Mixing Ratio and Cooling Rate Dependence of Molecular Compound Formation in OPO/POP Binary Mixture
Abstract
1. Introduction
2. Results
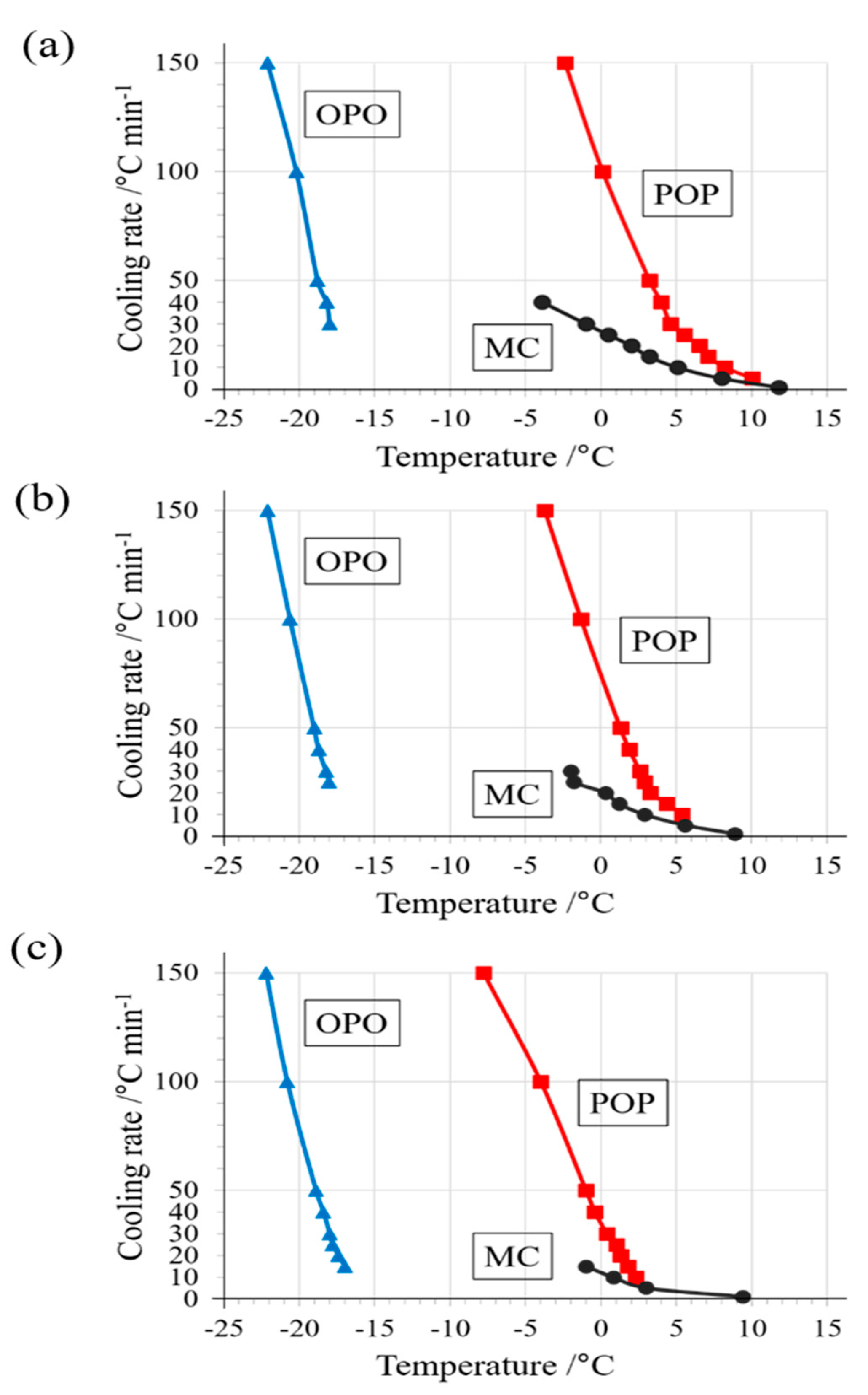
2.1. Polymorphic Behavior with a Binary Mixture of OPO/POP = 5/5
2.2. Polymorphic Behavior with a Binary Mixture of OPO/POP = 4/6
2.3. Polymorphic Behavior with a Binary Mixture of OPO/POP = 6/4
3. Discussion
4. Materials and Methods
4.1. Materials
4.2. Measurements
Author Contributions
Funding
Acknowledgments
Conflicts of Interest
References
- Chrysan, M.M. Margarines and Spreads. In Bailey’s Industrial Oil and Fat Products, 6th ed.; Fereidoon, S., Ed.; John Wiley & Sons, Inc.: Hoboken, NJ, USA, 2005; Volume 4, pp. 33–82. [Google Scholar]
- Timms, R.E. Phase Behaviour of Fats and Their Mixtures. Prog. Lipid Res. 1984, 23, 1–38. [Google Scholar] [CrossRef]
- Metzroth, D.J. Shortening: Science and Technology. In Bailey’s Industrial Oil and Fat Products, 6th ed.; Fereidoon, S., Ed.; John Wiley & Sons, Inc.: Hoboken, NJ, USA, 2005; Volume 4, pp. 83–123. [Google Scholar]
- Nakanishi, K.; Mikiya, Y.; Ishiguro, T.; Ueno, S. Crystallization Behavior of Molecular Compound in Binary Mixture System of 1,3-Dioleoyl-2-Palmitoyl-sn-Glycerol and 1,3-Dipalmitoyl-2-Oleoyl-sn-Glycerol. J. Am. Oil Chem. Soc. 2018, 95, 51–59. [Google Scholar] [CrossRef]
- Hagemann, J.W. Thermal Behavior and Polymorphism of Acylglycerols. In Crystallization and Polymorphism of Fats and Fatty Acids; Garti, N., Sato, K., Eds.; Marcel Dekker: New York, NY, USA, 1988; pp. 9–95. [Google Scholar]
- Sato, K. Polymorphism of Lipid Crystals. In Crystallization of Lipids: Fundamentals and Applications in Food, Cosmetics and Pharmaceuticals; Sato, K., Ed.; John Wiley & Sons Ltd.: West Sussex, UK, 2018; pp. 17–60. [Google Scholar]
- Minato, A.; Ueno, S.; Yano, J.; Smith, K.; Seto, H.; Amemiya, Y.; Sato, K. Thermal and Structural Properties of sn-1,3-Dipalmitoyl-2-Oleoylglycerol and sn-1,3-Dioleoyl-2-Palmitoylglycerol Binary Mixtures Examined with Synchrotron Radiation X-ray Diffraction. J. Am. Oil Chem. Soc. 1997, 74, 1213–1220. [Google Scholar] [CrossRef]
- Bayés-García, L.; Calvet, T.; Cuevas-Diarte, M.A.; Ueno, S.; Sato, K. In situ Synchrotron Radiation X-ray Diffraction Study of Crystallization Kinetics of Polymorphs of 1,3-Dioleoyl-2-Palmitoyl glycerol (OPO). Cryst. Eng. Comm. 2011, 13, 3592–3599. [Google Scholar] [CrossRef]
