Nutrition Quality Parameters of Almonds as Affected by Deficit Irrigation Strategies
Abstract
1. Introduction
2. Results and Discussion
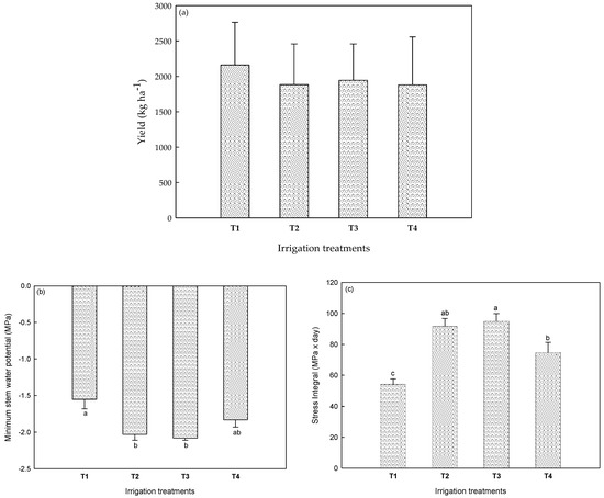
2.1. Irrigation
2.2. Sugars and Organic Acids
2.3. Antioxidant Activity (ABTS+, DPPH•, and FRAP methods) and Total Phenolic Content
2.4. Volatile Compounds
2.5. Pearson’s Correlation Coefficients
3. Materials and Methods
3.1. Plant Material, Growing Conditions and Experimental Design
- Full irrigation (T1), to assure the estimated ET during the entire growing season.
- Moderate RDI (T2); in the period of kernel filling, almonds were irrigated when SWP < −1.5 MPa, and for the rest of the time, trees were irrigated to keep a SWP as the baseline proposed by McCutchan and A Shackel [54].
- Severe RDI (T3); the same as T2, except trees were irrigated when SWP < −2 MPa during kernel filling.
- SDI (T4); a lower amount of water was distributed uniformly throughout the year.
3.2. Sugars and Organic Acids
3.3. Fatty acids Analysis
3.4. Antioxidant Activity and Total Phenolic Content
3.5. Volatile Compounds Analysis
4. Statistical Analysis
5. Conclusions
Author Contributions
Funding
Conflicts of Interest
References
- Fereres, E.; Soriano, M.A. Deficit irrigation for reducing agricultural water use. J. Exp. Bot. 2007, 58, 147–159. [Google Scholar] [CrossRef] [PubMed]
- Lipan, L.; Sánchez Rodríguez, L.; Collado González, J.; Sendra Nadal, E.; BurlóCarbonell, F.M.; Hernández, F.; Vodnar, D.C.; Carbonell Barrachina, A.A. Sustainability of the legal endowments of water in almond trees and a new generation of high quality hydrosustainable almonds—A review. Bull. UASVM Food Sci. Technol. 2018, 75, 97–108. [Google Scholar] [CrossRef]
- Ramlow, M.; Foster, E.J.; Del Grosso, S.J.; Cotrufo, M.F. Broadcast woody biochar provides limited benefits to deficit irrigation maize in Colorado. Agric. Ecosyst. Environ. 2019, 269, 71–81. [Google Scholar] [CrossRef]
- García-Tejero, I.F.; Rubio, A.E.; Viñuela, I.; Hernández, A.; Gutiérrez-Gordillo, S.; Rodríguez-Pleguezuelo, C.R.; Durán-Zuazo, V.H. Thermal imaging at plant level to assess the crop-water status in almond trees (cv. Guara) under deficit irrigation strategies. Agric. Water Manag. 2018, 208, 176–186. [Google Scholar] [CrossRef]
- Goldhamer, D.A.; Viveros, M. Effects of preharvest irrigation cutoff durations and postharvest water deprivation on almond tree performance. Irrig. Sci. 2000, 19, 125–131. [Google Scholar] [CrossRef]
- Egea, G.; González-Real, M.M.; Baille, A.; Nortes, P.A.; Sánchez-Bel, P.; Domingo, R. The effects of contrasted deficit irrigation strategies on the fruit growth and kernel quality of mature almond trees. Agric. Water Manag. 2009, 96, 1605–1614. [Google Scholar] [CrossRef]
- Goldhamer, D.A.; Viveros, M.; Salinas, M. Regulated deficit irrigation in almonds: Effects of variations in applied water and stress timing on yield and yield components. Irrig. Sci. 2005, 24, 101–114. [Google Scholar] [CrossRef]
