Molecular Docking, DFT Calculations, Effect of High Energetic Ionizing Radiation, and Biological Evaluation of Some Novel Metal (II) Heteroleptic Complexes Bearing the Thiosemicarbazone Ligand
Abstract
:1. Introduction
2. Experimental
2.1. Material and Methods
2.2. Synthesis of Metal Complexes
2.3. Physical Measurement
2.4. Computational Study
2.5. Irradiation Studies
2.6. Antimicrobial Assay
2.7. Cytotoxicity Assays
3. Results and Discussion
3.1. Physicochemical Properties
3.2. FT-IR
3.2.1. IR Spectra of the Pb(II) Complexes
3.2.2. IR Spectra of Mn(II) Complexes
3.2.3. IR Spectra of Hg (II) Complexes
3.2.4. IR Spectra of Zn(II) Complexes
3.3. Electronic Spectral Bands
3.4. PXRD of the Ligand and Metal Complexes
3.5. Mass Spectra
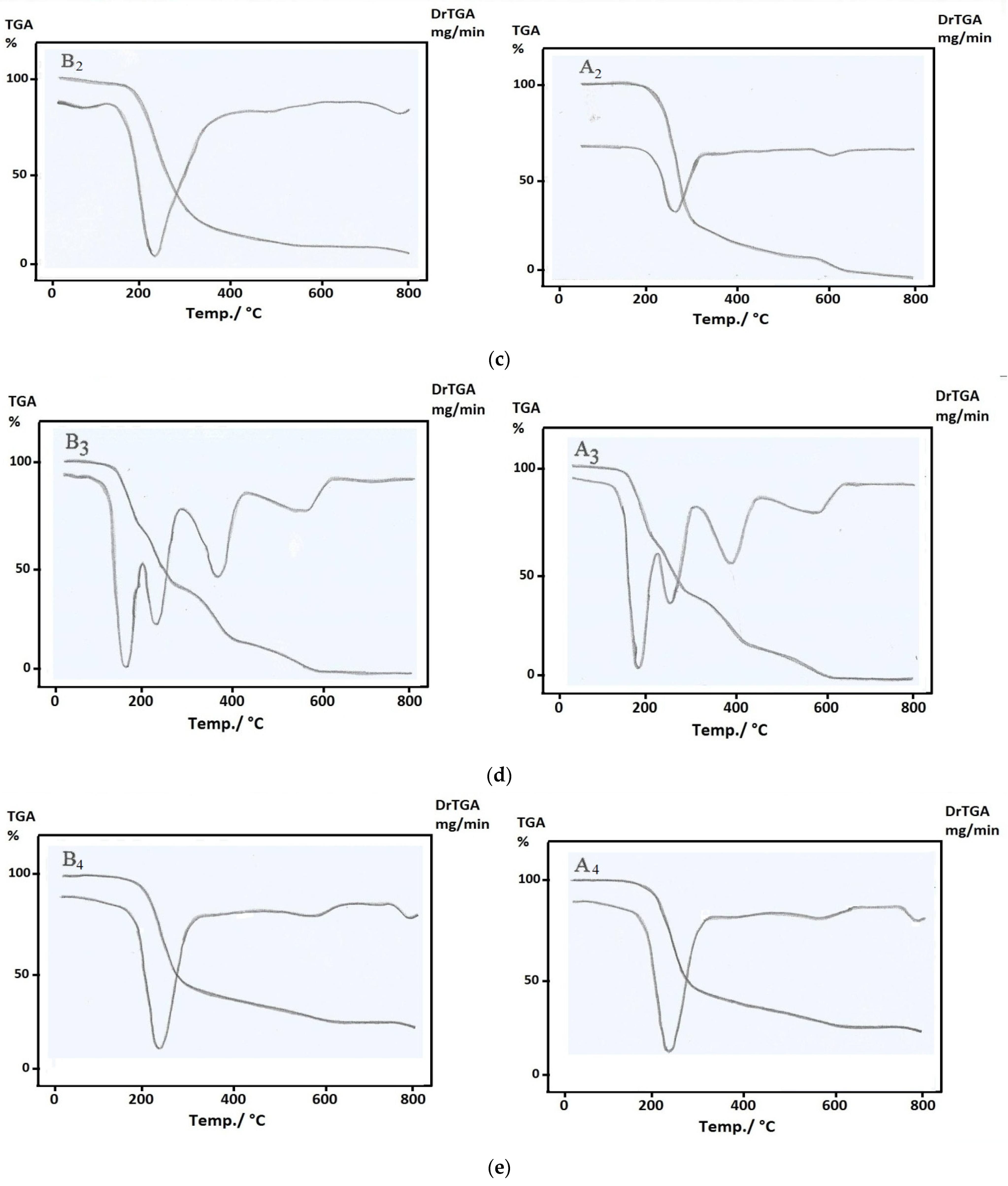
3.6. Thermal Analysis
3.7. DFT Calculations of the Ligand and Metal Complexes
3.8. Biological Applications
3.8.1. Antimicrobial Activity
3.8.2. Cytotoxicity
3.8.3. Molecular Docking Studies
4. Conclusions
- The ligand behaves as a monobasic or neutral tetradentate in complexes B1, B2, and B4, while complex (B3) is binuclear.
