Macrooxazoles A–D, New 2,5-Disubstituted Oxazole-4-Carboxylic Acid Derivatives from the Plant Pathogenic Fungus Phoma macrostoma
Abstract
1. Introduction
2. Results and Discussion
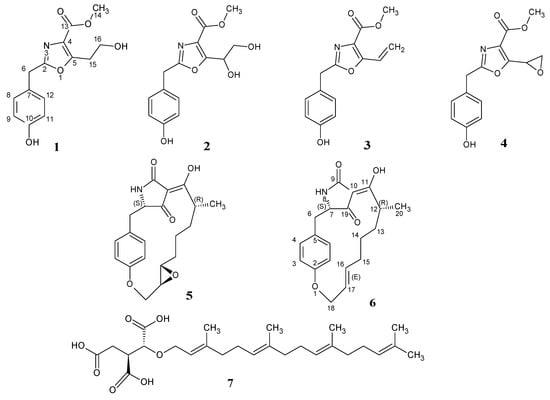
2.1. Structure Elucidation of Compounds 1–6
2.2. Biological Activities
3. Materials and Methods
3.1. General Experimental Procedure
3.2. Fungal Material
3.3. Small-Scale Fermentation and Extraction
3.4. Scale Up of Production in Shake Flask Batches and Extraction
3.5. Isolation of Compounds 1–6
3.6. Physico-Chemical Characteristics of Compounds 1–6
3.7. Synthesis of Macrocidin Z (6)
3.8. Antimicrobial Assay
3.9. Cytotoxicity Assay
3.10. Biofilm Inhibition Assay
3.11. Dispersion of Preformed Biofilm
4. Conclusions
Supplementary Materials
Author Contributions
Funding
Acknowledgments
Conflicts of Interest
References
- Kakkar, S.; Balasubramanian, N. A comprehensive review on biological activities of oxazole derivatives. BMC Chem. 2019, 13, 16. [Google Scholar] [CrossRef] [PubMed]
- Kaur, R.; Palta, K.; Kumar, M.; Bhargava, M.; Dahiya, L. Therapeutic potential of oxazole scaffold: A patent review (2006–2017). Expert Opin. Therap. Pat. 2018, 28, 783–812. [Google Scholar] [CrossRef] [PubMed]
- Zhang, W.; Liu, W.; Jiang, X.; Jiang, F.; Zhuang, H.; Fu, L. Design, synthesis and antimicrobial activity of chiral 2-(substituted-hydroxyl)-3-(benzo [d] oxazol-5-yl) propanoic acid derivatives. Eur. J. Med. Chem. 2011, 46, 3639–3650. [Google Scholar] [CrossRef] [PubMed]
- Kumar, D.; Kumar, N.M.; Sundaree, S.; Johnson, E.O.; Shah, K. An expeditious synthesis and anticancer activity of novel 4-(3′-indolyl) oxazoles. Eur. J. Med. Chem. 2010, 45, 1244–1249. [Google Scholar] [CrossRef] [PubMed]
- Moraski, G.C.; Chang, M.; Villegas-Estrada, A.; Franzblau, S.G.; Möllmann, U.; Miller, M.J. Structure–activity relationship of new anti-tuberculosis agents derived from oxazoline and oxazole benzyl esters. Eur. J. Med. Chem. 2010, 45, 1703–1716. [Google Scholar] [CrossRef] [PubMed]
- Eren, G.; Ünlü, S.; Nuñez, M.T.; Labeaga, L.; Ledo, F.; Entrena, A.; Şahin, M.F. Synthesis, biological evaluation, and docking studies of novel heterocyclic diaryl compounds as selective COX-2 inhibitors. Bioorg. Med. Chem. 2010, 18, 6367–6376. [Google Scholar] [CrossRef]
- Ashton, W.T.; Sisco, R.M.; Dong, H.; Lyons, K.A.; He, H.; Doss, G.A.; Thornberry, N.A. Dipeptidyl peptidase IV inhibitors derived from β-aminoacylpiperidines bearing a fused thiazole, oxazole, isoxazole, or pyrazole. Bioorg. Med. Chem. Lett. 2005, 15, 2253–2258. [Google Scholar] [CrossRef]
