Comparison of CP-PC-SAFT and SAFT-VR-Mie in Predicting Phase Equilibria of Binary Systems Comprising Gases and 1-Alkyl-3-methylimidazolium Ionic Liquids
Abstract
1. Introduction
2. Theory
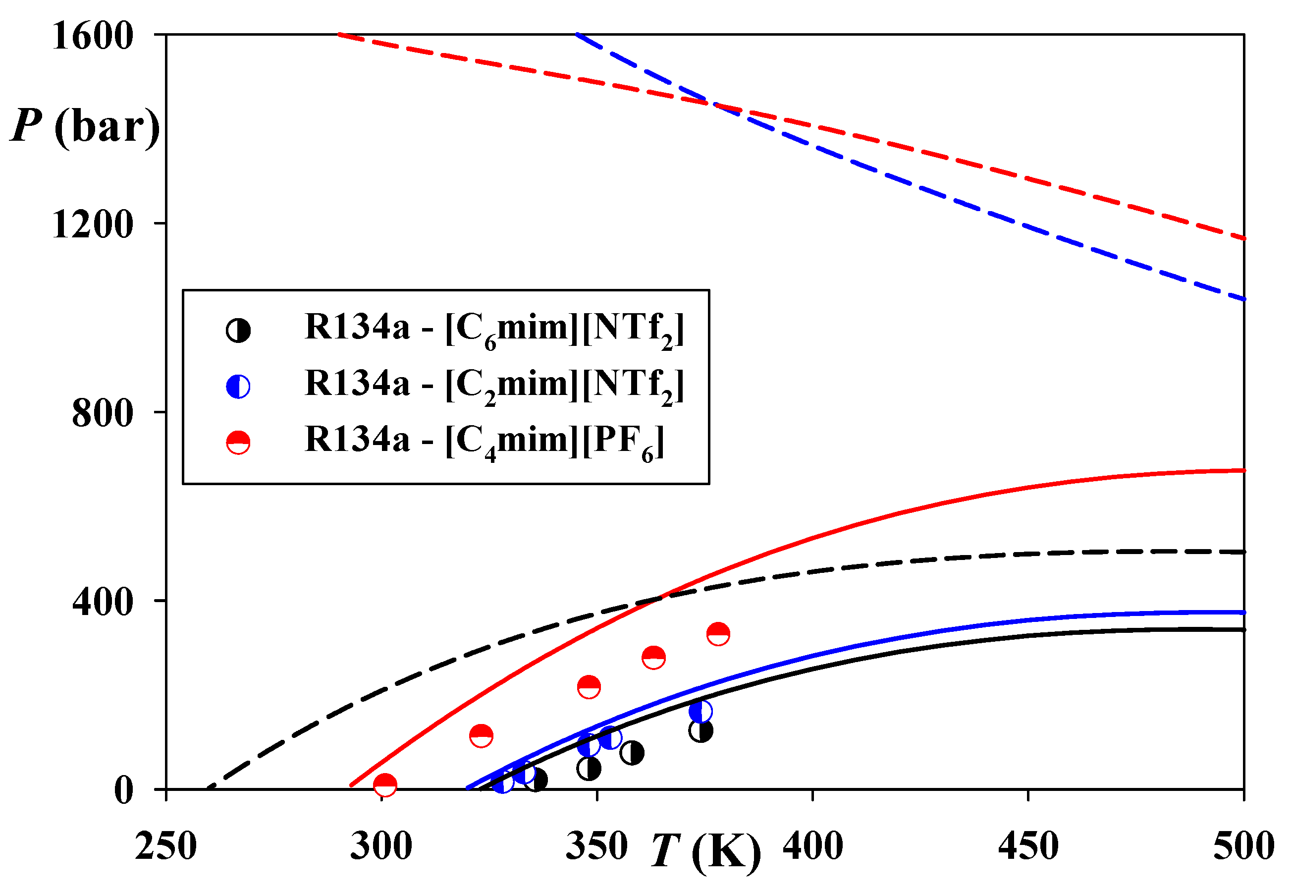
3. Results and Discussion
4. Conclusions
Author Contributions
Funding
Data Availability Statement
Conflicts of Interest
Sample Availability
References
- Lei, Z.; Dai, C.; Chen, B. Gas solubility in ionic liquids. Chem. Rev. 2014, 114, 1289–1326. [Google Scholar] [CrossRef]
- Maia, F.M.; Tsivintzelis, I.; Rodriguez, O.; Macedo, E.A.; Kontogeorgis, G.M. Equation of state modelling of systems with ionic liquids: Literature review and application with the Cubic Plus Association (CPA) model. Fluid Phase Equilib. 2012, 332, 128–143. [Google Scholar] [CrossRef]
- Domańska, U. Experimental data of fluid phase equilibria—Correlation and prediction models: A review. Processes 2019, 7, 277. [Google Scholar] [CrossRef]
- Ferreira, A.R.; Freire, M.G.; Ribeiro, J.C.; Lopes, F.M.; Crespo, J.G.; Coutinho, J.A.P. An overview of the liquid-liquid equilibria of (ionic liquid + hydrocarbon) binary systems and their modeling by the conductor-like screening model for real solvents. Ind. Eng. Chem. Res. 2011, 50, 5279–5294. [Google Scholar] [CrossRef]
- Ferreira, A.R.; Freire, M.G.; Ribeiro, J.C.; Lopes, F.M.; Crespo, J.G.; Coutinho, J.A.P. Overview of the liquid-liquid equilibria of ternary systems composed of ionic liquid and aromatic and aliphatic hydrocarbons, and their modeling by COSMO-RS. Ind. Eng. Chem. Res. 2012, 51, 3483–3507. [Google Scholar] [CrossRef]
- Paduszyński, K. Extensive evaluation of the conductor-like screening model for real solvents method in predicting liquid-liquid equilibria in ternary systems of ionic liquids with molecular compounds. J. Phys. Chem. B 2018, 122, 4016–4028. [Google Scholar] [CrossRef] [PubMed]
- Palomar, J.; Ferro, V.R.; Torrecilla, J.S.; Rodríguez, F. Density and molar volume predictions using COSMO-RS for ionic liquids. An approach to solvent design. Ind. Eng. Chem. Res. 2007, 46, 6041–6048. [Google Scholar] [CrossRef]
- Paduszyński, K.; Królikowska, M. Extensive evaluation of performance of the COSMO-RS approach in capturing liquid–liquid equilibria of binary mixtures of ionic liquids with molecular compounds. Ind. Eng. Chem. Res 2020, 59, 11851–11863. [Google Scholar] [CrossRef]
- Chen, Y.; Liu, X.; Woodley, J.M.; Kontogeorgis, G.M. Gas solubility in ionic liquids: UNIFAC-IL model extension. Ind. Eng. Chem. Res. 2020, 59, 16805–16821. [Google Scholar] [CrossRef]
- Shariati, A.; Peters, C.J. High-pressure phase behavior of systems with ionic liquids: Measurements and modeling of[ the binary system fluoroform + 1-ethyl-3-methylimidazolium hexafluorophosphate. J. Supercrit. Fluids 2003, 25, 109–117. [Google Scholar] [CrossRef]