- Sato, K.; Arishima, T.; Wang, Z.H.; Ojima, K.; Sagi, N.; Mori, H. Polymorphism of POP and SOS. I. Occurrence and Polymorphic Transformation. J. Am. Oil Chem. Soc. 1989, 66, 664–674. [Google Scholar] [CrossRef]
- Bayés-García, L.; Calvet, T.; Cuevas-Diarte, M.A.; Ueno, S.; Sato, K. In situ Observation of Transformation Pathways of Polymorphic Forms of 1,3-Dipalmitoyl-2-Oleoyl glycerol (POP) Examined with Synchrotron Radiation X-ray Diffraction and DSC. CrystEngComm 2013, 15, 302–314. [Google Scholar] [CrossRef]
- Rousset, P. Modeling Crystallization Kinetics of Triacylglycerols. In Physical Properties of Lipids, 1st ed.; Marangoni, A.G., Narine, S.S., Eds.; Marcel Dekker Inc.: New York, NY, USA, 2002; pp. 1–36. [Google Scholar]
- Floeter, E.; Haeupler, M.; Sato, K. Molecular interactions and mixing phase behavior of lipid crystals. In Crystallization of Lipids: Fundamentals and Applications in Food, Cosmetics and Pharmaceuticals; Sato, K., Ed.; John Wiley & Sons Ltd.: West Sussex, UK, 2018; pp. 61–104. [Google Scholar]
- Macridachis-González, J.; Bayés-García, L.; Calvet, T. An Insight into the Solid-State Miscibility of Triacylglycerol Crystals. Molecules 2020, 25, 4562–4588. [Google Scholar] [CrossRef] [PubMed]
- Sibbald, A.N.; Carney, J.R.; Marangoni, A.G. Enhanced Structuring of Fat with Reduced Saturates Using Mixed Molecular Compounds. J. Am. Oil Chem. Soc. 2016, 93, 1441–1452. [Google Scholar] [CrossRef]
- Watanabe, S.; Yoshikawa, S.; Sato, K. Formation and properties of dark chocolate prepared using fat mixtures of cocoa butter and symmetric/asymmetric stearic-oleic mixed-acid triacylglycerols: Impact of molecular compound crystals. Food Chem. 2020, 339, 127808. [Google Scholar] [CrossRef] [PubMed]
- Mozaffarian, D.; Katan, M.B.; Ascherio, A.; Stampfer, M.J.; Willett, W.C. Trans fatty acids and cardiovascular disease. N. Engl. J. Med. 2006, 354, 1601–1613. [Google Scholar] [CrossRef] [PubMed]
- Marshall, J.A.; Bessesen, D.H.; Hamman, R.F. High Saturated Fat and Low Starch and Fiber are Associated with Hyperinsulinaemia in a Non-Diabetic Population: The San Luis Valley Diabetes Study. Diabetologia 1997, 40, 430–438. [Google Scholar] [CrossRef] [PubMed]
- Kodali, D.R. Trans Fats: Health, Chemistry, Functionality, and Potential Replacement Solutions. In Trans Fats Replacement Solutions; Kodali, D.R., Ed.; Academic Press and AOCS press: Urbana, IL, USA, 2014; pp. 1–39. [Google Scholar]