- Jadhav, R.D.; Kadam, K.S.; Kandre, S.; Guha, T.; Reddy, M.M.K.; Brahma, M.K.; Enose, A.A. Synthesis and biological evaluation of isoxazole, oxazole, and oxadiazole containing heteroaryl analogs of biaryl ureas as DGAT1 inhibitors. Europ. J. Med. Chem. 2012, 54, 324–342. [Google Scholar] [CrossRef]
- Chandrasekhar, S.; Sudhakar, A. Total synthesis of bengazole A. Org. Lett. 2010, 12, 236–238. [Google Scholar] [CrossRef]
- Davyt, D.; Serra, G. Thiazole and oxazole alkaloids: Isolation and synthesis. Mar. Drugs 2010, 8, 2755–2780. [Google Scholar] [CrossRef]
- Joshi, S.; Bisht, A.S.; Juyal, D. Systematic scientific study of 1, 3-oxazole derivatives as a useful lead for pharmaceuticals: A review. Pharma Innov. 2017, 6, 109. [Google Scholar]
- Ichiba, T.; Yoshida, W.Y.; Scheuer, P.J.; Higa, T.; Gravalos, D.G. Hennoxazoles, bioactive bisoxazoles from a marine sponge. J. Am. Chem. Soc. 1991, 113, 3173–3174. [Google Scholar] [CrossRef]
- Yokokawa, F.; Asano, T.; Shioiri, T. Total synthesis of the antiviral marine natural product (−)-hennoxazole A. Org. Lett. 2000, 2, 4169–4172. [Google Scholar] [CrossRef] [PubMed]
- Shiomi, K.; Arai, N.; Shinose, M.; Takahashi, Y.; Yoshida, H.; Iwabuchi, J.; OMURA, S. New antibiotics phthoxazolins B, C and D produced by Streptomyces sp. KO-7888. J. Antibio. 1995, 48, 714–719. [Google Scholar] [CrossRef] [PubMed][Green Version]
- Graupner, P.R.; Carr, A.; Clancy, E.; Gilbert, J.; Bailey, K.L.; Derby, J.A.; Gerwick, B.C. The macrocidins: Novel cyclic tetramic acids with herbicidal activity produced by Phoma macrostoma. J. Nat. Prod. 2003, 66, 1558–1561. [Google Scholar] [CrossRef] [PubMed]
- Graupner, P.R.; Gerwick, B.C.; Siddall, T.L.; Carr, A.W.; Clancy, E.; Gilbert, J.R.; Derby, J.A. Chlorosis inducing phytotoxic metabolites: New herbicides from Phoma macrostoma. ACS Symp. Ser. 2006, 927, 37–47. [Google Scholar]
- Haase, R.G.; Schobert, R. Synthesis of the bioherbicidal fungus metabolite macrocidin A. Org. Lett. 2016, 18, 6352–6355. [Google Scholar] [CrossRef]
- Andrade, C.K.; Rocha, R.O.; Vercillo, O.E.; Silva, W.A.; Matos, R.A. DCC/DMAP-mediated coupling of carboxylic acids with oxazolidinones and thiazolidinethiones. Synlett 2003, 35, 2351–2352. [Google Scholar] [CrossRef]
- Barnickel, B.; Schobert, R. Toward the macrocidins: Macrocyclization via Williamson etherification of a phenolate. J. Org. Chem. 2010, 75, 6716–6719. [Google Scholar] [CrossRef]
