Five- and Six-Membered Nitrogen-Containing Compounds as Selective Carbonic Anhydrase Activators
Abstract
:1. Introduction
- Steric factors leading to a proper orientation for facilitating the proton shuttle from the entrance to the active site;
- Electronic factors like pKa values in the range 6.5–8.0 for protonatable moieties suitable to establish a network of H-bonds with water molecules or amino acid residues;
- Structural characteristics like nitrogen-containing rings or chains to provide the protonatable moiety.
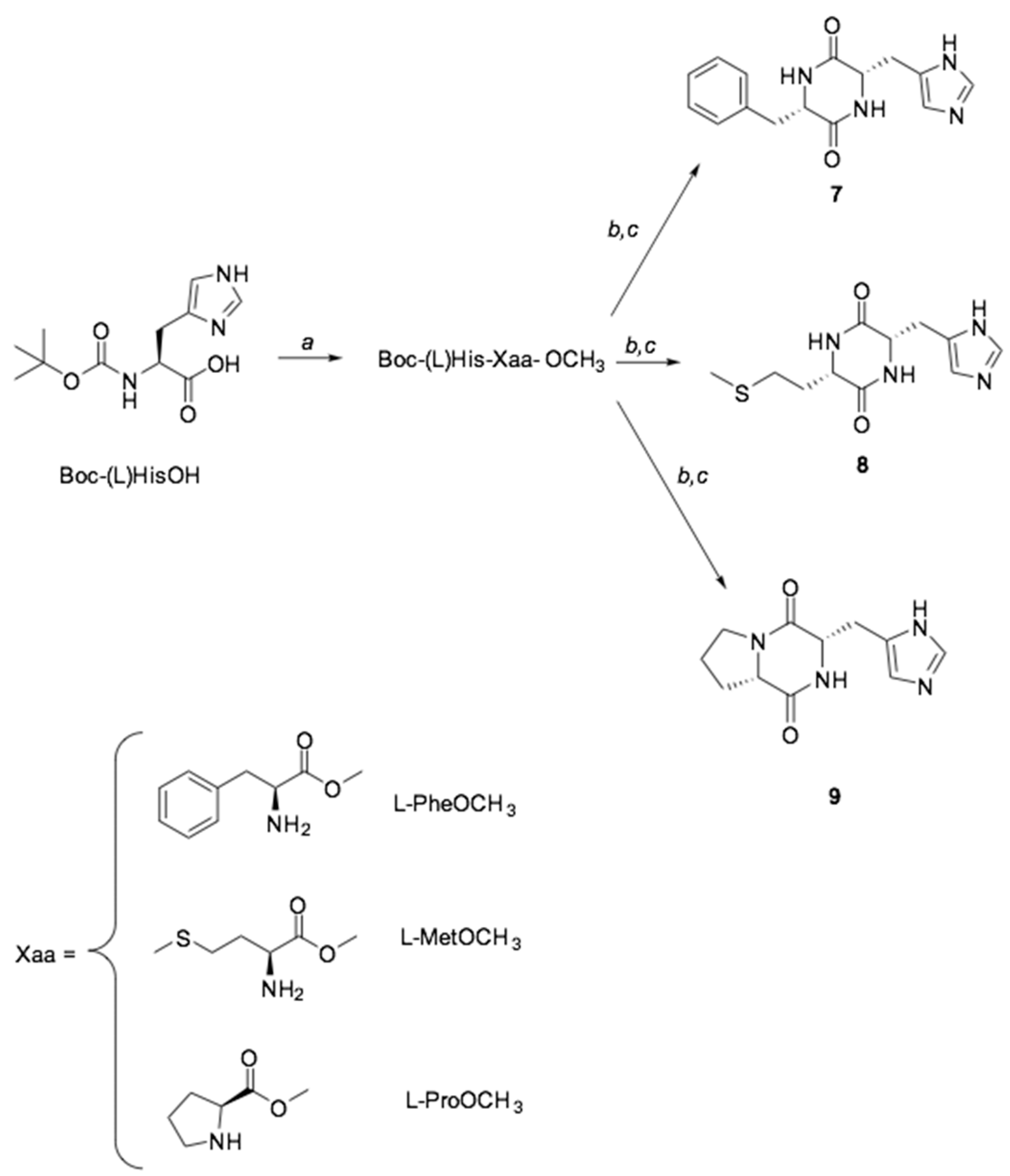
2. Chemistry
3. Biological Evaluation
4. Results and Discussion
- (i)
- The abundant and cytosolic hCA I isozyme was moderately activated by compounds 3–9 similarly to histamine (micromolar range), whereas compounds 1 and 2 did not affect its enzymatic activity up to 100 μM;
- (ii)
- As histamine, all compounds reported in this work were totally inactive against hCA II isozyme, usually abundant in the choroid plexus, oligodendrocytes, astrocytes, myelinated tracts, and myelin sheets;
- (iii)
- With regards to the membrane-bound hCA IV isoform located on the luminal surface of cerebral capillaries and within the cortex, the hippocampus and thalamus, compounds 2–9 were poor activators (KAs = 53.4–80.5 μM) and with the same activation profile of histamine in the micromolar range. Conversely, compound 1 was totally inactive (KA > 100 μM);
- (iv)
- The last cytosolic hCA VII isoform displayed the most promising results in terms of activation and selectivity. Derivatives 3–9 activated this isozyme in the micromolar range, but compounds 1 and 2 were demonstrated to be rather efficient activators with KA values of 820 and 120 nM, respectively (best-in-class activators, more selective up to two orders of magnitude). Compound 1 showed a very selective activation of only this isoform;
- (v)
- Collectively, the synthetic diketopiperazines (7–9) were as potent micromolar activators as histamine.
5. Docking Studies
6. Experimental Protocols
6.1. Carbonic Anhydrase Assays
6.2. Molecular Modelling Studies
6.2.1. Preparation of Files for Docking Studies
6.2.2. Docking Studies
7. Conclusions
Acknowledgments
Author Contributions
Conflicts of Interest
References
- Meier-Ruge, W.; Iwangoff, P.; Reichlmeier, K. Neurochemical enzyme changes in Alzheimer’s and Pick’s disease. Arch. Gerontol. Geriatr. 1984, 3, 161–165. [Google Scholar] [PubMed]
- Meier-Ruge, W.; Iwangoff, P.; Reichlmeier, K.; Sandoz, P. Neurochemical findings in the aging brain. Adv. Biochem. Psychopharmacol. 1980, 23, 323–338. [Google Scholar] [PubMed]
- Sun, M.K.; Alkon, D.L. Pharmacological enhancement of synaptic efficacy, spatial learning, and memory through carbonic anhydrase activation in rats. J. Pharmacol. Exp. Ther. 2001, 297, 961–967. [Google Scholar] [PubMed]
