Abstract
New quinazolinone derivatives of the marine-derived alkaloids fiscalin B (3) and fumiquinazoline G (1), with neuroprotective and antitumor effects, were synthesized. Eleven quinazolinone-containing indole alkaloids were synthesized, proceeding the anti analogs via a one-pot method, and the syn analogs by the Mazurkiewicz-Ganesan approach. The neuroprotection capacity of these compounds on the rotenone-damage human neuroblastoma cell SH-SY5y was evaluated using the MTT assay. Compounds 1, 3, 5, and 7 showed more than 25% protection. The antitumor activity was investigated using the sulforhodamine B assay and some compounds were tested on the non-malignant MCF-12A cells. Fumiquinazoline G (1) was the most potent compound, with GI50 values lower than 20 µM. Compounds 5, 7, and 11 were more active in all tumor cell lines when compared to their enantiomers. Compounds 5, 7, 10, and 11 had very little effect in the viability of the non-malignant cells. Differences between enantiomeric pairs were also noted as being essential for these activities the S-configuration at C-4. These results reinforce the previously described activities of the fiscalin B (3) as substance P inhibitor and fumiquinazoline G (1) as antitumor agent showing potential as lead compounds for the development of drugs for treatment of neurodegenerative disorders and cancer, respectively.
1. Introduction
The pathophysiology of neurodegenerative diseases is poorly understood, and there are few therapeutic options, making neuroprotective drug discovery appealing for medicinal chemists. Although cancer and neurodegeneration have very distinct pathological disorders, over recent years growing evidence indicates that they share common molecular pathways [1]. Furthermore, it is recognized that several drugs used in the treatment of neurodegenerative diseases display antitumor effects while some antitumor drugs are neuroprotective [2].
Marine-derived indolylmethylpyrazinoquinazoline alkaloids, with a pyrazino[2,1-b]quinazoline-3,6-dione linked to an indole moiety (Figure 1), have attracted our attention due to their promising antitumor activities [3], with epi-fiscalin A [4], fumiquinazoline A [5,6,7,8,9], fumiquinazoline G [7], and versiquinazolines [10] as the most active analogs. Moreover, the response of fiscalins A-C [11] and (−)-spiroquinazoline [12] (Figure 1A) as substance P inhibitors was also reported as a novel neuroprotective therapy in the intrastriatal 6-hydroxydopamine model of early stage of Parkinson’s disease (PD) [13]. It is well known that among compounds implicated in neurodegeneration, non-proteinogenic amino acids may cause significant collateral neurodegenerative damage [14]. Rodgers et al. [15] reported that proteomimetic l-tyrosine of l-DOPA is cytotoxic in vitro and capable of generating protein aggregation, whereas non-protein amino acid β-methylamino-l-alanine (BMAA) has been linked to neurological diseases such as amyotrophic lateral sclerosis (ALS) and PD since BMAA was detected in brain protein of LAS and PD patients. In the previous work, we have described syntheses of a series of fiscalin B derivatives, which showed weak to moderate antitumor activity against non-small cell lung cancer (NCI-H460) and colorectal adenocarcinoma (HCT-15) cell lines [16]. These findings led us to develop a small library of proteomimetic quinazolinone-derived compounds (Figure 1B) with different configurations at C-1 and C-4 to investigate their action on neurodegenerative disorders as well as to further explore their potential as tumor cell growth inhibitors, putting in evidence the influence of the stereochemistry of the derivatives.
Figure 1.
(A) Structure of natural quinazolinone-containing piperazine linked to an indole moiety such as substance P receptor antagonists and antitumor agents. (B) Proposed conformation constraint peptidomimetics synthetic quinazolinone alkaloids with different substituents at C-1.2.
2. Results
2.1. Chemistry
Two synthetic approaches were used to prepare the syn and anti enantiomers of quinazolinone alkaloids. The syn enantiomers 1 (fumiquinazoline G) and 2 were synthesized by the Mazurkiewicz-Ganesan procedure [17] (Scheme 1A) by coupling anthranilic acid (i) with D-tryptophan methyl ester (ii) for 1 or with l-tryptophan methyl ester (vi) for 2, using 1,1,3,3-tetramethylaminium tetrafluoroborate (TBTU) in alkaline condition to obtain the dipeptide iii or vii. Then, the coupling of iii or vii with N-protected α-amino acid chloride in a two-phase Schotten-Baumann condition yielded a tripeptide (dehydrate β-keto amides) v or ix. The oxazole intermediates were obtained by adding the dehydrating agent, triphenylphosphine (Ph3P), and I2 to dehydrate β-keto amide v or ix, and N-deprotection by 20% piperidine afforded 1 and 2. On the other hand, a highly effective and environmentally friendly approach using a microwave-assisted multicomponent polycondensation of amino acids was used to prepare a series of the anti enantiomers of pyrazinoquinazoline alkaloids [18], as described in our previous work [16]. This methodology was used to synthesize new derivatives of fiscalin B (3) and fumiquinazoline G (1), 4, 5, 6, 7, and 8 (Scheme 1B). The syn isomer 9 was obtained along with 8, and both were isolated by preparative thin layer chromatography (TLC). Diastereoisomers of 10 and 11 were obtained after deprotection of O-benzyl group from 8 and 9, respectively, using boron trichloride, according to Okaya et al. [19] with a slight modification. Compound 12 was also synthesized using microwave irradiation from 3,5-dichloroanthranilic acid (xiii). The purity of the compounds was determined by a reversed-phase liquid chromatography (LC, C18, MeOH:H2O; 60:40 or CH3CN:H2O; 50:50) and was found to be higher than 90%. The enantiomeric ratio (er) was determined by a chiral LC equipped with amylose tris-3,5-dimethylphenylcarbamate column, using hexane:EtOH (80:20) or (70:30) as a mobile phase.
Scheme 1.
(A) Mazurkiewicz-Ganesan approach for 1 and 2. Reagents and conditions (a) CH3CN, TBTU, Et3N, rt, 5 h; (b) CH2Cl2/aq.Na2CO3, rt, 3 h; (c) dried CH2Cl2, Ph3P, I2, EtN(i-Pr)2, rt, overnight; (d) piperidine in CH2CH2, rt, 12 min, then CH3CN, DMAP, reflux 19 h. Fmoc = fluorenylmethyloxycarbonyl; DMAP = 4-(dimethylamino)pyridine, TBTU = 1,1,3,3-tetramethylaminium tetrafluoroborate. (B) One-pot synthesis of pyrazinoquinazolinone alkaloids 3, 4, 5, 6, 7, 8, 9, 10, 11, and 12. Reagents and conditions: (a) dried pyridine, (PhO)3P, 55 °C, 16–24 h; (b) dried pyridine, (PhO)3P, 220 °C, 1.5 min; (c) BCl3, CH2Cl2, −78 °C for 10 min then 25 °C for 6 h; Boc = tert-butyloxycarbonyl, R’= H when no mentioned; er = enantiomeric ratio calculated from the peak area from chiral LC experiments (by using equation X × 100/Xn in which X is the peak area of each peak and Xn is the total peak area. * referred to previous work [16].
The reaction carried out using microwave with high temperature resulted not only in low yields of the products in the range of 2.2 to 21.7%, but also with a high degree of epimerization (Scheme 1). Contrary to what has been found in our previous study [16] that the reaction under a microwave irradiation was regioselective and yielded only anti isomers, the synthesis of 8, by a microwave irradiation, produced also its syn epimer, 9 [4-(benzyloxy)-1-methylbenzyl at C-1], with a 22% yield. This study suggested that microwave irradiation is beneficial for the synthesis of quinazolinone alkaloids with bulky substituents at C-1 which was previously reported as unsuccessful by Mazurkiewicz-Ganesan method [17]. However, this methodology failed for the synthesis of syn enantiomers as described in the experimental section for 4 and 6. The syn enantiomers of 1 and 2 were synthesized by Mazurkiewicz-Ganesan approach [17] and gave moderate yields (37 and 26%, respectively). Compounds 10 and 11 were obtained by deprotection in good yields (30 and 69%, respectively).
Moreover, the methodology involving microwave irradiation was characterized by producing partial epimerizations. Surprisingly, 4 and 5, with three stereogenic centers, gave a higher enantiomeric ratio (er) of 99%. Similar to the previous report for fiscalin B analogs [16], the multi-step approach gave a better yield and, in most cases, higher enantiomeric ratios due to milder conditions; nonetheless, the one-pot reaction is a faster alternative to provide anti enantiomers with diversity of substituents at C-1.
2.2. Structure Elucidation
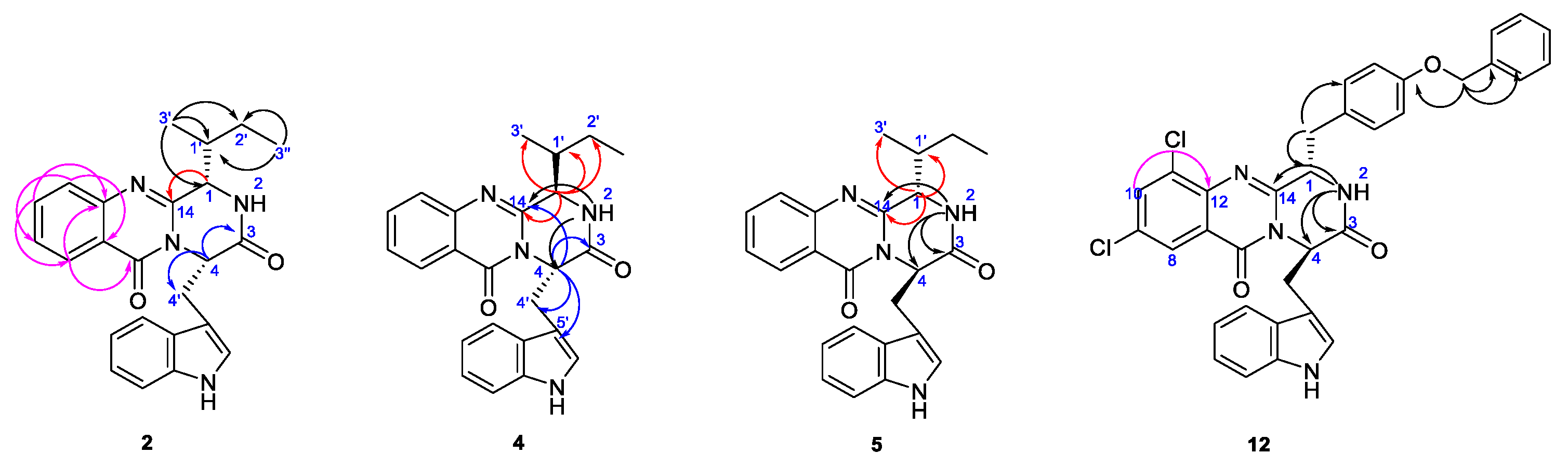
A series of 1D and 2D NMR experiments and HRMS were used to confirm the structures of all the new compounds (Supplementary information, Figures S1–S57). The amide proton (H-2) appeared as a broad singlet (brs) in the anti isomers, i.e., 4, 5, 6, 7, 8, 10, and 12, but as a doublet (d) in the syn isomers, i.e., 1, 2, 9, and 11 (Supplementary information, Figures S1–S21). Each stereoisomer exhibited different chemical shift values for H-2, H-4, and H-1. For example, for isomers 2, 4, and 5, with the isobutyl group at C-1, the syn and the anti isomers were distinguished by the chemical shift values of H-1 and H-1’; which were ca. δH 4.03 and 0.93, respectively for the syn isomer (2), and at ca. δH 2.80 and 2.3, respectively, for the anti isomers (4 and 5), due to the absence of the shielding effect by the aromatic ring of the indole moiety [20].
