You are currently viewing a new version of our website. To view the old version click .
Molecules
  • Article
  • Open Access

16 May 2022

Gas-Sensing Property of TM-MoTe2 Monolayer towards SO2, SOF2, and HF Gases

,
,
,
and
1
College of Physics and Electronic Engineering, Xianyang Normal University, Xianyang 712000, China
2
College of Engineering and Technology, Southwest University, Chongqing 400715, China
*
Author to whom correspondence should be addressed.
This article belongs to the Section Applied Chemistry

Abstract

Detecting the characteristic decomposition products (SO2, SOF2, and HF) of SF6 is an effective way to diagnose the electric discharge in SF6-insulated equipment. Based on first-principles calculations, Au, Ag, and Cu were chosen as the surface modification transition metal to improve the adsorption and gas-sensing properties of MoTe2 monolayer towards SO2, SOF2, and HF gases. The results show that Au, Ag, and Cu atoms tend to be trapped by TH sites on the MoTe2 monolayer, and the binding strength increases in the order of Ag < Au < Cu. In gas adsorption, the moderate adsorption energy provides the basis that the TM-MoTe2 monolayer can be used as gas-sensing material for SO2, SOF2, and HF. The conductivity of the adsorption system changes significantly. The conductivity decreases upon gases adsorption on TM-MoTe2 monolayer, except the conductivity of Ag-MoTe2 monolayer increases after interacting with SOF2 gas.
Keywords:
MoTe2 monolayer; SO2; SOF2; HF; DFT

1. Introduction

In the compact design of high-voltage equipment and gas insulation systems in the power industry [1], SF6 gas has been widely used as an insulation medium due to its comprehensive advantages, such as high dielectric strength, strong electronegativity, thermal stability, chemical inertness, and non-toxicity [2,3]. However, SF6 gas inevitably decomposes to toxic and corrosive by-products under electric discharge [4]. Corona, spark, and arc discharge are three typical types of electric discharge observed in SF6-insulated equipment [5]. Under the electric discharge, the low-sulfur fluorides produced by ionizing SF6 gas will quickly react with trace moisture and impurities in the gas insulation system, forming some common stable decomposition products, including SO2, SOF2, and HF [6,7,8]. If these decomposition products are not handled properly, they will reduce the insulation strength of the filling gas, and be harmful to the environment and human health [9]. In addition, these acid gases will also corrode the original insulation device inside the gas insulation system, aggravating electric discharge and further affecting the safe and stable operation of the power system [10]. Online detection of the concentration of SO2, SOF2, and HF gases in the gas insulation system is crucial to ensure the safe running of equipment [11]. Therefore, it is urgent to explore suitable gas-sensitive materials for high-efficiency detection of the SF6 decomposed gases.
Based on the catalytic performance and unique electrical structure, two-dimensional layered materials-based chemical sensors have been extensively explored and studied in broad application prospects, such as equipment testing, environmental diagnosis, and industrial manufacturing [12,13]. Graphene-like materials, such as transition metal dihalides (TMD), InN monolayers, hexagonal boron nitride (h-BN), and carbon nitride compounds, have a large specific surface area, and are resistant to strong acids and alkalis, and high temperatures [14,15,16]. Its adsorption and gas-sensitivity properties to gases have been extensively studied [17,18]. Compared with other TMD, MoTe2 has lower binding energy and a larger bond length [19,20]. TMD-based gas sensors have attracted broad focus in recent years [21]. Wang et al. studied the gas-sensing potential of MoTe2 monolayer to SF6 decomposition products based on theoretical calculations [22]. Feng et al. developed a MoTe2-based gas sensor for NH3 and NO2 detection, with an excellent recovery rate and high sensitivity [23]. These previous studies have significantly enhanced the chemical interaction with specific gases, providing a promising candidate for SF6 decomposition product detection.
The introduction of transition metal atom modification on the surface of two-dimensional layered materials effectively improves surface activity and gas-sensing performance [24,25]. In particular, nano-noble metals, such as Au, Ag, and Cu, may show better surface performance [26]. This is because transition metal atom modification increase the chemical activity and electron mobility of pristine materials, opening up a new perspective on exploring high-performance gas sensor [27]. Based on density functional theory (DFT) calculations, transition metals (Au, Ag, and Cu) were selected as modifying atoms on the MoTe2 surface in this study. Then, SO2, SOF2, and HF gas molecules are adsorbed on three transition metals (Au, Ag, and Cu) modified MoTe2 monolayer, abbreviated as TM-MoTe2. The surface modification and gas-sensing mechanism have been studied by analyzing the geometric structures and electronic properties.

