Abstract
Chromones, six-membered oxygen heterocycles, and pyrazoles, five-membered two-adjacent-nitrogen-containing heterocycles, represent two important classes of biologically active compounds. Certain derivatives of these scaffolds play an important role in medicinal chemistry and have been extensively used as versatile building blocks in organic synthesis. In this context, we will discuss the most relevant advances on the chemistry that involves both chromone and pyrazole rings. The methods reviewed include the synthesis of chromone-pyrazole dyads, synthesis of chromone-pyrazole-fused compounds, and chromones as starting materials in the synthesis of 3(5)-(2-hydroxyaryl)pyrazoles, among others. This review will cover the literature on the chromone and pyrazole dual chemistry and their outcomes in the 21st century.
1. Introduction
4H-Benzopyran-4-ones, 4H-chromen-4-ones or simply chromones 1 (Figure 1) are six-membered oxygen-containing heterocyclic compounds widespread in Nature. The structural diversity regarding type, number and position of substituents attached to the main core are especially important to the physical, chemical and biological properties of both natural and synthetic derivatives [1,2,3]. Moreover, the chromone moiety is nowadays an active pharmacophore used in varied therapeutic fields in drugs such as cromolyn, nedocromil, diosmin, flavoxate, among others [2,4]. Chromone and its reduced form chromanone (4H-chroman-4-one, 2, Figure 1) are also valuable intermediates in the synthesis of novel bioactive compounds and of new heterocyclic systems [1,5].
Figure 1.
Chemical structures and numbering of compounds 1–6.
Pyrazoles (1H-pyrazoles, 3, Figure 1) are constituted by an aromatic five-membered ring with three carbons and two nitrogen atoms, located at the 1- and 2-positions and are one of the most studied groups of compounds among the azole family [6]. These studies have involved a huge variety of natural and synthetic analogues which have been applied, over the years, in areas such as technology, medicine and agriculture. In fact, drugs such as celecobix, rimonabant and sildenafil are currently used as therapeutic agents [6,7]. N-Unsubstituted pyrazoles may present three identical and non-separable tautomers, due to rapid interconversion in solution, and it is usually impossible to unequivocally assign the proton resonances of the pyrazole core in the proton-nuclear magnetic resonance (1H-NMR) spectra of these compounds. Three partially reduced forms may also exist: 1-pyrazolines 4, 2-pyrazolines 5 and 3-pyrazolines 6 (Figure 1) [6,7].
Inspired by this knowledge, research devoted to the synthesis and transformation of both chromone and pyrazole units remain an interesting and challenging topic for organic chemists. In this context, the present review will present and discuss the most relevant developments in the chemistry that involves these two classes of heterocyclic compounds from the year 2000 till the present. The transformations reviewed include: (i) synthesis of chromone-pyrazole dyads using a pyrazole moiety as substituent (via cyclodehydration and oxidative cyclization reactions) and involving pyrazole ring formation (via 1,3-dipolar cycloaddition, condensation of hydrazines with α,β-unsaturated ketones, Knoevenagel reaction and other reactions); (ii) synthesis of chromone-pyrazole-fused compounds through tandem reactions of 3-formylchromones with pyrazole derivatives and other transformations; (iii) condensation reactions of chromones with different hydrazines for the synthesis of 3(5)-(2-hydroxyaryl)pyrazoles and (iv) other reactions involving chromones and pyrazoles not included in the topics described before.
2. Synthesis of Chromone-Pyrazole Dyads
2.1. Pyrazole as Substituent
2.1.1. Cyclodehydration
There has been particular interest in the synthesis of flavonoids with a pyrazole ring at the C-2 position to discover new and more potent biological pharmacophores. The cyclodehydration of 3-pyrazolyl-substituted-1-(2-hydroxyaryl)propane-1,3-diones 7 is known to afford 2-pyrazolyl-chromones 8, as the main reaction products. These chromone-pyrazole dyads 8 can have the pyrazole substituent linked by the carbon atoms C-5, C-4 or C-3 at carbon C-2 of the chromone scaffold, depending on the pyrazole used as substituent at the 3-position of the starting material 7. In 2004, Gill and coworkers described the synthesis of 2-(1,3-/1,3,5-di/tri-substituted-pyrazol-5-yl)chromones [8], which were obtained in moderate to good yields (50–83%) by cyclization of the appropriate 1-(2-hydroxyaryl)propane-1,3-diones 7 in refluxing ethanol with a catalytic amount of hydrochloric acid (step (i), Scheme 1). Only two of the nine derivatives of 7 presented moderate phosphodiesterase IV enzyme inhibition activity [8]. Following a slightly different procedure, using glacial acetic acid instead of ethanol, along with a catalytic amount of hydrochloric acid, Karale and coworkers prepared 2-{(E)-2-[1-(4-fluorophenyl)-3-(thiophen-2-yl)-1H-pyrazol-4-yl]vinyl}chromones [9], in moderate yields (52–65%) (step (ii), Scheme 1). A single example of a 2-(1,4,5-trisubstituted-pyrazol-3-yl)chromone was reported by Menges and coworkers [10]. This compound was obtained in 40% yield by cyclodehydration of the appropriate 1-(2-hydroxyaryl)propane-1,3-dione 7 in concentrated sulfuric acid at room temperature (step (iii), Scheme 1).
Scheme 1.
Synthesis of 2-(pyrazol-5/3-yl)chromones and (E)-2-[2-(pyrazol-4-yl)vinyl]chromones 8 by cyclodehydration of the appropriate 3-substituted-1-(2-hydroxyaryl)propane-1,3-diones 7 [8,9,10]. Abbreviation: r.t., room temperature.
The cyclodehydration of 1-(2-hydroxyaryl)propane-1,3-diones 9 with maleic anhydride in pyridine gave 2-(1,3-diphenyl-1H-pyrazol-4-yl)chromones 10 (Scheme 2) [11]. The same compounds 9 on treatment with propanoic anhydride/triethyl amine undergo cyclization and afforded 2-ethyl-3-(1,3-diphenyl-1H-pyrazole-4-carbonyl)chromones 11 whereas the cyclization of 9 in acetic anhydride/sodium acetate gave 2-methyl-3-(1,3-diphenyl-1H-pyrazole-4-carbonyl)chromones 12 (Scheme 2) [11]. Further reaction of compound 12 with 4-fluorobenzaldehyde in presence of sodium ethoxide gave 3-(1,3-diphenyl-1H-pyrazole-4-carbonyl)-2-[2-(4-fluorophenyl)vinyl]chromones 13 (Scheme 2) [11].
Scheme 2.
Synthesis of 2-(pyrazol-4-yl)chromones 10 and 3-(pyrazole-4-carbonyl)chromones 11, 12 and 13 [11].
2.1.2. Oxidative Cyclization
The oxidative cyclization of 2′-hydroxychalcone-type compounds 14 is known to afford 2-(pyrazol-4-yl)chromones 15 or 3-halo-2-(pyrazol-4-yl)chromones 16, depending on the reaction conditions (Scheme 3).
Scheme 3.
Synthesis of 2-(pyrazol-4-yl)chromones 15 and 3-halo-2-(pyrazol-4-yl)chromones 16 by oxidative cyclization of appropriate 2′-hydroxychalcones 14 [12,13,14,15,16,17,18,19,20,21,22,23,24,25]. Abbreviations: cat., catalytic; DMSO, dimethyl sulfoxide ; equiv, molar equivalent.
