45d)
3.2.5. Methyl 7-Amino-1-(4-methylbenzyl)-1,2-dihydro-2-oxo-5-phenylimidazo[1,5-b]pyridazine-4-carboxylate (45e)
3.3. Synthesis of 7-Amino-1,2-dihydro-2-oxo-5-phenylimidazo[1,5-b]pyridazine-4-carboxylic Acid (51)
7-Amino-1,2-dihydro-2-oxo-5-phenylimidazo[1,5-b]pyridazine-4-carboxylicAcid (51)
3.4. Synthesis of 7-Amino-5-phenylimidazo[1,5-b]pyridazin-2(1H)-one (52)
3.4.1. Method A
3.4.2. Method B
3.4.3. 7-Amino-5-phenylimidazo[1,5-b]pyridazin-2(1H)-one (52)
4. Conclusions
Supplementary Materials
Author Contributions
Funding
Institutional Review Board Statement
Informed Consent Statement
Data Availability Statement
Conflicts of Interest
Sample Availability
References
- Spinelli, D.; Frenna, V.; Corrao, A.; Vivona, N. Mononuclear heterocyclic rearrangements. Part 2. Substituent effects on the rate of rearrangement of some arylhydrazones of 3-benzoyl-5-phenyl-1,2,4-oxadiazole into 2-aryl-4-benzoyl-5-phenyl-1,2,3-triazole, at pS+ 3.80. J. Chem. Soc. Perkin Trans. 1978, 2, 19–22. [Google Scholar] [CrossRef]
- D’Anna, F.; Frenna, V.; Macaluso, G.; Marullo, S.; Morganti, S.; Pace, V.; Spinelli, D.; Tavani, C. On the rearrangement in dioxane/water of Z-arylhyydrazones of 5-amino-3-benzoyl-1,2,4-oxadiazole into (2-aryl.5-phenyl-2H-1,2,3-triazol-4-yl)ureas: Substituent effects on the different reaction pathways. J. Org. Chem. 2006, 71, 5616–5624. [Google Scholar] [CrossRef] [PubMed]
- Potapov, A.Y.; Romanov, P.S.; Shikhaliev, K.S.; Polunin, E.V.; Firgang, S.I. Novel variant of the anrorc rearrangement of [1,2,4]triazolo[1,5-a]pyrimidines and pyrimido-[1,2-a]benzimidazole. Chem. Heterocycl. Compd. 2012, 47, 1309–1311. [Google Scholar] [CrossRef]
- Didenko, V.V.; Ledenyova, I.V.; Shestakov, A.S.; Shikhaliev, K.S. First example of an anrorc rearrangement of a pyrazolo[5,1-c][1,2,4]triazine involving a side chain. Chem. Heterocycl. Compd. 2010, 46, 770–772. [Google Scholar] [CrossRef]
- Dell’Erba, C.; Spinelli, D.; Leandri, G. Ring-opening reaction in the thiophen series: Reaction between 3,4-dinitrothiophen an secondary amines. J. Chem. Soc. Chem. Commum. 1969, 10, 549. [Google Scholar] [CrossRef]
- Dell’Erba, C.; Gabellini, A.; Novi, M.; Petrillo, G.; Tavani, C.; Cosimelli, B.; Spinelli, D. Ring opening of 2-substituted 4-nitrothiophenes with pyrrolidine. Access to new functionalized nitro-unsaturated building blocks. Tetrahedron 2001, 57, 8159–8165. [Google Scholar] [CrossRef]
- Vandyshev, D.Y.; Shikhaliev, K.S.; Kokonova, A.V.; Potapov, A.Y.; Kolpakova, M.G.; Sabynin, A.L.; Zubkov, F.I. A novel method for the synthesis of pyrimido[1,2-a]benzimidazoles. Chem. Heterocycl. Compd. 2016, 52, 493–497. [Google Scholar] [CrossRef]