2. Computational Details

All calculations are performed based on DFT calculations [28]. The Perdew–Burke–Ernzerhof (PBE) function of the generalized gradient approximation method (GGA) was selected to approximate the exchange and correlation of electrons [29]. DFT Semi-core Pseudopot (DSPP) was selected to eliminate the relativistic effect of TM atoms in the core processing [30]. The p-orbital dual-value plus polarization function (DNP) was used as the atomic orbital basis set, which increases the calculation accuracy of hydrogen bonds [31]. The Grimme method performed DFT-D correction on Ag and Cu modified MoTe2 models. While DFT-D2 method by TS was used to analyze the intermolecular forces and long-range interactions in the Au-modified MoTe2 model.
A 7 × 7 × 1 Monkhorst pack grid was wet for Brillouin sampling. A static calculation with a self-consistent field convergence accuracy of 10−6 Ha, a global orbit cut-off radius of 4.9 Å, and a smearing of 0.005 Ha were used to ensure the smooth convergence of the entire system [32]. According to the principle of periodic boundary conditions to eliminate the boundary effect, a single layer of MoTe2 was constructed in a 4 × 4 × 1 supercell containing 16 Mo atoms and 32 Te atoms. A vacuum interval of 20 Å is used to avoid mutual influence between adjacent layers [33]. Four possible modification sites of TM atoms on MoTe2 were considered, including TH, TMo, TTe, and TB. TH is the location above the center of the MoTe2 hexagonal ring, TMo is the location on the top of the Mo atom, TTe is the location on the top of the Te atom, and TB means the location on the bridge between two Te atoms. The binding energy (Eb) of TM atoms on the MoTe2 monolayer is defined in Equation (1). Where ETM-MoTe2, ETM, and EMOTe2 represent the energy of TM-MoTe2 monolayer, TM atom, and pristine MoTe2 monolayer, respectively.
Eb = ETM-MoTe2ETMEMoTe2
After obtaining the most stable TM-MoTe2 monolayer structure, various possible adsorption positions of the gas molecule on TM-MoTe2 were considered to study the adsorption behavior. Gas molecules undergo significant displacement and move to the highest stability position after structural optimization. The most stable configuration for gas molecule adsorption is determined by the largest adsorption energy (Eads) calculated as Equation (2):
Eads = ETM-MoTe2/gasETM-MoTe2Egas
where ETM-MoTe2/gas is the total energy of the adsorption system, while ETM-MoTe2 and Egas are the total energy of separated TM-MoTe2 monolayer and gas molecules, respectively. The Mulliken atomic charges method is used to analyze the charge transfer. A negative value of charge transfer indicates the electrons transfer from TM-MoTe2 monolayer to gas molecules.

3. Results and Discussion

3.1. Structural Optimization of Gas Molecules and TM-MoTe2 Monolayer

As shown in Figure 1, the pristine MoTe2 monolayer, TM atoms, SO2, SOF2, and HF gas molecules were optimized. The pristine MoTe2 monolayer structure is composed of a hexagonal pattern with Se atoms and Mo atoms intersecting. The Mo-Te bond length of the MoTe2 monolayer structure before TM modification is 2.758 Å. SO2 gas molecule has a broken-line spatial configuration, which structure keeps good agreement with the reported theoretical and experimental results. The central S atom and the other two O atoms are bonded by σ bonds, and the O-S-O structure forms an angle of 119.954° and an S-O bond length of 1.480 Å. SOF2 gas molecules belong to a three-dimensional structure due to the multiple-valence property. The bond lengths of the S-F bond and the S-O bond are 1.670 Å and 1.461 Å, respectively, and the angles of the O-S-F structure and the F-S-F structure are 107.175° and 93.297°, respectively. HF gas is in a linear structure with a bond length of 0.932 Å.
Figure 1. The optimized structures of the pristine MoTe2, TM atoms, SO2, SOF2, and HF gases. The unit is Å.
First, the geometric structure and electronic properties of the TM-MoTe2 monolayer were studied. Liu et al. achieved geometric relaxation of TM modification on the pristine MoTe2 monolayer through four possible positions [34]. After complete optimization, it can be seen that the TM atoms prefer to be trapped at the TH site (located above the center of the MoTe2 hexagonal ring). Therefore, this paper has three different TM atoms in the TH position for geometric optimization. It is worth noting that the three TM atoms form three bonds with three adjacent Te atoms after optimization, resulting in a certain degree of structural distortion in each system. However, in the optimized configuration, the lengths of the three TM-Te bonds are equal. It can be seen from Figure 2 that the average length of the TM-Mo bond in the TM-MoTe2 model is 2.942 Å, 2.974 Å, and 2.618 Å, respectively.
Figure 2. Top view and side view of: (a) Au-MoTe2; (b) Ag-MoTe2; (c) Cu-MoTe2. The unit is Å.
Table 1 shows that the bonding strengths of TM atoms on MoTe2, which increase in the order of Ag < Au < Cu, and the binding energies are 1.61 eV, 1.47 eV, and 1.13 eV, respectively. It shows that Au, Ag, and Cu of the same group can interact with the adjacent undercoordinated Mo atoms. The electron transfer from the TM atoms to the MoTe2 monolayer is −0.238 e, 0.007 e, and −0.104 e, respectively, which is crucial to the chemical activity and sensitivity of the TM modified MoTe2 monolayer. As shown in Figure 3, the band gaps of the MoTe2 single layer under TS optimization and Grimme optimization are 1.273 eV and 1.275 eV, respectively, which is not much different overall. All of the bandgaps of the TM-MoTe2 monolayer reduce, especially the bandgap of Au-MoTe2 reduces to 0.728 eV. The band gaps of Ag-MoTe2 and Cu-MoTe2 are also respectively reduced to 0.794 eV and 0.838 eV, which is very important for the performance of the activated material.
Table 1. Binding energy and charge transfer of TM atoms modification on MoTe2.
Figure 3. The bandgaps of the pristine MoTe2 monolayer and TM-MoTe2 monolayer.