- Jouin, P.; Castro, B.; Nisato, D. Stereospecific synthesis of N-protected statine and its analogues via chiral tetramic acid. J. Chem. Soc. Perkin Trans. I 1987, 1177–1182. [Google Scholar] [CrossRef]
- Hori, K.; Arai, M.; Nomura, K.; Yoshii, E. An efficient 3(C)-acylation of tetramic acids involving acyl migration of 4(O)-acylates. Chem. Pharm. Bull. 1987, 35, 4368–4371. [Google Scholar] [CrossRef]
- Sengoku, T.; Nagae, Y.; Ujihara, Y.; Takahashi, M.; Yoda, H. A synthetic approach to diverse 3-acyltetramic acids via O- to C-acyl rearrangement and application to the total synthesis of penicillenol series. J. Org. Chem. 2012, 77, 4391–4401. [Google Scholar] [CrossRef] [PubMed]
- Bailey, K.L.; Derby, J. Fungal Isolates and Biological Control Compositions for the Control of Weeds. U.S. Patent No. 7772,155, 10 August 2010. [Google Scholar]
- Chepkirui, C.; Richter, C.; Matasyoh, J.C.; Stadler, M. Monochlorinated calocerins A-D and 9-oxostrobilurin derivatives from the basidiomycete Favolaschia calocera. Phytochemistry 2016, 132, 95–101. [Google Scholar] [CrossRef] [PubMed]
- Post, S.J.; Keohane, C.E.; Rossiter, L.M.; Kaplan, A.R.; Khowsathit, J.; Matuska, K.; Karanicolas, J.; Wuest, W.M. Target-based design of promysalin analogues identifies a new putative binding cleft in succinate dehydrogenase. ACS Infect. Dis. 2020, 6, 1372–1377. [Google Scholar] [CrossRef] [PubMed]
- Becker, K.; Wessel, A.C.; Luangsa-ard, J.J.; Stadler, M. Viridistratins A-C, antimicrobial and cytotoxic benzo[j]fluoranthenes from stromata of Annulohypoxylon viridistratum (Hypoxylaceae, Ascomycota). Biomolecules 2020, 10, 805. [Google Scholar] [CrossRef]
- Sandargo, B.; Michehl, M.; Praditya, D.; Steinmann, E.; Stadler, M.; Surup, F. Antiviral meroterpenoid rhodatin and sesquiterpenoids rhodocoranes A–E from the Wrinkled Peach Mushroom, Rhodotus palmatus. Organic Lett. 2019, 21, 3286–3289. [Google Scholar] [CrossRef]
- Chepkirui, C.; Yuyama, K.; Wanga, L.; Decock, C.; Matasyoh, J.; Abraham, W.R.; Stadler, M. Microporenic acids A-G, biofilm inhibitors and antimicrobial agents from the basidiomycete Microporus sp. J. Nat. Prod. 2018, 81, 778–784. [Google Scholar] [CrossRef]
- Yuyama, K.T.; Chepkirui, C.; Wendt, L.; Fortkamp, D.; Stadler, M.; Abraham, W.R. Bioactive compounds produced by Hypoxylon fragiforme against Staphylococcus aureus biofilms. Microorganisms 2017, 5, 80. [Google Scholar] [CrossRef]






| Position | 6 | Synthetic 6 | ||
|---|---|---|---|---|
| δC, Type | δH (J in Hz) | δC, Type | δH (J in Hz) | |
| 2 | 157.4, C | 157.3, C | ||