- Shiflett, M.B.; Yokozeki, A. Vapor-liquid-liquid equilibria of hydrofluorocarbons + 1-butyl-3-methylimidazolium hexafluorophosphate. J. Chem. Eng. Data 2006, 51, 1931–1939. [Google Scholar] [CrossRef]
- Shiflett, M.B.; Yokozeki, A. Solubility differences of halocarbon isomers in ionic liquid [emim][Tf2N]. J. Chem. Eng. Data 2007, 52, 2007–2015. [Google Scholar] [CrossRef]
- Álvarez, V.H.; Aznar, M. Thermodynamic modeling of vapor–liquid equilibrium of binary systems ionic liquid + supercritical {CO2 or CHF3} and ionic liquid + hydrocarbons using Peng–Robinson equation of state. J. Chin. Inst. Chem. Eng. 2008, 39, 353–360. [Google Scholar] [CrossRef]
- Shiflett, M.B.; Yokozeki, A. Binary vapor–liquid and vapor–liquid–liquid equilibria of hydrofluorocarbons (HFC-125 and HFC-143a) and hydrofluoroethers (HFE-125 and HFE-143a) with ionic liquid [emim][Tf2N]. J. Chem. Eng. Data 2008, 53, 492–497. [Google Scholar] [CrossRef]
- Ren, W.; Scurto, A.M. Phase equilibria of imidazolium ionic liquids and the refrigerant gas, 1,1,1,2-tetrafluoroethane (R-134a). Fluid Phase Equilib. 2009, 286, 1–7. [Google Scholar] [CrossRef]
- Ren, W.; Scurto, A.; Shiflett, M.B.; Yokozeki, A. Phase behavior and equilibria of ionic liquids and refrigerants: 1-ethyl-3-methyl-imidazolium bis(trifluoromethylsulfonyl)imide ([EMim][Tf2N]) and R-134a. ACS Symp. Ser. 2009, 1006, 112–128. [Google Scholar]
- Yokozeki, A.; Shiflett, M.B. Gas solubilities in ionic liquids using a generic van der Waals equation of state. J. Supercrit. Fluids 2010, 55, 846–851. [Google Scholar] [CrossRef]
- Kim, S.; Patel, N.; Kohl, P.A. Performance simulation of ionic liquid and hydrofluorocarbon working fluids for an absorption refrigeration system. Ind. Eng. Chem. Res. 2013, 52, 6329–6335. [Google Scholar] [CrossRef]
- Freitas, A.C.D.; Cunico, L.P.; Aznar, M.; Guirardello, R. Modeling vapor liquid equilibrium of ionic liquids + gas binary systems at high pressure with cubic equations of state. Braz. J. Chem. Eng. 2013, 30, 63–73. [Google Scholar] [CrossRef]
- Shariati, A.; Ashrafmansouri, S.-S.; Haji Osbuei, M.; Hooshdaran, B. Critical properties and acentric factors of ionic liquids. Korean J. Chem. Eng. 2013, 30, 187–193. [Google Scholar] [CrossRef]
- Faúndez, C.A.; Barrientos, L.A.; Valderrama, J.O. Modeling and thermodynamic consistency of solubility data of refrigerants in ionic liquids. Int. J. Refrig. 2013, 36, 2242–2250. [Google Scholar] [CrossRef]
- Shiflett, M.B.; Corbin, D.R.; Elliott, B.A.; Yokozeki, A. Sorption of trifluoromethane in zeolites and ionic liquid. J. Chem. Thermodyn. 2013, 64, 40–49. [Google Scholar] [CrossRef]
- Kim, S.; Kohl, P.A. Analysis of [hmim][PF6] and [hmim][Tf2N] ionic liquids as absorbents for an absorption refrigeration system. Int. J. Refrig. 2014, 48, 105–113. [Google Scholar] [CrossRef]
- Panah, H.S. Modeling H2S and CO2 solubility in ionic liquids using the CPA equation of state through a new approach. Fluid Phase Equilib. 2017, 437, 155–165. [Google Scholar] [CrossRef]