3.2. Adsorption of Gas Molecules on TM-MoTe2 Monolayer

The adsorption structures of SO2, SOF2, and HF gas molecules on the most stable TM-MoTe2 monolayer structure were obtained, as shown in Figure 4. Table 2 lists the adsorption energy and charge transfer between the TM-MoTe2 adsorption system and SO2, SOF2, and HF gas molecules. The calculated Eads ranges from −0.23 eV to −1.18 eV, determining whether gas adsorption processes belong to chemical or physical adsorption. QT ranges from +0.031 e to −0.341 e, indicating the redistribution of the electrons for all systems. It can be seen that SOF2 prefers to interact with the TM-MoTe2 monolayer by the S atom of SO2F2 approaching the TM atom. This is because the unique molecular configuration of SOF2 makes the S atom more multivalent.
Figure 4. Adsorption systems of the gas molecule on TM-MoTe2 monolayer. The unit is Å.
Table 2. Adsorption energy and electron transfer of gas molecules on TM-MoTe2 monolayer.
It can be seen from Figure 4 that the structure of the TM-MoTe2 monolayer has undergone significant deformation after the adsorption of SO2, SOF2, and HF gas molecules. In particular, the Au atom undergoes a significant movement from the initial modification position, the position above the center of the MoTe2 hexagonal ring to a position partial to the top of the Te atom, and two of the original three Au-Te bonds are broken. The length of the remained Au-Te bond changes to 2.857 Å, 2.937 Å, and 2.947 Å when SO2, SOF2, and HF gases adsorb on the Au-MoTe2 monolayer, respectively. On the other hand, the Ag and Cu modified MoTe2 monolayer have not undergone significant geometric deformation during the adsorption of SO2, SOF2, and HF gases, though the Ag-Te bond and Cu-Te bond are elongated to some extent. It can be determined that the Ag-MoTe2 adsorption system is similar to the Cu-MoTe2 adsorption system. The O atoms in the SO2 gas molecule and the S atoms in the SOF2 gas molecule are stably captured by the Ag atom and Cu atom by forming corresponding chemical bonds: Ag-O (2.515 Å), Ag-S (2.721 Å), Cu-O (1.940 Å), and Cu-S (2.147 Å).