The substitution at carbon C-2 of the chromone unit can include different pyrazoles linked by the C-4 carbon such as 3-aryl-1-phenyl-1H-pyrazol-4-yl [12,13,14,15], 1-aryl-3-hetero-substituted-1H-pyrazol-4-yl [16,17], 3-(2,4-dichloro-5-fluorophenyl)-1-phenyl-1H-pyrazol-4-yl [18], 1-phenyl-3-substituted-1H-pyrazol-4-yl [19,20,21], 3-phenyl-l-[4-(pyridin-2-yl)benzyl]-lH-pyrazol-4-yl [22] and 1-aryl-3-heteraryl-1H-pyrazol-4-yl [9,23,24,25]. Regarding the reaction conditions, 2-(pyrazol-4-yl)chromones 15 were prepared, in most cases, by heating the appropriate 2′-hydroxychalcones in dimethyl sulfoxide (DMSO) in the presence of a catalytic amount of iodine, using conventional heating conditions (steps (i) and (ii), Scheme 3); the temperature of the reaction being 100–110 °C [9,22,23,24], 140 °C [9,12,13,14,22,23,24], or reflux [16,17,18,19,20,21]. A wide range of these 2-(pyrazol-4-yl)chromones 15 were screened for their antibacterial and antifungal potential, presenting from moderate to good activity [12,14,17,18,20,21,22,23,24,25]. The oxidative cyclization of l-(2-hydroxyaryl)-3-{3-phenyl-l-[4-(pyridin-2-yl)benzyl]-lH-pyrazol-4-yl}prop-2-en-l-ones with DMSO/I2 was performed in both, conventional and microwave heating conditions (steps (ii) and (iii), Scheme 3), affording 2-{3-phenyl-l-[4-(pyridin-2-yl)benzyl]-lH-pyrazol-4-yl}-substituted-chromones in 55–62% and 69–82% yield, respectively [22]. The use of microwave heating led to the shortening of the reaction time from 3 h to 2–3 min and to the improvement of the reaction yield.
When heating 2′-hydroxychalcone-type compounds 14 in DMSO in the presence of copper halides such as CuCl2 or CuBr2, 3-halo-2-(pyrazol-4-yl)chromones 16 were obtained (steps (iv), (v) and (vi), Scheme 3). Thus, 2-(3-aryl/heteryl-1-phenyl-1H-pyrazol-4-yl)-3-chlorochromones [12,13,14,15] and 2-[3-(1-benzothiophen-2-yl)-1-(4-fluorophenyl)-1H-pyrazol-4-yl]-3-chlorochromone [17] were prepared by oxidative cyclization of the appropriate 2′-hydroxychalcones in DMSO/CuCl2 (steps (iv), (v), Scheme 3). Similarly, 3-bromo-2-[3-(2,4-dichloro-5-fluorophenyl)-1-phenyl-1H-pyrazol-4-yl]chromone [18] was prepared by treatment of the appropriate 2′-hydroxychalcone with DMSO/CuBr2 (step (vi), Scheme 3).
Prakash and coworkers reported the synthesis of seven new 2-(3-aryl-1-phenyl-1H-pyrazol-4-yl)-3-hydroxychromones 18 which were obtained in good yields (52–61%) by the oxidation of 2’-hydroxychalcone-type compounds 17 in an Algar-Flynn-Oyamada (AFO) reaction with hydrogen peroxide (H2O2) in KOH-MeOH (Scheme 4) [26]. Five derivatives of 18 demonstrated noticeably higher antifungal activity than commercial antifungal compound actidione (cycloheximide) against Helminthosporium species, Fusarium oxysporum and Alternaria alternate, three phytopathogenic fungi. It is noteworthy the effect of the substituents of aryl ring of pyrazole moiety (at 3-position) in compounds 18; the replacement of the proton of this aryl ring with electron-donating groups led to the increase of the antifungal activity while the opposite effect occurs with electron-withdrawing groups [26]. In 2009, the same author reported the oxidation of 2-(3-aryl-1-phenyl-1H-pyrazol-4-yl)-3-hydroxychromones 18 with iodobenzene diacetate in methanol that afforded new 2-(3-aryl-1-phenyl-1H-pyrazol-4-yl)-3-hydroxy-2,3-dimethoxychromanones 19 in good yields (72–80%) (Scheme 4) [27]. Three of these compounds 19 showed very good antibacterial activity against both Gram-positive and Gram-negative bacteria, with values comparable with the commercial antibiotics linezolid, cefaclor and cefuroxime axetial [27].
Scheme 4.
Synthesis of 2-(3-aryl-1-phenyl-1H-pyrazol-4-yl)-3-hydroxychromones 18 by Algar-Flynn-Oyamada (AFO) reaction of 2′-hydroxychalcone-type compounds 17 and their oxidation to 2-(3-aryl-1-phenyl-1H-pyrazol-4-yl)-3-hydroxy-2,3-dimethoxychromanones 19 [26,27]. Abbreviation: IBD, iodobenzene diacetate.
2.2. Pyrazole Ring Formation
2.2.1. 1,3-Dipolar Cycloaddition
A common procedure for the synthesis of pyrazolines (dihydropyrazoles) is through 1,3-dipolar cycloaddition reaction of diazoalkanes to carbon–carbon double bonds. Lévai and Jekő reported the synthesis of 3-(3-aroyl-2-pyrazolin-4-yl)chromones 21 by 1,3-dipolar cycloaddition reaction of 3-(3-aryl-3-oxoprop-1-en-1-yl)chromones 20 with diazomethane in a 1:1 mixture of anhydrous dichloromethane and diethyl ether at ca. 0 °C for 48 h (Scheme 5) [28]. 3-(3-Aroyl-2-pyrazolin-4-yl)chromones 21 were obtained as sole isolable product in 61–89% yield. The reaction was completely regioselective affording 1-pyrazolines which rearrange into 2-pyrazolines, where the methylene moiety of the diazomethane is attached to the β-carbon atom of the α,β-enone. Some of these 2-pyrazolines were further N-acylated with a mixture of anhydrous pyridine and acetic anhydride or propionic anhydride at 80 °C for 3 h. The expected N-acylated derivatives 22 were obtained in 63–84% yield and neither the 2-pyrazoline nor the chromone ring suffered any rearrangement under these acylating conditions (Scheme 5) [28].
Scheme 5.
1,3-Dipolar cycloaddition of 3-(3-aryl-3-oxoprop-1-en-1-yl)chromones 20 with diazomethane and further N-acetylation of the formed 3-(3-aroyl-2-pyrazolin-4-yl)chromones 21 [28].
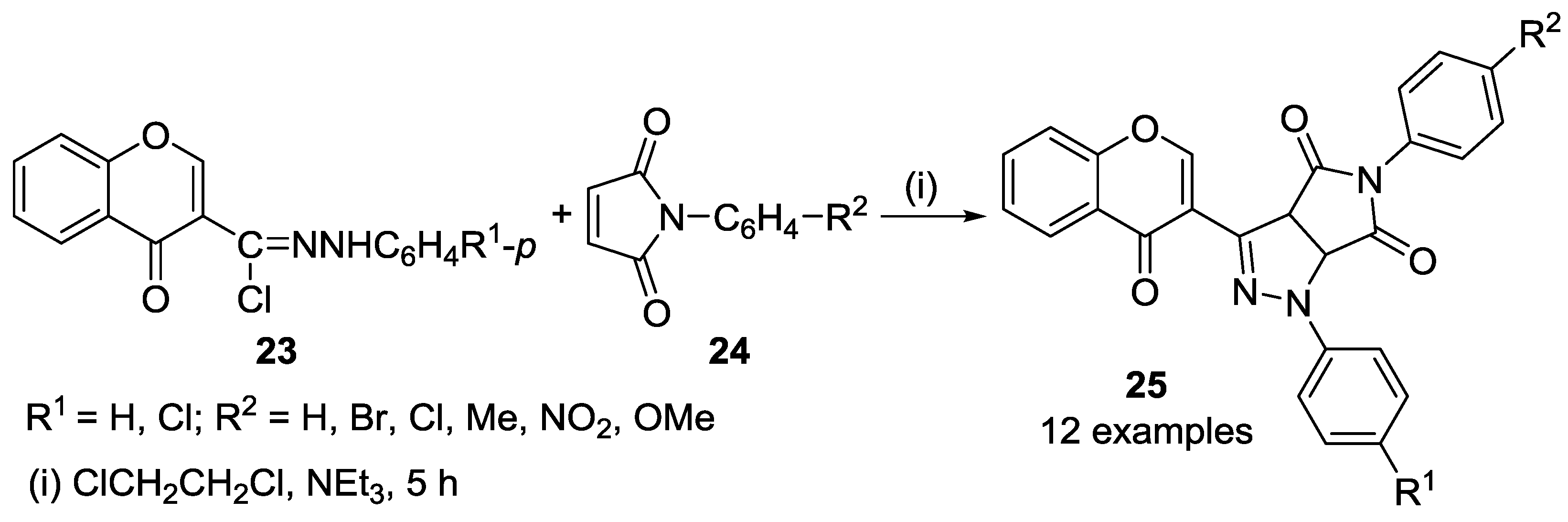
The 1,3-dipolar cycloaddition reactions of nitrile imines 23, prepared in situ from N-phenylchromone-3-carbohydrazonoyl chloride, with N-arylmaleimides 24 afforded a series of 3-(chromon-3-yl)-3a,6a-dihydro-4,6-dioxopyrrolo[3,4-d]pyrazoles 25 in moderate yields (43–55%) (Scheme 6) [29]. A similar reaction occurs between norcantharidin derivatives of substituted aromatic amines 27 with the 3-formylchromone phenylhydrazones 26 in the presence of chloramine-T as catalyst to provide novel pyrazole-linked norcantharidin derivatives substituted at chromone ring 28 (Scheme 7) [30].