- Sun, M.K.; Alkon, D.L. Carbonic anhydrase gating of attention: Memory therapy and enhancement. Trends Pharmacol. Sci. 2002, 23, 83–89. [Google Scholar] [PubMed]
- Yang, M.T.; Chien, W.L.; Lu, D.H.; Liou, H.C.; Fu, W.M. Acetazolamide impairs fear memory consolidation in rodents. Neuropharmacology 2013, 67, 412–418. [Google Scholar] [PubMed]
- Pasternack, M.; Voipio, J.; Kaila, K. Intracellular carbonic anhydrase activity and its role in GABA-induced acidosis in isolated rat hippocampal pyramidal neurons. Acta Physiol. Scand. 1993, 148, 229–231. [Google Scholar] [PubMed]
- Sly, W.S.; Hu, P.Y. Human carbonic anhydrases and carbonic anhydrase deficiencies. Annu. Rev. Biochem. 1995, 64, 375–401. [Google Scholar] [CrossRef] [PubMed]
- Bosley, T.M.; Salih, M.A.; Alorainy, I.A.; Islam, M.Z.; Oystreck, D.T.; Suliman, O.S.M.; al Malki, S.; Suhaibani, A.H.; Khiari, H.; Beckers, S.; et al. The neurology of carbonic anhydrase type II deficiency syndrome. Brain 2011, 134, 3502–3515. [Google Scholar] [CrossRef] [PubMed]
- Kida, E.; Palminiello, S.; Golabek, A.A.; Walus, M.; Wierzba-Bobrowicz, T.; Rabe, A.; Albertini, G.; Wisniewski, K.E. Carbonic anhydrase II in the developing and adult human brain. J. Neuropathol. Exp. Neurol. 2006, 7, 664–674. [Google Scholar]
- Canto de Souza, L.; Provensi, G.; Vullo, D.; Carta, F.; Scozzafava, A.; Costa, A.; Schmidt, S.D.; Passani, M.B.; Supuran, C.T.; Blandina, P. Carbonic anhydrase activation enhances object recognition memory in mice through phosphorylation of the extracellular signal-regulated kinase in the cortex and the hippocampus. Neuropharmacology 2017, 118, 148–156. [Google Scholar] [PubMed]
- Chesler, M. Regulation and modulation of pH in the brain. Physiol. Rev. 2003, 83, 1183–1221. [Google Scholar] [CrossRef] [PubMed]
- Saada, M.C.; Vullo, D.; Montero, J.-L.; Scozzafava, A.; Winum, J.-Y.; Supuran, C.T. Carbonic anhydrase I and II activation with mono- and dihalogenated histamine derivatives. Bioorg. Med. Chem. Lett. 2011, 21, 4884–4887. [Google Scholar] [CrossRef] [PubMed]
- Saada, M.C.; Vullo, D.; Montero, J.-L.; Scozzafava, A.; Supuran, C.T.; Winum, J.-Y. Mono- and di-halogenated histamine, histidine and carnosine derivatives are potent carbonic anhydrase I, II, VII, XII and XIV activators. Bioorg. Med. Chem. 2014, 22, 4752–4758. [Google Scholar] [CrossRef] [PubMed]
- Temperini, C.; Innocenti, A.; Scozzafava, A.; Supuran, C.T. Carbonic anhydrase activators: Kinetic and X-ray crystallographic study for the interaction of D- and L-tryptophan with the mammalian isoforms I-XIV. Bioorg. Med. Chem. 2008, 16, 8373–8378. [Google Scholar] [CrossRef] [PubMed]
- Temperini, C.; Scozzafava, A.; Supuran, C.T. Carbonic anhydrase activators: The first X-ray crystallographic study of an adduct of isoform I. Bioorg. Med. Chem. Lett. 2006, 16, 5152–5156. [Google Scholar] [CrossRef] [PubMed]