- Cano-Lamadrid, M.; Girón, I.F.; Pleite, R.; Burló, F.; Corell, M.; Moriana, A.; Carbonell-Barrachina, A.A. Quality attributes of table olives as affected by regulated deficit irrigation. LWT Food Sci. Technol. 2015, 62, 19–26. [Google Scholar] [CrossRef]
- Cano-Lamadrid, M.; Hernandez, F.; Corell, M.; Burlo, F.; Legua, P.; Moriana, A.; Carbonell-Barrachina, A.A. Antioxidant capacity, fatty acids profile, and descriptive sensory analysis of table olives as affected by deficit irrigation. J. Sci. Food Agric. 2016, 97, 444–451. [Google Scholar] [CrossRef]
- Carbonell-Barrachina, A.A.; Memmi, H.; Noguera-Artiaga, L.; Gijon-Lopez, M.D.; Ciapa, R.; Perez-Lopez, D. Quality attributes of pistachio nuts as affected by rootstock and deficit irrigation. J. Sci. Food Agric. 2015, 95, 2866–2873. [Google Scholar] [CrossRef]
- García-Esparza, M.J.; Abrisqueta, I.; Escriche; Intrigliolo, D.; Álvarez; Lizama, V. Volatile compounds and phenolic composition of skins and seeds of ‘Cabernet Sauvignon’ grapes under different deficit irrigation regimes. J. Grapevine Res. 2018, 57, 83–91. [Google Scholar]
- Sanchez-Rodriguez, L.; Corell, M.; Hernandez, F.; Sendra, E.; Moriana, A.; Carbonell-Barrachina, A.A. Effect of Spanish-style processing on the quality attributes of HydroSOStainable green olives. J. Sci. Food Agric. 2019, 99, 1804–1811. [Google Scholar] [CrossRef] [PubMed]
- Zhu, Y.; Taylor, C.; Sommer, K.; Wilkinson, K.; Wirthensohn, M. Influence of deficit irrigation strategies on fatty acid and tocopherol concentration of almond (Prunus dulcis). Food Chem. 2015, 173, 821–826. [Google Scholar] [CrossRef] [PubMed]
- Lipan, L.; Martín-Palomo, M.J.; Sánchez-Rodríguez, L.; Cano-Lamadrid, M.; Sendra, E.; Hernández, F.; Burló, F.; Vázquez-Araújo, L.; Andreu, L.; Carbonell-Barrachina, Á.A. Almond fruit quality can be improved by means of deficit irrigation strategies. Agric. Water Manag. 2019, 217, 236–242. [Google Scholar] [CrossRef]
- Pérez-López, D.; Memmi, H.; Gijón-López, M.d.C.; Moreno, M.M.; Couceiro, J.F.; Centeno, A.; Martín-Palomo, M.J.; Corell, M.; Noguera-Artiaga, L.; Galindo, A.; et al. Chapter 11–Irrigation of Pistachios: Strategies to Confront Water Scarcity. In Water Scarcity and Sustainable Agriculture in Semiarid Environment; García Tejero, I.F., Durán Zuazo, V.H., Eds.; Academic Press: Cambridge, MA, USA, 2018; pp. 247–269. [Google Scholar]
- Lipan, L.; Cano-Lamadrid, M.; Corell, M.; Sendra, E.; Hernandez, F.; Stan, L.; Vodnar, D.C.; Vazquez-Araujo, L.; Carbonell-Barrachina, A.A. Sensory Profile and Acceptability of HydroSOStainable Almonds. Foods 2019, 8, 64. [Google Scholar] [CrossRef] [PubMed]
- Sánchez-Rodríguez, L.; Lipan, L.; Andreu, L.; Martín-Palomo, M.J.; Carbonell-Barrachina, Á.A.; Hernández, F.; Sendra, E. Effect of regulated deficit irrigation on the quality of raw and table olives. Agric. Water Manag. 2019, 221, 415–421. [Google Scholar] [CrossRef]