- Shojaeian, A. Thermodynamic modeling of solubility of hydrogen sulfide in ionic liquids using Peng Robinson-Two State equation of state. J. Mol. Liq. 2017, 229, 591–598. [Google Scholar] [CrossRef]
- Shojaeian, A.; Fatoorehchi, H. Modeling solubility of refrigerants in ionic liquids using Peng Robinson-Two State equation of state. Fluid Phase Equilib. 2019, 486, 80–90. [Google Scholar] [CrossRef]
- Morais, A.R.C.; Harders, A.N.; Baca, K.R.; Olsen, G.M.; Befort, B.J.; Dowling, A.W.; Maginn, E.J.; Shiflett, M.B. Phase equilibria, diffusivities, and equation of state modeling of HFC-32 and HFC-125 in imidazolium-based ionic liquids for the separation of R-410A. Ind. Eng. Chem. Res. 2020, 59, 18222–18235. [Google Scholar] [CrossRef]
- Karakatsani, E.; Economou, I.; Kroon, M.C.; Witkamp, G.-J. TPC-PSAFT modeling of gas solubility in imidazolium-based ionic liquids. J. Phys. Chem. C 2007, 111, 15487–15492. [Google Scholar] [CrossRef]
- Chen, Y.; Mutelet, F.; Jaubert, J.-N. Modeling the solubility of carbon dioxide in imidazolium-based ionic liquids with the PC-SAFT equation of state. J. Phys. Chem. B 2012, 116, 14375–14388. [Google Scholar] [CrossRef] [PubMed]
- Paduszyński, K.; Domańska, U. Thermodynamic modeling of ionic liquid systems: Development and detailed overview of novel methodology based on the PC-SAFT. J. Phys. Chem. B 2012, 116, 5002–5018. [Google Scholar] [CrossRef]
- Alvarez, V.H.; Saldaña, M.D.A. Thermodynamic prediction of vapor–liquid equilibrium of supercritical CO2 or CHF3 + ionic liquids. J. Supercrit. Fluids 2012, 66, 29–35. [Google Scholar] [CrossRef]
- Llovell, F.; Oliveira, M.B.; Coutinho, J.A.P.; Vega, L.F. Solubility of greenhouse and acid gases on the [C4mim][MeSO4] ionic liquid for gas separation and CO2 conversion. Catal. Today 2015, 255, 87–96. [Google Scholar] [CrossRef]
- Sun, Y.; Schemann, A.; Held, C.; Lu, X.; Shen, G.; Ji, X. Modeling thermodynamic derivative properties and gas solubility of ionic liquids with ePC-SAFT. Ind. Eng. Chem. Res. 2019, 58, 8401–8417. [Google Scholar] [CrossRef]
- Parvaneh, K.; Rasoolzadeh, A.; Shariati, A. Modeling the phase behavior of refrigerants with ionic liquids using the QC-PC-SAFT equation of state. J. Mol. Liq. 2019, 274, 497–504. [Google Scholar] [CrossRef]
- Asensio-Delgado, S.; Jovell, D.; Zarca, G.; Urtiaga, A.; Llovell, F. Thermodynamic and process modeling of the recovery of R410A compounds with ionic liquids. Int. J. Refrig. 2020, 118, 365–375. [Google Scholar] [CrossRef]
- Albà, C.G.; Vega, L.F.; Llovell, F. Assessment on separating hydrofluoroolefins from hydrofluorocarbons at the azeotropic mixture R513A by using fluorinated ionic liquids: A Soft-SAFT study. Ind. Eng. Chem. Res. 2020, 59, 13315–13324. [Google Scholar] [CrossRef]
- Jovell, D.; Gómez, S.B.; Zakrzewska, M.E.; Nunes, A.V.M.; Araújo, J.M.M.; Pereiro, A.B.; Llovell, F. Insight on the solubility of R134a in fluorinated ionic liquids and deep eutectic solvents. J. Chem. Eng. Data 2020, 65, 4956–4969. [Google Scholar] [CrossRef]