- Temperini, C.; Innocenti, A.; Scozzafava, A.; Mastrolorenzo, A.; Supuran, C.T. Carbonic anhydrase activators: L-adrenaline plugs the active site entrance of isozyme II, activating better isoforms I, IV, VA, VII, and XIV. Bioorg. Med. Chem. Lett. 2007, 17, 628–635. [Google Scholar] [CrossRef] [PubMed]
- Vullo, D.; Nishimori, I.; Innocenti, A.; Scozzafava, A.; Supuran, C.T. Carbonic anhydrase activators: An activation study of the human mitochondrial isoforms VA and VB with amino acids and amines. Bioorg. Med. Chem. Lett. 2007, 17, 1336–1340. [Google Scholar] [PubMed]
- Pastorekova, S.; Vullo, D.; Nishimori, I.; Scozzafava, A.; Pastork, J.; Supuran, C.T. Carbonic anhydrase activators: Activation of the human tumor-associated isozymes IX and XII with amino acids and amines. Bioorg. Med. Chem. 2008, 16, 3530–3536. [Google Scholar] [CrossRef] [PubMed]
- Vullo, D.; Nishimori, I.; Scozzafava, A.; Supuran, C.T. Carbonic anhydrase activators: Activation of the human cytosolic isozyme III and membrane-associated isoform IV with amino acids and amines. Bioorg. Med. Chem. Lett. 2008, 18, 4303–4307. [Google Scholar] [CrossRef] [PubMed]
- Dave, K.; Ilies, M.A.; Scozzafava, A.; Temperini, C.; Vullo, D.; Supuran, C.T. An inhibitor-like binding mode of a carbonic anhydrase activator within the active site of isoform II. Bioorg. Med. Chem. Lett. 2011, 21, 2764–2768. [Google Scholar] [CrossRef] [PubMed]
- Le Duc, Y.; Licsandru, E.; Vullo, D.; Barboiu, M.; Supuran, C.T. Carbonic anhydrases activation with 3-amino-1H-1,2,4-triazole-1-carboxamides: Discovery of subnanomolar isoform II activators. Bioorg. Med. Chem. 2017, 25, 1681–1686. [Google Scholar] [PubMed]
- Supuran, C.T. Carbonic anhydrases: Novel therapeutic applications for inhibitors and activators. Nat. Rev. Drug Discov. 2008, 7, 168–181. [Google Scholar] [CrossRef] [PubMed]
- Supuran, C.T. How many carbonic anhydrase inhibition mechanisms exist? J. Enzym. Inhib. Med. Chem. 2016, 31, 345–360. [Google Scholar] [CrossRef] [PubMed]
- Scozzafava, A.; Supuran, C.T. Carbonic anhydrase activators: Human isozyme II is strongly activated by oligopeptides incorporating the carboxyterminal sequence of the bicarbonate anion exchanger AE1. Bioorg. Med. Chem. Lett. 2002, 12, 1177–1180. [Google Scholar] [CrossRef]
- Temperini, C.; Scozzafava, A.; Puccetti, L.; Supuran, C.T. Carbonic anhydrase activators: X-ray crystal structure of the adduct of human isozyme II with L-histidine as a platform for the design of stronger activators. Bioorg. Med. Chem. Lett. 2005, 15, 5136–5141. [Google Scholar] [CrossRef] [PubMed]
- Abdo, M.R.; Vullo, D.; Saada, M.C.; Montero, J.L.; Scozzafava, A.; Winum, J.Y.; Supuran, C.T. Carbonic anhydrase activators: Activation of human isozyme I, II and IX with phenylsulfonylhydrazido L-histidine derivatives. Bioorg. Med. Chem. Lett. 2009, 19, 2440–2443. [Google Scholar] [CrossRef] [PubMed]