Scheme 6.
Synthesis of 3-(chromon-3-yl)-3a,6a-dihydro-4,6-dioxopyrrolo[3,4-d]pyrazoles 25 by 1,3-dipolar cycloaddition reaction [29].
Scheme 7.
Synthesis of pyrazole-linked norcantharidin derivatives of substituted chromones 28 [30].
The cycloaddition reaction of 3-(2-nitrovinyl)chromones 29 with the in situ prepared N-methylhydrazones 31 in methanol in the presence of catalytic amounts of trifluoroacetic acid (TFA) gave the corresponding 3-(3-aryl-1-methyl-1H-pyrazol-5-yl)chromones 32 in good yields (55–69%) (Scheme 8) [31].
Scheme 8.
Synthesis of 3-(3-aryl-1-methyl-1H-pyrazol-5-yl)chromones 32 by cycloaddition of 3-(2-nitrovinyl)chromones 29 with in situ generated N-methylhydrazones 31, and their hydroxylated derivatives 33 and 34 [31].
The hydroxylated 3-(pyrazol-5-yl)chromones 33 and 34 were obtained using different reaction conditions; compounds 33 were isolated in good yields (69–75%) by treating the corresponding methoxy-substituted derivatives with BBr3 in dichloromethane and compounds 34 were obtained in excellent yields (97–98%) by treating the corresponding benzyloxy-substituted derivatives with a mixture of acetic acid/hydrochloric acid at 80 °C (Scheme 8) [31]. Among the synthesized compounds, a derivative containing a catechol moiety demonstrated both 1,1-diphenyl-2-picrylhydrazyl (DPPH) free radical scavenging activity and α-glucosidase inhibitory activity [31].
The synthesis of 3-benzylidenoflavanones 37 via condensation of flavanone 35 (2-phenylchromanone) with aromatic aldehydes 36, in the presence of a catalytic amount of piperidine and their further reaction with diazomethane led to the formation of a pyrazoline ring condensed at carbon C-3 of the pyrone ring (Scheme 9) [32]. These spiropyrazolines 38 were the only product confirmed by high performance liquid chromatography (HPLC) obtained in good yields from the reaction of 37 with diazomethane [32]. The cytotoxic effect of the nine spiropyrazolines 38 was determined on two human leukaemia cell lines (HL-60 and NALM-6) and melanoma (WM-115) cells, as well as on normal human umbilical vein endothelial cells (HUVEC). The highest cytotoxicity was observed for the para-methoxy-derivative, with an half maximal inhibitory concentration (IC50) < 10 mM for all three cancer cell lines, with five to twelve-fold lower sensitivity against normal cells (HUVEC) [32].
Scheme 9.
Synthesis of 4′-aryl-2-phenylspiro(1-pyrazoline-3′,3-chromanones) 38 via reaction of 3-benzylidenoflavanones 37 with diazomethane [32].
1,3-Dipolar cycloaddition reaction of (E,E)-3-(3-arylallylidene)chromanone 39 with diazomethane (generated in situ by the reaction of N-nitroso-N-methylurea with potassium hydroxide) at 4 °C afforded trans-4′-styrylspiro(1-pyrazolines-3′,3-chromanones) 40 in good yields (72–86%) and in a regioselective and stereospecific way (Scheme 10) [33]. The stereospecific formation of these 1-pyrazolines was explained based on a one-step 1,3-dipolar cycloaddition reaction of diazomethane to the less hindered side of the α,β-double bond of the unsaturated ketones [33].
Scheme 10.
Synthesis of trans-4′-styrylspiro(1-pyrazolines-3′,3-chromanones) 40 by the reaction of exocyclic α,β,γ,δ-diunsaturated ketones 39 with diazomethane [33].
2.2.2. Condensation of Hydrazines with α,β-Unsaturated Ketones
In 2010, Hatzade and coworkers described a convenient procedure for the conversion of 3-(3-aryl-3-oxoprop-1-en-1-yl)-7-hydroxychromones 41 into 3-(3-aryl-1H-pyrazol-5-yl)-7-hydroxychromones 42 in 45–67% yield by reaction with hydrazine hydrate in aprotic solvent like dimethylformamide (DMF) (Scheme 11) [34]. Further O-glycosylation of 42 (via its potassium salt 43) was carried out under anhydrous conditions using 2,3,4,6-tetra-O-acetyl-α-d-glucopyranosyl bromide as glycosyl donor in the presence of dodecyltrimethylammonium bromide (DTMAB) as a phase transfer catalyst. The reaction was carried out using anhydrous K2CO3 in a 3:2 mixture of DMF and acetone affording the 3-(3-aryl-1H-pyrazol-5-yl)-7-(2,3,4,6-tetra-O-acetyl-β-d-glucopyranosyloxy)chromones 44 with high regio- and diastereoselectivity and improved overall yields (78–95%). Deacetylation of 44 with anhydrous zinc acetate in methanol gave the 3-(3-aryl-1H-pyrazol-5-yl)-7-β-d-glucopyranosyloxychromones 45 in 70–85% yield (Scheme 11) [34]. Compounds 42 and their aglycones 45 were tested for their in vitro antibacterial activity against Escherichia coli, Klebsiella aerogenes, Staphylococcus aureus and Bacillus subtilis; antifungal activity against Aspergillus niger and Candida albicans fungi as well as DPPH radical scavenging activity. Generally, derivatives 45 showed greater pharmacological activity than the precursor aglycones 42, being promising antimicrobial and antioxidant pharmacophores [34].
Scheme 11.
Synthesis of 3-(3-aryl-1H-pyrazol-5-yl)-7-β-d-glucopyranosyloxychromones 45 by reaction of 3-(3-aryl-3-oxoprop-1-en-1-yl)-7-hydroxychromones 41 with hydrazine hydrate in DMF followed by O-glycosylation and deacetylation [34]. Abbreviations: DMF, dimethylformamide; DTMAB, dodecyltrimethylammonium bromide.