3.3. TDOS and PDOS Distribution of Gas Adsorbed TM-MoTe2 Monolayer

Figure 5 shows the TDOS distribution of TM-MoTe2 monolayers before and after SO2, SOF2, and HF gas adsorption. It can be seen that the TDOS distribution of the Au-MoTe2 monolayer shifts to the right as a whole after the adsorption of SO2, SOF2, and HF gases, proving that the modification of Au atoms improves the chemical activity and conductivity of the adsorption system. In addition, due to the activated state of the adsorbed SOF2 gas molecule, the TDOS distribution of the SOF2 adsorbed TM-MoTe2 system showed a continuous new peak between −10 eV and −5 eV. Moreover, the TDOS distribution of the SOF2 gas adsorption system fluctuates the most in all distributions due to a certain amount of charge transfer during the adsorption process. On the right side of the Fermi level, the TDOS distribution decreases after SO2 gas adsorption on the Ag-MoTe2 monolayer and Cu-MoTe2 monolayer, indicating that the filled electrons reduce, and a strong chemical effect occurs during the adsorption process. The TDOS distribution of the HF adsorbed Au-MoTe2 system shifts slightly to the right, but the TDOS distribution of the other two HF gas adsorption systems nearly does not change.
Figure 5. TDOS distribution of SO2, SOF2, and HF adsorbed TM-MoTe2 systems.
PDOS analysis was performed to understand the electronic behavior of TM-MoTe2 monolayer when adsorbing SO2, SOF2, and HF gases, as shown in Figure 6. It can be found that the 5d, 4d and 3d orbits of Au, Ag, and Cu atoms have a significant influence on their respective TDOS distributions due to their mental activities. It can be seen from the PDOS distribution of each adsorption system that the d orbits of TM atoms highly hybridize with the p orbits of S atoms or O atoms of the adsorbed SO2 gas molecules and SOF2 gas molecules. It confirms the stable formation of TM-S or TM-O bonds in the TM-MoTe2 adsorption system. In the TDOS distribution of all TM-MoTe2/HF adsorption systems, a slight fluctuation between −12.5 eV and −7.5 eV appears as a new peak derived from the 2p and 1s orbits of HF gas molecule. These orbital interactions indicate that SO2, SOF2, and HF gases have an ideal adsorption effect on the TM-MoTe2 monolayer, which leads to the redistribution of electrons on the substrate and a change of conductivity to a large extent.
Figure 6. PDOS distribution of SO2, SOF2, and HF adsorbed TM-MoTe2 systems.