- Ilies, M.; Banciu, M.D.; Ilies, M.A.; Scozzafava, A.; Caproiu, M.T.; Supuran, C.T. Carbonic anhydrase activators: Design of high affinity isozymes I, II, and IV activators, incorporating tri/tetrasubstituted-pyridinium-azole moieties. J. Med. Chem. 2002, 45, 504–510. [Google Scholar] [PubMed]
- Casini, A.; Caccia, S.; Scozzafava, A.; Supuran, C.T. Carbonic anhydrase activators. The selective serotonin reuptake inhibitors fluoxetine, sertraline and citalopram are strong activators of isozymes I and II. Bioorg. Med. Chem. Lett. 2003, 13, 2765–2768. [Google Scholar] [CrossRef]
- Licsandru, E.; Tanc, M.; Kocsis, I.; Barboiu, M.; Supuran, C.T. A class of carbonic anhydrase I—Selective activators. J. Enzym. Inhib. Med. Chem. 2017, 32, 37–46. [Google Scholar] [CrossRef] [PubMed]
- Angeli, A.; Vaiano, F.; Mari, F.; Bertol, E.; Supuran, C.T. Psychoactive substances belonging to the amphetamine class potently activate brain carbonic anhydrase isoforms VA, VB, VII, and XII. J. Enzym. Inhib. Med. Chem. 2017, 32, 1253–1259. [Google Scholar] [CrossRef] [PubMed]
- Draghici, B.; Vullo, D.; Akocak, S.; Walker, E.A.; Supuran, C.T.; Ilies, M.A. Ethylene bis-imidazoles are highly potent and selective activators for isozymes VA and VII of carbonic anhydrase, with a potential nootropic effect. Chem. Commun. 2014, 50, 5980–5983. [Google Scholar]
- Maccallini, C.; Di Matteo, M.; Vullo, D.; Ammazzalorso, A.; Carradori, S.; De Filippis, B.; Fantacuzzi, M.; Giampietro, L.; Pandolfi, A.; Supuran, C.T.; et al. Indazole, pyrazole, and oxazole derivatives targeting Nitric Oxide Synthases and Carbonic Anhydrases. ChemMedChem 2016, 11, 1695–1699. [Google Scholar] [CrossRef] [PubMed]
- Temperini, C.; Scozzafava, A.; Supuran, C.T. Carbonic anhydrase activation and the drug design. Curr. Pharm. Des. 2008, 14, 708–715. [Google Scholar] [CrossRef] [PubMed]
- Supuran, C.T. Carbonic anhydrases: From biomedical applications of the inhibitors and activators to biotechnological use for CO2 capture. J. Enzym. Inhib. Med. Chem. 2013, 28, 229–230. [Google Scholar] [CrossRef] [PubMed]
- Temperini, C.; Scozzafava, A.; Vullo, D.; Supuran, C.T. Carbonic anhydrase activators. activation of isoforms I, II, IV, VA, VII, and XIV with L- and D-phenylalanine and crystallographic analysis of their adducts with isozyme II: Stereospecific recognition within the active site of an enzyme and its consequences for the drug design. J. Med. Chem. 2006, 49, 3019–3027. [Google Scholar] [PubMed]
- Akokak, S.; Lolak, N.; Vullo, D.; Durgun, M.; Supuran, C.T. Synthesis and biological evaluation of histamine Schiff bases as carbonic anhydrase I, II, IV, VII, and IX activators. J. Enzym. Inhib. Med. Chem. 2017, 32, 1305–1312. [Google Scholar] [CrossRef] [PubMed]
- Mollica, A.; Costante, R.; Mirzaie, S.; Carradori, S.; Macedonio, G.; Stefanucci, A.; Novellino, E. Preparation of constrained unnatural aromatic amino acids via unsaturated diketopiperazine intermediate. J. Heterocycl. Chem. 2016, 53, 2106–2110. [Google Scholar] [CrossRef]