- Sousa, J.M.M.V.; Granjo, J.F.O.; Queimada, A.J.; Ferreira, A.G.M.; Oliveira, N.M.C.; Fonseca, I.M.A. Solubilities of hydrofluorocarbons in ionic liquids: Experimental and modelling study. J. Chem. Thermodyn. 2014, 73, 36–43. [Google Scholar] [CrossRef]
- Polishuk, I. Implementation of CP-PC-SAFT for predicting thermodynamic properties and gas solubility in 1-alkyl-3-methylimidazolium bis(trifluoromethylsulfonyl)imide ionic liquids without fitting binary parameters. Ind. Eng. Chem. Res. 2017, 56, 7845–7857. [Google Scholar] [CrossRef]
- Loreno, M.; Reis, R.A.; Mattedi, S.; Paredes, M.L.L. Predicting the solubility of carbon dioxide or methane in imidazolium-based ionic liquids with GC-sPC-SAFT equation of state. Fluid Phase Equilib. 2019, 479, 85–98. [Google Scholar] [CrossRef]
- Polishuk, I. Wide-ranging prediction of phase behavior in complex systems by CP-PC-SAFT with universal kij values. I. Mixtures of non-associating compounds with [C2mim][EtSO4], [C4mim][MeSO4], and [C2mim][MeSO3] ionic liquids. J. Mol. Liq. 2020, 310, 113266. [Google Scholar] [CrossRef]
- Polishuk, I.; Chiko, A.; Cea-Klapp, E.; Garrido, J.M. Implementation of CP-PC-SAFT and CS-SAFT-VR-Mie for predicting thermodynamic properties of C1-C3 halocarbon systems. II. Inter-relation between solubilities in ionic liquids, their PVT and critical constants. Ind. Eng. Chem. Res. 2021, 60, 13084–13093. [Google Scholar] [CrossRef]
- Polishuk, I. Standardized critical point-based numerical solution of statistical association fluid theory parameters: The perturbed chain-statistical association fluid theory equation of state revisited. Ind. Eng. Chem. Res. 2014, 53, 14127–14141. [Google Scholar] [CrossRef]
- Lafitte, T.; Apostolakou, A.; Avendaño, C.; Galindo, A.; Adjiman, C.S.; Müller, E.A.; Jackson, G. Accurate Statistical Associating Fluid Theory for Chain Molecules Formed from Mie Segments. J. Chem. Phys. 2013, 139, 154504. [Google Scholar] [CrossRef] [PubMed]
- Gross, J.; Sadowski, G. Perturbed-chain SAFT: An equation of state based on a perturbation theory for chain molecules. Ind. Eng. Chem. Res. 2001, 40, 1244–1260. [Google Scholar] [CrossRef]
- Polishuk, I. About the Numerical Pitfalls Characteristic for SAFT EOS Models. Fluid Phase Equilib. 2010, 298, 67–74. [Google Scholar] [CrossRef]
- Privat, R.; Gani, R.; Jaubert, J.-N. Are safe results obtained when the PC-SAFT equation of state is applied to ordinary pure chemicals? Fluid Phase Equilib. 2010, 295, 76–92. [Google Scholar] [CrossRef]
- Privat, R.; Conte, E.; Jaubert, J.-N.; Gani, R. Are safe results obtained when the PC-SAFT equation of state is applied to ordinary pure chemicals? Part 2: Study of solid-liquid equilibria in binary systems. Fluid Phase Equilib. 2012, 318, 61–76. [Google Scholar] [CrossRef]