- The DFT study showed the suggested geometrical structures of our compounds.
- Based on the results obtained from the FT-IR spectra of complexes before (B1–B4) and after (A1–A4) irradiation, the band of spectra after irradiation was sharper than before.
- No significant change was detected in the structures, and only a slight shift in the wavelength and the absorbance after the exposure to gamma-ray.
- According to the powder X-ray results, it was noticed that the calculated crystalline size of the ligand and complexes fell within the nano range.
- Mn(II) complex after irradiation against the human liver cancer cell line (HepG2) reflected higher anti-cancer activity than the ligand and Zn(II) complexes.
- The molecular docking showed that all the compounds have a potential antitumor effect, especially the Hg chelate with a more negative scoring energy value, which is expected to inhibit the active site of mitogen activated kinase (MK-2).
Supplementary Materials
Author Contributions
Funding
Institutional Review Board Statement
Informed Consent Statement
Data Availability Statement
Conflicts of Interest
References
- Chen, J.; Huang, Y.-W.; Liu, G.; Afrasiabi, Z.; Sinn, E.; Padhye, S.; Ma, Y. The Cytotoxicity and Mechanisms of 1, 2-Naphthoquinone Thiosemicarbazone and its Metal Derivatives Against Mcf-7 Human Breast Cancer Cells. Toxicol. Appl. Pharmacol. 2004, 197, 40–48. [Google Scholar] [CrossRef] [PubMed]
- Murphy, M.B.; Mercer, S.L.; Deweese, J.E. Inhibitors and Poisons of Mammalian Type Ii Topoisomerases. In Advances In Molecular Toxicology; Elsevier: Amsterdam, The Netherlands, 2017; Volume 11, pp. 203–240. [Google Scholar]
- Ateş, D.; Gulcan, M.; Gümüş, S.; Şekerci, M.; Özdemir, S.; Şahin, E.; Çolak, N. Synthesis of Bis (Thiosemicarbazone) Derivatives: Definition, Crystal Structure, Biological Potential and Computational Analysis. Phosphorus Sulfur Relat. Elem. 2018, 193, 14–22. [Google Scholar] [CrossRef]
- Ramachandran, R.; Rani, M.; Kabilan, S. Design, Synthesis and Biological Evaluation of Novel 2-[(2, 4-Diaryl-3-Azabicyclo [3.3. 1] Nonan-9-Ylidene) Hydrazono]-1, 3-Thiazolidin-4-Ones as a New Class of Antimicrobial Agents. Bioorg. Med. Chem. Lett. 2009, 19, 2819–2823. [Google Scholar] [CrossRef] [PubMed]
- Kovala-Demertzi, D.; Miller, J.R.; Kourkoumelis, N.; Hadjikakou, S.K.; Demertzis, M.A. Palladium (Ii) and Platinum (Ii) Complexes of Pyridine-2-Carbaldehyde Thiosemicarbazone with Potential Biological Activity. Synthesis, Structure and Spectral Properties. Extended Network via Hydrogen Bond Linkages of [Pd (Pytsc) Cl]. Polyhedron 1999, 18, 1005–1013. [Google Scholar] [CrossRef]
- Finch, R.A.; Liu, M.-C.; Grill, S.P.; Rose, W.C.; Loomis, R.; Vasquez, K.M.; Cheng, Y.-C.; Sartorelli, A.C. Triapine (3-Aminopyridine-2-Carboxaldehyde-Thiosemicarbazone): A Potent Inhibitor of Ribonucleotide Reductase Activity with Broad Spectrum Antitumor Activity. Biochem. Pharmacol. 2000, 59, 983–991. [Google Scholar] [CrossRef]
- Sharma, S.; Athar, F.; Maurya, M.R.; Azam, A. Copper (Ii) Complexes with Substituted Thiosemicarbazones of Thiophene-2-Carboxaldehyde: Synthesis, Characterization and Antiamoebic Activity Against E. Histolytica. Eur. J. Med. Chem. 2005, 40, 1414–1419. [Google Scholar] [CrossRef] [PubMed]
- Parrilha, G.L.; Da Silva, J.G.; Gouveia, L.F.; Gasparoto, A.K.; Dias, R.P.; Rocha, W.R.; Santos, D.A.; Speziali, N.L.; Beraldo, H. Pyridine-Derived Thiosemicarbazones and Their Tin (Iv) Complexes with Antifungal Activity against Candida Spp. Eur. J. Med. Chem. 2011, 46, 1473–1482. [Google Scholar] [CrossRef]