- Khalifah, R.G. The carbon dioxide hydration activity of carbonic anhydrase. I. Stop-flow kinetic studies on the native human isoenzymes B and C. J. Biol. Chem. 1971, 246, 2561–2573. [Google Scholar] [PubMed]
- Vullo, D.; Innocenti, A.; Nishimori, I.; Scozzafava, A.; Kaila, K.; Supuran, C.T. Carbonic anhydrase activators: Activation of the human isoforms VII (cytosolic) and XIV (transmembrane) with amino acids and amines. Bioorg. Med. Chem. Lett. 2007, 17, 4107–4112. [Google Scholar] [PubMed]
- Parkkila, S.; Vullo, D.; Puccetti, L.; Parkkila, A.K.; Scozzafava, A.; Supuran, C.T. Carbonic anhydrase activators: Activation of isozyme XIII with amino acids and amines. Bioorg. Med. Chem. Lett. 2006, 16, 3955–3959. [Google Scholar] [CrossRef] [PubMed]
- Nishimori, I.; Onishi, S.; Vullo, D.; Innocenti, A.; Scozzafava, A.; Supuran, C.T. Carbonic anhydrase activators. The first activation study of the human secretory isoform VI. Bioorg. Med. Chem. 2007, 15, 5351–5357. [Google Scholar] [CrossRef] [PubMed]
- Mollica, A.; Locatelli, M.; Macedonio, G.; Carradori, S.; Sobolev, A.P.; De Salvador, R.F.; Monti, S.M.; Buonanno, M.; Zengin, G.; Angeli, A.; et al. Microwave-assisted extraction, HPLC analysis, and inhibitory effects on carbonic anhydrase I, II, VA, and VII isoforms of 14 blueberry Italian cultivars. J. Enzym. Inhib. Med. Chem. 2016, 31, 1–6. [Google Scholar] [CrossRef] [PubMed]
- Mocan, A.; Carradori, S.; Locatelli, M.; Secci, D.; Cesa, S.; Mollica, A.; Riga, S.; Angeli, A.; Supuran, C.T.; Celia, C.; et al. Bioactive isoflavones from Pueraria lobata root and starch: Different extraction techniques and carbonic anhydrase inhibition. Food Chem. Toxicol. 2017. [Google Scholar] [CrossRef] [PubMed]
- Nescatelli, R.; Carradori, S.; Marini, F.; Caponigro, V.; Bucci, R.; De Monte, C.; Mollica, A.; Mannina, L.; Ceruso, M.; Supuran, C.T.; et al. Geographical characterization by MAE-HPLC and NIR methodologies and carbonic anhydrase inhibition of Saffron components. Food Chem. 2017, 221, 855–863. [Google Scholar] [CrossRef] [PubMed]
- Akdemir, A.; De Monte, C.; Carradori, S.; Supuran, C.T. Computational investigation of the selectivity of salen and tetrahydrosalen compounds towards the tumor-associated hCA XII isozyme. J. Enzyme Inhib. Med. Chem. 2015, 30, 114–118. [Google Scholar] [CrossRef] [PubMed]
- D’Ascenzio, M.; Carradori, S.; Secci, D.; Vullo, D.; Ceruso, M.; Akdemir, A.; Supuran, C.T. Selective inhibition of human carbonic anhydrases by novel amide derivatives of probenecid: Synthesis, biological evaluation and molecular modelling studies. Bioorg. Med. Chem. 2014, 22, 3982–3988. [Google Scholar] [CrossRef] [PubMed]
Sample Availability: Samples of the compounds 1–6 and the exopolysaccharide are available from the authors. |





| Compound | Structure | KA (μM) * | |||