- Sánchez-Rodríguez, L.; Kranjac, M.; Marijanović, Z.; Jerković, I.; Corell, M.; Moriana, A.; Carbonell-Barrachina, Á.A.; Sendra, E.; Hernández, F. Quality Attributes and Fatty Acid, Volatile and Sensory Profiles of “Arbequina” hydroSOStainable Olive Oil. Molecules 2019, 24, 2148. [Google Scholar] [CrossRef]
- Noguera-Artiaga, L.; Lipan, L.; Vázquez-Araújo, L.; Barber, X.; Pérez-López, D.; Carbonell-Barrachina, Á. Opinion of Spanish Consumers on Hydrosustainable Pistachios. J. Food Sci. 2016, 81, S2559–S2565. [Google Scholar] [CrossRef]
- Nanos, G.; Kazantzis, I.; Kefalas, P.; Petrakis, C.; Stavroulakis, G. Irrigation and harvest time affect almond kernel quality and composition. Sci. Hortic. 2002, 96, 249–256. [Google Scholar] [CrossRef]
- Bolling, B.W.; Dolnikowski, G.; Blumberg, J.B.; Chen, C.O. Polyphenol content and antioxidant activity of California almonds depend on cultivar and harvest year. Food Chem. 2010, 122, 819–825. [Google Scholar] [CrossRef]
- Garrido, I.; Monagas, M.; Gomez-Cordoves, C.; Bartolome, B. Polyphenols and antioxidant properties of almond skins: Influence of industrial processing. J. Food Sci. 2008, 73, C106–C115. [Google Scholar] [CrossRef]
- Kwak, J.; Faranda, A.; Henkin, J.M.; Gallagher, M.; Preti, G.; McGovern, P. Volatile organic compounds released by enzymatic reactions in raw nonpareil almond kernel. Eur. Food Res. Technol. 2015, 241, 441–446. [Google Scholar] [CrossRef]
- Egea, G.; Nortes, P.A.; Domingo, R.; Baille, A.; Pérez-Pastor, A.; González-Real, M.M. Almond agronomic response to long-term deficit irrigation applied since orchard establishment. Irrig. Sci. 2013, 31, 445–454. [Google Scholar] [CrossRef]
- Sanchez-Bel, P.; Egea, I.; Martinez-Madrid, M.C.; Flores, B.; Romojaro, F. Influence of irrigation and organic/inorganic fertilization on chemical quality of almond (Prunus amygdalus cv. Guara). J. Agric. Food Chem. 2008, 56, 10056–10062. [Google Scholar] [CrossRef]
- Cornacchia, R.; Amodio, M.L.; Colelli, G.; Tortosa, P.A.N. Effect of irrigation water reduction strategies on quality at harvest and during storage of in-shell almonds. In Vi International Postharvest Symposium; Erkan, M., Aksoy, U., Eds.; Int Soc Horticultural Science: Leuven, Belgium, 2010; Volume 877, pp. 251–259. [Google Scholar]
- Nahar, K.; Gretzmacher, R. Effect of water stress on nutrient uptake, yield and quality of tomato (Lycopersicon esculentum Mill.) under subtropical conditions. Die Bodenkultur. 2002, 53, 45–51. [Google Scholar]
- Sanders, G.J.; Arndt, S.K. Osmotic Adjustment Under Drought Conditions. In Plant Responses to Drought Stress: From Morphological to Molecular Features; Aroca, R., Ed.; Springer: Berlin/Heidelberg, Germany, 2012; pp. 199–229. [Google Scholar]