- Polishuk, I.; Privat, P.; Jaubert, J.-N. Novel methodology for analysis and evaluation of SAFT-Type equations of state. Ind. Eng. Chem. Res. 2013, 52, 13875–13885. [Google Scholar] [CrossRef]
- Sun, Y.; Zuo, Z.; Laaksonen, A.; Lu, X.; Ji, X. How to detect possible pitfalls in ePC-SAFT modelling: Extension to ionic liquids. Fluid Phase Equilib. 2020, 519, 112641. [Google Scholar] [CrossRef]
- Sun, Y.; Laaksonen, A.; Lu, X.; Ji, X. How to Detect Possible Pitfalls in ePC-SAFT Modeling. 2. Extension to Binary Mixtures of 96 Ionic Liquids with CO2, H2S, CO, O2, CH4, N2, and H2. Ind. Eng. Chem. Res. 2020, 59, 21579–21591. [Google Scholar] [CrossRef]
- Blas, F.J.; Galindo, A. Study of the high pressure phase behaviour of CO2+n-alkane mixtures using the SAFT-VR approach with transferable parameters. Fluid Phase Equilib. 2002, 194–197, 501–509. [Google Scholar] [CrossRef][Green Version]
- Cismondi, M.; Brignole, E.A.; Mollerup, J. Rescaling of three-parameter equations of state: PC-SAFT and SPHCT. Fluid Phase Equilib. 2005, 234, 108–121. [Google Scholar] [CrossRef]
- Design Institute for Physical Property Research/AIChE. Design Institute for Physical Properties, Sponsored by AIChE. (2005; 2008; 2009; 2010; 2011; 2012; 2015; 2016; 2017; 2018; 2019; 2020). DIPPR Project 801—Full Version. Design Institute for Physical Property Research/AIChE. Available online: https://app.knovel.com/hotlink/toc/id:kpDIPPRPF7/dippr-project-801-full/dippr-project-801-full (accessed on 9 October 2021).
- Mejía, A.; Herdes, C.; Müller, E.A. Force fields for coarse-grained molecular simulations from a corresponding states correlation. Ind. Eng. Chem. Res. 2014, 53, 4131–4141. [Google Scholar] [CrossRef]
- Polishuk, I.; Chiko, A.; Cea-Klapp, E.; Garrido, J.M. Implementation of CP-PC-SAFT and CS-SAFT-VR-Mie for predicting thermodynamic properties of C1-C3 halocarbon systems. I. Pure compounds and mixtures with nonassociating compounds. Ind. Eng. Chem. Res. 2021, 60, 9624–9636. [Google Scholar] [CrossRef]
- Kumełan, J.; Pérez-Salado Kamps, A.́.; Tuma, D.; Maurer, G. Solubility of the single gases carbon monoxide and oxygen in the ionic liquid [hmim][Tf2N]. J. Chem. Eng. Data 2009, 54, 966–971. [Google Scholar] [CrossRef]
- Florusse, L.J.; Raeissi, S.; Peters, C.J. An IUPAC task group study: The solubility of carbon monoxide in [hmim][Tf2N] at high pressures. J. Chem. Eng. Data 2011, 56, 4797–4799. [Google Scholar] [CrossRef]
- Raeissi, S.; Florusse, L.J.; Peters, C.J. Purification of flue gas by ionic liquids: Carbon monoxide capture in [bmim][Tf2N]. AIChE J. 2013, 59, 3886–3891. [Google Scholar] [CrossRef]
- Kumełan, J.; Pérez-Salado Kamps, Á.; Tuma, D.; Maurer, G. Solubility of CO in the ionic liquid [bmim][PF6]. Fluid Phase Equilib. 2005, 228–229, 207–211. [Google Scholar] [CrossRef]
- Afzal, W.; Liu, X.; Prausnitz, J.M. Solubilities of some gases in four immidazolium-based ionic liquids. J. Chem. Thermodyn. 2013, 63, 88–94. [Google Scholar] [CrossRef]