3.4. Molecular Orbital Analysis of Gas Adsorbed TM-MoTe2 Monolayer

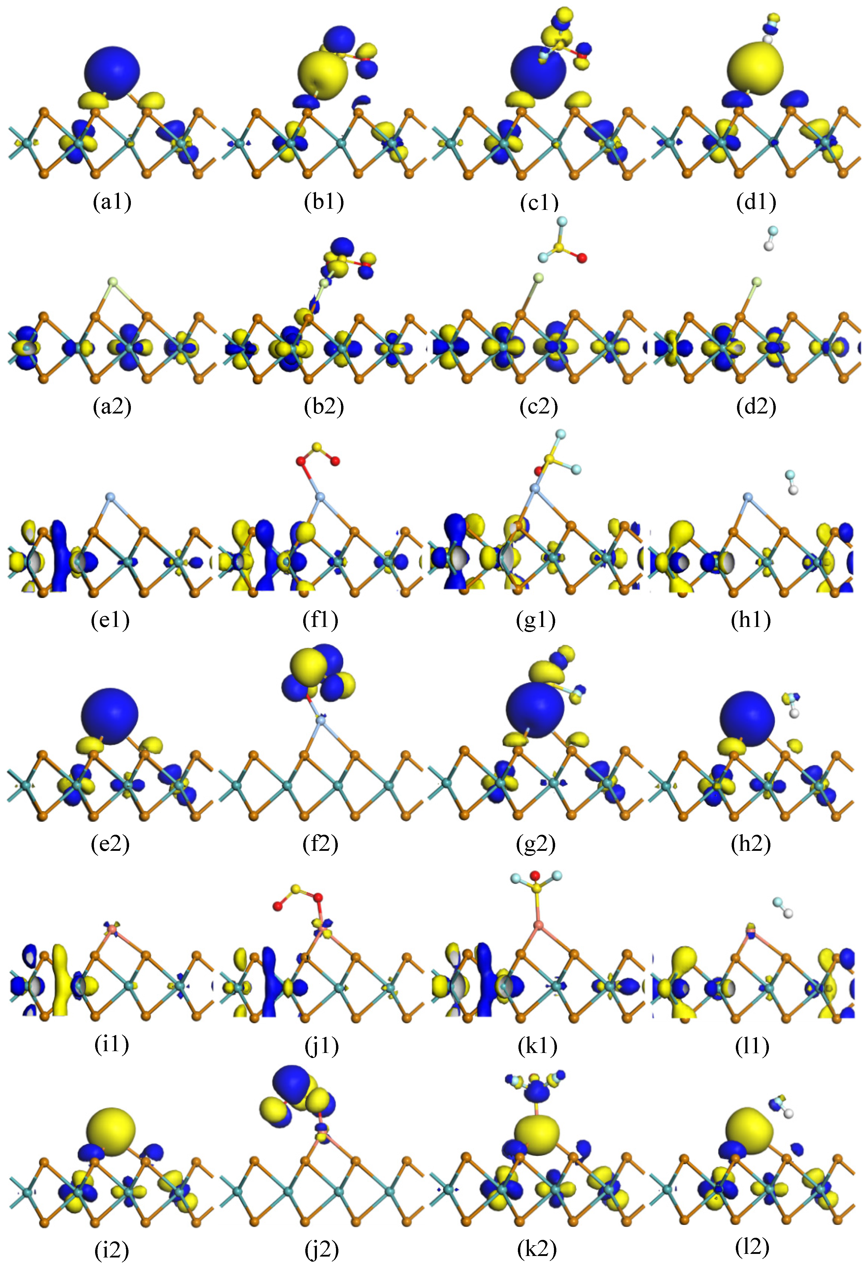
The adsorption of SO2, SOF2, and HF gases on the TM-MoTe2 monolayer was analyzed by molecular orbital analysis. According to the molecular orbital theory, the highest occupied molecular orbit (HOMO) and lowest unoccupied molecular orbit (LUMO) distributions of the adsorption system were calculated as shown in Figure 7. The yellow and blue areas in Figure 7 represent the positive and negative phases of the wave function. Table 3 shows the energy gap (Eg) between HOMO and LUMO, which helps evaluate the change in conductivity.
Figure 7. HOMO and LUMO distribution of TM-MoTe2 monolayer before and after gas adsorption. (a1) Au-MoTe2-HOMO, (a2) Au-MoTe2-LUMO, (b1) Au-MoTe2/SO2-HOMO, (b2) Au-MoTe2/SO2-LUMO, (c1) Au-MoTe2/SOF2-HOMO, (c2) Au-MoTe2/SOF2-LUMO, (d1) Au-MoTe2/HF-HOMO, (d2) Au-MoTe2/HF-LUMO, (e1) Ag-MoTe2-HOMO, (e2) Ag-MoTe2-LUMO, (f1) Ag-MoTe2/SO2-HOMO, (f2) Ag-MoTe2/SO2-LUMO, (g1) Ag-MoTe2/SOF2-HOMO, (g2) Ag-MoTe2/SOF2-LUMO, (h1) Ag-MoTe2/HF-HOMO, (h2) Ag-MoTe2/HF-LUMO, (i1) Cu-MoTe2-HOMO, (i2) Cu-MoTe2-LUMO, (j1) Cu-MoTe2/SO2-HOMO, (j2) Cu-MoTe2/SO2-LUMO, (k1) Cu-MoTe2/SOF2-HOMO, (k2) Cu-MoTe2/SOF2-LUMO, (l1) Cu-MoTe2/HF-HOMO, (l2) Cu-MoTe2/HF-LUMO.
Table 3. Molecular orbits and energy gaps of before and after gas adsorption on TM-MoTe2.
Molecular orbit is an effective method to evaluate the probability of electron transfer between characteristic molecules and the surface of TM-MoTe2. This confirms the previous DOS analysis that SO2, SOF2, and HF gas molecules are non-magnetic molecules during adsorption. At the same time, the Eg of the TM-MoTe2 monolayer changes after the gas molecules’ adsorption. For the Ag-MoTe2 system, the Eg of the adsorption system decreases after SOF2 gas molecules adsorption. While for other TM-MoTe2 systems, the Eg of the adsorption system increases after the gas adsorption. As the LUMO distribution obviously increases around the gas adsorption site, and HOMO distribution on Ag-MoTe2 slightly increases when SOF2 adsorption on the Ag-MoTe2 system. As a result, the electron transition from HOMO to LUMO becomes easier, and Eg decreases simultaneously. Therefore, the conductivity of the Ag-MoTe2 monolayer increases after interacting with SOF2 gas, while the conductivity of other adsorption systems decreases. As shown in Figure 7, the adsorption of gas molecules causes the redistribution of electrons in TM-MoTe2, which changes the energy of HOMO and LUMO accordingly, which matches the changing trend of Eg.