- Alomar, K.; Gaumet, V.; Allain, M.; Bouet, G.; Landreau, A. Synthesis, Crystal Structure, Characterisation, and Antifungal Activity of 3-Thiophene Aldehyde Semicarbazone (3stch), 2, 3-Thiophene Dicarboxaldehyde Bis (Semicarbazone) (2, 3bstch2) and Their Nickel (Ii) Complexes. J. Inorg. Biochem. 2012, 115, 36–43. [Google Scholar] [CrossRef] [Green Version]
- Usman, A.; Razak, I.A.; Chantrapromma, S.; Fun, H.-K.; Sreekanth, A.; Sivakumar, S.; Prathapachandra Kurup, M. Bis [1-(Pyridin-2-Yl) Ethanone-Κn 4-Phenylthiosemicarbazonato-Κ2n4, S] Manganese (Ii). Acta Crystallogr., Sect. C: Cryst. Struct. Commun. 2002, 58, M461–M463. [Google Scholar] [CrossRef]
- Kaya, B.; Yılmaz, Z.K.; Şahin, O.; Aslim, B.; Tükenmez, Ü.; Ülküseven, B. Structural Analysis and Biological Functionalities of Iron (Iii)–and Manganese (Iii)–Thiosemicarbazone Complexes: In Vitro Anti-Proliferative Activity on Human Cancer Cells, Dna Binding and Cleavage Studies. J. Biol. Inorg. Chem. 2019, 24, 365–376. [Google Scholar] [CrossRef]
- Kumar, L.V.; Nath, G.R. Synthesis, Characterization and Biological Studies of Cobalt (Ii), Nickel (Ii), Copper (Ii) and Zinc (Ii) Complexes of Vanillin-4-Methyl-4-Phenyl-3-Thiosemicarbazone. J. Chem. Sci. 2019, 131, 1–13. [Google Scholar] [CrossRef] [Green Version]
- El-Boraey, H.A.; Mansour, A.I. Synthesis, Spectral and Gamma Ray Irradiation Studies on Metal Complexes of N, N′-Naphthalene-1, 8-Diylbis (2-Aminobenzamide). Inorg. Nano-Met. Chem. 2018, 48, 8–15. [Google Scholar] [CrossRef]
- El-Boraey, H.; El-Gammal, O.; Sattar, N.A. Impact of Gamma-Ray Irradiation on Some Aryl-Amide-Bridged Schiff-Base Complexes: Spectral, Tga, Xrd, and Antioxidant Properties. J. Radioanal. Nucl. Chem. 2020, 323, 241–252. [Google Scholar] [CrossRef]
- Marzouk, M.; Elbatal, F.; Abdelghany, A. Ultraviolet and Infrared Absorption Spectra of Cr2O3 Doped–Sodium Metaphosphate, Lead Metaphosphate and Zinc Metaphosphate Glasses and Effects of Gamma Irradiation: A Comparative Study. Spectrochim. Acta A Mol. Biomol. Spectrosc. 2013, 114, 658–667. [Google Scholar] [CrossRef] [PubMed]
- Neacsu, A.; Gheorghe, D.; Marinescu, C.; Stancu, E.; Tecuceanu, V.; Ciuculescu, C. The Effect of Gamma Rays Upon L-Proline and 4-Hydroxy-L-Proline. A Thermochemical Study. Radiat. Phys. Chem. 2019, 156, 115–127. [Google Scholar] [CrossRef]
- Aly, S.; El-Boraey, H.A. Effect of Gamma Irradiation on Spectral, Xrd, Sem, Dna Binding, Molecular Modling and Antibacterial Property of Some (Z) N-(Furan-2-Yl) Methylene)-2-(Phenylamino) Acetohydrazide Metal (Ii) Complexes. J. Mol. Struct 2019, 1185, 323–332. [Google Scholar] [CrossRef]
- Aly, S.A.; Eldourghamy, A.S. Synthesis, Characterization of New Copper Complexes of Thiosemicarbazone Derivatives and Their Biological Activities. Int. J. Res. Chem. Environ. 2017, 7, 38–46. [Google Scholar]
- Basset, J.; Denney, R.; Jeffery, G.; Mendham, J. Vogel’s Textbook of Quantitative Inorganic Analysis. Longman Group Ltd. 1978, 319. [Google Scholar]
- Nair, M.; Appukuttan, A.S. Syntheses, Spectral, Surface Morphological and Gamma Ray Irradiation Studies of Some Oxomolybdenum (V) and Dioxomolybdenum (Vi) Complexes of an Azo Dye Derived from 4-Aminoantipyrine. J. Korean Chem. Soc. 2012, 56, 217–227. [Google Scholar] [CrossRef]