Years later, the same group reported computational evaluation using the Petra/Osiris/Molinspiration approach and the experimental verification of novel 3-(3-aryl-1-phenyl-1H-pyrazol-5-yl)-7-hydroxychromones 46 and their O-β-d-glucopyranosides 48 for their antimicrobial and antioxidant activity [35]. The evaluated compounds 46 were prepared in 45–61% yield from 3-(3-aryl-3-oxoprop-1-en-1-yl)-7-hydroxychromones 41 with phenylhydrazine hydrochloride in DMF [36]. The O-glycosylation of 46 with 2,3,4,6-tetra-O-acetyl-α-d-glucopyranosyl bromide was achieved in good yields (65–76%) and subsequent deacetylation using the conditions reported by Ingle and Hatzade [35,36] gave 3-(3-aryl-1-phenyl-1H-pyrazol-5-yl)-7-β-d-glucopyranosyloxychromones 48 in 69–90% yield (Scheme 12). Based on the above mentioned chemoinformatic studies the authors concluded that the introduction of appropriate di-substituted pyrazole ring into position 3 of chromone ring enhanced antibacterial activities of compounds 46 and 48 [35]. Once more, compounds containing the glucoside unit 48 proved to be more effective antimicrobial and antioxidant agents than the corresponding aglycons 46 [36].
Scheme 12.
Synthesis of 3-(3-aryl-1-phenyl-1H-pyrazol-5-yl)-7-β-d-glucopyranosyloxychromones 48 by reaction of 3-(3-aryl-3-oxoprop-1-en-1-yl)-7-hydroxychromones 41 with phenylhydrazine hydrochloride in DMF followed by O-glycosylation and deacetylation [35,36].
Siddiqui and coworkers reported the reaction of 3-(3-substituted-3-oxoprop-1-en-1-yl)chromones 49 with different hydrazines in conventional heating conditions, using acetic acid as solvent, and in solvent-free heating conditions (Scheme 13) [37].
Scheme 13.
Synthesis of 3-(1,3-disubstituted-2-pyrazolin-5-yl)chromones 50a–e and of a pyrazole-2-pyrazoline 50f by reaction of 3-(3-substituted-3-oxoprop-1-en-1-yl)chromones 49a,b with different hydrazines [37].
Both methods gave the expected 3-(1,3-disubstituted-2-pyrazolin-5-yl)chromones 50 from reaction with hydrazine hydrate, hydrazinobenzothiazole and phenylhydrazine with similar results (yields were not presented in the original manuscript). However, the reaction of 49a with phenylhydrazine did not afford the expected 2-pyrazoline; instead a pyrazole-2-pyrazoline 50f was obtained due to the reaction of both α,β-unsaturated carbonyl systems, one of them involving also a pyrone ring opening (this mechanism will be discussed in Section 4) in conventional and thermal solvent-free conditions. The synthesized compounds 50, demonstrated moderate to good antimicrobial activity, which seemed to be dependent on the nature of the heterocyclic moieties. Moreover, although the tested compounds were more active against fungi than bacteria, none of them exceeded the activity of the commercial drugs ciprofloxacin and griseofulvin [37].
2.2.3. Knoevenagel Reaction
(E)-3-[(2-Pyrazolin-/pyrazolidin-4-ylidene)methyl]chromones can be obtained in a very straightforward way through Knoevenagel condensation of 3-formylchromones with appropriate pyrazolin-5-ones [38,39,40,41,42,43,44,45,46] and pyrazolidine-3,5-diones [47], respectively. The 3-formylchromones have three active sites; the chromone carbonyl group, carbon 2 and the formyl group. Of these, the formyl group has the highest reactivity towards active methylene compounds, such as the above mentioned pyrazolin-5-ones and pyrazolidine-3,5-diones. Several examples of this type of condensation reactions have been reported in the literature. In 2002, Shingare and coworkers reported the Knoevenagel condensation of various 3-formylchromones 51 with 3-methyl-1-phenyl-3-pyrazolin-5-one 52 under microwave (MW) irradiation, with alumina support under solvent-free conditions, to obtain (E)-3-[(3-methyl-5-oxo-1-phenyl-2-pyrazolin-4-ylidene)methyl]chromones 53 in 59–87% yield, after only 2–4 min of reaction (step (i), Scheme 14) [38]. The efficacy of this method was compared with the same reaction in refluxing 1,4-dioxane using a catalytic amount of triethylamine (step (ii), Scheme 14). The latter method required 45 min for completion of the reaction and the yields were found to be moderate to high (48–80%). Nuclear Overhauser effect (NOE) experiments confirmed that out of possible two isomers the reaction affords only the isomer depicted in Scheme 14. Later, the same group reported a simple, efficient and environmentally friendly method to synthesize compounds 53 in excellent yields (77–90%) by grinding 3-formylchromones 51 with 3-methyl-1-phenyl-3-pyrazolin-5-one 52 in mortar and pestle at room temperature without solvent. Almost quantitative formation of the product (77–90% yield) was achieved within 2 min (step (iii), Scheme 14) [39]. The Knoevenagel reaction of 3-formylchromones 51 with other 3-substituted-1-phenyl-3-pyrazolin-5-ones 52 (R5 = CF3, propyl) by conventional and non-conventional methods also gave the corresponding (E)-3-[(5-oxo-1-phenyl-3-substituted-2-pyrazolin-4-ylidene)methyl]chromones 53 (steps (iv), (v) and (vi), Scheme 14), which demonstrated mild antibacterial and antifungal activities [40,41]. The authors observed that the reactions were very clean and afforded compounds 53 in high yields when using ultrasounds (72–89%) (step (v), Scheme 14) or microwave irradiation (68–81%) (step (vi), Scheme 14) requiring short time for completion (2–10 min) whereas in conventional heating method the reaction time was 20–25 min and the yields were comparatively poor (56–74%) (step (iv), Scheme 14) [40]. The same type of reaction involving other 3-formylchromones and 3-substituted-1-aryl-2-pyrazolin-5-ones in acetic acid under ultrasound or microwave irradiation in solvent-free conditions afforded also the corresponding (E)-3-[(1-aryl-3-methyl-5-oxo-2-pyrazolin-4-ylidene)methyl]chromones 53 (steps (v) and (vi), Scheme 14) [42,43,44,45,46]. Some of these chromone-pyrazole conjugates 53 were screened for their biological potential. Thus, compound 53 (R1 = R2 = R3 = R4 = H, R5 = Me, Ar = 3-ClC6H4) exhibited mild growth inhibitory activity (30–40%) in four human tumor cell lines (RPMI-8226, SR, M14 and UO-31) [43]. On the other hand, compound 53 (R1 = NO2, R2 = R4 = H, R3 = F, R5 = Me, Ar = 3-ClC6H4) was revealed as a leading anti-inflammatory drug, presenting IC50 values of 10 μM for both cyclooxygenase-1 and cyclooxygenase-2 enzymes [44]. Among the nine derivatives of 53 (R5 = CF3 or propyl, Ar = 2,3,5,6-F4C6H), some of them showed promising antibacterial activity against Staphylococcus aureus, Streptococcus pyogenes, Escherichia coli and Pseudomonas aeruginosa and fungal pathogen Candida albicans, being none of them active for Aspergillus niger and Aspergillus clavatus fungal strains [45].
Scheme 14.
Synthesis of (E)-3-[(3-substituted-1-aryl-5-oxo-2-pyrazolin-4-ylidene)methyl]chromones 53 by reaction of 3-formylchromones 51 with 3-substituted-1-aryl-3-pyrazolin-5-ones 52 [38,39,40,41,42,43,44,45,46].
The Knoevenagel condensation of 3-formylchromone 54 with 1-phenylpyrazolidine-3,5-dione 55 gave 3-[(3,5-dioxo-1-phenylpyrazolidin-4-ylidene)methyl]chromone 56. Upon reaction with hydrazine hydrate in 1:1 ratio in glacial acetic acid compound 56 was converted into the corresponding 5-acetyl-4-(chromon-3-yl)-1-phenyl-1,4,5,6-tetrahydropyrazolo-[3,4-c]pyrazol-3(2H)-one 57 (Scheme 15) [47].