This assignment was also confirmed by HMBC correlations which distinguished between the isomers of 2, 4, and 5 by the presence or absence of correlations from H-2 to C-3, C-4, and C-14. In 2, H-2 showed no correlation to C-3, C-4, and C-14 whereas in 4 and 5, H-2 showed correlations to those three carbons. H-4 also showed correlations to different carbons among isomers. H-4 showed correlations to C-3 and C-4’ in 2, but to C-3, C-14, C-4’, and C-5’ in 4, while there were no such correlations observed in 5. H-1 of the syn isomer of 2 showed correlation only to C-14 while in the anti isomer of 4 and 5, it displayed correlations to C-14, C-1’ and C-3” (Figure 2). In contrast, in 1, H-2 and H-4 showed no correlations to carbons that are two or three bonds away (2J or 3J), and H-1 showed cross peaks to C-3 and C-14. Furthermore, H-8 and H-10 of 12 (with Cl at C-9 and C-11) appeared as two doublets (δH 8.26, J = 2.4 Hz and δH 7.85, J = 2.4 Hz, respectively) while in other compounds H-8 appeared as a double doublet and H-10 as double-double doublet. The NOESY spectrum for compound 6 with an anti configuration (1R, 4S) showed correlations from H-1 to H-1’ and H-3’ (methyl group attached to S atom) and H-2, while H-4 showed cross peak to H-4’ (Supplementary information, Figure S56). The NOESY spectrum for the syn configuration compound 2 (1S, 4S) exhibited correlations between H-1 and H-1’, H-2’, H-3’’, and H-2 as well as from H-4 to H-4’. Also, correlations between H-4’ and H-1’ in the syn configuration compound 2 could be noted while these was absent in the anti configuration compound 6 (Supplementary information, Figure S57). These observations were similar to the previously described for fiscalin B isomers [16].
Figure 2.
Key HMBC correlations for 2, 4, 5, and 12.
2.3. Neuroprotection Activity
The neuroprotection assay was performed on human neuroblastoma cell SH-SY5y treated with rotenone, a toxin that acts by interfering with the electron transport chain in mitochondria, inhibiting the transfer of electron from iron-sulfur centers in complex I to ubiquinone. This in turn interferes with NADH, therefore creating reactive oxygen species (ROS), which can damage DNA and other components, leading to cell death [21,22]. In animal experimentation, rotenone reproduces features of PD, including selective nigrostriatal dopaminergic degeneration and alpha-synuclein-positive cytoplasmic inclusions [23]. Furthermore, rotenone triggers mitochondrial impairment, oxidative damage, and cell death in neuronal culture, phenomena that are common in neurodegenerative diseases [24].
In this assay, the SH-SY5y cells were treated with 2 µM of rotenone for 24 h. The MTT assay, which assesses cell metabolic activity through the activity of NAD(P)H-dependent cellular oxidoreductase enzyme that reflect the number of viable cells [24], was used for quantifying the cell death. The cellular protection of 1, 2, 4, 5, 6, 7, 8, 9, 10, 11, and 12 against the toxin was determined by MTT assay and expressed as percentage referred to the cell treated with rotenone at 10 different concentrations to produce the dose-dependent curve. Synthetic fiscalin B (3), previously obtained by some of us [16] and was reported as a substance P antagonist [12], was also tested in this assay for comparison. Compounds considered as neuroprotective must have (i) more than 25% of protection, (ii) statistically significant difference, and (iii) protection is more than one dose [23,24].
Most of the compounds, at the highest concentration tested (100 µM), were found to increase toxicity, which ensures that the compounds were assayed at their maximal tolerated dose (MTD). Compounds 1, 2, 3, 4, 5, 10, 11, and 12 showed high toxicity at 100 µM and some of them also at 50 µM. The compounds which showed neuroprotective activity in rotenone-treated in vitro model were 1, 3, 5, and 7. Additionally, some neuroprotective effect was also observed for 11 while 2, 4, 6, 8, 9, 10, and 12 did not display any neuroprotection (Figure 3). Compound 1, 3, 5, and 7 showed more than 25% of protection of the cell death at least in one concentration. Compound 7 exhibited the best neuroprotective activity, with rotenone inhibitory of 47, 40, 42, 39, and 31% at the concentrations of 1.56, 3.13, 6.25, 12.5, and 25 µM, respectively.
Figure 3.
Neuroprotective effect of 1–12 against rotenone-induced neuron cell death. Neuroblastoma cells were treated with 2 µM rotenone to induce cell injury. Compounds were assayed at several concentrations (0.1 to 100 µM) for 24 h. Cell death was determined using MTT test. The data represent the percentage of rotenone-induced cell death (means and errors), performed in triplicate. Statistically significance of differences from rotenone-treated cells was examined with the Student’s t-test (*p < 0.05).
2.4. Tumor Cell Growth Inhibitory Activity
Compounds 1–2, 4–8, 10 and 11 were tested for tumor cell growth inhibitory activity on three human tumor cell lines: NCI-H460 (non-small cell lung cancer), BxPC3 (human pancreatic adenocarcinoma), and PANC1 (human pancreatic adenocarcinoma) using the sulforhodamine B (SRB) colorimetric assay [16,25]. Cells were exposed to five concentrations of each compound (at a maximum concentration of 25, 150 or 200 μM, depending on the compound) for 48 h. Doxorubicin was used as a positive control for NCI-H460 cell line, and gemcitabine was used as a positive control for the BxPC3 and PANC1 cell lines. The antitumor activity was reported as GI50 concentration (drug concentration that inhibits the growth of cancer cells by 50%).
Compounds 2, 4–8, 10, and 11 showed weak to moderate growth inhibitory, with GI50 ranking from 27.93 ± 0.8 to 151.07 ± 2.9 µM (Table 1). In general, compounds with the indolylmethyl substituent on C-4 whose configuration of C-4 is R showed better antitumor activity in all cell lines when compared to those with 4S configuration. This was evidenced by stronger antitumor activities of 1, 5, and 7 than those of 2, 4, and 6. Only fumiquinazoline G (1) with R-configuration for both C-1 and C-4 showed strong growth inhibitory effect in all cancer cell lines tested (GI50 ranging from 7.62 ± 0.7 to 17.34 ± 1.7 µM). In addition, these results agree with those reported in our previous publication in which enantiomers with R-configuration at C-1 and C-4 showed better antitumor activity than enantiomers with S-configuration [16]. Unfortunately, 9 and 12 tested in this study could not be evaluated regarding their tumor cell growth inhibitory activity due to contamination of the compounds (data not shown).
Table 1.
Growth inhibition (GI50) concentration of 1–2, 4–8, 10, and 11 against NCI-H460, BxPC3, and PANC1 human tumor cell lines.
2.5. Activity in Non-Tumor Cells
Compounds presenting the best neuroprotection and/or antitumor effects, namely 5, 7, 10, and 11, were also evaluated against the non-malignant MCF-12A human breast epithelial cells. For that, one concentration of each compound (corresponding to approximately the highest GI50 value obtained in the cell growth inhibitory activity assay) was tested and the percentage of cell growth inhibition was determined by the SRB assay. In this assay, the duration of the SRB assay had to be longer since non-malignant cells have a much slower growth rate than tumor cells. This longer duration of the assay also allowed to evaluate possible delayed effects of the compounds in these non-malignant cells. Therefore, the assay in the MCF-12A cells was performed following 7 days of treatment with compounds (48 h with compound incubation plus 5 days without the compounds). As shown in Table 2, all the tested compounds caused a small effect in the growth of these non-malignant cells, meaning that the cell growth inhibition detected in MCF-12A cells after 7 days of treatment was much lower than that detected in the tumor cell lines after 2 days of treatment (when tested at the same concentration).
Table 2.
The percentage of cell growth inhibition (relative to the control) of 5, 7, 10, and 11 in the non-malignant MCF-12A human breast epithelial cells.
3. Structural-Activity Relationship (SAR)
Structure-activity relationship analysis showed that the obtained results were consistent with data previously reported for the natural product fumiquinazoline G [26] and fiscalin B [11,27,28,29] and their derivatives [16] (Figure 4). Moreover, it was found that the configurations of C-1 and C-4 have strong influence on antitumor activity since fumiquinazoline G (1), with R-configurations at C-1 and C-4, showed the strongest antitumor effect against NCI-H460, BxPC3, and PANC1 cell lines. Comparing the enantiomeric pairs 4 and 5, compound 5 with also R-configuration at C-4 and S at C-1 showed stronger antitumor effect. In contrast, their isomer, compound 2, with S-configurations both at C-1 and C-4 were S exhibited the weakest inhibitory effect on all cell lines. In addition, the substituent at C-1 also affected the antitumor activity. Alkyl residues (isoleucine residues) in 2, 4, and 5 showed better antitumor activity than that found in compounds with a sulfur atom (methionine residues) such as 6 and 7. Aromatic groups such as the tyrosine residue present in 10 and 11 produced good antitumor activity, with GI50 values ranging from 27.93 ± 0.8 to 50.59 ± 2.3 µM, but the substitution by benzyl groups as in the case of 8 caused a 2-fold decrease in the antitumor activity. Regarding neuroprotection capacity, SAR suggests that the R-configuration at C-4 is also important (when comparing compounds 6 and 7, Figure 3); however, increasing the molecular weight of C-1 substituent has a negative effect in neuroprotection. In addition, this study confirmed that quinazolinone alkaloids which act as substance P inhibitors (i.e., fiscalin B, 3), showed a potential as neuroprotective agents. Therefore, the studied fumiquinazoline-derived alkaloids showed promising antitumor and neuroprotection effects and deserves to be further explored.