- Hassan, S.S. Antibacterial, Dft and Molecular Docking Studies of Rh (Iii) Complexes of Coumarinyl-Thiosemicarbazone Nuclei Based Ligands. Appl. Organomet. Chem. 2018, 32, E4170. [Google Scholar] [CrossRef]
- Hassan, S.S.; Gomha, S.M. Novel Functionalized Thiosemicarbazone Ligands and Their Pd (Ii) Complexes: Synthesis, Characterization, Antibacterial and Cytotoxic Activities. Chem. Pap. 2019, 73, 331–344. [Google Scholar] [CrossRef]
- Sapundzhi, F.; Dzimbova, T. Computer Modelling of The Cb1 Receptor by Molecular Operating Environment. Bulg. Chem. Commun. 2018, 50, 15–19. [Google Scholar]
- Aly, S.A.; Elganzory, H.H.; Mahross, M.H.; Abdalla, E.M. Quantum Chemical Studies and Effect of Gamma Irradiation on the Spectral, Thermal, X-Ray Diffraction and Dna Interaction with Pd (Ii), Cu (I), and Cd (Ii) of Hydrazone Derivatives. Appl. Organomet. Chem. 2021, 35, E6153. [Google Scholar] [CrossRef]
- Balouiri, M.; Sadiki, M.; Ibnsouda, S.K. Methods for in vitro Evaluating Antimicrobial Activity: A Review. J. Pharm. Anal. 2016, 6, 71–79. [Google Scholar] [CrossRef] [Green Version]
- Melloul, E.; Roisin, L.; Durieux, M.-F.; Woerther, P.-L.; Jenot, D.; Risco, V.; Guillot, J.; Dannaoui, E.; Decousser, J.-W.; Botterel, F. Interactions of Aspergillus Fumigatus and Stenotrophomonas Maltophilia in an in vitro Mixed Biofilm Model: Does The Strain Matter? Front. Microbiol. 2018, 9, 2850. [Google Scholar] [CrossRef] [Green Version]
- Abdalla, E.M.; Abdel Rahman, L.H.; Abdelhamid, A.A.; Shehata, M.R.; Alothman, A.A.; Nafady, A. Synthesis, Characterization, Theoretical Studies, And Antimicrobial/Antitumor Potencies of Salen and Salen/Imidazole Complexes of Co (Ii), Ni (Ii), Cu (Ii), Cd (Ii), Al (Iii) and La (Iii). Appl. Organomet. Chem. 2020, 34, E5912. [Google Scholar] [CrossRef]
- Al-Farhan, B.S.; Basha, M.T.; Abdel Rahman, L.H.; El-Saghier, A.M.; El-Ezz, A.; Marzouk, A.A.; Shehata, M.R.; Abdalla, E.M. Synthesis, Dft Calculations, Antiproliferative, Bactericidal Activity and Molecular Docking of Novel Mixed-Ligand Salen/8-Hydroxyquinoline Metal Complexes. Molecules 2021, 26, 4725. [Google Scholar] [CrossRef]
- Geary, W.J. The Use of Conductivity Measurements in Organic Solvents for the Characterisation of Coordination Compounds. Coord. Chem. Rev. 1971, 7, 81–122. [Google Scholar] [CrossRef]
- Abou Sekkina, M.M.; Kashar, T.I.; Aly, S.A. Spectrochemical Study and Effect of High Energatic Gamma Ray on Copper (Ii) Complexes. Solid State Sci. 2011, 13, 2080–2085. [Google Scholar] [CrossRef]
- Shankarwar, S.G.; Nagolkar, B.B.; Shelke, V.A.; Chondhekar, T.K. Synthesis, Spectral, Thermal and Antimicrobial Studies of Transition Metal Complexes of 14-Membered Tetraaza [N4] Macrocyclic Ligand. Spectrochim. Acta A Mol. Biomol. Spectrosc. 2015, 145, 188–193. [Google Scholar] [CrossRef]
- El-Boraey, H.A.; El-Gammal, O.A. New 15-Membered Tetraaza (N4) Macrocyclic Ligand and its Transition Metal Complexes: Spectral, Magnetic, Thermal and Anticancer Activity. Spectrochim. Acta A Mol. Biomol. Spectrosc. 2015, 138, 553–562. [Google Scholar] [CrossRef]
- Sabounchei, S.J.; Bagherjeri, F.A.; Boskovic, C.; Gable, R.W.; Karamian, R.; Asadbegy, M. Binuclear Mercury (Ii) Complexes of Sulfonium Ylides: Synthesis, Structural Characterization and Anti-Bacterial Activity. J. Mol. Struct 2013, 1034, 265–270. [Google Scholar] [CrossRef]
- Sabounchei, S.J.; Sedghi, A.; Bayat, M.; Hosseinzadeh, M.; Hashemi, A.; Yousefi, A.; Gable, R.W. Binuclear Mercury (Ii) Complexes of Ambidentate Sulfonium Ylides in Comparison with Analogous Phosphonium-Based Complexes; Synthesis, Characterization and a Comprehensive Theoretical Study. J. Mol. Struct 2019, 1175, 346–356. [Google Scholar] [CrossRef]