- Lin, J.-T.; Liu, S.-C.; Hu, C.-C.; Shyu, Y.-S.; Hsu, C.-Y.; Yang, D.-J. Effects of roasting temperature and duration on fatty acid composition, phenolic composition, Maillard reaction degree and antioxidant attribute of almond (Prunus dulcis) kernel. Food Chem. 2016, 190, 520–528. [Google Scholar] [CrossRef]
- Bolling, B.W. Almond Polyphenols: Methods of Analysis, Contribution to Food Quality, and Health Promotion. Compr. Rev. Food Sci. F. 2017, 16, 346–368. [Google Scholar] [CrossRef]
- Scalbert, A.; Williamson, G. Dietary Intake and Bioavailability of Polyphenols. J. Nutr. 2000, 130, 2073S–2085S. [Google Scholar] [CrossRef]
- Cano-Lamadrid, M.; Lipan, L.; Calin-Sanchez, A.; Hernandez, F.; Carbonell-Barrachina, A.A. A Comparative Study Between Labeling and Reality: The Case of Phytochemical Composition of Commercial Pomegranate-Based Products. J. Food Sci. 2017, 82, 1820–1826. [Google Scholar] [CrossRef]
- Cano-Lamadrid, M.; Galindo, A.; Collado-González, J.; Rodríguez, P.; Cruz, Z.N.; Legua, P.; Burló, F.; Morales, D.; Carbonell-Barrachina, Á.A.; Hernández, F. Influence of deficit irrigation and crop load on the yield and fruit quality in Wonderful and Mollar de Elche pomegranates. J. Sci. Food Agric. 2018, 98, 3098–3108. [Google Scholar] [CrossRef]
- Malejane, D.N.; Tinyani, P.; Soundy, P.; Sultanbawa, Y.; Sivakumar, D. Deficit irrigation improves phenolic content and antioxidant activity in leafy lettuce varieties. Food Sci. Nutr. 2017, 6, 334–341. [Google Scholar] [CrossRef]
- Romero, P.; Gil-Muñoz, R.; del Amor, F.M.; Valdés, E.; Fernández, J.I.; Martinez-Cutillas, A. Regulated Deficit Irrigation based upon optimum water status improves phenolic composition in Monastrell grapes and wines. Agric. Water Manag. 2013, 121, 85–101. [Google Scholar] [CrossRef]
- Company, T.G.S. The Good Scents Company Information System. 2018. Available online: http://www.thegoodscentscompany.com (accessed on 30 June 2019).
- National Center for Biotechnology Information, U.S.N.L.o.M. PubChem Open Chemistry Database. 2018. Available online: https://pubchem.ncbi.nlm.nih.gov/ (accessed on 30 June 2019).
- NIST, National Institute of Standards and Technology (Libro delWeb de Química del NIST. SRD69. In U.S. Secretary of Commerce on behalf of the United States of America; 2018. Available online: https://webbook.nist.gov/chemistry/ (accessed on 30 June 2019).
- Bergaentzle, M.; Sanquer, F.; Hasselmann, C.; Marchioni, E. Detection of γ-irradiated raw-milk Camembert cheeses by capillary gas chromatographic analysis of volatile hydrocarbons. Food Chem. 1994, 51, 177–182. [Google Scholar] [CrossRef]
- Xiao, L.; Lee, J.; Zhang, G.; Ebeler, S.E.; Wickramasinghe, N.; Seiber, J.; Mitchell, A. HS-SPME GC/MS characterization of volatiles in raw and dry-roasted almonds (Prunus dulcis). Food Chem. 2014, 151, 31–39. [Google Scholar] [CrossRef]
- Erten, E.S.; Cadwallader, K.R. Identification of predominant aroma components of raw, dry roasted and oil roasted almonds. Food Chem. 2017, 217, 244–253. [Google Scholar] [CrossRef]