Figure 4.
Structure-activity relationship studies of quinazolinone alkaloids 1–12 with antitumor and neuroprotective activities.
4. Materials and Methods
4.1. General Procedure
All reagents were from analytical grade. Dried pyridine and triphenylphosphite were purchased from Sigma (Sigma-Aldrich Co. Ltd., Gillingham, UK). Anthranilic acid (i) and Protected amino acids (ii and vii) were purchased from TCI (Tokyo Chemical Industry Co. Ltd., Chuo-ku, Tokyo, Japan). Column chromatography purifications were performed using flash silica Merck 60, 230–400 mesh (EMD Millipore corporation, Billerica, MA, USA) and preparative TLC was carried out on precoated plates Merck Kieselgel 60 F254 (EMD Millipore corporation, Billerica, MA, USA), spots were visualized with UV light (Vilber Lourmat, Marne-la-Vallée, France). Melting points were measured in a Köfler microscope and are uncorrected. Infrared spectra were recorded in a KBr microplate in a FTIR spectrometer Nicolet iS10 from Thermo Scientific (Waltham, MA, USA) with Smart OMNI-Transmission accessory (Software 188 OMNIC 8.3, Thermo Fisher Scientific Inc., Austin, TX, USA). 1H and 13C NMR spectra were recorded in CDCl3 or DMSO-d6 (Deutero GmbH, Kastellaun, Germany) at room temperature unless otherwise mentioned on Bruker AMC instrument (Bruker Biosciences Corporation, Billerica, MA, USA), operating at 300 MHz for 1H and 75 MHz for 13C). Carbons were assigned according to HSQC and or HMBC experiments. Optical rotation was measured at 25 °C using the ADP 410 polarimeter (Bellingham + Stanley Ltd., Royal Tunbridge Wells, Kent, UK), using the emission wavelength of sodium lamp, concentrations are given in g/100 mL. Qualitative GC-MS analyses were performed on a Trace GC 2000 Series ThermoQuest gas chromatography (Thermo Fisher Scientific Inc., Austin, TX, USA) equipped with ion-trap GCQ Plus ThermoQuest Finnigan mass detector (Thermo Fisher Scientific Inc.). Chromatographic separation was achieved using a capillary column (30 m × 0.25 mm × 0.25 μm, cross-linked 5% diphenyl and 95% dimethyl polysiloxane) from Thermo ScientificTM (Thermo Fisher Scientific Inc.) and high-purity helium C-60 as carrier gas. High resolution mass spectra (HRMS) were measured on a Bruker FTMS APEX III mass spectrometer (Bruker Corporation, Billerica, MA, USA) recorded as ESI (Electrospray) made in Centro de Apoio Cientifico e Tecnolόxico á Investigation (CACTI, University of Vigo, Pontevendra, Spain). The purity of synthesized compounds was determined by reversed-phase LC with diode array detector (DAD) using C18 column (Kimetex®, 2.6 EV0 C18 100 Å, 150 × 4.6 mm), and the mobile phase was methanol:water (60:40) or acetonitrile:water (50:50). Enantiomeric ratio was determined by chiral LC (LCMS-2010EV, Shimadzu, Lisbon, Portugal), employing a system equipped with a chiral column (Lux® 5 µm Amylose-1, 250 × 4.6 mm) and UV-detection at 254 nm, mobile phase was hexane:ethanol (80:20) and the flow rate was 0.5 mL/min. Compound 3 was obtained according to previous described method [17]. Neuroprotection studies were performed in Fundación Centro de Excelencia en Investigación de Medicamentos Innovadores en Andalucía, MEDINA (Granada, Spain).
4.2. General Conditions for the Synthesis of Compound (1R,4R)-4-((1H-indol-3-yl)methyl)-1-((R)-methyl)-1,2-dihydro-6H-pyrazino[2,1-b]quinazoline-3,6(4H)-dione (1)
To a mixture of anthranilic acid (i, 287 mg, 2.39 mmol) and TBTU (920 mg, 2.86 mmol, 1.2 equiv) in acetonitrile (20 mL) was added Et3N (833 µL, 4.78 mmol, 2 equiv) and d-tryptophan methyl ester (ii, 521 mg, 2.39 mmol) at room temperature. After stirring for 5 h, the reaction mixture was concentrated under reduced pressure. The residue was dissolved in CH2Cl2 and washed with 1 M HCl, extracted with CH2Cl2 (3 × 100 mL), dried with Na2SO4, filtered, and concentrated. The residue was purified by flash chromatography (eluent 1% MeOH in CH2Cl2) to yield iii as a white solid. 1H NMR and 13C NMR referred to the previous work [16]. To a solution of iii (140 mg, 0.416 mmol) in dried CH2Cl2 (10 mL) N-Fmoc-d-alanine-Cl [30] (iv,182 mg, 0.5 mmol) was added. The mixture was stirred for 30 min, followed by the addition of aqueous Na2CO3 (1 M, 8 mL, 8 mmol). After continuous stirring for 3 h, the mixture was extracted with CH2Cl2 (4 × 100 mL), dried with Na2SO4, filtered, and concentrated. The residue was purified by flash chromatography (eluent: 5% MeOH in CH2Cl2) to give v (220.4 mg, 84.2%) as a white solid. 1H NMR (300 MHz, CDCl3) δ 11.48 (s, 1H), 8.58 (d, 1H, J = 8.4 Hz), 8.13 (s, 1H), 7.76 (d, 2H, J = 7.5 Hz), 7.66 (d, 1H, J = 7.1 Hz), 7.59 (t, 1H, J = 7.4 Hz), 7.49-7.26 (m, 8H), 7.17 (t, 1H, J = 7.2 Hz), 7.06 (t, 1H, J = 7.6 Hz), 7.00 ( t, 1H, J = 7.7 Hz), 6.97 (s, 1H), 6.71 (d, 1H, J = 7.6 Hz), 5.55 (d, 1H, J = 6.8), 5.03 (dt, 1H, J = 7.6, 5.3 Hz), 4.44 (m, 2H), 4.36 (1m, 1H), 4.26 (t, 1H, J = 7.0 Hz), 3.73 (s, 3H), 3.40 (dd, 1H, J = 15.3, 5.8 Hz), 3.34 (dd, 1H, J = 15.3, 5.3 Hz), 1.53 (d, 3H, J = 7.0 Hz) and 13C NMR (75 MHz, CDCl3) 172.7, 172.2, 168.8, 156.6, 144.2, 143.8, 141.4, 138.6, 136.4, 132.8, 127.8, 127.4, 127.2, 125.3, 123.4, 123.3, 122.1, 121.6, 120.9, 120.0, 119.5, 118.3, 111.7, 109.2, 67.3, 53.6, 52.7, 52.2, 47.3, 27.3, 18.4 (See in [31]). To a solution of v (183.2 mg, 0.278 mmol) in dried CH2Cl2 (20 mL) Ph3P (365 mg, 1.39 mmol, 5 equiv), I2 (345 mg, 1.36 mmol. 4.9 equiv), and N,N-diisopropylethylamine (489 µL, 2.81 mmol, 10 equiv) were added. The reaction mixture was stirred at room temperature for 5 h, quenched with aqueous Na2CO3, and extracted with CH2Cl2 (3 × 100 mL), dried with Na2SO4, filtered, and concentrated. Hexane was added to remove an excess of Ph3P, the precipitate was filtered and was treated with CH2Cl2 (10 mL) and piperidine (2.5 mL, 20%) at room temperature for 20 min, followed by solvent evaporation to provide the solid which was triturated with hexane (1 × 200 mL), CH2Cl2/PhMe (1 × 200 mL), and hexane (1 × 200 mL). The vacuum-dried crude residue was dissolved in CH3CN (10 mL) in the presence of DMAP (64 mg, 0.53 mmol) and refluxed for 19 h. The reaction mixture was purified by preparative TLC (EtOAc:MeOH:CH2Cl2, 50:2.5:47.5) to afford 1. Yield: 22.4 mg, 21.11%; er = 7:93; mp: 105.9–106.5 °C; = −117.64 (c 0.034; CHCl3); vmax (KBr) 3406, 2924, 2852, 1678, 1473, 1329, and 1261 cm-1; 1H NMR (300 MHz, CDCl3): δ 8. 38 (dd, 1H, J = 8.0 and 1.1 Hz, CH), 8.18 (br, 1H, NH-Trp), 7.78 (ddd, 1H, J = 8.5, 7.1, and 1.6 Hz, CH), 7.57 (d, 1H, J 7.4 Hz, CH), 7.54 (dd, 1H, J = 8.0 and 1.0 Hz, CH), 7.29 (d, 1H, J = 3.1 Hz, CH-Trp), 7.27 (d, 1H, J = 2.0 Hz, CH-Trp), 7.08 (ddd, 1H, J = 9.5, 7.0 and 0.9 Hz, CH-Trp), 6.83 (ddd, 1H, J = 8.7, 7.1 and 1.0 Hz, CH-Trp), 6.73 (d, 1H, J = 2.3 Hz, CH-Trp), 6.70 (d, 1H, J = 2.0 Hz, NH-amide), 5.54 (dd, 1H J = 5.2 and 3.6 Hz, CH*-Trp), 4.46 (qd, 1H, J = 6.9 and 2.8 Hz, CH*-ala), 3.78 (dd, 1H, J = 14.9 and 5.3 Hz, CH2-Trp), 3.70 (dd, 1H, J = 14.9 and 3.4 Hz, CH2-Trp), 0.58 (d, 3H, J = 7.0 Hz, CH3-ala); 13C NMR (75 MHz, CDCl3): δ 167.3 (C=O), 161.0 (C=O), 151.2 (C=N), 147.2 (C), 135.7 (C-Trp), 134.9 (CH), 127.9 (C-Trp), 126.9 (CH), 126.8 (CH), 126.7 (CH), 123.7 (CH-Trp), 122.3 (CH-Trp), 120.1 (C), 119.9 (CH-Trp), 118.7 (CH-Trp), 111.1 (CH-Trp), 109.4 (C-Trp), 56.9 (CH*-Trp), 51.9 (CH*-ala), 27.1 (CH2-Trp), 22.8 (CH3-ala. (+)-HRMS-ESI m/z 359.1505 (M + H)+, (calculated for C21H18N4O2, 358.1430).