- Kumełan, J.; Pérez-Salado Kamps, Á.; Urukova, I.; Tuma, D.; Maurer, G. Solubility of oxygen in the ionic liquid [bmim][PF6]: Experimental and molecular simulation results. J. Chem. Thermodyn. 2005, 37, 595–602. [Google Scholar] [CrossRef]
- Kumełan, J.; Pérez-Salado Kamps, Á.; Tuma, D.; Maurer, G. Solubility of the single gases methane and xenon in the ionic liquid [hmim][Tf2N]. Ind. Eng. Chem. Res. 2007, 46, 8236–8240. [Google Scholar] [CrossRef]
- Raeissi, S.; Peters, C.J. High pressure phase behaviour of methane in 1-butyl-3-methylimidazolium bis(trifluoromethylsulfonyl)imide. Fluid Phase Equilib. 2010, 294, 67–71. [Google Scholar] [CrossRef]
- Anthony, J.L.; Maginn, E.J.; Brennecke, J.F. Solubilities and thermodynamic properties of gases in the ionic liquid 1-n-butyl-3-methylimidazolium hexafluorophosphate. J. Phys. Chem. B 2002, 106, 7315–7320. [Google Scholar] [CrossRef]
- Jalili, A.H.; Safavi, M.; Ghotbi, C.; Mehdizadeh, A.; Hosseini-Jenab, M.; Taghikhani, V. Solubility of CO2, H2S, and their mixture in the ionic liquid 1-octyl-3-methylimidazolium bis(trifluoromethyl)sulfonylimide. J. Phys. Chem. B 2012, 116, 2758–2774. [Google Scholar] [CrossRef]
- Rahmati-Rostami, M.; Ghotbi, C.; Hosseini-Jenab, M.; Ahmadi, A.N.; Jalili, A.H. Solubility of H2S in ionic liquids [hmim][PF6], [hmim][BF4], and [hmim][Tf2N]. J. Chem. Thermodyn. 2009, 41, 1052–1055. [Google Scholar] [CrossRef]
- Sakhaeinia, H.; Jalili, A.H.; Taghikhani, V.; Safekordi, A.A. Solubility of H2S in ionic liquids 1-ethyl-3-methylimidazolium hexafluorophosphate ([emim][PF6]) and 1-ethyl-3-methylimidazolium bis(trifluoromethyl)sulfonylimide ([emim][Tf2N]). J. Chem. Eng. Data 2010, 55, 5839–5845. [Google Scholar] [CrossRef]
- Jalili, A.H.; Rahmati-Rostami, M.; Ghotbi, C.; Hosseini-Jenab, M.; Ahmadi, A.N. Solubility of H2S in ionic liquids [bmim][PF6], [bmim][BF4], and [bmim][Tf2N]. J. Chem. Eng. Data 2009, 54, 1844–1849. [Google Scholar] [CrossRef]
- Jiang, Y.-Y.; Zhou, Z.; Jiao, Z.; Li, L.; Wu, Y.-T.; Zhang, Z.-B. SO2 Gas separation using supported ionic liquid membranes. J. Phys. Chem. B 2007, 111, 5058–5061. [Google Scholar] [CrossRef]
- Minnick, D.L.; Shiflett, M.B. Solubility and diffusivity of chlorodifluoromethane in imidazolium ionic liquids: [emim][Tf2N], [bmim][BF4], [bmim][PF6], and [emim][TFES]. Ind. Eng. Chem. Res. 2019, 58, 11072–11081. [Google Scholar] [CrossRef]
- Shariati, A.; Gutkowski, K.; Peters, C.J. Comparison of the phase behavior of some selected binary systems with ionic liquids. AIChE J. 2005, 51, 1532–1540. [Google Scholar] [CrossRef]
- Yokozeki, A.; Shiflett, M.B. Global phase behaviors of trifluoromethane in ionic liquid [bmim][PF6]. AIChE J. 2006, 52, 3952–3957. [Google Scholar] [CrossRef]
- Shiflett, M.B.; Yokozeki, A. Solubility and diffusivity of hydrofluorocarbons in room-temperature ionic liquids. AIChE J. 2006, 52, 1205–1219. [Google Scholar] [CrossRef]