- Jackson, F.L.; Lutton, E.S. The polymorphism of certain behenyl mixed triglycerides. A new metastable crystalline form of triglycerides. J. Am. Oil Chem. Soc. 1950, 27, 4519–4521. [Google Scholar] [CrossRef]
- Yano, J.; Sato, K.; Kaneko, F.; Small, D.M.; Kodali, D.R. Structural Analyses of Polymorphic Transitions of sn-1,3-Distearoyl-2-Oleoylglycerol (SOS) and sn-1,3-Dioleoyl-2-Stearoylglycerol (OSO): Assessment on Steric Hindrance of Unsaturated and Saturated Acyl Chain Interactions. J. Lipid Res. 1999, 40, 140–151. [Google Scholar] [PubMed]
- Gibon, V.; Durant, F.; Deroanne, C. Polymorphism and intersolubility of some palmitic, stearic and oleic triglycerides: PPP, PSP and POP. J. Am. Oil Chem. Soc. 1986, 63, 1047–1055. [Google Scholar] [CrossRef]
- Mykhaylyk, O.O.; Smith, K.W.; Martin, C.M.; Ryan, A.J. Structural model of metastable phases occurring during the crystallization process of saturated/ unsaturated triacylglycerols. J. Appl. Cryst. 2007, 40, s297–s302. [Google Scholar] [CrossRef]
- Ishibashi, C.; Hondoh, H.; Ueno, S. Epitaxial Growth of Fat Crystals on Emulsifier Crystals with Different Fatty Acid Moieties. Cryst. Growth Des. 2017, 17, 6363–6371. [Google Scholar] [CrossRef]
- Bayés-García, L.; Calvet, T.; Cuevas-Diarte, M.A.; Ueno, S.; Sato, K. Phase Behavior of Binary Mixture Systems of Saturated-unsaturated Mixed-acid Triacylglycerols: Effects of Glycerol Structures and Chain-Chain Interactions. J. Phys. Chem. B 2015, 119, 4417–4427. [Google Scholar] [CrossRef]
- Small, D.M. General properties of Lipids Conferred by the Aliphatic Chain. In The Physical Chemistry of Lipids: From Alkanes to Phospholipids; Small, D.M., Ed.; Plenum Press: New York, NY, USA, 1986; pp. 21–41. [Google Scholar]
Sample Availability: Samples of the compounds are not available from the authors. |







| MCOPO/POP (nm) | ||||||
|---|---|---|---|---|---|---|
| α | β | |||||
| Long spacing | 4.7 | 4.24 | ||||
| Short spacing | 0.42 | 0.46 | ||||
| 0.38 | ||||||
| 0.377 | ||||||
| OPO | ||||||
| α * | α ** | α | β’ | β2 | β1 | |
| Long spacing | 5.4, 5.2 | 5.1, 3.2 | 5.3 | 4.4 | 5.6 | 6.7 |
| Short spacing | 0.42 | 0.41 | 0.42 | 0.43 | - | 0.48 |
| 0.44 | 0.38 | |||||
| 0.37 | ||||||
| POP | ||||||
| sub-α | α | γ | β’ | β2 | β1 | |