4. Conclusions

Based on first-principles calculations, this paper studies the stable structure of TM (Au, Ag, and Cu) modification on the MoTe2 monolayer. Then the adsorption structures of the characteristic decomposition products of SF6 (SO2, SOF2, and HF) on the TM-MoTe2 monolayer were calculated. By analyzing the adsorption structure, adsorption energy, charge transfer, adsorption distance, TDOS, PDOS, and molecular orbit, the adsorption performance and electronic behavior of TM-MoTe2 monolayer towards SO2, SOF2, and HF gases were explored. TM atoms tend to be trapped by TH sites on the MoTe2 monolayer with a binding strength of Ag <Au < Cu. The adsorption energy of the TM-MoTe2 monolayer to SO2, SOF2, and HF gas is moderate, indicating that they are suitable gas-sensing materials for detecting SO2, SOF2, and HF gases. The adsorption of SO2, SOF2, and HF gases on the TM-MoTe2 monolayer leads to the redistribution of electrons in the TM-MoTe2 systems, affecting its conductivity to a large extent. After SOF2 adsorption on the Ag-MoTe2 monolayer, the conductivity increases along with the decreased Eg, while the other gas adsorption on the TM-MoTe2 monolayer leads to an increase of Eg and a decrease in conductivity. Based on the different change rules of conductivity of the systems, it realizes the selective detection of the mixed decomposition products.

Author Contributions

Conceptualization, A.Z. and Y.G.; methodology, Y.G.; formal analysis, Q.D.; investigation, A.Z.; data curation, Y.G.; writing—original draft preparation, Y.G.; writing—review and editing, Y.G.; visualization, J.L.; supervision, A.Z.; project administration, A.Z.; funding acquisition, Q.D., J.L. and F.W. All authors have read and agreed to the published version of the manuscript.

Funding

This work is supported by the Natural Science Basic Research Plan in Shaanxi Province of China (Grant No. 2021JM-517), Natural Science Foundation of Shaanxi Province of China (Grant No. 2021JQ-813), and Natural Science Basic Research Plan in Shaanxi Province of China (Grant No. 2020JQ-898).

Institutional Review Board Statement

Not applicable.

Data Availability Statement

Not applicable.

Acknowledgments

We would like to thank all the co-authors for their contributions to this work.

Conflicts of Interest

The authors declare that they have no known competing financial interests or personal relationships that could have appeared to influence the work reported in this paper.

Sample Availability

Samples of the compounds are not available from the authors.