- El-Metwaly, N.M.; Refat, M.S. Elaborated 1h Nmr Study for the Ligitional Behavior of Two Thiosemicarbazide Derivatives towards Some Heavy Metals (Sn (Ii), Sb (Iii), Pb (Ii) And Bi (Iii)), Thermal, Antibacterial and Antifungal Studies. Spectrochim. Acta A Mol. Biomol. Spectrosc. 2011, 81, 519–528. [Google Scholar] [CrossRef]
- Abu-Khadra, A.S.; Farag, R.S.; Abdel-Hady, A.E.-D.M. Synthesis, Characterization and Antimicrobial Activity of Schiff Base (E)-N-(4-(2-Hydroxybenzylideneamino) Phenylsulfonyl) Acetamide Metal Complexes. Am. J. Anal. Chem. 2016, 7, 233. [Google Scholar] [CrossRef] [Green Version]
- Hassan, S.S.; Mohamed, E.F. Antimicrobial, Antioxidant and Antitumor Activities of Nano-Structure Eu (Iii) and La (Iii) Complexes with Nitrogen Donor Tridentate Ligands. Appl. Organomet. Chem. 2020, 34, E5258. [Google Scholar] [CrossRef]
- Chandra, S.; Gautam, S.; Rajor, H.K.; Bhatia, R. Syntheses, Spectroscopic Characterization, Thermal Study, Molecular Modeling, and Biological Evaluation of Novel Schiff’s Base Benzil Bis (5-Amino-1, 3, 4-Thiadiazole-2-Thiol) with Ni (Ii), and Cu (Ii) Metal Complexes. Spectrochim. Acta A Mol. Biomol. Spectrosc. 2015, 137, 749–760. [Google Scholar] [CrossRef]
- El-Gammal, O.A.; Alshater, H.; El-Boraey, H.A. Schiff Base Metal Complexes of 4-Methyl-1h-Indol-3-Carbaldehyde Derivative as a Series of Potential Antioxidants and Antimicrobial: Synthesis, Spectroscopic Characterization and 3D Molecular Modeling. J. Mol. Struct 2019, 1195, 220–230. [Google Scholar] [CrossRef]
- Belaid, S.; Landreau, A.; Djebbar, S.; Benali-Baitich, O.; Bouet, G.; Bouchara, J.-P. Synthesis, Characterization and Antifungal Activity of a Series of Manganese (Ii) and Copper (Ii) Complexes with Ligands Derived from Reduced N, N′-O-Phenylenebis (Salicylideneimine). J. Inorg. Biochem. 2008, 102, 63–69. [Google Scholar] [CrossRef] [Green Version]
- Ejidike, I.P. Cu (Ii) Complexes of 4-[(1e)-N-{2-[(Z)-Benzylidene-Amino] Ethyl} Ethanimidoyl] Benzene-1, 3-Diol Schiff Base: Synthesis, Spectroscopic, in-vitro Antioxidant, Antifungal and Antibacterial Studies. Molecules 2018, 23, 1581. [Google Scholar] [CrossRef] [Green Version]
- Abdel-Rahman, L.H.; Ismail, N.M.; Ismael, M.; Abu-Dief, A.M.; Ahmed, E.A.-H. Synthesis, Characterization, Dft Calculations and Biological Studies of Mn (Ii), Fe (Ii), Co (Ii) and Cd (Ii) Complexes Based on a Tetradentate Onno Donor Schiff Base Ligand. J. Mol. Struct 2017, 1134, 851–862. [Google Scholar] [CrossRef]
- El-Boraey, H.A.; El-Salamony, M.A. Transition Metal Complexes with Polydentate Ligand: Synthesis, Characterization, 3D Molecular Modelling, Anticancer, Antioxidant and Antibacterial Evaluation. J. Inorg. Organomet. Polym. Mater. 2019, 29, 684–700. [Google Scholar] [CrossRef]
- Kotlyarov, A.; Neininger, A.; Schubert, C.; Eckert, R.; Birchmeier, C.; Volk, H.-D.; Gaestel, M. Mapkap Kinase 2 is Essential for Lps-Induced Tnf-A Biosynthesis. Nat. Cell Biol. 1999, 1, 94–97. [Google Scholar] [CrossRef] [PubMed]
- Haddad, J.J. Vx-745 (Vertex Pharmaceuticals). Curr. Opin. Investig. Drugs 2001, 2, 1070–1076. [Google Scholar] [PubMed]













| No. | Compounds | Color | Yield % | Mol. Wt. | Found (cal.) % | Am | ||||
|---|---|---|---|---|---|---|---|---|---|---|
| C | H | N | Cl | M | ||||||