4.3. General Conditions for the Synthesis of Compound (1S,4S)-4-((1H-indol-3-yl)methyl)-1-((S)-sec-butyl) -1,2-dihydro-6H-pyrazino[2,1-b]quinazoline-3,6(4H)-dione (2)
To a mixture of anthranilic acid (i, 287 mg, 2.39 mmol) and TBTU (920 mg, 2.86 mmol, 1.2 equiv) in acetonitrile (20 mL), Et3N (833 µL, 4.78 mmol, 2 equiv) and l-tryptophan methyl ester (vi, 521 mg, 2.39 mmol) were added at room temperature. After stirring for 5 h, the reaction mixture was concentrated under reduced pressure. The residue was dissolved in CH2Cl2 and washed with 1 M HCl, extracted with CH2Cl2 (3 × 100 mL), dried with Na2SO4, filtered, and concentrated. The residue was purified by flash chromatography (eluent 1% MeOH in CH2Cl2) to yield vii as a white solid. 1H NMR and 13C NMR referred to the previous work [16]. To a solution of vii (304 mg, 0.901 mmol) in dried CH2Cl2 (30 mL), N-Fmoc-l-isoleucine-Cl [30] (viii, 395 mg, 1.08 mmol) was added. The mixture was stirred for 30 min, followed by addition of aqueous Na2CO3 (1 M, 16 mL, 16 mmol). After continuous stirring for 3 h, the mixture was extracted with CH2Cl2 (4 × 100 mL), dried with Na2SO4, filtered, and concentrated. The residue was purified by flash chromatography (eluent: 5% MeOH in CH2Cl2 to give ix (475.8 mg, 86.2%) as a white solid. 1H NMR (300 MHz, CDCl3): δ 11.43 (s, 1H), 8.59 (d, 1H, J = 8.3 Hz), 8.19 (s, 1H), 7.76 (d, 2H J = 7.4 Hz), 7.69-7.56 (m, 2H), 7.53-7.28 (m, 7H), 7.17 (t, 1H, J = 7.3 Hz), 7.06 (t, 1H, J = 7.4 Hz), 7.01 (d, 1H, J = 7.6 Hz), 6.96 (d, 1H, J = 3.5 Hz), 6.72 (d, 1H, J = 7.6 Hz), 5.55 (d, 1H, J = 8.4 Hz), 5.06 (dd, 1H, J = 12.6 and 5.2 Hz), 4.39 (dd, 2H, J = 16.4 and 9.1 Hz), 3.73 (s, 3H), 3.37 (m, 2H), 2.11-2.00 (m, 1H), 1.68-1.48 (m, 2H), 1.03 (d, 3H, J = 6.8 Hz), 0.96 (t, 3H, J = 7.3 Hz) and 13C NMR (75 MHz, CDCl3) 172.1, 170.2, 168.6, 144.1, 143.8, 141.3, 139.0, 136.1, 132.9, 127.7, 127.5, 127.1, 127.1, 126.9, 125.3, 125.2, 123.2, 122.8, 122.4, 121.4, 120.2, 120.0, 119.8, 118.5, 111.4, 109.7, 67.2, 61.3, 53.3, 52.6, 47.3, 37.9, 31.4, 27.3, 15.8, 11.7. To a solution of ix (291.5 mg, 0.432 mmol) in dried CH2Cl2 (20 mL) Ph3P (565 mg, 2.16 mmol, 5 equiv), I2 (448 mg, 2.12 mmol. 4.9 equiv), and N,N-diisopropylethylamine (753 µL, 4.32 mmol, 10 equiv) were added. The reaction mixture was stirred at room temperature for 5 h, quenched with aqueous Na2CO3, and extracted with CH2Cl2 (3 × 100 mL), dried with Na2SO4, filtered, and concentrated. Hexane was added to remove an excess of Ph3P, the precipitate was filtered and was treated with CH2Cl2 (10 mL) and piperidine (2.5 mL, 20%) at room temperature for 20 min, followed by solvent evaporation to provide the solid which was triturated with hexane (1 × 200 mL), CH2Cl2/PhMe (1 × 200 mL), and hexane (1 × 200 mL). The vacuum-dried crude residue was dissolved in CH3CN (10 mL) in the presence of DMAP (158 mg, 1.39 mmol) and refluxed for 19 h. The reaction mixture was purified by preparative TLC (EtOAc: MeOH: CH2Cl2, 50:2.5:47.5) to afford 2. Yield: 36 mg, 36.2%; enantiomeric ratio (er) = 73:27; m.p: 181–183 °C; = +346.40 (c 0.051; CHCl3); vmax (KBr) 3375, 3187, 2880, 1684, 1662, 1472, 1434, and 1261 1 cm−1; 1H NMR (300 MHz, CDCl3): δ 8.38 (dd, 1H, J = 8.0 and 1.1 Hz, CH), 8.07 (br, 1H, NH-Trp), 7.79 (ddd, 1H, J = 8.5, 7.1, and 1.6 Hz, CH), 7.62 (dd, J = 8.2 and 0.5 Hz, CH), 7.54 (ddd, 1H, J = 8.2, 7.2, and 1.2 Hz, CH), 7.48 (d, 1H, J 7.9 Hz, CH-Trp), 7.28 (d, 1H, J = 8.5 Hz, CH-Trp), 7.12 (ddd, 1H, J = 8.1, 7.1 and 1.1 Hz, CH-Trp), 6.94 (ddd, 1H, J = 8.0, 7.1 and 1.0 Hz, CH-Trp), 6.87 (d, 1H, J = 2.3 Hz, CH-Trp), 6.55 (d, 1H, J = 3.1 Hz, NH-amide), 5.52 (dd, 1H, J = 6.4 and 3.6 Hz, CH*-Trp), 4.03 (dd, 1H, J = 8.0 and 3.5 Hz, CH-Ile), 3.83 (dd, 1H, J = 14.9 and 6.4 Hz, CH2-Trp), 3.73 (dd, 1H, J = 14.8 and 3.5 Hz, CH2-Trp), 0.99–0.85 (m, 1H, CH*-Ile), 0.85–0.69 (m, 2H, CH2-Ile), 0.66 (d, 3H, J = 6.5 Hz, CH3-Ile), 0.58 (t, 3H J = 7.1 Hz, CH3-Ile); 13C NMR (75 MHz, CDCl3): δ 167.8 (C=O), 161.4 (C=O), 149.4 (C=N), 146.8 (C), 135.9 (C-Trp), 134.7 (CH), 127.9 (C-Trp), 127.1 (CH), 127.1 (CH), 126.8 (CH), 123.5 (CH-Trp), 122.3 (CH-Trp), 120.3 (C), 120.0 (CH-Trp), 119.0 (CH-Trp), 111.0 (CH-Trp), 110.2 (C-Trp), 60.8 (CH*-Ile), 57.6 (CH*-Trp), 40.8 (CH*-Ile), 27.1 (CH2-Trp), 24.3 (CH2-Ile), 15.3 (CH3-Ile), 10.4 (CH3-Ile); (+)-HREM-ESI m/z 401.1967 (M + H)+, 423.1787 ( M + Na)+ (calculated for C24H25N4O2, 400.1899).
4.4. General Conditions for the Synthesis of Quinazolinone-3,6-(4H)-Diones Compound 4, 5, 6, 7, 8, and 9
In a closed vial anthranilic acid (i, 28 mg, 200 µmol), N-Boc-l-isoleucine (x, 44 mg, 200 µmol) for 4 and 5, or N-Boc-l-methionine (xi, 46 mg, 200 µmol) for 6 and 7, or N-Boc-o-Bn-Tyrosine (xii, 74 mg, 200 µmol) for 8 and 9, and triphenylphosphite (63 µL, 220 µmol) were added along with 1 mL of dried pyridine. The vial was heated in heating block with stirring at 55 °C for 16–24 h. After cooling the mixture to room temperature, d-tryptophan methyl ester hydrochloride (ii) for 5, and 7, L-tryptophan methyl ester hydrochloride (vi) for 4, 6, 8 and 9 (51 mg, 200 µmol) was added, and the mixture was irradiated in the microwave at the constant temperature at 220 °C for 1.5 min. Reaction mixtures were prepared in the same conditions and treated in parallel. After removing the solvent with toluene, the crude product was purified by flash column chromatography using hexane:EtOAc (60:40) as a mobile phase. The preparative TLC was performed using CH2Cl2:Me2CO (95:5) as mobile phase. The major compound appeared as a black spot with no fluorescence under the UV light (366 nm). The desirable compounds 4, 5, 6, 7, 8, and 9 were collected as yellow solids. Before analysis, compounds were recrystallized from methanol.
(1R,4S)-4-((1H-indol-3-yl)methyl)-1-((S)-sec-butyl)-1,2-dihydro-6H-pyrazino[2,1-b]quinazoline-3,6(4H)-dione(4). Yield: 29.2 mg, 7.1%; er = 3:97; m.p: 220–221 °C; = + 484.7 (c 0.037; CHCl3); vmax (KBr) 3373, 3059, 2880, 1684, 1662, 1472, 1434, and 1261 cm−1; 1H NMR (300 MHz, CDCl3): δ 8. 38 (dd, 1H, J = 7.9 and 1.2 Hz, CH), 8.07 (br, 1H, NH-Trp), 7.78 (ddd, 1H, J = 8.4, 7.1, and 1.6 Hz, CH), 7.57 (d, J = 8.0 Hz, CH), 7.52 (d, 1H, J = 6.0 Hz, CH), 7.47 (d, 1H, J = 8.0 Hz, CH-Trp), 7.28 (d, 1H, J = 8.2 Hz, CH-Trp), 7.12 (t, 1H, J = 7.1 Hz, CH-Trp), 6.96 (t, 1H, J = 7.5 Hz, CH-Trp), 6.57 (d, 1H, J = 2.4 Hz, CH-Trp), 5.68 (dd, 1H, J = 5.2 and 2.7 Hz, CH*-Trp), 5.64 (s, 1H, NH-amide), 3.76 (dd, 1H, J = 14.8 and 2.7 Hz, CH2-Trp), 3.63 (dd, 1H, J = 14.9 and 5.3 Hz, CH2-Trp), 2.80 (d, 1H, J = 2.4 Hz, CH*-Ile), 2.36 (dt, 1H, J 14.9 and 7.5 Hz, CH*-Ile), 0.98 (m, 2H, CH2-Ile), 0.88 (d, 3H, J = 6.5 Hz, CH3-Ile), 0.64 (t, 3H J = 6.4 Hz, CH3-Ile); 13C NMR (75 MHz, CDCl3): δ 169.5 (C=O), 160.9 (C=O), 150.7 (C=N), 147.1 (C), 136.1 (C-Trp), 134.7 (CH), 127.2 (CH), 127.1 (CH), 127.0 (C-Trp), 126.9 (CH), 123.6 (CH-Trp), 122.8 (CH-Trp), 120.2 (C), 120.1 (C-Trp), 118.8 (CH-Trp), 111.1 (CH-Trp), 109.4 (C-Trp), 56.8 (CH*-Trp), 55.1 (CH*-Ile), 35.8 (CH*-Ile), 27.4 (CH2-Trp), 25.8 (CH2-Ile), 13.2 (CH3-Ile), 11.0 (CH3-Ile; (+)-HRMS-ESI m/z 401.1964 (M + H)+ (calculated for C24H25N4O2, 400.1899).