References

  1. Xu, L.; Gui, Y.; Li, W.; Li, Q.; Chen, X. Gas-sensing properties of Ptn-doped WSe2 to SF6 decomposition products. J. Ind. Eng. Chem. 2021, 97, 452–459. [Google Scholar] [CrossRef]
  2. Gui, Y.G.; Shi, J.Z.; Yang, P.A.; Li, T.; Tang, C.; Xu, L.N. Platinum modified MoS2 monolayer for adsorption and gas sensing of SF6 decomposition products: A DFT study. High Volt. 2020, 5, 454–462. [Google Scholar] [CrossRef]
  3. Cao, W.H.; Gui, Y.G.; Chen, T.; Xu, L.N.; Ding, Z.Y. Adsorption and gas-sensing properties of Pt2-GaNNTs for SF6 decom-position products. Appl. Surf. Sci. 2020, 524, 146570. [Google Scholar] [CrossRef]
  4. Zhang, X.X.; Yu, L.; Wu, X.Q.; Hu, W.H. Experimental Sensing and Density Functional Theory Study of H2S and SOF2 Ad-sorption on Au-Modified Graphene. Adv. Sci. 2015, 2, 1500101. [Google Scholar] [CrossRef]
  5. Chu, J.; Li, W.; Yang, X.; Wu, Y.; Wang, D.; Yang, A.; Yuan, H.; Wang, X.; Li, Y.; Rong, M. Identification of gas mixtures via sensor array combining with neural networks. Sens. Actuators B Chem. 2020, 329, 129090. [Google Scholar] [CrossRef]
  6. Zhang, J.; Zhu, W.; Chen, D.; Li, K.; Zhang, Q.; Wang, X.; Zheng, X.; Jiang, L.; Cao, L.; Lingzhi, C. Effects of remanent magnetization on dynamic magnetomechanical and magnetic-sensing characteristics in bi-layer multiferroics. Eur. Phys. J. Appl. Phys. 2019, 85, 20601. [Google Scholar] [CrossRef]
  7. Yang, A.; Wang, D.; Lan, T.; Chu, J.; Li, W.; Pan, J.; Liu, Z.; Wang, X.; Rong, M. Single ultrathin WO3 nanowire as a superior gas sensor for SO2 and H2S: Selective adsorption and distinct I-V response. Mater. Chem. Phys. 2019, 240, 122165. [Google Scholar] [CrossRef]
  8. Chen, D.; Zhang, X.; Tang, J.; Cui, H.; Li, Y. Noble metal (Pt or Au)-doped monolayer MoS2 as a promising adsorbent and gas-sensing material to SO2, SOF2 and SO2F2: A DFT study. Appl. Phys. A 2018, 124, 194. [Google Scholar] [CrossRef]
  9. Cui, H.; Zhang, X.; Zhang, G.; Tang, J. Pd-doped MoS2 monolayer: A promising candidate for DGA in transformer oil based on DFT method. Appl. Surf. Sci. 2018, 470, 1035–1042. [Google Scholar] [CrossRef]
  10. Cui, H.; Zhang, X.; Li, Y.; Chen, D.; Zhang, Y. First-principles insight into Ni-doped InN monolayer as a noxious gases scavenger. Appl. Surf. Sci. 2019, 494, 859–866. [Google Scholar] [CrossRef]
  11. Hu, X.; Gui, Y.; Liu, Y.; Xu, L.; Ran, L.; Chen, X. Adsorption characteristics of H2S, SO2, SO2F2, SOF2, and N2 on NiO-MoSe2 monolayer for gas-sensing applications. Vacuum 2021, 193, 110506. [Google Scholar] [CrossRef]
  12. Zhang, J.; Chen, D.; Filippov, D.A.; Geng, S.; Li, K.; Zhang, Q.; Jiang, L.; Wang, X.; Zhu, W.; Cao, L.; et al. Theory of tunable magnetoelectric inductors in ferrite-piezoelectric layered composite. J. Phys. D Appl. Phys. 2019, 52, 165001. [Google Scholar] [CrossRef]
  13. Ou, J.Z.; Ge, W.; Carey, B.; Daeneke, T.; Rotbart, A.; Shan, W.; Wang, Y.; Fu, Z.; Chrimes, A.F.; Wlodarski, W.; et al. Physisorption-Based Charge Transfer in Two-Dimensional SnS2 for Selective and Reversible NO2 Gas Sensing. ACS Nano 2015, 9, 10313–10323. [Google Scholar] [CrossRef] [PubMed]
  14. Gui, Y.G.; Peng, X.; Liu, K.; Ding, Z.Y. Adsorption of C2H2, CH4 and CO on Mn-doped graphene: Atomic, electronic, and gas-sensing properties. Phys. E-Low-Dimens. Syst. Nanostruct. 2020, 119, 113959. [Google Scholar] [CrossRef]
  15. Cui, H.; Zhang, G.; Zhang, X.; Tang, J. Rh-doped MoSe2 as a toxic gas scavenger: A first-principles study. Nanoscale Adv. 2018, 1, 772–780. [Google Scholar] [CrossRef] [Green Version]
  16. Cui, H.; Chen, D.; Zhang, Y.; Zhang, X. Dissolved gas analysis in transformer oil using Pd catalyst decorated MoSe2 monolayer: A first-principles theory. Sustain. Mater. Technol. 2019, 20, e00094. [Google Scholar] [CrossRef]
  17. Liu, H.; Xu, L.N.; Gui, Y.G.; Ran, L.; Chen, X.P. Adsorption properties of Ag2O-MoSe2 towards SF6 decomposed products. Vacuum 2021, 189, 110248. [Google Scholar] [CrossRef]
  18. Zhang, D.Z.; Jiang, C.X.; Wu, J.F. Layer-by-layer assembled In2O3 nanocubes/flower-like MoS2 nanofilm for room temper-ature formaldehyde sensing. Sens. Actuator B-Chem. 2018, 273, 176–184. [Google Scholar] [CrossRef]