Scheme 15.
Synthesis of 3-[(3,5-dioxo-1-phenylpyrazolidin-4-ylidene)methyl]chromone 56 and further reaction with an equimolar amount of hydrazine hydrate in glacial acetic acid [47].
2.2.4. Other Reactions
A different chromone-pyrazolone conjugate was reported by Abdel-Rahman who described the condensation reaction of 3-formyl-6-hydroxychromone 58 with 4-amino-3-methyl-1-phenyl-2-pyrazolin-5-one 59 to afford the corresponding imine derivative 60, in excellent yield (Scheme 16) [46].
Scheme 16.
Synthesis of chromone-pyrazolone conjugate 60 [46].
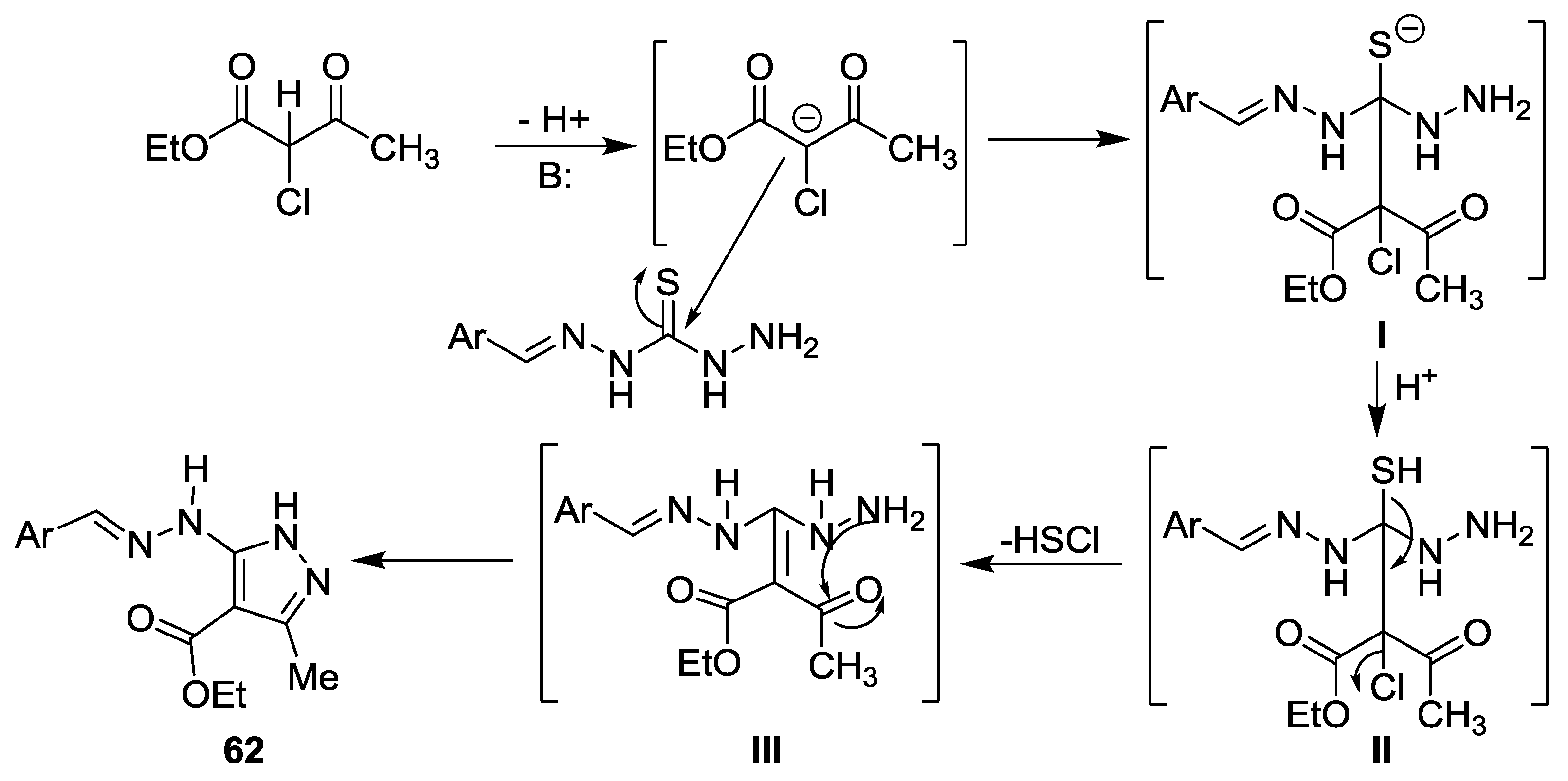
The reaction of 3-formylchromone derived monothiocarbohydrazone 61 with ethyl 2-chloro-acetoacetate in DMF yielded an unexpected product, the ethyl 5-[2-(6-chlorochromon-3-ylmethylene)hydrazino]-3-methyl-1H-pyrazole-4-carboxylate 62 (Scheme 17) [48]. Ali and coworkers also performed the reaction of 61 with malononitrile, diethyl malonate and cinnamaldehyde in DMF and few drops of piperidine which afforded the pyrazole derivatives 63–65, respectively (Scheme 17) [48]. The formation of the unexpected compound 62 was explained by a carbanion attack of ethyl 2-chloroacetoacetate at C=S group of compound 61 to form the intermediate I which after accepting a proton and elimination of HSCl give intermediate III, which upon cyclocondensation reaction gave compound 62 (Scheme 18) [48]. Only compounds 62 and 64 were screened for their antifungal activity. Thus, compound 64 showed moderate activities against Alternaria alternata and Aspergillus flavipes and lower activity against Aspergillus niger while compound 62 showed moderate activities against these three fungi species [48].
Scheme 17.
Reactions of 3-formylchromone derived monothiocarbohydrazone 61 with ethyl 2-chloro-acetoacetate, malononitrile, diethyl malonate and cinnamaldehydes [48].
Scheme 18.
Plausible mechanism for the formation of the unexpected ethyl 5-[2-(6-chlorochromon-3-ylmethylene)hydrazino]-3-methyl-1H-pyrazole-4-carboxylate 62 [48].
Gill and coworkers reported the reaction of substituted 3-formylchromones with 3-methyl-1-phenyl-1H-thieno[2,3-c]pyrazole-5-carbohydrazide using acetic acid as catalyst in methanol which gave the corresponding hydrazides in good yield (78–81%) [49]. Two of the four synthesized compounds showed promising antioxidant and anti-inflammatory activities [49].
Hydrazones of methyl ketones react with chromones at the carbonyl carbon (1,2-addition) to give, upon acidification, spiro(4H-chromene-4,5′-pyrazolines). This type of compounds was obtained from the reaction of 2-trifluoromethylchromone 66 with ethyl 2-(1-phenylethylidene)hydrazine-1-carboxylate 67 which afforded spiropyrazoline 68 in 26% yield (Scheme 19) [50].
Scheme 19.
Synthesis of a 2-trifluoromethylchromone-derived spiropyrazoline 68 [50].
3. Synthesis of Chromone-Fused Pyrazoles
3.1. Tandem Reactions of 3-Formylchromones with Pyrazole Derivatives
Structurally diverse chromone-fused pyrazoles can be prepared by tandem reactions of 3-formylchromones with several pyrazole [51] and pyrazolone derivatives [52], including the cycloaddition reaction of 3-formylchromones with pyrazole-o-quinodimethane derivatives [53]. The treatment of 3-formylchromone 69 with 5-amino-3-methyl-1H-pyrazole 70 in refluxing dimethylformamide/1,8-diazabicyclo[5.4.0]undec-7-ene (DMF/DBU) resulted in 3,7-dimethylchromeno[2,3-b]pyrazolo[4,3-e]pyridin-5(1H)-one 71 in 60% yield (Scheme 20) [51].
Scheme 20.