- Shiflett, M.B.; Yokozeki, A. Vapor-liquid-liquid equilibria of pentafluoroethane and ionic liquid [bmim][PF6] mixtures studied with the volumetric method. J. Phys. Chem. B 2006, 110, 14436–14443. [Google Scholar] [CrossRef]
- Liu, X.; He, M.; Lv, N.; Qi, X.; Su, C. Vapor-liquid equilibrium of three hydrofluorocarbons with [HMIM][Tf2N]. J. Chem. Eng. Data 2015, 60, 1354–1361. [Google Scholar] [CrossRef]
- Fallanza, M.; Ortiz, A.; Gorri, D.; Ortiz, I. Propylene and propane solubility in imidazolium, pyridinium, and tetralkylammonium based ionic liquids containing a silver salt. J. Chem. Eng. Data 2013, 58, 2147–2153. [Google Scholar] [CrossRef]
- Lepre, L.F.; Andre, D.; Denis-Quanquin, S.; Gautier, A.; Pádua, A.A.H.; Costa Gomes, M.F. Ionic liquids can enable the recycling of fluorinated greenhouse gases. ACS Sustain. Chem. Eng. 2019, 7, 16900–16906. [Google Scholar] [CrossRef]
- Sun, Y.; Zhang, Y.; Wang, X.; Prausnitz, J.M.; Jin, L. Vapor-liquid equilibria for R1234ze(E) and three imidazolium-based ionic liquids as working pairs in absorption-refrigeration cycle. J. Chem. Eng. Data 2018, 63, 3053–3060. [Google Scholar] [CrossRef]
- Wang, X.; Zhang, Y.; Wang, D.; Sun, Y. Phase equilibria of trans-1,3,3,3-tetrafluoropropene with three imidazolium ionic liquids. J. Chem. Eng. Data 2017, 62, 1825–1831. [Google Scholar] [CrossRef]
- Van Konynenburg, P.H.; Scott, R.L. Critical lines and phase equilibria in binary Van der Waals mixtures. Philos. Trans. R. Soc. Lond. Ser. A 1980, 298, 495–540. [Google Scholar] [CrossRef]
- Privat, R.; Jaubert, J.-N. Classification of global fluid-phase equilibrium behaviors in binary systems. Chem. Eng. Res. Des. 2013, 81, 1807–1839. [Google Scholar] [CrossRef]
- Shiflett, M.B.; Yokozeki, A. Hydrogen substitution effect on the solubility of perhalogenated compounds in ionic liquid [bmim][PF6]. Fluid Phase Equilib. 2007, 259, 210–217. [Google Scholar] [CrossRef]
- Ren, W.; Scurto, A.M. Global phase behavior of imidazolium ionic liquids and compressed 1,1,1,2-Tetrafluoroethane (R-134a). AIChE J. 2009, 55, 486–493. [Google Scholar] [CrossRef]






| CP-PC-SAFT | CS-SAFT-VR-Mie (λa = 6) | |||||||
|---|---|---|---|---|---|---|---|---|
| Compound | m | σ [Å] | ε/kb [K] | m | λr | σ [Å] | ε/kb [K] | ΔP |
| CO | 0.9983 | 3.6437 | 99.474 | 1 | 21.38 | 3.6901 | 132.62 | 1.082 |
| O2 | 1.0546 | 3.3055 | 112.98 | 1 | 17.95 | 3.4069 | 144.09 | 1.091 |
| CH4 | 1.0001 | 3.7476 | 142.51 | 1 | 16.40 | 3.7532 | 170.81 | 1.096 |
| H2S | 1.2332 | 3.4229 | 254.04 | 1 | 26.69 | 3.7944 | 401.27 | 1.114 |
| C3H8 | 2.4144 | 3.3918 | 184.37 | 2 | 11.82 | 3.6531 | 205.57 | 1.084 |
| SO2 | 3.3034 | 2.5760 | 189.41 | 2 | 15.74 | 3.0908 | 287.98 | 1.136 |
| R22 | 3.2452 | 2.8738 | 163.48 | 2 | 14.426 | 3.4262 | 234.54 | 1.130 |
| R23 | 4.2360 | 2.4331 | 120.42 | 2 | 16.838 | 3.1792 | 207.36 | 1.191 |