|---|---|---|---|---|---|
| hCA I | hCA II | hCA IV | hCA VII | ||
| 1 | l-(+)-Ergothioneine | >100 | >100 | >100 | 0.82 |
| 2 | Melatonin | >100 | >100 | 53.4 | 0.12 |
| 3 | 4-Imidazole-acrylic acid | 21.3 | >100 | 64.7 | 3.46 |
| 4 | 1H-Indazole-3-COOH | 32.4 | >100 | 78.4 | 5.23 |
| 5 | TIC.HCl | 23.1 | >100 | 73.5 | 3.61 |
| 6 | Spinacine | 7.21 | >100 | 69.7 | 15.7 |
| 7 | c(HisPhe) | 16.3 | >100 | 80.5 | 15.1 |
| 8 | c(HisMet) | 8.39 | >100 | 77.0 | 21.6 |
| 9 | c(HisPro) | 7.92 | >100 | 70.1 | 34.7 |
| Hst | Histamine | 2.10 | 125 | 36.9 | 25.3 |
| hCA I (3lxe) | hCA II (4e3d) | hCA IV (3fw3) | hCA VII (3mdz) |
|---|---|---|---|
| Trp5 * | Trp5 | Trp5 | Trp7 |
| Val62 | Asn62 | Asn62 | Asn64 |
| His64 | His64 | His64 | His66 |
| His67 | Asn67 | Met67 | Gln69 |
| Phe91 | Ile91 | Lys91 | Lys93 |
| Gln92 | Gln92 | Gln92 | Gln94 |
| His94 | His94 | His94 | His96 |
| His96 | His96 | His96 | His98 |
| His119 | His119 | His119 | His121 |
| Ala121 | Val121 | Val121 | Val123 |
| Leu131 | Phe131 *** | --Val131-- | Phe133 |
| Ala132 | Gly132 | --Lys132-- ** | Gly134 |
| Ala135 | Val135 | --Gln135-- | Ala137 |
| Leu141 | Leu141 | Ile141 | Leu143 |
| Val143 | Val143 | Val143 | Val145 |
| Leu198 | Leu198 | Leu198 | Leu200 |
| Thr199 | Thr199 | Thr199 | Thr201 |
| His200 | Thr200 | Thr200 | Thr202 |
| Pro201 | Pro201 | Pro201 | Pro203 |
| Pro202 | Pro202 | Thr202 ** | Pro205 |
| Tyr204 | Leu204 | Asp204 | Ser206 |
| Val207 | Val207 | Val207 | Val209 |
| Trp209 | Trp209 | Trp209 | Trp211 |
© 2017 by the authors. Licensee MDPI, Basel, Switzerland. This article is an open access article distributed under the terms and conditions of the Creative Commons Attribution (CC BY) license (http://creativecommons.org/licenses/by/4.0/).
Share and Cite
Mollica, A.; Macedonio, G.; Stefanucci, A.; Carradori, S.; Akdemir, A.; Angeli, A.; Supuran, C.T. Five- and Six-Membered Nitrogen-Containing Compounds as Selective Carbonic Anhydrase Activators. Molecules 2017, 22, 2178. https://doi.org/10.3390/molecules22122178
Mollica A, Macedonio G, Stefanucci A, Carradori S, Akdemir A, Angeli A, Supuran CT. Five- and Six-Membered Nitrogen-Containing Compounds as Selective Carbonic Anhydrase Activators. Molecules. 2017; 22(12):2178. https://doi.org/10.3390/molecules22122178
Chicago/Turabian StyleMollica, Adriano, Giorgia Macedonio, Azzurra Stefanucci, Simone Carradori, Atilla Akdemir, Andrea Angeli, and Claudiu T. Supuran. 2017. "Five- and Six-Membered Nitrogen-Containing Compounds as Selective Carbonic Anhydrase Activators" Molecules 22, no. 12: 2178. https://doi.org/10.3390/molecules22122178
APA StyleMollica, A., Macedonio, G., Stefanucci, A., Carradori, S., Akdemir, A., Angeli, A., & Supuran, C. T. (2017). Five- and Six-Membered Nitrogen-Containing Compounds as Selective Carbonic Anhydrase Activators. Molecules, 22(12), 2178. https://doi.org/10.3390/molecules22122178