Synthesis of 3,7-dimethylchromeno[2,3-b]pyrazolo[4,3-e]pyridin-5(1H)-one 71 [51]. Abbreviation: DBU, 1,8-diazabicyclo[5.4.0]undec-7-ene.
Suresh and coworkers reported a straightforward synthesis of chromone-fused pyrazoles 74 by a tandem O-arylation-oxidative coupling reaction between 2-pyrazolin-5-ones 72 and o-halo-arylaldehydes 73 under aerobic conditions [52]. The reaction was performed using a combination of CuI as catalyst, 1,10-phenantroline as a ligand and K2CO3 as a base, in DMSO, which proved to be the best combination after a detailed screening of the reaction conditions (Scheme 21). For some derivatives the reaction was scaled-up to a gram scale while maintaining a high yield. The study of the reaction scope showed that 2-bromobenzaldehydes gave better yields of the desired product (74%) when compared to 2-chlorobenzaldehyde (25%) or 2-iodobenzaldehyde (52%). Furthermore, electron-donating groups on 2-bromobenzaldehydes afforded chromone-fused pyrazole derivatives in good yields (51–65%) while electron-withdrawing groups like fluorine gave the product in moderate yield (45%). 2-Bromobenzaldehyde bearing both electron-donating and electron-withdrawing substituents afforded the corresponding product in good yield (64%). A tetracyclic chromone fused pyrazole was obtained in good yield (66%) using 1-bromo-2-naphthaldehyde. Concerning to the substituents of the pyrazolone reagent, different electron-donating and electron-withdrawing substituents were well tolerated furnishing the diversely substituted chromone-fused pyrazole frameworks in moderate to good yields (35–68%). However, the reaction of N-Boc-pyrazolone and 2-bromobenzaldehyde did not give the desired product. Likewise the reaction with heteroaromatic aldehydes such as 2-chloronicotinaldehyde was not well succeeded. The synthetic utility of this method was demonstrated with the synthesis of a representative A2-subtype selective adenosine receptor antagonist (Scheme 21) [52].
Scheme 21.
Synthesis of chromone-fused pyrazoles 74 by a tandem O-arylation-oxidative coupling reaction between 2-pyrazolin-5-ones 72 and o-haloarylaldehydes 73 [52].
According to the proposed reaction mechanism (Scheme 22) C–H activation is the key step in this tandem process. The first step is the formation of intermediate I by oxidative addition of o-haloarylaldehyde 73 with copper catalyst. In the presence of a base, pyrazolone 72 would undergo complexation with the intermediate I affording intermediate II, which after reductive elimination followed by complexation with the Cu(I) led to the formation of intermediate III. Upon oxidative insertion, in the presence of oxygen, intermediate IV was obtained and led to the cyclized copper complex V that finally undergo cyclization to give the desired product 74 upon reductive elimination [52].
Scheme 22.
Plausible mechanism of the tandem O-arylation-oxidative coupling between 2-pyrazolin-5-ones 72 and o-haloarylaldehydes 73 [52].
New fused tetrahydrochromeno[3,2-f]indazoles were prepared by incorporating the chromone moiety into the pyrazole nucleus by cycloaddition reaction of chromone 75 with pyrazole-o-quinodimethane 77, generated in situ through reaction of sodium iodide with the appropriate dibromo-derivative 76. The cycloaddition reaction gave only cycloadducts 78 and 79 along with a small amount of the oxidation product 80, which, however, was the main reaction product in the case of 3-formylchromone 75a (Scheme 23) [53]. The reaction is highly regioselective and mixtures of only two diastereomers 78b–78e and 79b–79e, were isolated in moderate yields (20–51%) with the benzoyl group being always on the same side as the pyran oxygen. Although small amounts (less than 2%) of the other possible regioisomers 81 were formed as observed in the 1H-NMR spectra of the crude reaction mixture, they were not isolated. In most cases the crude reaction mixture also presented small amounts (2–5% yield) of the corresponding oxidation products 80. An exception was the reaction with 75a that afforded the oxidation product 80a as the main reaction product (35% yield) together with 79a (20% yield). The authors have postulated that compound 79a may be formed by the dehydrogenation of the trans-bridgehead hydrogens (4a-H and 10a-H). All formed products were prone to deformylation under the reaction conditions. It is also remarkable that opening of the pyran ring was never observed. Yet, upon purification of 78 on preparative thin-layer chromatography (TLC) cleavage of the pyran ring occurred affording the hydroxy derivatives 82 (Scheme 23) [53].
Scheme 23.
Synthesis of tetrahydrochromeno[3,2-f]indazoles 78 and 79 by cycloaddition reaction of 3-formylchromones 75 with pyrazole-o-quinodimethane 77 [53].
3.2. Other Transformations
Liu and coworkers reported a concise and mild route for the synthesis of chromeno[2,3-c]pyrazol-4(1H)-ones 84, in 43–78% yield, by using classical ionic liquids which contained a heterocyclic structure as the promoter, water as a solvent and tert-butyl hydroperoxide (TBHP) (70% aqueous solution) as the oxidant without any additives or catalysts, which proceeded through the intramolecular dehydrogenative coupling of the aldehyde C–H bonds and aromatic C–H bonds in 5-aryloxy-4-formyl-1H-pyrazoles 83 (Scheme 24) [54]. The ionic liquid was easily recycled and reused with the same efficacies for five cycles and the reaction tolerates diverse functional groups. Substrates bearing either electron-withdrawing or electron-donating groups led to the annulation products in good yields. Aryloxy parts with electron-withdrawing groups are generally more reactive than those with electron-donating groups giving relatively higher yields. Substituents at the o-position of the aryloxy group had little influence on the yield but when the substituent was at the m-position, the products were obtained as isomers in some cases. Reaction with pyrazoles having 1,3-dimethyl or 1,3-diphenyl groups also proceeded in mild conditions affording the desired products. The reaction was also applicable to the synthesis of a thiochromone which was obtained in good yield (63%). When performed at a gram-scale under the standard conditions the reaction afforded the expected product in 70% isolated yield, while in the model reaction it was obtained in 73% isolated yield. This method constitutes a straightforward and metal-free approach to prepare chromeno[2,3-c]pyrazol-4(1H)-ones overcoming the limitations found in other methods that require harsh conditions, have limited substrate scope, poor substituent tolerance and give the product in low yield.
Scheme 24.
Synthesis of chromeno[2,3-c]pyrazol-4(1H)-ones 84 via intramolecular cross-dehydrogenative-coupling reaction [54,55]. Abbreviations: IL, ionic liquid; TBHP, tert-butyl hydroperoxide; DCE, 1,2-dichloroethane.
Later Singh and coworkers reported a metal/additive-free, TBHP-promoted synthesis of fused chromeno[2,3-c]pyrazol-4(1H)-ones 84 from 5-aryloxy-4-formyl-3-methyl-1-phenyl-1H-pyrazoles 83 also via cross-dehydrogenative coupling of aldehydic C–H bond with arene C–H bond in very good yields (79–85%) (Scheme 24). Similarly, the reaction was found to proceed by a free radical mechanism [55].
According to the mechanism proposed by Liu and coworkers (Scheme 25), the reaction proceeds via generation of t-butoxyl radicals, promoted by the ionic liquid, which abstracts the aldehyde hydrogen atom to form an acyl radical A that adds to the aryloxy unit producing radical B. This radical leads to the formation of intermediate C via single-electron-transfer process. Then, the previously formed hydroxyl anion acts as the proton abstractor from C, providing the annulated product 84a. The authors proposed another possible mechanism where the acidic proton in B is trapped by the hydroxyl anion to give the radical anion intermediate. Formal liberation of an electron from this intermediate eventually leads to the formation of the product 84a [54].
Scheme 25.
Plausible reaction mechanism for the formation of chromeno[2,3-c]pyrazol-4(1H)-ones 84 [54].