(1S,4R)-4-((1H-indol-3-yl)methyl)-1-((S)-sec-butyl)-1,2-dihydro-6H-pyrazino[2,1-b]quinazoline-3,6(4H)-dione (5). Yield: 27.2 mg, 6.6%; er = 3:97; m.p: 218–220 °C; = −372.6 (c 0.034; CHCl3); vmax (KBr) 3373, 3059, 2880, 1684, 1662, 1472, 1434, 1261 cm−1; 1H NMR (300 MHz, CDCl3): δ 8. 37 (dd, 1H, J = 7.9 and 1.2 Hz, CH), 8.07 (br, 1H, NH-Trp), 7.78 (ddd, 1H, J = 8.4, 7.1, and 1.6 Hz, CH), 7.57 (d, J = 8.0 Hz, CH), 7.52 (d, 1H, J = 6.0 Hz, CH), 7.47 (d, 1H, J = 8.0 Hz, CH-Trp), 7.28 (d, 1H, J = 8.2 Hz, CH-Trp), 7.12 (t, 1H, J = 7.1 Hz, CH-Trp), 6.96 (t, 1H, J = 7.5 Hz, CH-Trp), 6.57 (d, 1H, J = 2.4 Hz, CH-indole), 5.68 (dd, 1H, J = 5.2 and 2.7 Hz, CH*-Trp), 5.52 (s, 1H, NH-amide), 3.76 (dd, 1H, J = 14.8 and 2.7 Hz, CH2-Trp), 3.63 (dd, 1H, J = 14.9 and 5.3 Hz, CH2-Trp), 2.80 (d, 1H, J = 2.4 Hz, CH*-Ile), 2.37 (dt, 1H, J = 14.9 and 7.5 Hz, CH*-Ile), 0.88 (m, 2H, J = 6.7 Hz, CH2-Ile), 0.62 (d, 3H, J = 6.5 Hz, CH3-Ile), 0.46 (t, 3H J = 6.4 Hz, CH3-Ile); 13C NMR (75 MHz, CDCl3): δ 169.4 (C=O), 160.9 (C=O), 150.1 (C=N), 147.1 (C), 136.1 (C-Trp), 134.7 (CH), 127.2 (CH), 127.2 (CH), 127.0 (CH-Trp), 126.9 (CH), 123.6 (CH-Trp), 122.7 (CH-Trp), 120.2 (C), 120.1 (C-Trp), 118.8 (CH-Trp), 111.1 (CH-Trp), 109.4 (C-indol), 56.8 (CH*-Trp), 55.5 (CH*-Ile), 35.6 (CH*-Ile), 27.4 (CH2-Trp), 25.9 (CH2-Ile), 13.2 (CH3-Ile), 11.0 (CH3-Ile; (+)-HRMS-ESI m/z 401.1973 (M + H)+ (calculated for C24H25N4O2, 400.1899).
(1R,4S)-4-((1H-indol-3-yl)methyl)-1-(2-(methylthio)ethyl)-1,2-dihydro-6H-pyrazino[2,1-b]quinazoline-3,6(4H)-diones (6). Yield: 27 mg, 6.1%; m.p: 198–200.7 °C; = +74.1 (c 0.045; CHCl3); vmax (KBr) 3295, 3067, 2915, 1682, 1600, 1470, 770, and 697 cm−1; 1H NMR (300 MHz, CDCl3): δ 8. 37 (dd, 1H, J = 8.0 and 1.2 Hz, CH), 8.07 (br, 1H, NH-Trp), 7.78 (ddd, 1H, J = 8.4, 7.0, and 1.5 Hz, CH), 7.57 (d, 1H, J = 2.5 Hz, CH), 7.53 (dd, 1H, J = 8.2 and 1.1 Hz, CH), 7.41 (d, 1H, J = 8.0 Hz, CH-Trp), 7.30 (d, 1H, J = 8.3 Hz, CH-Trp), 7.13 (t, 1H, J = 7.7 Hz, CH-Trp), 6.93 (t, 1H, J = 7.0 Hz, CH-Trp), 6.71 (d, 1H, J = 2.4 Hz, CH-Trp), 6.37 (s, 1H, NH-amide), 5.67 (dd, 1H, J = 5.2 and 3.0 Hz, CH*-Trp), 3.74 (dd, 1H, J = 15.0 and 3.0 Hz, CH2-Trp), 3.65 (dd, 1H, J = 14.9 and 5.3 Hz, CH2-Trp), 2.99 (dd, 1H, J = 6.6 and 3.6 Hz, CH*-Met), 2.49-2.13 (m, 4H, CH2-Met), 1.96 (s, 3H, CH3-Met); 13C NMR (75 MHz, CDCl3): δ 169.3 (C=O), 161.1 (C=O), 150.3 (C=N), 147.1 (C), 136.0 (C-Trp), 134.7 (CH), 127.2 (CH), 127.2 (C-Trp), 126.9 (CH), 123.5 (CH-Trp), 122.7 (CH-Trp), 120.2 (C), 120.2 (C-Trp), 118.7 (CH-Trp), 111.1 (CH-Trp), 109.5 (C-Trp), 57.2 (CH*Trp), 52.8 (CH*-Met), 30.7 (CH2-S-Met), 29.7 (CH2-Met), 27.2 (CH2-Trp), 15.3 (CH3-Met); HRMS-ESI m/z 419.1544 (M + H)+ (calculate for C23H23N4O2S, 418.1463).
(1S,4R)-4-((1H-indol-3-yl)methyl)-1-(2-(methylthio)ethyl)-1,2-dihydro-6H-pyrazino[2,1-b]quinazoline-3,6(4H)-diones (7). Yield: 34.8 mg, 7.9%; er = 49: 51; m.p.: 197–200 °C; = −56.9 (c 0.041; CHCl3); vmax (KBr) 3290, 3058, 2918, 2854, 1684, 1670, 1602, 773, and 695 cm−1; 1H NMR (300 MHz, CDCl3): δ 8. 37 (dd, 1H, J = 8.0 and 1.1 Hz, CH), 8.12 (br, 1H, NH-Trp), 7.78 (ddd, 1H, J = 8.4, 7.2, and 1.5 Hz, CH), 7.57 (d, J = 8.3 Hz, CH), 7.54 (d, 1H, J = 7.0 Hz, CH), 7.40 (d, 1H, J = 8.0 Hz, CH-Trp), 7.30 (d, 1H, J = 8.2 Hz, CH-Trp), 7.12 (t, 1H, J = 7.1 Hz, CH-Trp), 6.92(t, 1H, J = 7.0 Hz, CH-Trp), 6.71 (d, 1H, J = 2.4 Hz, CH-Trp), 5.67 (dd, 1H, J = 5.4 and 3.1 Hz, CH*-Trp), 6.54 (s, 1H, NH-amide), 3.73 (dd, 1H, J = 15.0 and 2.9 Hz, CH2-Trp), 3.65 (dd, 1H, J = 15.1 and 5.5 Hz, CH2-Trp), 3.01 (dd, 1H, J = 6.6 and 3.6 Hz, CH*-Met), 2.48-2.20 (m, 4H, CH2-Met), 1.96 (s, 3H, CH3-Met); 13C NMR (75 MHz, CDCl3): δ 169.5 (C=O), 161.0 (C=O), 150.6 (C=N), 146.9 (C), 136.1 (C-Trp), 134.7 (CH), 127.2 (C-Trp), 127.2 (CH), 126.9 (CH), 123.5 (CH-Trp), 122.6 (CH-Trp), 120.2 (C), 120.1 (C-Trp), 118.7 (CH-Trp), 111.2 (CH-Trp), 109.5 (C-Trp), 57.2 (CH*-Trp), 52.8 (CH*-Met), 30.7 (CH2-S-Met), 29.7 (CH2-Met), 27.2 (CH2-Trp), 15.3 (CH3-Met); (+)-HRMS-ESI m/z 419.1526 (M + H)+, (calculated for C23H23N4O2S, 418.1463).
(1R,4S)-4-((1H-indol-3-yl)methyl)-1-(4-(benzyloxy)benzyl)-1,2-dihydro-6H-pyrazino[2,1-b]quinazoline-3,6(4H)-diones (8). Yield: 81.9 mg, 14.8%; er = 63:37; m.p.: 226.9–227.9 °C; = +46.7 (c 0.05; CHCl3); vmax (KBr) 3393, 3268, 2954, 1671, 1611, 1511, 1465, 1240, 772, and 697 cm−1; 1H NMR (300 MHz, CDCl3): δ 8. 39 (dd, 1H, J = 8.0 and 1.2 Hz, CH), 8.05 (br, 1H, NH-Trp), 7.80 (ddd, 1H, J = 8.5, 7.2 and 1.5 Hz, CH), 7.62 (d, J = 8.0 Hz, CH), 7.56 (dt, 1H, J = 7.3, 7.7, and 1.1 Hz, CH), 7.45-7.39 (m, 5H, CH-Bz), 7.32 (d, 2H, J = 8.0 Hz, CH-Trp), 7.17 (t, 1H, J = 7.5 Hz, CH-Trp), 6.88 (t, 1H, J = 7.5 Hz, CH-Trp), 6.76 (d, 2H, J = 9.0 Hz, CH-Tyr), 6.61 (d, 1H, J = 3.0 Hz, CH-Trp), 6.39 (d, 2H, J = 8.5 Hz, CH-Tyr), 5.64 (dd, 1H, J = 5.2 and 2.7, CH*-Trp), 5.35 (s, 1H, NH-amide), 5.05 (s, 2H, CH2-Bz), 3.76 (dd, 1H, J = 14.9 and 2.6 Hz, CH2-Trp), 3.67 (dd, 1H, J = 15.0 and 5.3 Hz, CH2-Trp), 3.52 (dd, 1H, J = 14.7 and 3.6 Hz, CH2-Tyr), 2.89 (dd, J = 11.1 and 3.6 Hz, CH*-Tyr), 2.46 (dd, 1H, J = 14.7 and 11.2 Hz, CH2-Tyr); 13C NMR (75 MHz, CDCl3): δ 169.2 (C=O), 160.7 (C=O), 157.9 (C-Tyr), 151.0 (C=N), 147.0 (C), 137.0 (C-Trp), 136.1(C-Bz), 134.8 (CH), 128.7 (CH-Tyr (2)), 128.6 (CH-Bz (2)), 128.0 (C-Tyr), 127.4 (CH-Bz), 127.3 (CH-Trp), 127.2 (CH), 127.1 (CH-Bz (2)), 127.0 (CH), 126.9 (CH), 123.8 (CH-Trp), 122.8 (CH-Trp), 120.6 (C), 120.4 (CH-Trp), 119.0 (CH-Trp), 115.5 (CH-Tyr (2H)), 111.1 (CH-Trp), 109.7 (C-Trp), 70.1 (CH2-Bz), 57.4 (CH*-Trp), 52.9 (CH*-Tyr), 37.1 (CH2-Tyr), 29.7 (CH2-Trp); (+)-HRMS-ESI m/z 541.2232 (M + H)+, (calculated for C34H29N4O3, 540.2161).