| B | H2L | Pale brown | 75 | 334.5 | 53.43 (53.81) | 4.46 (4.48) | 16.47 (16.7) | 10.83 (10.6) | — | — |
| B1 | [Pb(H2L)2(OAc)2]EtOH.H2O | White | 75 | 1058.9 | 40.80 (40.8) | 4.09 (4.16) | 10.86 (10.58) | 6.51 (6.70) | 19.26 (19.57) | 15 |
| B2 | [Mn(H2L)(HL)]Cl | Buff | 81 | 758 | 48.05 (47.54) | 3.36 (3.72) | 13.7 (14.78) | 13.87 (14.03) | 6.89 (7.25) | 77 |
| B3 | [Hg2(H2L)(OH)SO4] | Buff | 79 | 849.1 | 22.76 (21.22) | 1.78 (1.90) | 6.89 (6.60) | 4.06 (4.18) | 47.21 (47.25) | 19 |
| B4 | [Zn(H2L)(HL)]Cl | Buff | 86 | 768.46 | 46.82 (46.89) | 3.65 (3.67) | 14.53 (14.58) | 13.81 (13.84) | 8.50 (8.51) | 76 |
| No. | Compound | ν(N4) | ν(N2) | ν(N1) | ν(C=O) | ν(C=S) | ν(M-O) | ν(M-N) |
|---|---|---|---|---|---|---|---|---|
| B | H2L | 3335 | 3302 | 3100 | 1670 | 750 | — | — |
| A | H2L | 3481 | 3302 | 3103 | 1668 | 751 | — | — |
| B1 | [Pb(H2L)2(OAc)2]ETOH.H2O | 3437 | 3242 | 3101 | 1667 | 756 | 508 | 625 |
| A1 | [Pb(H2L)2(OAc)2]ETOH.H2O | 3444 | 3296 | 3100 | 1672 | 755 | 468 | 548 |
| B2 | [Mn(H2L)(HL)]Cl | 3461 | 3295 | 3134 | 1672 | 754 | 637 | 508 |
| A2 | [Mn(H2L)(HL)]Cl | 3459 | 3295 | 3100 | 1672 | 755 | 637 | 507 |
| B3 | [Hg2(H2L)(OH)SO4] | 3378 | 3295 | 3104 | 1671 | 754 | 602 | 509 |
| A3 | [Hg2(H2L)(OH)SO4] | 3400 | 3291 | 2922 | 1670 | 754 | 606 | 510 |
| B4 | [Zn(H2L)(HL)]Cl | 3450 | 3295 | 3102 | 1671 | 754 | 637 | 547 |
| A4 | [Zn(H2L)(HL)]Cl | 3447 | 3295 | 3101 | 1671 | 754 | 637 | 550 |
| No | Compounds | λmax (DMF, nm) |
|---|---|---|
| Intra Ligand and Charge Transfer Bands | ||
| B A | H2L | 260, 300 266, 303 |
| B1 A1 | [Pb(H2L)2(OAc)2]ETOH.H2O | 270, 300, 320 270, 300, 354 |
| B2 A2 | [Mn(H2L)(HL)]Cl | 294, 378 292, 376 |
| B3 A3 | [Hg2(H2L)(OH)SO4] | 276, 372 281, 376 |
| B4 A4 | [Zn(H2L)(HL)]Cl | 291, 375 294, 378 |
| No | Compound | Angle 2θ | d-Value nm | FWHM | Grain Size nm |
|---|---|---|---|---|---|
| B | H2L | 15.852 | 0.560592 | 0.215 | 41.50 |
| 20.645 | 0.430118 | 0.256 | 35.12 | ||
| 23.817 | 0.372922 | 0.220 | 41.02 | ||
| B2 | [Mn(H2L)(HL)]Cl | 20.726 | 0.428912 | 0.202 | 44.52 |
| 25.362 | 0.349939 | 0.319 | 28.40 | ||
| 18.013 | 0.491038 | 0.632 | 14.15 | ||
| A2 | [Mn(H2L)(HL)]Cl | 20.692 | 0.429487 | 0.199 | 45.15 |
| 22.228 | 0.399270 | 0.276 | 32.59 | ||
| 26.170 | 0.340655 | 0.208 | 43.51 | ||
| B4 | [Zn(H2L)(HL)]Cl | 20.652 | 0.429736 | 0.016 | 74.8 |
| 26.658 | 0.334125 | 0.030 | 46.7 | ||
| 27.211 | 0.327455 | 0.015 | 79.8 | ||
| A4 | [Zn(H2L)(HL)]Cl | 22.245 | 0.399307 | 0.021 | 59.3 |
| 26.171 | 0.340227 | 0.019 | 63.9 | ||
| 28.512 | 0.339015 | 0.025 | 52.7 |
| No | Compound | TAG(A)/°C | Wt. Loss Calc. (Found) % | Leaving Species |
|---|---|---|---|---|
| B | H2L | At 190 190–633 | - 99.9 | Melting Gradual decomp. |
| A | H2L | At 190 240–680 | - 100 | melting Gradual decomp. |
| B1 | [Pb(H2L)2(OAc)2]ETOH.H2O | 30–125 395–548 >719.30 | 6.05 (6.15) 74.39 (74.29) 19.57 (19.54) | ETOH + H2O C34H36Cl2N8O6S2 Pb |
| A1 | [Pb(H2L)2(OAc)2]ETOH.H2O | 30–125 395–548 >719.30 | 6.05 (6.15) 74.39 (74.29) 19.57 (19.54) | ETOH + H2O C34H36Cl2N8O6S2 Pb |
| B2 | Mn(H2L)(HL)]Cl | 170–402 436–553 719–791 >791 | 62.34 (62.31) 13.19 (13.22) 11.35 (11.32) 13.05 (13.15) | C24H22Cl3N4 C3H4N2S C2H2N2S MnO + CO |
| A2 | [Mn(H2L)(HL)]Cl | 172–329 350–652 >652 | 77.64 (77.62) 9.23 (9.21) 13.05 (13.20) | C28H26Cl3N4S2 CH2N4 MnO + CO |
| B3 | [Hg2(H2L)(OH)SO4] | 117–194 194–287 296–421 429–615 >615 | 32.68 (32.65) 1.64 (1.60) 11.30 (11.32) 3.53 (3.55) 51.07 (51.05) | C14H14ClN2S CH2 SO4 NO 2HgO |