- Vázquez-Araújo, L.; Verdú, A.; Navarro, P.; Martínez-Sánchez, F.; Carbonell-Barrachina, Á.A. Changes in volatile compounds and sensory quality during toasting of Spanish almonds. Intern. J. Food Sci. Technol. 2009, 44, 2225–2233. [Google Scholar] [CrossRef]
- Lee, J.; Xiao, L.; Zhang, G.; Ebeler, S.E.; Mitchell, A.E. Influence of storage on volatile profiles in roasted almonds (Prunus dulcis). J. Agric. Food Chem. 2014, 62, 11236–11245. [Google Scholar] [CrossRef]
- Beltrán, A.; Ramos, M.; Grané, N.; Martín, M.L.; Garrigós, M.C. Monitoring the oxidation of almond oils by HS-SPME–GC–MS and ATR-FTIR: Application of volatile compounds determination to cultivar authenticity. Food Chem. 2011, 126, 603–609. [Google Scholar] [CrossRef]
- Fullana, A.; Carbonell-Barrachina, Á.A.; Sidhu, S. Volatile aldehyde emissions from heated cooking oils. J. Sci. Food Agric. 2004, 84, 2015–2021. [Google Scholar] [CrossRef]
- Kesen, S.; Amanpour, A.; Selli, S. Comparative Evaluation of the Fatty Acids and Aroma Compounds in Selected Iranian Nut Oils. Eur. J. Lipid Sci. Technol. 2018, 120, 1800152. [Google Scholar] [CrossRef]
- Popovic, B.; Stajner, D.; Ždero Pavlović, R.; Tumbas Šaponjac, V.; Čanadanović-Brunet, J.; Orlović, S. Water stress induces changes in polyphenol profile and antioxidant capacity in poplar plants (Populus spp.). Plant. Physiol. Biochem. 2016, 105, 242–250. [Google Scholar] [CrossRef]
- Sánchez-Rodríguez, E.; Rubio-Wilhelmi, M.M.; Cervilla, L.M.; Blasco, B.; Rios, J.J.; Rosales, M.A.; Romero, L.; Ruiz, J.M. Genotypic differences in some physiological parameters symptomatic for oxidative stress under moderate drought in tomato plants. Plant Sci. J. 2010, 178, 30–40. [Google Scholar] [CrossRef]
- Ripoll, J.; Urban, L.; Staudt, M.; Lopez-Lauri, F.; Bidel, L.P.; Bertin, N. Water shortage and quality of fleshy fruits--making the most of the unavoidable. J. Exp. Bot. 2014, 65, 4097–4117. [Google Scholar] [CrossRef]
- Bae, H.; Kyu Yun, S.; Hae Jun, J.; Koo Yoon, I.; Young Nam, E.; Hyun Kwon, J. Assessment of organic acid and sugar composition in apricot, plumcot, plum, and peach during fruit development. J. Appl. Bot. Food Qual. 2014, 87, 24–29. [Google Scholar]
- Celik, F.; Gundogdu, M.; Ercisli, S.; Kaki, B.; Berk, S.; Ilhan, G.; Sagbas, H.I. Variation in organic acid, sugar and phenolic compounds in fruits of historical apple cultivars. Not. Bot. Horti. Agrobo. 2018, 46, 622–629. [Google Scholar] [CrossRef]
- Yahia, E.; Carrillo-Lopez, A. Postharvest Physiology and Biochemistry of Fruits and Vegetables, 1st ed.; Woodhead Publishing: Sawston, UK, 2018. [Google Scholar]
- Campestre, C.; Angelini, G.; Gasbarri, C.; Angerosa, F. The Compounds Responsible for the Sensory Profile in Monovarietal Virgin Olive Oils. Molecules 2017, 22, 1833. [Google Scholar] [CrossRef]
- McCutchan, H.; Shackel, K.A. Stem-water Potential as a Sensitive Indicator of Water Stress in Prune Trees (Prunus domestica L. cv. French). J. Am. Soc. Hortic. Sci. 1992, 117, 47–483. [Google Scholar] [CrossRef]