  19. Gui, Y.; Shi, J.; Xu, L.; Ran, L.; Chen, X. Au (n = 1–4) cluster doped MoSe2 nanosheet as a promising gas-sensing material for C2H4 gas in oil-immersed transformer. Appl. Surf. Sci. 2021, 541, 148356. [Google Scholar] [CrossRef]
  20. Ma, Y.; Dai, Y.; Guo, M.; Niu, C.; Lu, J.; Huang, B. Electronic and magnetic properties of perfect, vacancy-doped, and nonmetal adsorbed MoSe2, MoTe2 and WS2 monolayers. Phys. Chem. Chem. Phys. 2011, 13, 15546–15553. [Google Scholar] [CrossRef]
  21. Yang, P.-A.; Ruan, H.; Sun, Y.; Li, R.; Lu, Y.; Xiang, C. Excellent microwave absorption performances of high length-diameter ratio iron nanowires with low filling ratio. Nanotechnology 2020, 31, 395708. [Google Scholar] [CrossRef] [PubMed]
  22. Wang, D.W.; Wang, X.H.; Yang, A.J.; Chu, J.F.; Lv, P.L.; Liu, Y.; Rong, M.Z. MoTe2: A Promising Candidate for SF6 De-composition Gas Sensors With High Sensitivity and Selectivity. IEEE Electron Device Lett. 2018, 39, 292–295. [Google Scholar] [CrossRef]
  23. Feng, Z.; Xie, Y.; Chen, J.; Yu, Y.; Zheng, S.; Zhang, R.; Li, Q.; Chen, X.; Sun, C.; Zhang, H.; et al. Highly sensitive MoTe2 chemical sensor with fast recovery rate through gate biasing. 2D Mater. 2017, 4, 025018. [Google Scholar] [CrossRef]
  24. Yagi, Y.; Briere, T.M.; Sluiter, M.H.F.; Kumar, V.; Farajian, A.A.; Kawazoe, Y. Stable geometries and magnetic properties of single-walled carbon nanotubes doped with 3d transition metals: A first-principles study. Phys. Rev. B 2004, 69, 075414. [Google Scholar] [CrossRef] [Green Version]
  25. Zhang, D.; Jiang, C.; Liu, J.; Cao, Y. Carbon monoxide gas sensing at room temperature using copper oxide-decorated graphene hybrid nanocomposite prepared by layer-by-layer self-assembly. Sens. Actuators B Chem. 2017, 247, 875–882. [Google Scholar] [CrossRef]
  26. Yuwen, L.H.; Xu, F.; Xue, B.; Luo, Z.M.; Zhang, Q.; Bao, B.Q.; Su, S.; Weng, L.X.; Huang, W.; Wang, L.H. General synthesis of noble metal (Au, Ag, Pd, Pt) nanocrystal modified MoS2 nanosheets and the enhanced catalytic activity of Pd-MoS2 for methanol oxidation. Nanoscale 2014, 6, 5762–5769. [Google Scholar] [CrossRef] [PubMed]
  27. Lin, S.; Ye, X.; Johnson, R.S.; Guo, H. First-Principles Investigations of Metal (Cu, Ag, Au, Pt, Rh, Pd, Fe, Co, and Ir) Doped Hexagonal Boron Nitride Nanosheets: Stability and Catalysis of CO Oxidation. J. Phys. Chem. C 2013, 117, 17319–17326. [Google Scholar] [CrossRef]
  28. Li, X.; Tang, C.; Wang, J.; Tian, W.; Hu, D. Analysis and mechanism of adsorption of naphthenic mineral oil, water, formic acid, carbon dioxide, and methane on meta-aramid insulation paper. J. Mater. Sci. 2019, 54, 8556–8570. [Google Scholar] [CrossRef]
  29. He, X.; Gui, Y.; Liu, K.; Xu, L. Comparison of sensing and electronic properties of C2H2 on different transition metal oxide nanoparticles (Fe2O3, NiO, TiO2) modified BNNT (10, 0). Appl. Surf. Sci. 2020, 521, 146463. [Google Scholar] [CrossRef]
  30. Chen, W.L.; Gui, Y.G.; Li, T.; Zeng, H.; Xu, L.N.; Ding, Z.Y. Gas-sensing properties and mechanism of Pd-GaNNTs for air decomposition products in ring main unit. Appl. Surf. Sci. 2020, 531, 147293. [Google Scholar] [CrossRef]
  31. Zheng, W.; Tang, C.; Xie, J.F.; Gui, Y.G. Micro-scale effects of nano-SiO2 modification with silane coupling agents on the cellulose/nano-SiO2 interface. Nanotechnology 2019, 30, 445701. [Google Scholar] [CrossRef] [PubMed]
  32. Li, P.; Hong, Q.Y.; Wu, T.; Cui, H. SOF2 sensing by Rh-doped PtS2 monolayer for early diagnosis of partial discharge in the SF6 insulation device. Mol. Phys. 2021, 119, e1919774. [Google Scholar] [CrossRef]
  33. Zhou, Y.; Reed, E.J. Structural Phase Stability Control of Monolayer MoTe2 with Adsorbed Atoms and Molecules. J. Phys. Chem. C 2015, 119, 21674–21680. [Google Scholar] [CrossRef]
  34. Liu, Y.; Shi, T.; Si, Q.; Liu, T. Adsorption and sensing performances of transition metal (Pd, Pt, Ag and Au) doped MoTe2 monolayer upon NO2: A DFT study. Phys. Lett. A 2020, 391, 127117. [Google Scholar] [CrossRef]
Publisher’s Note: MDPI stays neutral with regard to jurisdictional claims in published maps and institutional affiliations.

Article Metrics

Citations

Article Access Statistics

Multiple requests from the same IP address are counted as one view.