| A3 | [Hg2(H2L)(OH)SO4] | 119–230 230–303 309–446 454–640 >640 | 32.68 (32.65) 1.64 (1.60) 11.30 (11.32) 3.53 (3.55) 51.07 (51.05) | C14H14ClN2S CH2 SO4 NO 2HgO |
| B4 | [Zn(H2L)(HL)]Cl | 152–356 482–652 733–799 >799 | 55.76 (55.74) 22.94 (22.92) 5.47 (5.50) 15.80 (15.78) | C23H18N2Cl3 C4H8N4S2 CH2N2 Zn + 2CO |
| A4 | [Zn(H2L)(HL)]Cl | 152–356 482–652 733–799 >799 | 55.76 (55.74) 22.94 (22.92) 5.47 (5.50) 15.80 (15.78) | C23H18N2Cl3 C4H8N4S2 CH2N2 Zn + 2CO |
| Element | NPA | ||||
|---|---|---|---|---|---|
| B | B1 | B2 | B3 | B4 | |
| M | --- | 1.67821 | 0.65011 | 0.85211 | 1.03112 |
| C1 | −0.18056 | −0.18135 | −0.18756 | −0.19196 | −0.19057 |
| C2 | −0.24771 | −0.24394 | −0.23325 | −0.25448 | −0.25331 |
| C3 | −0.17807 | −0.19254 | −0.18283 | −0.20104 | −0.19577 |
| C4 | −0.28054 | −0.25886 | −0.25336 | −0.31010 | −0.26045 |
| C5 | 0.18087 | 0.18822 | 0.17412 | 0.18013 | 0.19940 |
| C6 | −0.24826 | −0.28885 | −0.30542 | −0.25276 | −0.29428 |
| N7 | −0.60338 | −0.66805 | −0.69606 | −0.67381 | −0.66249 |
| C8 | −0.25744 | −0.26038 | −0.26700 | −0.27733 | −0.26293 |
| C9 | 0.64369 | 0.69298 | 0.71808 | 0.75303 | 0.70812 |
| O10 | −0.65733 | −0.49713 | −0.40412 | −0.40412 | −0.46111 |
| N11 | −0.41815 | −0.39751 | −0.38941 | −0.50338 | −0.42824 |
| N12 | −0.40986 | −0.36714 | −0.32029 | −0.21712 | −0.33512 |
| C13 | 0.28170 | 0.30768 | 0.24750 | 0.36903 | 0.28989 |
| S14 | −0.29189 | −0.26236 | −0.13222 | −0.04822 | −0.30757 |
| N15 | −0.58636 | −0.63000 | −0.62512 | −0.64017 | −0.66131 |
| C16 | 0.15363 | 0.16474 | 0.25552 | 0.16215 | 0.15459 |
| C17 | −0.20568 | −0.19422 | −0.22200 | −0.21503 | −0.20142 |
| C18 | −0.22105 | −0.22251 | −0.14183 | −0.20965 | −0.20639 |
| C19 | −0.00103 | 0.00409 | −0.02894 | −0.00010 | −0.00416 |
| C20 | −0.21685 | −0.22700 | −0.14384 | −0.21398 | −0.21251 |
| C21 | −0.18693 | −0.20328 | −0.37396 | −0.21795 | −0.25495 |
| Cl22 | −0.03812 | −0.06190 | −0.02117 | −0.04121 | −0.07127 |
| O47-Ac | --- | −0.61622 | --- | --- | --- |
| C49 | --- | 0.84717 | --- | --- | --- |
| O51 | --- | −0.56608 | --- | --- | --- |
| C53 | --- | −0.73832 | --- | --- | --- |
| O24 | --- | --- | --- | −1.20638 | --- |
| O26 | --- | --- | --- | −1.04297 | --- |
| O27 | --- | --- | --- | −0.97943 | --- |
| S28 | --- | --- | --- | 2.14241 | --- |
| Bond Length (Å) | H2L | [Pb(H2L)2(OAc)2]ETOH.H2O | [Mn(H2L)(HL)]Cl | [Hg2(H2L)(OH)SO4] | [Zn(H2L)(HL)]Cl |
|---|---|---|---|---|---|
| R(Hg23-S14) | --- | --- | --- | 2.69 | |
| R(Hg23-N12) | --- | 2.19 | 1.99 | 2.37 | 2.07 |
| R(Hg23-O10) | --- | 2.22 | 1.90 | 2.68 | 2.03 |
| R(Hg23-O24) | --- | --- | 2.18 | ||
| R(Mn-O32) | 2.21 | 1.99 | 2.02588 | ||
| R(Mn-N34) | 2.25 | 1.82 | 2.08 | ||
| R(Hg25-O27) | --- | --- | 2.26 | --- | |
| R(Hg25-O26) | --- | --- | 2.27 | --- | |
| R(Pb-O47) | 2.02 | ||||
| R(S28-O26) | 1.76 | ||||
| R(S28-O27) | 1.75 | ||||
| R(C13-S14) | 1.73 | 1.73 | 1.72 | 1.82 | 1.76 |
| R(C13-N15) | 1.37 | 1.37 | 1.40 | 1.36 | 1.38 |
| R(N12-C13) | 1.36 | 1.39 | 1.38 | 1.35 | 1.38 |
| R(N12-N11) | 1.39 | 1.40 | 1.41 | 1.42 | 1.42 |
| R(N11-C9) | 1.36 | 1.33 | 1.33 | 1.38 | 1.34 |
| R(C9-O10) | 1.26 | 1.31 | 1.32 | 1.27 | 1.30 |
| R(C8-N7) | 1.44 | 1.45 | 1.44 | 1.44 | 1.45 |
| A(S14-C13-Nl2) | --- | --- | --- | 112.84 | |
| A(Ol0-C9-Nl1) | --- | 119.52 | 116.63 | 119.34 | 119.91 |
| A(O24-Hg23-O10) | --- | --- | --- | 73.30 | |
| A(O24-Hg25-O10) | --- | 71.99 | 75.00 | ||
| A(O27-Hg25-O26) | --- | 98.36 | 70.03 | ||
| A(O27-S28-O26) | --- | 125.40 | 95.80 | ||