Novel ABCD-fused chromenopyrazolopyridines 88 were synthesized by a multicomponent reaction of chromone-3-benzoylhydrazones 85 with acetylenedicarboxylates 86 and isocyanides 87 in dichloromethane (Scheme 26). The reaction was diastereoselective affording the tetracyclic benzopyrone derivatives 88, containing three stereogenic centres, in moderate to good yields (52–65%) [56]. These compounds 88 are related to the alkaloid (+/−)-elaeocarpine having the same three fused-ring core and one derivative was identified as a promising lead compound for the design of novel tetracyclic chromenopyrazolopyridines combining antilipid peroxidation and lipoxygenase inhibitory activities [56].
Scheme 26.
Diastereoselective one-pot synthesis of ABCD-fused chromeno[2,3-d]pyrazolo[3,4-b]pyridines 88 [56].
A plausible mechanism for the formation of the tetracyclic chromenopyrazolopyridines 88 was proposed (Scheme 27), where the initially formed isocyanide-acetylenedicarboxylate zwitterionic intermediate I abstracts preferentially the acidic NH hydrazone proton leading to intermediate II. The ester group at position 1 and the isocyanide group at position 2 most probably adopt a favored antiperiplanar conformation, while the two ester groups have the less energy demanding syn-conformation. Then, a ring closure occurs leading to intermediate IVA, without opening of the pyran ring. After formation of IVA, the resonance form IVB can be obtained by moving the electron pair on N4 and folding of the diazepine ring. In IVB an intramolecular [2+2] stepwise polar cycloaddition of C7=N8 double bond with isocyanide group C3=N4 is possible affording regioselectively a diazetidine intermediate V. In the next step, V undergoes an electrocyclic ring opening, supported by the adjacent enolate anion, to relieve the extra stretch, bend, torsion and Van der Waals energy and giving the isolated tetracyclic benzopyrone 88 (Scheme 27) [56].
Scheme 27.
Plausible reaction mechanism for the formation of chromenopyrazolopyridines 88 [56].
The reaction of 2-amino-3-carbamoylchromone 89 with hydrazines afforded 3-aminochromeno[4,3-c]pyrazol-4-ones 90 and 91 (Scheme 28). The reaction with hydrazine afforded compound 90 in 55% yield, which in DMSO-d6 was found to exist as a mixture of two tautomers in the ratio 77:23, being 2H-tautomer the major one. The reaction with methylhydrazine afforded compound 91 in 35% yield and the structure of the obtained regioisomer was confirmed based on two-dimensional nuclear Overhauser spectroscopy (2D NOESY) experiment, which exhibited a clear cross-peak between the protons of the Me and NH2 groups [57]. Compounds 90 and 91, which are coumarins having a heterocyclic moiety like pyrazole at positions 3 and 4 are key substrates for the preparation of various medicinal drugs [57].
Scheme 28.
Synthesis of 3-aminochromeno[4,3-c]pyrazol-4-ones 90 and 91 from the reaction of 2-amino-3-carbamoylchromone 89 with hydrazines [57].
The reaction of chromanones 92a with 5-amino-3-arylpyrazoles 93 in pyridine at 100 °C gave fused 7-chromon-3-ylbenzopyrano[4,3-d]pyrazolo[l,5-a]pyrimidines 94a in moderate yields (51–57%) (Scheme 29) [58]. Similarly, the reaction of chromanones 92b with 93 in DMF gave 7-aryl-benzopyrano[4,3-d]pyrazolo[l,5-a]pyrimidines 94b in 48–51% yield (Scheme 29) [58]. The formation of compounds 94a and 94b result from the condensation between amino group of 5-aminopyrazole 93 with carbonyl group of 92 followed by Michael addition on the double bond by the nitrogen pyrazole ring [58].
Scheme 29.
Synthesis of 7-aryl/chromonyl-benzopyrano[4,3-d]pyrazolo[l,5-a]pyrimidines 94 [58].
4. Chromones as Starting Materials in the Synthesis of 3(5)-(2-Hydroxyaryl)pyrazoles
4.1. Reaction with Hydrazine
Since 1940s and 1950s is known that 3(5)-(2-hydroxyaryl)pyrazoles 96 (Scheme 30) are the main products obtained from the reaction of chromones with hydrazine hydrate, instead of the hydrazones derived from the starting chromones [59,60,61]. The reaction mechanism involves nucleophilic attack at C-2 of the chromone 95 with consequent ring opening, followed by an intramolecular hydrazone formation (Scheme 30).
Scheme 30.
Mechanism for the synthesis of 3(5)-(2-hydroxyaryl)pyrazoles 96 from the reaction of chromones 95 with hydrazine under neutral conditions.
This selective and fast procedure, involving an excess of hydrazine hydrate in refluxing ethanol, was applied to a wide variety of 2-substituted chromones 97 to afford several 3(5)-(2-hydroxyaryl)-5(3)-substituted pyrazoles 98. The substitution at carbon C-2 of the chromone unit can include polyfluoroalkyl [62,63], 1-isopropyl-1H-indazol-3-yl [64], 4-(allyloxy)-3-methoxyphenyl-1-yl [65], 4-chloro-3,4-difluorophenyl-1-yl [66], 1-aryl-3-(benzofuran-2-yl/naphthalen-3-yl/phenyl/pyridin-3/4-yl, thiophen-2-yl/3-bromothiophen-2-yl)pyrazol-4-yl [18,19,20,21,67,68,69,70], 1-methyl-3-propyl-4-substituted pyrazol-5-yl [8], 2-(3-methylthiophen-2-yl)-1,3-thiazol-5-yl [71] substituents (step (i), Scheme 31). Using a 5-methyl-3-phenylisoxazol-4-yl group as C-2 substituent, the reaction occurs in the presence of glacial acetic acid to afford 3(5)-(2-hydroxyaryl)-5(3)-(5-methyl-3-phenylisoxazol-4-yl)-1H-pyrazoles, in good yields (59–83%) (step (ii), Scheme 31) [72]. Replacing ethanol by another alcohol as solvent, a series of 2-(5-aryl-1,2,3-triazol-4-yl)chromones in methanol (step (iii), (Scheme 31) or 2-[2-(quinoxalin-2-one-3-yl)methylidene-chromones in n-butanol (step (iv), Scheme 31) undergo condensation with hydrazine hydrate to furnish 5(3)-(5-aryl-1,2,3-triazol-4-yl)-3(5)-(2-hydroxyaryl)-1H-pyrazoles [73] or 3(5)-(2-hydroxy-aryl)-5(3)-[2-(quinoxalin-2-one-3-yl)methylidene]-1H-pyrazoles [74], respectively. Biological evaluation of a wide range of 3(5)-(2-hydroxyaryl)pyrazoles 96 were performed, mainly as antimicrobial and antioxidant agents [8,18,19,20,21,64,65,66,67,70,71,72].
Scheme 31.
Synthesis of 3(5)-(2-hydroxyaryl)-5(3)-substituted pyrazoles 98 from the reaction of 2-substituted chromones 97 with an excess of hydrazine hydrate, using different reaction conditions [8,18,19,20,21,62,63,64,65,66,67,68,69,70,71,72,73,74]. To simplify the schemes, in all the reactions that can include both 3- and 5-(2-hydroxyaryl)pyrazoles, only the 3-isomer will be represented.