- Kovygin, Y.A.; Shikhaliev, K.S.; Krysin, M.Y.; Potapov, A.Y.; Ledenyova, I.V.; Kosheleva, Y.A.; Vandyshev, D.Y. Cascade recyclization of N-arylitaconimides as a new approach to the synthesis of polyfunctional octahydroquinolines. Chem. Heterocycl. Compd. 2019, 55, 748–754. [Google Scholar] [CrossRef]
- Vandyshev, D.Y.; Shikhaliev, K.S.; Potapov, A.Y.; Firgang, S.I.; Krysin, M.Y. New method for synthesis of the hetero-cyclic system-1,2,3,4-tetrahydro-imidazo[5,1-f][1,2,4]triazin-7-amine. Chem. Heterocycl. Compd. 2014, 4, 587–589. [Google Scholar] [CrossRef]
- Spinelli, D.; Guanti, G.; Dell’Erba, C. Transmission of substituent effects in systems with bonds of different orders. Kinetics of the reactions of 3-bromo-2-nitro-4-X-thiophens and 3-bromo-4-nitro-2-X-thiophenes with sodium benzenethiolate in methanol. J. Chem. Soc. Perkin Trans. 1972, 2, 441–445. [Google Scholar] [CrossRef]
- Spinelli, D.; Noto, R.; Consiglio, G. Linear free Energy ortho-correlations in the thiophen series, Part II. Acid dissociation of some 3-substituted thiophen-2-carboxylic acids in water. J. Chem. Soc. Perkin Trans. 1976, 2, 747–751. [Google Scholar] [CrossRef]
- Dell’Erba, C.; Mele, A.; Novi, M.; Petrillo, G.; Sancassan, F.; Spinelli, D. On the nature of resonance interactions in subsituted benzenes. Part 3. A13C nuclear magnetic resonance study of substituent effects in 4-substituted benzamides and methyl benzoates in dimethylsulphoxide. J. Chem. Soc. Perkin Trans. 1990, 2, 2055–2058. [Google Scholar] [CrossRef]
- Carosati, E.; Budriesi, R.; Cosimelli, B.; Ioan, P.; Ugenti, M.P.; Spinelli, D.; Chiarini, A. Discovery of novel and cardioselective diltiazem-like calcium channel blockers via virtual screening. J. Med. Chem. 2008, 51, 5552–5565. [Google Scholar] [CrossRef] [PubMed]
- Potapov, A.Y.; Paponov, B.V.; Podoplelova, N.A.; Panteleev, M.A.; Polikarchuk, V.A.; Ledenyova, I.V.; Shikhaliev, K.S. Synthesis and study of new 2H-pyranoquinolin-2-one-based inhibitors of blood coagulation factors Xa and XIa. Russ. Chem. Bull. 2021, 70, 492–497. [Google Scholar] [CrossRef]
- Novichikhina, N.P.; Skoptsova, A.A.; Shestakov, A.S.; Potapov, A.Y.; Kosheleva, E.A.; Kozaderov, O.A.; Shikhaliev, K.S. Synthesis and Anticoagulant Activity of New Ethylidene and Spiro Derivatives of Pyrrolo[3,2,1-ij]quinolin-2-ones. Russ. J. Org. Chem. 2020, 56, 1550–1556. [Google Scholar] [CrossRef]
- Dell’Erba, C.; Chiavarina, B.; Fenoglio, C.; Petrillo, G.; Cordazzo, C.; Boncompagni, E.; Spinelli, D.; Viale, M. Inhibition of cell proliferation, cytoxicity and induction of apoptosis of 1,4-bis(1-naphthyl)-2,3-dinitro-1,3-butadiene in gastrointestinal tumour cell lines and preliminary evaluation of its toxicity in vivo. Pharmacol. Res. 2005, 52, 271–282. [Google Scholar] [CrossRef]