- Tuberoso, C.I.G.; Kowalczyk, A.; Sarritzu, E.; Cabras, P. Determination of antioxidant compounds and antioxidant activity in commercial oilseeds for food use. Food Chem. 2007, 103, 1494–1501. [Google Scholar] [CrossRef]
- Brand-Williams, W.; Cuvelier, M.E.; Berset, C. Use of a free radical method to evaluate antioxidant activity. LWT Food Sci. Technol. 1995, 28, 25–30. [Google Scholar] [CrossRef]
Sample Availability: Samples of the compounds are available from the authors until the end of 2019. The samples are stored at 4 °C in darkness, and it is planned to store them until the end of 2019. |


| Treatment | Sugars | Organic Acids | ||
|---|---|---|---|---|
| Sucrose | Glucose | Citric | Malic | |
| (g kg−1 dw) | ||||
| ANOVA Test† | ||||
| NS | *** | NS | ** | |
| Tukey’s Multiple Range Test‡ | ||||
| T1 | 33.31 ± 0.69 | 12.03 ± 0.53 a | 2.27 ± 0.04 | 8.81 ± 0.47 b |
| T2 | 34.29 ± 0.49 | 11.78 ± 0.33 a | 2.23 ± 0.04 | 9.02 ± 0.51 b |
| T3 | 35.47 ± 0.68 | 5.58 ± 0.28 b | 2.31 ± 0.05 | 11.18 ± 0.96 ab |
| T4 | 35.12 ± 2.31 | 6.38 ± 0.53 b | 2.36 ± 0.07 | 13.02 ± 1.33 a |
| ABTS+ (mmol Trolox kg−1) | DPPH● (mmol Trolox kg−1) | FRAP (mmol Trolox kg−1) | TPC (g GAE kg−1) | |
|---|---|---|---|---|
| ANOVA † | ||||
| Raw almond | NS | NS | NS | NS |
| Blanched almond | * | NS | * | * |
| Skin | NS | NS | *** | NS |
| Raw almonds ‡ | ||||
| T1 | 9.24 ± 0.84 | 26.1 ± 1.10 | 5.00 ± 0.56 | 5.06 ± 0.22 |
| T2 | 10.24 ± 0.66 | 29.3 ± 0.58 | 3.05 ± 0.47 | 5.83 ± 0.28 |
| T3 | 9.04 ± 0.68 | 27.8 ± 0.10 | 3.22 ± 0.53 | 5.80 ± 0.34 |
| T4 | 9.61 ± 0.33 | 27.4 ± 0.96 | 4.38 ± 0.32 | 5.39 ± 0.23 |
| Blanched almonds ‡ | ||||
| T1 | 1.65 ± 0.06 a | 19.8 ± 0.52 | 0.50 ± 0.01 b | 0.49 ± 0.06 b |
| T2 | 1.44 ± 0.07 ab | 19.6 ± 1.00 | 0.53 ± 0.01 ab | 0.71 ± 0.05 a |
| T3 | 1.71 ± 0.01 a | 21.9 ± 0.56 | 0.60 ± 0.02 a | 0.53 ± 0.01 b |
| T4 | 1.30 ± 0.12 b | 19.0 ± 0.09 | 0.57 ± 0.03 ab | 0.42 ± 0.06 c |
| Almond skin ‡ | ||||
| T1 | 35.8 ± 1.42 | 32.4 ± 1.54 | 67.6 ± 1.05 a | 13.0 ± 0.34 |
| T2 | 37.2 ± 0.33 | 33.6 ± 1.15 | 64.2 ± 0.62 ab | 12.6 ± 0.16 |
| T3 | 35.1 ± 0.92 | 34.9 ± 1.56 | 62.4 ± 0.94 b | 12.7 ± 0.18 |
| T4 | 36.3 ± 1.43 | 36.5 ± 1.45 | 54.4 ± 1.41 c | 12.3 ± 0.02 |
| Compound | Chemical Family | Code | RT (min) | Retention Index † | Odor Descriptor | |
|---|---|---|---|---|---|---|
| Experimental | Literature ‡ | |||||
| Ethanol | Alcohol | V1 | 2.235 | 489 | Strong alcoholic ethereal medical [36] | |
| 2-Butanol | Alcohol | V2 | 2.363 | 608 | Sweet apricot [36] | |
| Hexane | Alkane | V3 | 2.861 | 600 | Petroleum like [37] | |
| 3-Methyl furan | Furan | V4 | 2.986 | 646 | ||
| Acetic acid | Acid | V5 | 3.217 | 663 | Pungent acidic cheesy vinegar [36] | |
| 3-Methyl-2-butenol | Alcohol | V6 | 4.864 | 761 | 770 | Sweet fruity, green lavender [36] |