| Long spacing | 5.2 | 4.65 | 6.54 | 4.24 | 6.1 | 6.1 |
| Short spacing | 0.41 | 0.421 | 0.474 | 0.423 | 0.461 | 0.461 |
| 0.38 | 0.39 | 0.396 | 0.393 | 0.372 | ||
| 0.372 | 0.367 | |||||
| OPO/POP = 4/6 | |||||
|---|---|---|---|---|---|
| Cooling Rate (°C·min−1) | Sub-α-2 POP | α-2 POP | β-2 MC | α-2 OPO | β-3 OPO |
| 5 | - | + | + | - | + |
| 10 | - | + | + | - | - |
| 15 | - | + | + | - | - |
| 20 | - | + | + | - | - |
| 25 | - | + | + | - | - |
| 30 | - | + | + | - | - |
| 40 | - | + | + | - | - |
| OPO/POP = 5/5 | |||||
| Cooling Rate (°C·min−1) | Sub-α-2 POP | α-2 POP | β-2 MC | α-2 OPO | β-3 OPO |
| 5 | - | + | + | - | - |
| 10 | - | + | + | - | - |
| 15 | - | + | + | - | - |
| 20 | - | + | + | - | - |
| 25 | + | + | + | + | - |
| 30 | + | + | + | + | - |
| 35 | + | - | - | + | - |
| 40 | + | - | - | + | - |
| OPO/POP = 6/4 | |||||
| Cooling Rate (°C·min−1) | Sub-α-2 POP | α-2 POP | β-2 MC | α-2 OPO | β-3 OPO |
| 5 | - | + | + | - | + |
| 10 | - | + | + | - | + |
| 15 | + | + | + | + | - |
| 20 | + | - | + | + | - |
| 25 | + | - | - | + | - |
| 30 | + | - | - | + | - |
| 35 | + | - | - | + | - |
| 40 | + | - | - | + | - |
Publisher’s Note: MDPI stays neutral with regard to jurisdictional claims in published maps and institutional affiliations. |
© 2020 by the authors. Licensee MDPI, Basel, Switzerland. This article is an open access article distributed under the terms and conditions of the Creative Commons Attribution (CC BY) license (http://creativecommons.org/licenses/by/4.0/).
Share and Cite
Nakanishi, K.; Ueno, S. Mixing Ratio and Cooling Rate Dependence of Molecular Compound Formation in OPO/POP Binary Mixture. Molecules 2020, 25, 5253. https://doi.org/10.3390/molecules25225253
Nakanishi K, Ueno S. Mixing Ratio and Cooling Rate Dependence of Molecular Compound Formation in OPO/POP Binary Mixture. Molecules. 2020; 25(22):5253. https://doi.org/10.3390/molecules25225253
Chicago/Turabian StyleNakanishi, Kengoh, and Satoru Ueno. 2020. "Mixing Ratio and Cooling Rate Dependence of Molecular Compound Formation in OPO/POP Binary Mixture" Molecules 25, no. 22: 5253. https://doi.org/10.3390/molecules25225253
APA StyleNakanishi, K., & Ueno, S. (2020). Mixing Ratio and Cooling Rate Dependence of Molecular Compound Formation in OPO/POP Binary Mixture. Molecules, 25(22), 5253. https://doi.org/10.3390/molecules25225253