| A(N12-Mn-O10) | --- | 74.54 | 80.42 | --- | 81.16 |
| A(O32-Mn-N34) | --- | 76.39 | 82.87 | --- | 80.97 |
| A(O10-Pb-N34) | --- | 106.17 | --- | 66.77 | 126.95 |
| Parameter | H2L | [Pb(H2L)2(OAc)2]ETOH.H2O | [Mn(H2L)(HL)]Cl | [Hg2(H2L)(OH)SO4] | [Zn(H2L)(HL)]Cl |
|---|---|---|---|---|---|
| ET, Hartree | −1733.21933 | −2258.72234 | −1902.06064 | −1371.26441 | −1864.02372 |
| EHOMO, eV | −5.94 | −5.52 | −6.38 | −5.51 | −2.67 |
| ELUMO, eV | −5.43 | −4.82 | −5.82 | −3.92 | −2.44 |
| ΔE, eV | 0.51 | 2.53 | 1.0 | 1.59 | 0.416 |
| I = −E HOMO, eV | 5.94 | 5.52 | 6.38 | 5.51 | 2.67 |
| A = −E LUMO, eV | 5.43 | 4.82 | 5.82 | 3.92 | 2.44 |
| χ, eV | 22.27 | 14.77 | 21.78 | 5.92 | 22.17 |
| η, eV | 0.255 | 0.35 | 0.28 | 0.795 | 0.115 |
| S, eV−1 | 1.96 | 1.42 | 1.78 | 0.62 | 4.34 |
| µ, eV | −5.68 | −5.17 | −6.10 | −4.71 | −2.55 |
| Dipole Moment (Debye) | 2.41 | 7.65 | 6.96 | 19.90 | 6.11 |
| No | Compound | IC50 | |
|---|---|---|---|
| Hep-G2 Cell Line | HEK-293 Cell Line | ||
| B | H2L | 20.45 | 90.10 |
| A | H2L | 29.25 | 91.40 |
| B1 | [Mn(H2L)(HL)]Cl | 32.6 | 89.06 |
| A1 | [Mn(H2L)(HL)]Cl | 23.95 | 88.50 |
| B2 | [Zn(H2L)(HL)]Cl | 89.96 | 89.12 |
| A2 | [Zn(H2L)(HL)]Cl | 86.24 | 89.01 |
| Vinblastine | 4.58 | 92.02 | |
| Antitumor Docking 3WI6 | ||
|---|---|---|
| Compound | Involved Amino Acids (Scoring Energy kcal/mol) | Type of Interaction |
| H2L | Asp-207 (−3.14) | Side chain acceptor |
| [Pb(H2L)2(OAc)2]ETOH.H2O | Glu-145 and Asp-207 (−7.28) | Side chain acceptor |
| [Mn(H2L)(HL)]Cl | Glu-145 (−5.55) | Metal contact receptor |
| [Hg2(H2L)(OH)SO4] | (−8.16) | Solvent contact |
| [Zn(H2L)(HL)]Cl | Glu-145 (−5.79) | Metal contact receptor |
Publisher’s Note: MDPI stays neutral with regard to jurisdictional claims in published maps and institutional affiliations. |
© 2021 by the authors. Licensee MDPI, Basel, Switzerland. This article is an open access article distributed under the terms and conditions of the Creative Commons Attribution (CC BY) license (https://creativecommons.org/licenses/by/4.0/).
Share and Cite
Abdalla, E.M.; Hassan, S.S.; Elganzory, H.H.; Aly, S.A.; Alshater, H. Molecular Docking, DFT Calculations, Effect of High Energetic Ionizing Radiation, and Biological Evaluation of Some Novel Metal (II) Heteroleptic Complexes Bearing the Thiosemicarbazone Ligand. Molecules 2021, 26, 5851. https://doi.org/10.3390/molecules26195851
Abdalla EM, Hassan SS, Elganzory HH, Aly SA, Alshater H. Molecular Docking, DFT Calculations, Effect of High Energetic Ionizing Radiation, and Biological Evaluation of Some Novel Metal (II) Heteroleptic Complexes Bearing the Thiosemicarbazone Ligand. Molecules. 2021; 26(19):5851. https://doi.org/10.3390/molecules26195851
Chicago/Turabian StyleAbdalla, Ehab M., Safaa S. Hassan, Hussein H. Elganzory, Samar A. Aly, and Heba Alshater. 2021. "Molecular Docking, DFT Calculations, Effect of High Energetic Ionizing Radiation, and Biological Evaluation of Some Novel Metal (II) Heteroleptic Complexes Bearing the Thiosemicarbazone Ligand" Molecules 26, no. 19: 5851. https://doi.org/10.3390/molecules26195851
APA StyleAbdalla, E. M., Hassan, S. S., Elganzory, H. H., Aly, S. A., & Alshater, H. (2021). Molecular Docking, DFT Calculations, Effect of High Energetic Ionizing Radiation, and Biological Evaluation of Some Novel Metal (II) Heteroleptic Complexes Bearing the Thiosemicarbazone Ligand. Molecules, 26(19), 5851. https://doi.org/10.3390/molecules26195851