| 1-Pentanol | Alcohol | V7 | 4.959 | 763 | 761 | Pungent, fermented, bready, yeasty, winey, solvent [36] |
| 2-Methyl-1-butanol | Alcohol | V8 | 5.048 | 765 | 748 | Roasted, wine, onion, fruity, fusel, alcoholic, whiskey [36] |
| 3-Methyl-1-butanol | Alcohol | V9 | 5.190 | 768 | 768 | Fusel, alcoholic, cognac, fruity, banana, molasses [36] |
| 2,3,3-Trimethyl pentane ¥ | Alkane | V10 | 5.361 | 771 | 768 | |
| 2,2,5-Trimethyl hexane ¥ | Alkane | V11 | 6.059 | 787 | 789 | |
| 2-Hexanol | Alcohol | V12 | 6.675 | 801 | 801 | Chemical, winey, fruity, fatty, terpenic, cauliflower [36] |
| Hexanal | Aldehyde | V13 | 6.763 | 803 | 803 | Fresh green fatty aldehydic grassy leafy fruity sweaty [36] |
| 1-Hexanol | Alcohol | V14 | 9.795 | 870 | 869 | Ethereal, fusel, oily, fruity, alcoholic, sweet, green [36] |
| Nonane | Alkane | V15 | 11.198 | 901 | 900 | Gasoline [36] |
| 2-Heptanol | Alcohol | V16 | 11.551 | 907 | 906 | Fresh, lemongrass, herbal, sweet, floral, fruity, green [36] |
| Benzaldehyde | Aldehyde | V17 | 14.982 | 962 | 962 | Almond, fruity, powdery, nutty, cherry, sweet, bitter [36] |
| 2,2,4,6,6-Pentamethylheptane ¥ | Alkane | V18 | 16.650 | 989 | 997 | |
| Decane | Alkane | V19 | 17.461 | 1001 | 1000 | |
| Limonene | Terpene | V20 | 19.416 | 1029 | 1029 | Citrus, orange, sweet, fresh, peely [36] |
| Benzyl alcohol | Alcohol | V21 | 20.062 | 1038 | 1040 | Sweet, floral, fruity, rose, balsamic nuances [36] |
| Undecane | Alkane | V22 | 24.615 | 1101 | 1100 | |
| Nonanal | Aldehyde | V23 | 24.994 | 1107 | 1107 | Waxy, aldehydic, citrus, green lemon peel, orange peel [36] |
| Dodecane | Alkane | V24 | 31.945 | 1201 | 1200 | |
| Tridecane | Alkane | V25 | 39.090 | 1301 | 1300 | |
| β-Damascone ¥ | Ketone | V26 | 44.816 | 1385 | 1383 | Fruity, floral, berry, plum, black currant, honey, rose, tobacco [36] |
| Code | Chemical | ANOVA † | T1 | T2 | T3 | T4 |
|---|---|---|---|---|---|---|
| (mg kg−1) | ||||||
| V1 | Ethanol | NS | 0.11 | 0.21 | 0.17 | 0.16 |
| V2 | 2-Butanol | NS | 0.06 | 0.08 | 0.09 | 0.07 |
| V3 | Hexane ¥ | NS | 0.02 | 0.05 | 0.04 | 0.02 |
| V4 | 3-Methyl furan | * | 0.01 b | 0.02 a | 0.01 b | 0.01 b |
| V5 | Acetic acid | NS | 0.03 | 0.05 | 0.04 | 0.02 |
| V6 | 3-Methyl-2-butenol | NS | 0.02 | 0.04 | 0.04 | 0.02 |
| V7 | 1-Pentanol | NS | 0.05 | 0.10 | 0.07 | 0.05 |
| V8 | 2-Methyl-1-butanol | NS | 0.05 | 0.08 | 0.05 | 0.04 |
| V9 | 3-Methyl-1-butanol | NS | 0.01 | 0.02 | 0.02 | 0.01 |
| V10 | 2.3.3-Trimethyl pentane ¥ | NS | 0.01 | 0.02 | 0.03 | 0.02 |
| V11 | 2.2.5-Trimethyl hexane ¥ | NS | 0.03 | 0.07 | 0.09 | 0.06 |
| V12 | 2-Hexanol | NS | 0.04 | 0.09 | 0.07 | 0.12 |
| V13 | Hexanal | NS | 0.08 | 0.11 | 0.13 | 0.06 |
| V14 | 1-Hexanol | *** | 0.31 ab | 0.40 a | 0.16 c | 0.25 bc |
| V15 | Nonane | NS | 0.03 | 0.06 | 0.09 | 0.08 |
| V16 | 2-Heptanol | NS | 0.01 | 0.03 | 0.03 | 0.01 |
| V17 | Benzaldehyde | NS | 0.03 | 0.06 | 0.04 | 0.04 |
| V18 | 2,2,4,6,6-Pentamethyl heptane ¥ | ** | 0.11 b | 0.23 ab | 0.46 a | 0.50 a |