(1S,4S)-4-((1H-indol-3-yl)methyl)-1-(4-(benzyloxy)benzyl)-1,2-dihydro-6H-pyrazino[2,1-b]quinazoline-3,6(4H)-diones (9). Yield: 119.9 mg, 21.7%; er = 29:71; m.p.: 165.9–166.6 °C; = +205.8 (c 0.076; CHCl3); νmax (KBr) 3489, 3364, 2923, 1674, 1612, 1512, 1467, 1249, 774, and 695 cm−1; 1H NMR (300 MHz, CDCl3): δ 8. 42 (dd, 1H, J = 8.0 and 1.1 Hz, CH), 8.08 (br, 1H, NH-Trp), 7.83 (ddd, 1H, J 8.5, 7.1, and 1.5 Hz, CH), 7.66 (d, J 7.7 Hz, CH), 7.62-7.52 (m, 2H, CH), 7.39 (t, 4H, J = 2.6 Hz, CH-Bz), 7.35 (ddd, J = 6.2, 3.4, and 1.5 Hz, 1H, CH-Bz), 7.30 (d, 1H, J = 8.1 Hz, CH-Trp), 7.20 (td, 1H, J = 7.6 and 1.1 Hz, CH-Trp), 6.10 (td, 1H, J = 7.5 and 1.0 Hz, CH-Trp), 6.74 (d, 2H, J = 8.7 Hz, CH-Tyr), 6.60 (d, 1H, J = 2.3 Hz, CH-Trp), 6.23 (d, 2H, J = 8.6 Hz, CH-Tyr), 5.56 (t, 1H, J = 4.2 Hz, CH*-Trp), 5.55 (s, 1H, NH-amide), 4.99 (s, 2H, CH2-Bz), 4.33 (dt, 1H, J = 11.7 and 2.8 Hz, CH*-Tyr), 3.86 (dd, 1H, J =14.9 and 3.0 Hz, CH2-Trp), 3.80 (dd, 1H, J = 14.9 and 4.4 Hz, CH2-Trp), 2.95 (dd, 1H, J = 13.3 and 3.1 Hz, CH2-Tyr), 0.53 (dd, J = 13.1 and 11.9 Hz, CH2-Tyr); 13C NMR (75 MHz, CDCl3): δ 166.5 (C=O), 160.9 (C=O), 158.0 (C-Tyr), 150.2 (C=N), 147.2 (C), 136.9 (C-Trp), 135.8 (C-Bn), 134.9 (CH), 130.28 (CH-Tyr (2)), 128.6 (CH-Bz (2)), 128.1 (C-Tyr), 128.0 (CH-Bz), 127.7 (C-Trp), 127.4 (CH), 127.0 (CH-Bz (2)), 126.9 (CH), 123.5 (CH-Trp), 122.8 (CH-Trp), 120.5 (C), 120.2 (C-Trp), 119.5 (CH-Trp), 115.2 (CH-Tyr (2)), 111.4 (CH-Trp), 109.7 (C-Trp), 70.0 (CH2-Bz), 57.9 (CH*-Tyr), 56.8 (CH*-Trp), 42.0 (CH2-Tyr), 26.6 (CH2-Trp(+)-HRMS-ESI m/z 541.2221 (M + H)+, (calculated for C34H29N4O3, 540.2161).
4.5. General Conditions for the Synthesis of (1S)-4-((1H-indol-3-yl)methyl)-1-(4-hydroxybenzyl)-1,2-dihydro -6H-pyrazino[2,1-b]quinazoline-3,6(4H)-dione (10 and 11)
In an oven-dried round-bottomed flash equipped with Teflon-coated magnetic stir bar, a rubber septum, a glass stopper, and nitrogen gas inlet compound 8 or 9 (50 mg, 0.092 mmol) dissolved with anhydrous CH2Cl2 (5 mL) was added. After cooled the mixture to −78 °C, 1M boron trichloride in CH2Cl2 (190 µL, 0.19 mmol, 2eq) was added dropwise over 5 min at −78 °C. After stirring for 45 min at -78 °C, the mixture was quenched by syringe addition of CHCl3/MeOH (10/1, 10 mL) at -78 °C and was warmed to ambient temperature. The solvent was evaporated, and the content was purified by flash column chromatography using hexane: EtOAc (6:4) as mobile phase. Compounds 10 or 11 were obtained as pale yellow solids. Before analysis, compounds were recrystallized from methanol.
(1R,4S)-4-((1H-indol-3-yl)methyl)-1-(4-hydroxybenzyl)-1,2-dihydro-6H-pyrazino[2,1-b]quinazoline-3,6(4H)-dione (10). Yield: 12.5 mg, 30%; er = 36:65; m.p.: 134–136 °C; = +39.5 (c 0.034; CH3OH); vmax (KBr) 3427, 1677, 1603, 1515, 1468, 1159, 1025, 998, and 765 cm−1; 1H NMR (300 MHz, DMSO-d6): δ 10.48 (s, 1H, NH-Trp), 8.89 (d, 1H, J = 4.9 Hz, OH-Tyr), 8.32 (dd, 1H, J = 8.0 and 1.2 Hz, CH), 7.81 (dd, 1H, J = 7.7 and 1.6 Hz, CH), 7.61 (d, J = 7.9 Hz, CH), 7.56 (dd, 1H, J = 12.7 and 7.2 Hz, CH), 7.39 (dd, 1H, J = 8.0 and 5.4 Hz, CH-Trp), 7.34 (dt, 1H, J = 8.1 Hz, CH), 7.13 (dd, 1H, J = 13.4 and 6.7 Hz, CH-Trp), 6.84 (dd, 1H, J = 13.4 and 6.7 Hz, CH-Trp), 6.60 (d, 1H, J = 3.4 Hz, CH-Trp), 6.58(dd, 2H, J = 8.5 and 6.0 Hz, CH-Tyr), 6.53 (d, 1H, J = 4.4 Hz, NH-amide), 6.46 (dd, 2H, J = 7.9 and 5.7 Hz, CH-Tyr), 5.44 (dd, 1H, J = 5.0 and 2.8 Hz, CH*-Trp), 3.64 (dd, 1H, J = 14.8 and 2.7 Hz, CH2-Trp), 3.56 (dd, 1H, J = 14.9 and 5.3 Hz), 3.26 (dt, J = 13.4 and 3.6 Hz, CH2-Tyr), 3.03 (dt, 1H, J = 8.9 and 4.7 Hz, CH*-Tyr), 2.67 (dt, 1H, J = 13.3 and 10.5 Hz); 13C NMR (75 MHz, CDCl3): δ 168.1 (C=O), 160.0 (C=O), 150.5 (C-Tyr), 146.3 (C), 135.8 (C-Trp), 134.1 (CH), 129.4 (CH-Tyr (2)), 126.7 (C-Trp), 126.6 (CH), 126.4 (CH), 126.1 (CH), 124.9 (C-Tyr), 123.7 (CH-Trp), 121.2 (CH-Trp), 119.6 (CH-Trp), 118.9 (CH-Trp), 115.0 (C-Tyr), 111.2 (CH-Trp), 108.0 (C-Trp), 56.6 (CH*-Trp), 52.8 (CH*-Tyr), 36.3 (CH2-Tyr), 26.5 (CH2-Trp); (+)-HRMS-ESI m/z 451.1766 (M + H)+, 473.1576 (M + Na)+ (calculated for C27H23N4O3, 450.1692).
(1S,4S)-4-((1H-indol-3-yl)methyl)-1-(4-hydroxybenzyl)-1,2-dihydro-6H-pyrazino[2,1-b]quinazoline-3,6(4H)-dione(11). Yield: 25.7 mg, 68.7%; er = 61:39; m.p.: 102–103 °C; = +75.9 (c 0.079; CH3OH); vmax (KBr) 3428, 2927, 1667, 1610, 1592, 1474, 1337, 1232, 772, and 699 cm–1; 1H NMR (300 MHz, DMSO-d6): δ 10.54 (s, 1H, NH-Trp), 8.86 (s, 1H, OH-Tyr), 8.34 (dd, 1H, J = 8.0 and 1.2 Hz, CH), 7.83 (dd, 1H, J = 7.7, and 1.6Hz, CH), 7.62 (d, J = 7.9 Hz, CH), 7.56 (dt, 1H, J = 7.6, 7.6, and 0.6 Hz, CH), 7.49 (d, 1H, J = 7.9 Hz, CH-Trp), 7.30 (d, 1H, J = 8.1 Hz, CH), 7.20 (d, 1H, J = 3.3 Hz, NH-amide), 7.09 (dt, 1H, J = 7.6 and 0.6 Hz, CH-Trp), 6.94 (dt, 1H, J = 7.5 and 0.5 Hz, CH-Trp), 6.66 (d, 1H, J = 2.3 Hz, CH-Trp) 6.57(d, 2H, J = 5.6 Hz, CH-Tyr), 6.45 (d, 2H, J = 8.4 Hz, CH-Tyr), 5.37 (dd, 1H, J = 5.2 and 3.3 Hz, CH*-Trp), 4.36 (dt, 1H, J = 10.5 and 3.4 Hz, CH*-Tyr), 3.63 (dd, 1H, J = 14.8 and 3.1 Hz, CH2-Trp), 3.55 (dd, 1H, J = 14.9 and 5.4 Hz, CH2-Trp), 2.69 (dd, J = 13.4 and 3.6 Hz CH2-Tyr), 0.86 (dd, 1H, J = 13.3 and 10.5 Hz, CH2-Tyr); 13C NMR (75 MHz, CDCl3): δ 165.8 (C=O), 160.2 (C=O), 155.8 (C-Tyr), 150.4 (C=N), 146.7 (C), 135.6 (C-Trp), 134.2 (CH), 129.9 (CH-Tyr (2)), 127.4 (CH-Trp), 126.3 (CH), 126.2 (CH), 126.1 (CH-Trp), 125.9 (C-Tyr), 123.7 (CH-Trp), 121.1 (CH-Trp), 119.5 (CH-Trp), 118.7 (CH-Trp), 114.9 (CH-Tyr (2)), 111.2 (CH-Trp), 108.0 (C-Trp), 57.2 (CH*-Trp), 56.3 (CH*-Tyr), 41.8 (CH2-Tyr), 26.1 (CH2-Trp); (+)-HRMS-ESI m/z 451.1771 (M + H)+, 473.1564 (M + Na)+ (calculated for C27H23N4O3, 450.1692).