| 3/21 | 115.9, CH | 6.69, m | 115.7, CH | 6.71, m |
| 4/22 | 132.6, CH | 6.98, m | 132.5, CH | 6.97, m |
| 5 | 127.6, C | 127.3, C | ||
| 6 | 36.6, CH2 | 3.07, dd (14.1, 3.9) | 36.5, CH2 | 3.07, dd (14.1, 3.9) |
| 2.90, dd (14.1, 3.3) | 2.89, dd (14.1, 3.1) | |||
| 7 | 63.8, CH | 4.10, t (3.6) | 63.8, CH | 4.10, m |
| 9 | 177.3, C | 175.5, C | ||
| 10 | 102.3, C | 102.1, C | ||
| 11 | 194.0, C | 191.8, C | ||
| 12 | 37.2, CH | 3.40, sxt (6.8) | 36.8, C | 3.39, sxt (6.8) |
| 13 | 35.3, CH2 | 1.16, tdd (12.9, 6.4, 4.3) | 35.1, CH2 | 1.13, m |
| 1.09, m | ||||
| 14 | 28.3, CH2 | 0.83, tddd (12.9, 8.5, 6.5, 4.4) | 28.1, CH2 | 0.83, m |
| 1.32, m | 1.32, m | |||
| 15 | 33.6, CH2 | 2.06, dq (12.8, 6.2) | 33.4, CH2 | 2.06, m |
| 1.79, m | 1.79, m | |||
| 16 | 139.1, CH | 5.67, ddd (15.5, 8.8, 5.9) | 139.0, CH | 5.68, m |
| 17 | 126.6, CH | 5.26, ddd (15.5, 8.9, 3.8) | 126.7, CH | 5.26, m |
| 18 | 68.1, CH2 | 4.64, dd (13.4, 8.9) | 67.9, CH2 | 4.64, dd (13.4, 9.5) |
| 4.53, dd (13.4, 3.8) | 4.53, m | |||
| 19 | 197.3, C | 197.1, C | ||
| 20 | 15.4, CH3 | 1.05, d (6.8) | 15.2, CH3 | |
| Position | 1 | 2 | ||
|---|---|---|---|---|
| δC, Type | δH (J in Hz) | δC, Type | δH (J in Hz) | |
| 2 | 164.4, C | - | 165.1, C | - |
| 4 | 129.0, C | - | 129.6, C | - |
| 5 | 159.1, C | - | 159.3, C | - |
| 6 | 34.3, CH2 | 4.00, s | 34.3, CH2 | 4.04, s |
| 7 | 127.0, C | - | 126.9, C | - |
| 8 | 131.0, CH | 7.10, d (9.0) | 131.0, CH | 7.12, d (9.0) |
| 9 | 116.7, CH | 6.73, d (9.0) | 116.7, CH | 6.73, d (9.0) |
| 10 | 157.9, C | - | 158.0, C | - |
| 11 | 116.7, CH | 6.73, d (9.0) | 116.7, CH | 6.73, d (9.0) |
| 12 | 131.0, CH | 7.10, d (9.0) | 131.0, CH | 7.12, d (9.0) |
| 13 | 163.9, C | - | 163.6, C | - |
| 14 | 52.4, CH3 | 3.87, s | 52.6, CH3 | 3.88, s |
| 15 | 30.8, CH2 | 3.19, t (6.5) | 67.3, CH | 5.33, t (6.5) |
| 16 | 60.6, CH2 | 3.80, t (6.5) | 65.1, CH2 | 3.73, dd (11, 6.5) 3.78, dd (11, 6.5) |
| Position | 3 | 4 | ||
|---|---|---|---|---|
| δC, Type | δH (J in Hz) | δC, Type | δH (J in Hz) | |
| 2 | 164.8, C | - | 165.3, C | - |
| 4 | 128.1, C | - | 133.0, C | - |
| 5 | 155.6, C | - | 155.1, C | - |
| 6 | 34.3, CH2 | 4.04, s | 34.2, CH2 | 4.00, s |
| 7 | 126.8, C | - | 126.6, C | |
| 8 | 131.0, CH | 7.12, d (9.0) | 131.0, CH | 7.08, d (9.0) |
| 9 | 116.8, CH | 6.75, d (9.0) | 116.7, CH | 6.73, d (9.0) |
| 10 | 158.0, C | - | 158.0, C | - |
| 11 | 116.8, CH | 6.75, d (9.0) | 116.7, CH | 6.73, d (9.0) |
| 12 | 131.0, CH | 7.12, d (9.0) | 131.0, CH | 7.08, d (9.0) |