- Novichikhina, N.P.; Shestakov, A.S.; Potapov, A.Y.; Kosheleva, E.A.; Shatalov, G.V.; Verezhnikov, V.N.; Shikhaliev, K.S. Synthesis of 4H-pyrrolo[3,2,1-ij]quinoline-1,2-diones containing a piperazine fragment and study of their inhibitory properties against protein kinases. Russ. Chem. Bull. 2020, 69, 787–792. [Google Scholar] [CrossRef]
- Stolpovskaya, N.V.; Kruzhilin, A.A.; Zorina, A.V.; Shikhaliev, K.S.; Ledeneva, I.V.; Kosheleva, E.A.; Vandyshev, D.Y. Synthesis of Substituted Aminopyrimidines as Novel Promising Tyrosine Kinase Inhibitors. Russ. J. Org. Chem. 2019, 55, 1322–1328. [Google Scholar] [CrossRef]
- Viale, M.; Cordazzo, C.; Cosimelli, B.; De Totero, D.; Castagnola, P.; Aiello, C.; Severi, E.; Spinelli, D. Inhibition of MDR1 activity in vitro by a novel class of diltiazem analogues: Towards new candidates. J. Med. Chem. 2009, 52, 259–266. [Google Scholar] [CrossRef]
- Ilin, I.; Lipets, E.; Sulimov, A.; Kutov, D.; Shikhaliev, K.; Potapov, A.; Sulimov, V. New factor Xa inhibitors based on 1,2,3,4-tetrahydroquinoline developed by molecular modelling. J. Mol. Graph. Model. 2019, 89, 215–224. [Google Scholar] [CrossRef]
- Mohlala, R.L.; Coyanis, E.M.; Fernandes, M.A.; Bode, M.L. Synthesis of highly functionalised 5-membered ring fused pyrimidine derivatives using an isocyanide-based one-pot, three component reaction. Tetrahedron Lett. 2020, 61, 151796. [Google Scholar] [CrossRef]
- Reimlinger, H.; Jacquier, R.; Daunis, J. Weiteresynthesen von 7-oxo-7,8-dihydro-s-triazolo[4,3-a]pyrimidinen. Chem. Ber. 1971, 104, 2702–2708. [Google Scholar] [CrossRef]
- Abdel-Aziem, A.; El Gendy, M.S.; Abdelhamid, A.O. Synthesis and antimicrobial activities of pyrido[2,3-d]pyrimidine, pyridotriazolopyrimidine, triazolopyrimidine, and pyrido[2,3-d:6,5d’]dipyrimidine derivatives. Euro. J. Chem. 2012, 3, 455–460. [Google Scholar] [CrossRef]
- Khera, M.K.; Cliffe, I.A.; Mathur, T.; Prakash, O. Synthesis and in vitro activity of novel 1,2,4-triazolo[4,3-a]pyrimidine oxazolidinone antibacterial agents. Bioorg. Med. Chem. Lett. 2011, 21, 2887–2889. [Google Scholar] [CrossRef]
- Aouali, M.; Allouche, F.; Zouari, I.; Mhalla, D.; Trigui, M.; Chabchoub, F. Synthesis, Antibacterial, and Antifungal Activities of Imidazo[2,1-c][1,2,4]triazoles and 1,2,4-Triazolo[4,3-a]pyrimidinones. Synth. Commum. 2014, 44, 748–756. [Google Scholar] [CrossRef]
- Hassanabadi, A. PPh3-Mediated One-Pot Synthesis of Functionalised 4-oxo-4H-benzo[4,5]imidazo[1,2-a]pyrimidines. J. Chem. Res. 2013, 37, 340–341. [Google Scholar] [CrossRef]
- Nair, M.D.; Sudarsanam, V.; Desai, J.A. Nitroimidazoles: Part XIV—Synthesis of 2-Nitroimidazo[1,2-a]pyrimidin-5-ones. Ind. J. Chem. Sect. B Org. Med. Chem. 1983, 21, 1030–1032. [Google Scholar] [CrossRef]