| V19 | Decane | NS | 0.23 | 0.48 | 0.39 | 0.42 |
| V20 | Limonene | * | 0.04 ab | 0.09 a | 0.05 ab | 0.03 b |
| V21 | Benzyl alcohol | NS | 0.02 | 0.05 | 0.02 | 0.03 |
| V22 | Undecane | NS | 0.52 | 0.66 | 0.52 | 0.53 |
| V23 | Nonanal | NS | 0.18 | 0.32 | 0.23 | 0.20 |
| V24 | Dodecane | NS | 0.29 | 0.54 | 0.39 | 0.45 |
| V25 | Tridecane | *** | 0.16 c | 0.45 ab | 0.54 a | 0.25 bc |
| V26 | β-Damascone ¥ | NS | 0.06 | 0.08 | 0.06 | 0.06 |
| TOTAL | ** | 2.50 b | 4.39 a | 3.85 ab | 3.52 ab | |
| SI | Glucose | Malic Acid | Oleic Acid | Linoleic Acid | TPC | 2-Butanol | Hexanal | Nonanal | TVC | |
|---|---|---|---|---|---|---|---|---|---|---|
| Stress integral (SI) | 1.00 | |||||||||
| Glucose | −0.30 | 1.00 | ||||||||
| Malic acid | 0.21 | −0.89 | 1.00 | |||||||
| Oleic acid (C18:1n9) | 0.25 | 0.76 | −0.89 | 1.00 | ||||||
| Linoleic acid (C18:2 n6) | 0.57 | 0.50 | −0.68 | 0.94 * | 1.00 | |||||
| Total phenolic Content (TPC) | 0.72 ** | −0.06 | 0.06 | −0.08 | 0.18 | 1.00 | ||||
| 2-Butanol (V2) | 0.57 * | −0.12 | −0.20 | 0.19 | 0.18 | 0.29 | 1.00 | |||
| Hexanal (V13) | 0.74 | −0.01 | −0.36 | 0.65 * | 0.83 * | 0.53 | 0.79 | 1.00 | ||
| Nonanal (V23) | 0.75 | 0.32 | −0.30 | 0.68 * | 0.84 * | 0.61 | 0.65 | 0.61 | 1.00 | |
| Total volatile compounds (TVC) | 0.75 *** | −0.02 | 0.23 | 0.02 | 0.37 | 0.76 *** | 0.53 * | 0.65 ** | 0.53 * | 1.00 |
© 2019 by the authors. Licensee MDPI, Basel, Switzerland. This article is an open access article distributed under the terms and conditions of the Creative Commons Attribution (CC BY) license (http://creativecommons.org/licenses/by/4.0/).
Share and Cite
Lipan, L.; Moriana, A.; López Lluch, D.B.; Cano-Lamadrid, M.; Sendra, E.; Hernández, F.; Vázquez-Araújo, L.; Corell, M.; Carbonell-Barrachina, Á.A. Nutrition Quality Parameters of Almonds as Affected by Deficit Irrigation Strategies. Molecules 2019, 24, 2646. https://doi.org/10.3390/molecules24142646
Lipan L, Moriana A, López Lluch DB, Cano-Lamadrid M, Sendra E, Hernández F, Vázquez-Araújo L, Corell M, Carbonell-Barrachina ÁA. Nutrition Quality Parameters of Almonds as Affected by Deficit Irrigation Strategies. Molecules. 2019; 24(14):2646. https://doi.org/10.3390/molecules24142646
Chicago/Turabian StyleLipan, Leontina, Alfonso Moriana, David B. López Lluch, Marina Cano-Lamadrid, Esther Sendra, Francisca Hernández, Laura Vázquez-Araújo, Mireia Corell, and Ángel A. Carbonell-Barrachina. 2019. "Nutrition Quality Parameters of Almonds as Affected by Deficit Irrigation Strategies" Molecules 24, no. 14: 2646. https://doi.org/10.3390/molecules24142646
APA StyleLipan, L., Moriana, A., López Lluch, D. B., Cano-Lamadrid, M., Sendra, E., Hernández, F., Vázquez-Araújo, L., Corell, M., & Carbonell-Barrachina, Á. A. (2019). Nutrition Quality Parameters of Almonds as Affected by Deficit Irrigation Strategies. Molecules, 24(14), 2646. https://doi.org/10.3390/molecules24142646