4.6. General Conditions for the Synthesis of (1S,4R)-4-((1H-indol-3-yl)methyl)-1-(4-(benzyloxy)benzyl)-8,10 -dichloro-1,2-dihydro-6H-pyrazino[2,1-b]quinazoline-3,6(4H)-dione (12)
In a closed vial 3,5-dichloro anthranilic acid (xiii, 41 mg, 200 µmol), N-Boc-ο-Bn-Tyrosine (xii, 74 mg, 200 µmol), and triphenylphosphite (63 µL, 220 µmol) were added along with 1 mL of dried pyridine. The vial was heated in heating block with stirring at 55 °C for 16–24 h. After cooling the mixture to room temperature, d-tryptophan methyl ester hydrochloride (ii, 51 mg, 200 µmol) was added, and the mixture was irradiated in the microwave at the constant temperature at 220 °C for 1.5 min. Reaction mixtures were prepared in the same conditions and treated in parallel. After removing the solvent with toluene, the crude product was purified by flash column chromatography using hexane: EtOAc (60:40) as a mobile phase. The preparative TLC was performed using CH2Cl2:Me2CO (95:5) as mobile phase. The major compound appeared as a black spot with no fluorescence under the UV light (366 nm). Compound 12 was collected as orange solids. Before analysis, compound was recrystallized from methanol. Yield: 26.2 mg, 2.2%; er 67:33; m.p.: 233–235 °C; = +244.44 (c 0.045; CH3OH); νmax (KBr) 3424, 3334, 2921, 1681, 1593, 1511, 1455, 1247,1012, 695, and 420 cm−1; 1H NMR (300 MHz, CDCl3): δ 8.26 (d, 1H, J = 2.4 Hz, CH), 8.09 (br, 1H, NH-Trp), 7.85 (d, 1H, J = 2.4 Hz, CH), 7.44 (dd, 5H, J = 6.4 and 2.0 Hz, CH-Bz), 7.39 (d, 2H, J = 8.2 Hz, CH-Trp), 7.19 (t, 1H, J = 7.7 Hz, CH-Trp), 6.96 (t, 1H, J = 7.5 Hz, CH-Trp), 6.75 (d, 2H, J = 8.7 Hz, CH-Tyr), 6.62 (d, 1H, J = 2.3 Hz, CH-Trp), 6.40 (d, 2H, J = 8.5 Hz, CH-Tyr), 5.56 (dd, 1H, J = 5.2 and 2.6, CH*-Trp), 5.41 (s, 1H, NH-amide), 5.06 (s, 2H, CH2-Bz), 3.77 (dd, 1H, J = 15.0 and 2.6 Hz, CH2-Trp), 3.62 (dd, 1H, J = 15.6 and 4.1 Hz, CH2-Trp), 3.50 (dd, 1H, J = 17.5 and 4.4 Hz, CH2-Tyr), 2.95 (dd, J = 10.8 and 3.6 Hz, CH*-Tyr), 2.51 (dd, 1H, J = 14.8 and 10.9 Hz, CH2-Tyr); 13C NMR (75 MHz, CDCl3): δ 168.7 (C=O), 159.2 (C=O), 158.0 (C-Tyr), 152.0 (C=N), 142.4 (C), 136.9 (C-Bz), 136.1(C-Trp), 135.1 (CH), 133.2 (C-Cl), 132.6 (C-Cl), 129.6 (CH-Tyr (2)), 128.7 (CH-Bz (2)), 128.1 (CH-Bz), 127.4 (CH-Bz(2)), 126.9 (C-Trp), 126.6 (C-Tyr), 125.2 (CH), 123.7 (CH-Trp), 122.9 (CH-Trp), 122.4 (C), 118.9 (CH-Trp), 115.5 (CH-Tyr (2H)), 111.2 (CH-Trp), 109.4 (C-Trp), 70.1 (CH2-Bz), 57.6 (CH*-Trp), 53.1 (CH*-Tyr), 36.9 (CH2-Tyr), 27.1 (CH2-Trp). (+)-HRMS-ESI m/z 609.1427 (M + H)+, (calculated for C34H27N4O3Cl2, 608.1382).
4.7. Neuroprotection Assay
Compounds 1, 2, 4, 5, 6, 7, 8, 9, 10, 11, and 12c together with fiscalin B (3) were assayed in co-treatment with rotenone at eight concentrations per triplicate. The SH-SY5y cells (ATCC Ref.: CRL-2266) were seeded at a density of 40,000/well in a 96-well plate and were incubated in a humidified atmosphere at 37 °C with 5% CO2 for overnight. The compounds were dissolved in DMSO at the concentration of 10 mM and the higher concentration assayed was 100 µM. The negative control was 1% DMSO. After 24 h of co-treatment, plates were treated with MTT (3-(4,5-dimethylthiazol-2-yl)-2,5-diphenyltetrazolium bromide) at 5 µg/mL in Minimum Essential Medium Eagle (MEM) for 3 h at the standard culture condition. Then, DMSO was added to the plates to solubilizing the formazan crystal formed in viable cells and plates were put in the stirring for 5 min to homogenize the solution. Absorbance at 570 nm was measured by VICTOR Multilabel Plate Reader (PerkinElmer).
4.8. Screening Test for Antitumor Activity
Compounds 1, 2, 4, 5, 6, 7, 8, 10, and 11 were reconstituted in sterile DMSO to the final concentration of 60 mM, and several aliquots were made and stored at −20 °C to avoid repeated freeze-thaw cycles. For experiments, the compounds were freshly diluted in medium to the desired concentration. Screening for tumor cell growth inhibitory activity was carried out in three human tumor cell lines (NCI-H460, BxPC3 and PANC1), with the sulforhodamine B (SRB) assay, as previously described [32]. Briefly, tumor cells were plated in 96-well plates, incubated at 37 °C for 24 h, and then treated for 48 h with 5 serial dilutions (1:2) of each compound (ranging from 25 μM to 1.5625 μM, 150 μM to 9.375 μM or 200 μM to 12.5 μM, depending on the compound and for reasons related with solubility). The effect of the vehicle solvent (DMSO) was also analyzed as a control. Cells were fixed with 10% ice-cold trichloroacetic acid, washed with water, and stained with SRB. Finally, the plates were washed with 1% acetic acid and the bound SRB was solubilized with 10 mM Tris Base. Absorbance was measured in a microplate reader (Synergy Mx, Biotek Instruments Inc., Winooski, VT, USA) at 510 nm. For each compound, the corresponding GI50 (concentration which inhibited 50% of net cell growth) was determined, as previously described [33].
4.9. Testing Effect of Compounds on Non-malignant Breast Cells
Compounds 5, 7, 10 and 11 (which presented simultaneously the best neuroprotection and antitumor effects) were tested against the non-malignant MCF-12A human breast epithelial cells. For that, cells were incubated with specific concentrations of each compound (corresponding to approximately the highest GI50 concentration obtained in the antitumor activity screening) for 48 h, followed by removal of the compound, addition of new medium to the cells and then 5 more days in culture. At the end of the 7 days in total, the sulforhodamine B (SRB) assay was performed, as previously described [32].
5. Conclusions
New quinazolinone alkaloid derivatives with anti and syn stereochemistry were synthetized by combining both a one-pot microwave-assisted reaction and a multi-step approach. Interestingly, fumiquinazoline G (1) presented a better antitumor activity in all the tumor cell lines tested, with GI50 values lower than 20 µM. The antitumor activity of the remaining compounds was not relevant, with GI50 values higher than 20 µM in the tested cell lines. The effect of the synthesized compounds in the growth of the tested non-malignant cells was smaller than the effect on the studied tumor cells. It is worth noting that among the compounds tested, only 1, 3, 5, and 7 showed potential for neuroprotection in a PD in vitro model. This finding highlights new insights into marine natural products belonging to the proteomimetic quinazolinone alkaloids.
Supplementary Materials
The following are available online Figures S1–S57.
Author Contributions
E.S. conceived the study design. S.L. synthesized the compounds and elucidated their structure and, A.S., E.S., A.K. and M.M.M.P. analyzed the data. D.I.S.P.R. performed the LC analysis. R.F. and C.X. performed the cytotoxic studies in tumor cells and non-malignant breast cells. C.X. and M.H.V. analyzed data from the cytotoxic studies, discussed and wrote those results. S.L. and E.S. wrote the manuscript, while all authors gave significant contributions in discussion and revision. All authors agreed with the final version of the manuscript.
Funding
This research was partially supported by the Strategic Funding UID/Multi/04423/2013 through national funds provided by FCT—Foundation for Science and Technology and European Regional Development Fund (ERDF), in the framework of the program PT2020. The authors thank to national funds provided by FCT—Foundation for Science and Technology and European Regional Development Fund (ERDF) and COMPETE under the Strategic Funding UID/Multi/04423/2013, the projects POCI-01-0145-FEDER-028736 and PTDC/MAR-BIO/4694/2014 (POCI-01-0145-FEDER-016790; 3599-PPCDT).
Acknowledgments
S.L. thanks Erasmus Mundus Action 2 (LOTUS+, LP15DF0205) for full PhD scholarship. D.I.S.P.R. thanks for her postdoctoral scholarship (NOVELMAR/BPD_2/2016-019). To Sara Cravo for technical support.
Conflicts of Interest
The authors declare no conflict of interest.