- Reimlinger, H.; Peiren, M.A.; Merenyi, R. Reaktionen des 3(5)-amino-pyrazolsmit α,β-ungesattigtenestern. Derstellung und charakterisierungisomerer oxo-dihydro-pyrazolo-pyrimidine. Chem. Ber. 1970, 103, 3252–3265. [Google Scholar] [CrossRef]
- Meyer, M.; Guyot, M. Synthesis of 2-substituted indolopyridine-4-ones. Tetrahedron Lett. 1996, 37, 4931–4932. [Google Scholar] [CrossRef]
- Ahdenov, R.; Amini, S.K.; Azarlak, R.; Halvagar, M.R.; Mohammadi, A.A.; Taheri, S. A straightforward approach for the synthesis of novel fused thiopyrano [2,3-b]indole derivatives from the Intramolecular Friedel-Crafts acylation. J. Mol. Struct. 2020, 1208, 127854. [Google Scholar] [CrossRef]
- Da Settimo, F.; Primofiore, G.; Da Settimo, A.; La Motta, C.; Taliani, S.; Simorini, F.; Novellino, E.; Greco, G.; Lavecchia, A.; Boldrini, E. [1,2,4]Triazino[4,3-a]benzimidazole Acetic Acid Derivatives: A New Class of Selective Aldose Reductase Inhibitors. J. Med. Chem. 2001, 44, 4359–4369. [Google Scholar] [CrossRef] [PubMed]
- Georgiev, V.S.; Bennett, G.A.; Radov, L.A.; Kamp, D.K.; Trusso, L.A. 2-Substituted 2,3-dihydro-5H-thiazolo[2,3-b]quinazoline derivatives. J. Heterocycl. Chem. 1986, 23, 1359–1362. [Google Scholar] [CrossRef]
- Jazinizadeh, T.; Yazdani-Elah-Abadi, A.; Maghsoodlou, M.T.; Heydari, R. CeCl3-Catalyzed a Highly Efficient and Eco-friendly Synthesis of New and Densely Functionalized Thiazolo[3,2-a]Pyrimidins via Biginelli-type Reaction. Polycycl. Aromat. Compd. 2018, 40, 732–742. [Google Scholar] [CrossRef]
- Darehkordi, A.; Ghazi, S. An efficient ultrasonic-assisted synthesis of ethyl-5-(aryl)-2-(2-alkokxy-2-oxoethylidene)-7-methyl-3-oxo-3, 5-dihydro-2H-thiazolo[3,2-a]pyrimidine-6-carboxylate derivatives. Arab. J. Chem. 2015, 38, 2175–2182. [Google Scholar] [CrossRef]
- Ueda, T.; Kawabata, Y.; Murakami, N.; Nagai, S.-I.; Sakakibara, J.; Goto, M. Novel annelations of xanthines by the reaction of 8-aminoxanthines with dimethyl acetylenedicarboxylate. Chem. Pharm. Bull. 1991, 39, 270–276. [Google Scholar] [CrossRef][Green Version]
- Tominaga, Y.; Yoshioka, N.; Kataoka, S.; Aoyama, N.; Masunari, T.; Miike, A. Synthesis and chemiluminescence of 1,3-disubstituted pyrazolo[4’,3’:5,6]pyrido[2,3-d]pyridazine-5,8(6H,7H)-diones and related compounds. Tetrahedron Lett. 1995, 36, 8641–8644. [Google Scholar] [CrossRef]
- Tseng, C.-C.; Yen, W.-P.; Tsai, S.-E.; Hu, Y.-T.; Takayama, H.; Kuo, Y.-H.; Wong, F.F. ZnCl2-Catalyzed aza-Diels-Alder reaction for the synthesis of 1H-oyrazolo[3,4-b]pyridine-4,5-dicarboxylate derivatives. Eur. J. Org. Chem. 2018, 2018, 1567–1571. [Google Scholar] [CrossRef]
- Bouvier, M.; Marinier, A.; Ruel, R.; René, P.; Chantigny, Y.; Dagneau, P.; Gingras, S. Pyrazolopyridine and Pyrazolopyrimidine Derivatives as Melanocortin-4 Receptor Modulators. WO2012/100342 A1. U.S. Patent US9018395B2, 26 January 2012. [Google Scholar]