| R114 | 2.0403 | 4.1115 | 224.78 | 2 | 16.119 | 4.1764 | 283.70 | 1.084 |
| R123 | 3.0540 | 3.4931 | 207.02 | 2 | 18.043 | 4.1005 | 328.26 | 1.119 |
| R124 | 3.3472 | 3.2173 | 173.12 | 2 | 18.416 | 3.9345 | 287.09 | 1.104 |
| R125 | 3.2728 | 3.0946 | 149.66 | 2 | 19.755 | 3.7421 | 254.23 | 1.124 |
| R134a | 3.9726 | 2.8502 | 154.00 | 2 | 21.627 | 3.6783 | 291.35 | 1.185 |
| R1234ze(E) | 2.9581 | 3.3370 | 175.47 | 2 | 21.342 | 3.8871 | 296.26 | 1.134 |
| CP-PC-SAFT | SAFT-VR-Mie (λa = 6, λr = 12) | |||||||||
|---|---|---|---|---|---|---|---|---|---|---|
| Compound | m | σ (Å) | Tc (K) | Pc (bar) | m | σ (Å) | Tc (K) | Pc (bar) | ||
| [C8mim][NTf2] | m = −7.2461 + 0.0408 Mw σ = 3.5748 − 0.00012 Mw ε/kb = 382.8867 − 0.2656 Mw | 834.2 | 10.32 | 9.3326 | 3.8650 | 343.69 | 1030.0 | 14.39 | ||
| [C6mim][NTf2] | 841.8 | 12.08 | 8.7544 | 3.8168 | 341.63 | 1007.0 | 15.94 | |||
| [C4mim][NTf2] | 846.1 | 14.28 | 8.1763 | 3.7685 | 351.58 | 1017.7 | 18.36 | |||
| [C2mim][NTf2] | 846.0 | 17.05 | 7.5981 | 3.7203 | 370.44 | 1051.1 | 21.76 | |||
| [C8mim][BF4] | 8.4287 | 3.5692 | 298.31 | 897.6 | 18.35 | 6.8632 | 3.8455 | 381.50 | 1051.8 | 22.60 |
| [C4mim][PF6] | 6.8113 | 3.5923 | 325.28 | 929.0 | 25.10 | 5.4343 | 3.8993 | 418.22 | 1074.9 | 30.26 |
| [C4mim][BF4] | 5.9300 | 3.6426 | 338.02 | 930.0 | 29.04 | 4.9271 | 3.8976 | 426.40 | 1062.2 | 34.09 |
Publisher’s Note: MDPI stays neutral with regard to jurisdictional claims in published maps and institutional affiliations. |
© 2021 by the authors. Licensee MDPI, Basel, Switzerland. This article is an open access article distributed under the terms and conditions of the Creative Commons Attribution (CC BY) license (https://creativecommons.org/licenses/by/4.0/).
Share and Cite
Chiko, A.; Polishuk, I.; Cea-Klapp, E.; Garrido, J.M. Comparison of CP-PC-SAFT and SAFT-VR-Mie in Predicting Phase Equilibria of Binary Systems Comprising Gases and 1-Alkyl-3-methylimidazolium Ionic Liquids. Molecules 2021, 26, 6621. https://doi.org/10.3390/molecules26216621
Chiko A, Polishuk I, Cea-Klapp E, Garrido JM. Comparison of CP-PC-SAFT and SAFT-VR-Mie in Predicting Phase Equilibria of Binary Systems Comprising Gases and 1-Alkyl-3-methylimidazolium Ionic Liquids. Molecules. 2021; 26(21):6621. https://doi.org/10.3390/molecules26216621
Chicago/Turabian StyleChiko, Asaf, Ilya Polishuk, Esteban Cea-Klapp, and José Matías Garrido. 2021. "Comparison of CP-PC-SAFT and SAFT-VR-Mie in Predicting Phase Equilibria of Binary Systems Comprising Gases and 1-Alkyl-3-methylimidazolium Ionic Liquids" Molecules 26, no. 21: 6621. https://doi.org/10.3390/molecules26216621
APA StyleChiko, A., Polishuk, I., Cea-Klapp, E., & Garrido, J. M. (2021). Comparison of CP-PC-SAFT and SAFT-VR-Mie in Predicting Phase Equilibria of Binary Systems Comprising Gases and 1-Alkyl-3-methylimidazolium Ionic Liquids. Molecules, 26(21), 6621. https://doi.org/10.3390/molecules26216621