| 13 | 163.4, C | - | 163.2, C | - |
| 14 | 52.6, CH3 | 3.89, s | 52.8, CH3 | 3.92, s |
| 15 | 123.2, CH | 7.14, dd (17.5, 11.5) | 44.8, CH | 4.51, t (3.5) |
| 16 | 121.0, CH2 | 5.58, dd (11.5, 1.1) 5.96, dd (17.5, 1.1) | 48.9 *, CH2 | 3.22, dd (3.5, 1.6) |
| Compounds | Inhibition of Biofilm Formation (%) | Destruction of Preformed Biofilm (%) |
|---|---|---|
| 1 | - | - |
| 2 | 65 (250 µg/mL) 43 (125 µg/mL) | 36 (250 µg/mL) 31 (125 µg/mL) |
| 3 | 75 (250 µg/mL) 59 (125 µg/mL) | 57 (250 µg/mL) 48 (125 µg/mL) |
| 4 | n.t | n.t |
| 5 | 79 (250 µg/mL) 77 (62.5 µg/mL) 61 (15.6 µg/mL) | 75 (250 µg/mL) 65 (62.5 µg/mL) 31 (15.6 µg/mL) |
| 6 | 76 (250 µg/mL) 70 (62.5 µg/mL) 19 (15.6 µg/mL) | 73 (250 µg/mL) 59 (62.5 µg/mL) 40 (15.6 µg/mL) |
| Microporenic acid A | 83 (250 µg/mL) 81 (62.5 µg/mL) 48 (15.6 µg/mL) | 71 (250 µg/mL) 70 (62.5 µg/mL) 39 (15.6 µg/mL) |
Sample Availability: Samples of the compounds are available from the authors. | |
Publisher’s Note: MDPI stays neutral with regard to jurisdictional claims in published maps and institutional affiliations. |
© 2020 by the authors. Licensee MDPI, Basel, Switzerland. This article is an open access article distributed under the terms and conditions of the Creative Commons Attribution (CC BY) license (http://creativecommons.org/licenses/by/4.0/).
Share and Cite
Matio Kemkuignou, B.; Treiber, L.; Zeng, H.; Schrey, H.; Schobert, R.; Stadler, M. Macrooxazoles A–D, New 2,5-Disubstituted Oxazole-4-Carboxylic Acid Derivatives from the Plant Pathogenic Fungus Phoma macrostoma. Molecules 2020, 25, 5497. https://doi.org/10.3390/molecules25235497
Matio Kemkuignou B, Treiber L, Zeng H, Schrey H, Schobert R, Stadler M. Macrooxazoles A–D, New 2,5-Disubstituted Oxazole-4-Carboxylic Acid Derivatives from the Plant Pathogenic Fungus Phoma macrostoma. Molecules. 2020; 25(23):5497. https://doi.org/10.3390/molecules25235497
Chicago/Turabian StyleMatio Kemkuignou, Blondelle, Laura Treiber, Haoxuan Zeng, Hedda Schrey, Rainer Schobert, and Marc Stadler. 2020. "Macrooxazoles A–D, New 2,5-Disubstituted Oxazole-4-Carboxylic Acid Derivatives from the Plant Pathogenic Fungus Phoma macrostoma" Molecules 25, no. 23: 5497. https://doi.org/10.3390/molecules25235497
APA StyleMatio Kemkuignou, B., Treiber, L., Zeng, H., Schrey, H., Schobert, R., & Stadler, M. (2020). Macrooxazoles A–D, New 2,5-Disubstituted Oxazole-4-Carboxylic Acid Derivatives from the Plant Pathogenic Fungus Phoma macrostoma. Molecules, 25(23), 5497. https://doi.org/10.3390/molecules25235497