- Connor, D.T.; Young, P.A.; Strandtman, M. Synthesis of 4,10-dihydro-4,10-dioxo-1H-[1]-benzopyrano[3,2-b]pyridine, 4,5-dihydro-4,5-dioxo-1H-[1]-benzopyrano[2,3-b]pyridine and 1,5-dihydro-1,5-dioxo-4H-[1]-benzopyrano[3,4]pyridine derivatives from aminobenzopyrones. J. Heterocycl. Chem. 1981, 18, 697–702. [Google Scholar] [CrossRef]
- Merck Serono, S.A.; Montagne, C.; Bombrun, A.; Desforges, G.; Quattropani, A.; Gaillard, P. 4-Morpholino-pyrido[3,2-d]pyrimidines. WO2010/91996 A1. U.S. Patent US20110257170A1, 20 October 2010. [Google Scholar]
- Srinivasan, A.; Broom, A.D. Pyridopyrimidines. 10. Nucleophilic substitutions in the pyrido[3,2-d]pyrimidine series. J. Org. Chem. 1979, 44, 435–440. [Google Scholar] [CrossRef]
- Miyamoto, Y. Synthesis of Nitrogen-Containing Heterocycles. 12. Reactions of 2-Amino-1-benzylideneamino-1H-imidazoles with Dimethyl Acetylenedicarboxylate. Heterocycles 2009, 78, 691–698. [Google Scholar] [CrossRef]
- Kruzhilin, A.A.; Kosheleva, E.A.; Shikhaliev, K.S.; Denisov, G.L.; Vandyshev, D.Y. Regioselective Synthesis of Imidazo[1,5-b]pyridazines by Cascade Cyclizations of 1,2-Diamino-4H-phenylimidazole with 1,3-Diketones, Acetoacetic Ester and Their Derivatives. Chem. Select. 2021, 6, 5801–5806. [Google Scholar] [CrossRef]
- Vandyshev, D.Y.; Shikhaliev, K.S.; Potapov, A.Y.; Krysin, M.Y.; Zubkov, F.I.; Sapronova, L.V. A novel synthetic approach to hydroimidazo[1,5-b]pyridazines by the recyclization of itaconimides and HPLC–HRMS monitoring of the reaction pathway. Beilstein J. Org. Chem. 2017, 13, 2561–2568. [Google Scholar] [CrossRef] [PubMed]
- Vandyshev, D.Y.; Kosheleva, E.A.; Polikarchuk, V.A.; Mangusheva, D.A.; Denisovb, G.L.; Shikhalieva, H.S. Regioselective synthesis of novel imidazo[1,5-b]pyridazine derivatives from diaminoimidazoles and α-acylacrylonitriles. Mendeleev Commun. 2021, 31, 821–823. [Google Scholar] [CrossRef]
- Anslyn, E.V.; Dougherty, D.A. Modern Physical Organic Chemistry; University Science Books: Sausalito, CA, USA, 2006; p. 1104. [Google Scholar]
- Becke, A.D. Density-functional exchange-energy approximation with correct asymptotic behavior. Phys. Rev. A 1988, 15, 3098–3100. [Google Scholar] [CrossRef]
- Becke, A.D. Density-functional thermochemistry. III. The role of exact exchange. J. Chem. Phys. 1993, 98, 5648–5652. [Google Scholar] [CrossRef]
- Lee, C.; Yang, W.; Parr, R.G. Development of the Colle-Salvetti correlation-energy formula into a functional of the electron density. Phys. Rev. B 1988, 37, 785–789. [Google Scholar] [CrossRef]
- Peng, Y.-J.; Jiang, Y.-X.; Peng, X.; Liu, J.-Y.; Lai, W.-P. Reaction mechanism of 3,4-dinitrofuroxan formation from glyoxime: Dehydrogenation and cyclization of oxime. ChemPhysChem 2016, 17, 541–547. [Google Scholar] [CrossRef]