References
- Plun-Favreau, H.; Lewis, P.A.; Hardy, J.; Martins, L.M.; Wood, N.W. Cancer and neurodegeneration: Between the devil and the deep blue sea. PLoS Genet. 2010, 6, e1001257. [Google Scholar] [CrossRef] [PubMed]
- Klus, P.; Cirillo, D.; Botta Orfila, T.; Tartaglia, G.G. Neurodegeneration and cancer: Where the disorder prevails. Sci. Rep. 2015, 5, 15390. [Google Scholar] [CrossRef] [PubMed]
- Resende, D.I.S.P.; Boonpothong, P.; Sousa, E.; Kijjoa, A.; Pinto, M.M.M. Chemistry of the fumiquinazolines and structurally related alkaloids. Nat. Prod. Rep. 2019, 36, 7–34. [Google Scholar] [CrossRef] [PubMed]
- Buttachon, S.; Chandrapatya, A.; Manoch, L.; Silva, A.; Gales, L.; Bruyère, C.; Kiss, R.; Kijjoa, A. Sartorymensin, a new indole alkaloid, and new analogues of tryptoquivaline and fiscalins produced by neosartorya siamensis (kufc 6349). Tetrahedron 2012, 68, 3253–3262. [Google Scholar] [CrossRef]
- Tamiya, H.; Ochiai, E.; Kikuchi, K.; Yahiro, M.; Toyotome, T.; Watanabe, A.; Yaguchi, T.; Kamei, K. Secondary metabolite profiles and antifungal drug susceptibility of aspergillus fumigatus and closely related species, aspergillus lentulus, aspergillus udagawae, and aspergillus viridinutans. J. Infect. Chemother. 2015, 21, 385–391. [Google Scholar] [CrossRef] [PubMed]
- He, F.; Sun, Y.-L.; Liu, K.-S.; Zhang, X.-Y.; Qian, P.-Y.; Wang, Y.-F.; Qi, S.-H. Indole alkaloids from marine-derived fungus aspergillus sydowii scsio 00305. J. Antibiot. 2012, 65, 109–111. [Google Scholar] [CrossRef] [PubMed]
- Takahashi, C.; Matsushita, T.; Doi, M.; Minoura, K.; Shingu, T.; Kumeda, Y.; Numata, A. Fumiquinazolines a–g, novel metabolites of a fungus separated from a pseudolabrus marine fish. J. Chem. Soc. Perkin Trans. 1 1995, 18, 2345–2353. [Google Scholar] [CrossRef]
- Numata, A.; Takahashi, C.; Matsushita, T.; Miyamoto, T.; Kawai, K.; Usami, Y.; Matsumura, E.; Inoue, M.; Ohishi, H.; Shingu, T. Fumiquinazolines, novel metabolites of a fungus isolated from a saltfish. Tetrahedron Lett. 1992, 33, 1621–1624. [Google Scholar] [CrossRef]
- Han, X.-x.; Xu, X.-y.; Cui, C.-b.; Gu, Q.-q. Alkaloidal compounds produced by a marine-derived fungus, aspergillus fumigatus h1-04, and their antitumor activities. Chinese J. Org. Chem. 2007, 17, 232–237. [Google Scholar]
- Cheng, Z.; Lou, L.; Liu, D.; Li, X.; Proksch, P.; Yin, S.; Lin, W. Versiquinazolines a–k, fumiquinazoline-type alkaloids from the gorgonian-derived fungus aspergillus versicolor lzd-14-1. J. Nat. Prod. 2016, 79, 2941–2952. [Google Scholar] [CrossRef]
- Wong, S.M.; Musza, L.L.; Kydd, G.C.; Kullnig, R.; Gillum, A.M.; Cooper, R. Fiscalins: New sibstamce p inhibitors produced by the fungus neosartorya fischeri. Taxonomy, fermentation, structures, and biological properties. J. Antibiot. 1993, 46, 545–553. [Google Scholar] [CrossRef] [PubMed]
- Barrow, C.J.; Sun, H.H. Spiroquinazoline, a novel substance p inhibitor with a new carbon skeleton, isolated from aspergillus flavipes. J. Nat. Prod. 1994, 57, 471–476. [Google Scholar] [CrossRef] [PubMed]
- Thornton, E.; Vink, R. Treatment with a substance p receptor antagonist is neuroprotective in the intrastriatal 6-hydroxydopamine model of early parkinson’s disease. PLoS ONE 2012, 7. [Google Scholar] [CrossRef] [PubMed]
- Dunlop, R.A.; Cox, P.A.; Banack, S.A.; Rodgers, K.J. The non-protein amino acid bmaa is misincorporated into human proteins in place of l-serine causing protein misfolding and aggregation. PLoS ONE 2013, 8, e75376. [Google Scholar] [CrossRef] [PubMed]
- Rodgers, K.J. Non-protein amino acids and neurodegeneration: The enemy within. Exp. Neurol. 2014, 253, 192–196. [Google Scholar] [CrossRef]
- Long, S.; Resende, D.I.S.P.; Kijjoa, A.; Silva, A.M.S.; Pina, A.; Fernández-Marcelo, T.; Vasconcelos, M.H.; Sousa, E.; Pinto, M.M.M. Antitumor activity of quinazolinone alkaloids inspired by marine natural products. Mar. Drugs 2018, 16, 261. [Google Scholar] [CrossRef]
- Wang, H.; Ganesan, A. Total synthesis of the fumiquinazoline alkaloids: Solution-phase studies. J. Org. Chem. 2000, 65, 1022–1030. [Google Scholar] [CrossRef]
- Liu, J.F.; Ye, P.; Zhang, B.; Bi, G.; Sargent, K.; Yu, L.; Yohannes, D.; Baldino, C.M. Three-component one-pot total syntheses of glyantrypine, fumiquinazoline f, and fiscalin b promoted by microwave irradiation. J. Org. Chem. 2005, 70, 6339–6345. [Google Scholar] [CrossRef] [PubMed]
- Okaya, S.; Okuyama, K.; Okano, K.; Tokuyama, H. Trichloroboron-promoted deprotection of phenolic benzyl ether using pentamethylbenzene as a non lewis-basic cation scavenger. In Organic Syntheses; Wiley: Hoboken, NJ, USA, 2016; Volume 93, pp. 63–74. [Google Scholar]
- Hernández, F.; Buenadicha, F.L.; Avendao, C.; Söllhuber, M. 1-alkyl-2,4-dihydro-1h-pyrazino[2,1-b]quinazoline-3,6-diones as glycine templates. Synthesis of fiscalin b. Tetrahedron Asymmetr. 2002, 12, 3387–3398. [Google Scholar] [CrossRef]
- Campos, A.C.; Fogaça, M.V.; Sonego, A.B.; Guimarães, F.S. Cannabidiol, neuroprotection and neuropsychiatric disorders. Pharmacol. Res. 2016, 112, 119–127. [Google Scholar] [CrossRef] [PubMed]
- Bagli, E.; Goussia, A.; Moschos, M.M.; Agnantis, N.; Kitsos, G. Natural compounds and neuroprotection: Mechanisms of action and novel delivery systems. In Vivo 2016, 30, 535–547. [Google Scholar] [PubMed]
- Cannon, J.R.; Tapias, V.; Na, H.M.; Honick, A.S.; Drolet, R.E.; Greenamyre, J.T. A highly reproducible rotenone model of parkinson’s disease. Neurobiol. Dis. 2009, 34, 279–290. [Google Scholar] [CrossRef] [PubMed]
- Condello, S.; Currò, M.; Ferlazzo, N.; Caccamo, D.; Satriano, J.; Ientile, R. Agmatine effects on mitochondrial membrane potential andnf-κb activation protect against rotenone-induced cell damage in human neuronal-like sh-sy5y cells. J. Neurochem. 2011, 116, 67–75. [Google Scholar] [CrossRef] [PubMed]
- Vichai, V.; Kirtikara, K. Sulforhodamine b colorimetric assay for cytotoxicity screening. Nat. protoc. 2006, 1, 1112–1116. [Google Scholar] [CrossRef]
- Zhou, Y.; Debbab, A.; Mándi, A.; Wray, V.; Schulz, B.; Müller, W.E.G.; Kassack, M.; Lin, W.; Kurtán, T.; Proksch, P.; et al. Alkaloids from the sponge-associated fungus aspergillus sp. Eur. J. Org. Chem. 2013, 5, 894–906. [Google Scholar] [CrossRef]
- Rodrigues, B.S.F.; Sahm, B.D.B.; Jimenez, P.C.; Pinto, F.C.L.; Mafezoli, J.; Mattos, M.C.; Rodrigues-Filho, E.; Pfenning, L.H.; Abreu, L.M.; Costa-Lotufo, L.V.; et al. Bioprospection of cytotoxic compounds in fungal strains recovered from sediments of the brazilian coast. Chem. Biodivers. 2015, 12, 432–442. [Google Scholar] [CrossRef]
- Fujimoto, H.; Negishi, E.; Yamaguchi, K.; Nishi, N.; Yamazaki, M. Isolation of new tremorgenic metabolites from an ascomycete, corynascus setosus. Chem. Pharm. Bull. 1996, 40, 1843–1848. [Google Scholar] [CrossRef]
- Wu, B.; Chen, G.; Liu, Z.-g.; Pei, Y. Two new alkaloids from a marine-derived fungus neosartorya fischeri. Rec. Nat. Prod. 2015, 9, 271–275. [Google Scholar]
- Kantharaju, B.S.P.; Suresh Babu, V.V. Synthesis of fmoc-amino acid chlorides assisted by ultrasonication, a rapid approach. Int. J. Pept. Res. Ther. 2002, 9, 227–229. [Google Scholar] [CrossRef]
- Wang, H.; Ganesan, A. Total synthesis of the quinazoline alkaloids (−)-fumiquinazoline g and (−)-fiscalin b. J. Org. Chem. 1998, 63, 2432–2433. [Google Scholar] [CrossRef]
- Lopes-Rodrigues, V.; Oliveira, A.; Correia-da-Silva, M.; Pinto, M.; Lima, R.T.; Sousa, E.; Vasconcelos, M.H. A novel curcumin derivative which inhibits p-glycoprotein, arrests cell cycle and induces apoptosis in multidrug resistance cells. Bioorg. Med. Chem. 2017, 25, 581–596. [Google Scholar] [CrossRef] [PubMed]
- Kijjoa, A.; Santos, S.; Dethoup, T.; Manoch, L.; Almeida, A.P.; Vasconcelos, M.H.; Silva, A.; Gales, L.; Herz, W. Sartoryglabrins, analogs of ardeemins, from neosartorya glabra. Nat. Prod. Commun. 2011, 6, 807–812. [Google Scholar] [PubMed]
Sample Availability: Samples of the compounds 1–12 are available from the authors. |
© 2019 by the authors. Licensee MDPI, Basel, Switzerland. This article is an open access article distributed under the terms and conditions of the Creative Commons Attribution (CC BY) license (http://creativecommons.org/licenses/by/4.0/).