- Frisch, M.J.; Trucks, G.W.; Schlegel, H.B.; Scuseria, G.E.; Robb, M.A.; Cheeseman, J.R.; Scalmani, G.; Barone, V.; Mennucci, B.; Petersson, G.A.; et al. Gausian 09; Gaussian, Inc.: Wallingford, CT, USA, 2009. [Google Scholar]
- Peng, C.; Schlegel, H.B. Combining synchronous transit and quasi-Newton methods to find transition states. Isr. J. Chem. 1993, 33, 449–454. [Google Scholar] [CrossRef]
- Peng, C.; Ayala, P.Y.; Schlegel, H.B.; Frisch, M.J. Using redundant internal co-ordinates to optimize equilibrium geometries and transition states. J. Comput. Chem. 1996, 17, 49–56. [Google Scholar] [CrossRef]






















| Solvent * | HPLC-MS Analyses of the Reactions, min | ||
|---|---|---|---|
| 0 | 60 | 120 | |
| Benzene | 100 | 80 | 63 |
| 1,4-Dioxane | 100 | 50 | 35 |
| CH2Cl2 | 100 | 60 | 40.2 |
| CHCl3 | 100 | 70 | 54.5 |
| EtOH | 100 | 37.6 | 0.57 |
| MeOH | 100 | 14.6 | 0 |
| MeOH/AcOH (cat) | 100 | 0.71 | - |
| MeOH/AcOH (1:1) | 100 | 42.1 | 32.8 |
Publisher’s Note: MDPI stays neutral with regard to jurisdictional claims in published maps and institutional affiliations. |
© 2022 by the authors. Licensee MDPI, Basel, Switzerland. This article is an open access article distributed under the terms and conditions of the Creative Commons Attribution (CC BY) license (https://creativecommons.org/licenses/by/4.0/).
Share and Cite
Vandyshev, D.Y.; Burov, O.N.; Lisovin, A.V.; Mangusheva, D.A.; Potapov, M.A.; Ilyinova, T.N.; Shikhaliev, K.S.; Geronikaki, A.; Spinelli, D. A Multifield Study on Dimethyl Acetylenedicarboxylate: A Reagent Able to Build a New Cycle on Diaminoimidazoles. Molecules 2022, 27, 3326. https://doi.org/10.3390/molecules27103326
Vandyshev DY, Burov ON, Lisovin AV, Mangusheva DA, Potapov MA, Ilyinova TN, Shikhaliev KS, Geronikaki A, Spinelli D. A Multifield Study on Dimethyl Acetylenedicarboxylate: A Reagent Able to Build a New Cycle on Diaminoimidazoles. Molecules. 2022; 27(10):3326. https://doi.org/10.3390/molecules27103326
Chicago/Turabian StyleVandyshev, Dmitrii Yu., Oleg N. Burov, Anton V. Lisovin, Daria A. Mangusheva, Mikhail A. Potapov, Tatiana N. Ilyinova, Khidmet S. Shikhaliev, Athina Geronikaki, and Domenico Spinelli. 2022. "A Multifield Study on Dimethyl Acetylenedicarboxylate: A Reagent Able to Build a New Cycle on Diaminoimidazoles" Molecules 27, no. 10: 3326. https://doi.org/10.3390/molecules27103326
APA StyleVandyshev, D. Y., Burov, O. N., Lisovin, A. V., Mangusheva, D. A., Potapov, M. A., Ilyinova, T. N., Shikhaliev, K. S., Geronikaki, A., & Spinelli, D. (2022). A Multifield Study on Dimethyl Acetylenedicarboxylate: A Reagent Able to Build a New Cycle on Diaminoimidazoles. Molecules, 27(10), 3326. https://doi.org/10.3390/molecules27103326