Treating 5-[(chromon-3-yl)methylene]-1,3-thiazolidine-2,4-dione with equimolar amount of hydrazine hydrate in refluxing ethanol and in the presence of sodium ethoxide gave the corresponding 3(5)-(2-hydroxyphenyl)-4-[(1,3-thiazolidine-2,4-dione)methylene]pyrazole while using glacial acetic acid, the acetylated derivative 1-acetyl-5-(2-hydroxyphenyl)-4-[(1,3-thiazolidine-2,4-dione)methylene]pyrazole was obtained [75]. Both pyrazole derivatives presented moderate antifungal activity against Candida albicans fungi strain [75]. A couple of 3-(2-hydroxyphenyl)-5-{3/4-[3-(2-hydroxyphenyl)pyrazol-5-yl]phenyl}pyrazoles arise from the reaction of 3′/4′-(2-chromonyl)flavones with an excess of hydrazine hydrate in refluxing methanol [76]. Several 3(5)-(2-hydroxyaryl)-4,5(3)-disubstituted pyrazoles 100 were also obtained from the reaction of 2,3-disubstituted (thio)chromones 99 with hydrazine hydrate in refluxing ethanol [77,78] or in hot pyridine (Scheme 32) [79,80]. Substituents at carbon C-2 include alkyl or aryl groups while at carbon C-3 present alkyl, aryl or benzyl groups.
Scheme 32.
Synthesis of 3(5)-(2-hydroxyaryl)-4,5(3)-disubstituted-pyrazoles 100 from the reaction of 2,3-disubstituted-(thio)chromones 99 with an excess of hydrazine hydrate, using different reaction conditions [77,78,79,80].
3(5)-(2-Hydroxyaryl)-5(3)-polyfluoroalkylpyrazole derivatives 103 were also prepared in two steps starting from 2-hydroxy-2-polyfluoroalkylchromanones 101 and hydrazine hydrate to afford 5-hydroxy-3-(2-hydroxyaryl)-5-polyfluoroalkyl-∆2-pyrazolines 102, which undergo subsequent treatment with boiling glacial acetic acid in the presence of HCl (Scheme 33) [62]. A single example of the reaction of 6-methyl-2-trifluoromethylchromene-4-thione with hydrazine hydrate in ethanol at room temperature provided the respective 3(5)-(2-hydroxy-5-methylphenyl)-5(3)-trifluoromethylpyrazole in 65% yield [81]. On the other hand, the reaction of diethyl [(4-chlorophenylamino)(6-methylchromon-3-yl)methyl]phosphonate with hydrazine hydrate and sodium ethoxide in refluxing ethanol led to the 3(5)-(2-hydroxy-5-methylphenyl)-4-(α-aminophosphonate)pyrazole in 97% yield [82]. This pyrazole showed a moderate antimicrobial activity and a good antioxidant effect [82].
Scheme 33.
Synthesis of 3(5)-(2-hydroxyaryl)-5(3)-substituted-pyrazoles 103 from the reaction of 2-hydroxy-2-polyfluoroalkylchromanones 101 with an excess of hydrazine hydrate [62].
An efficient and selective methodology for the synthesis of (Z)- and (E)-3(5)-(2-hydroxyaryl)-4-styrylpyrazoles Z-105 and E-105 (Scheme 34) was reported by Silva and coworkers [83,84]. The reaction of (Z)- and (E)-3-styrylchromones Z-104 and E-104 with an excess of hydrazine hydrate in methanol at room temperature provided the respective (Z)- and (E)-3(5)-(2-hydroxyaryl)-4-styrylpyrazoles (Scheme 34 and Scheme 35A). However, when chromones present a nitro group substituent at B-ring, both (Z)- and (E)-isomers, Z-104 and E-104, afforded only (E)-3(5)-(2-hydroxyaryl)-4-(4-nitrostyryl)pyrazoles E-105 (Scheme 34 and Scheme 35B). The mechanism proposed by the authors considers that although both nitro and carbonyl groups are strong electron-withdrawing groups, the primer is the most powerful one. So, after the nucleophilic attack at C-2 of the chromone nucleus, the electronic conjugation should move towards the 4′-nitro-3-styryl moiety instead of the 4-carbonyl group (Scheme 35B).
Scheme 34.
Synthesis of (Z)- and (E)-3(5)-(2-hydroxyaryl)-4-styrylpyrazoles Z-105 and E-105 from the reaction of (Z)- and (E)-3-styrylchromones Z-104 and E-104 with hydrazine hydrate [83,84].
Scheme 35.
(A): Generic mechanism proposed for the synthesis of (Z)- and (E)-3(5)-(2-hydroxyphenyl)-4-styrylpyrazoles Z-105 and E-105, starting from, respectively, (Z)- and (E)-3-styrylchromones Z-104 and E-104 and hydrazine hydrate. (B): Mechanism proposed for the synthesis of (E)-3(5)-(2-hydroxyphenyl)-4-(4-nitrostyryl)pyrazoles E-105, starting from (Z)- and (E)-4′-nitro-3-styrylchromones Z-104 and E-104 and hydrazine hydrate [83,84].
This conjugate addition allowed the (Z)→(E) isomerisation of the vinylic double bond of the styryl group, to the most stable configuration, and consequent ring opening. The last step of this reaction involves pyrazole ring closure by an intramolecular hydrazone formation (Scheme 35B).
Condensation reactions of hydrazine hydrate with 3-[bis(diaryl)methyl]chromones in refluxing ethanol gave 4-[bis(diaryl)methyl]-3(5)-(2-hydroxyphenyl)pyrazoles [85]. Similarly, 3-[bis(indol-3-yl)methyl]chromones in refluxing isopropanol provided 3(5)-(2-hydroxyphenyl)-4-[bis(indol-3-yl)methyl]pyrazoles [86].
Regioselective condensation reactions of compounds containing a pyrone and an exocyclic enone reactive system, with hydrazine hydrate in different reaction conditions were disclosed. Thus, the reaction of 4-(chromenylmethylene)pyrazolidinedione 56 with equimolar amount of hydrazine hydrate in the presence of triethylamine in 1,4-dioxane led to pyrone ring opening to provide the corresponding 4-{[5-(2-hydroxyphenyl)-1H-pyrazol-4-yl]methylene}-1-phenyl-pyrazolidine-3,5-dione 106 while in a 1:2 ratio in DMF, both pyrone and enone systems are reactive giving rise to 4-[5-(2-hydroxyphenyl)-1H-pyrazol-4-yl]-1-phenyl-1,5,6,6a-tetrahydropyrazolo[3,4-c]pyrazol-3(2H)-one 107, in 90% yield (Scheme 36) [47].
Scheme 36.
Reaction of 4-(chromenylmethylene)pyrazolidinedione 56 with hydrazine hydrate carried out in the presence of different solvents [47].
Abass and coworkers reported the condensation reaction of 4-hydroxy-1-methyl-3-[(E)-3-chromon-3-yl)acryloyl]quinolin-2(1H)-one 108 with an equimolar amount of hydrazine in boiling ethanol to afford pyrazoles 109 while using 2 equivalent (equiv) of hydrazine in refluxing DMF led to the pyrazole-pyrazoline derivative 110 [87]. When the reaction was performed in boiling acetic acid, with an equimolar amount of hydrazine, the pyrone ring maintains intact delivering the N-acetylated pyrazoline derivative 111; with 2 equiv of hydrazine, N-acetylated pyrazoline-pyrazole derivative 112 was isolated. Moreover, derivative 112 can also be synthesized from the compounds 109, 110 and 111 with hydrazine hydrate in boiling DMF (Scheme 37) [87].
Scheme 37.
Reaction of 4-hydroxy-1-methyl-3-[(E)-3-(chromen-3-yl)acryloyl]quinolin-2(1H)-one 108 with hydrazine hydrate carried out in the presence of different solvents [87].
1-Acetyl-3-aryl-5-[3-(2-hydroxyphenyl)pyrazol-4-yl]-2-pyrazoline derivatives 113 were obtained as major products (63–75% yield) from the reaction of 3-(3-aryl-3-oxoprop-1-en-1-yl)chromones 20 with an excess of hydrazine hydrate in hot acetic acid (Scheme 38). From this reaction, 1-acetyl-3-aryl-5-(3-chromonyl)-2-pyrazolines 114 were also obtained as by products (2–6% yield) [88]. The authors pointed two possible pathways for the formation of pyrazolyl-2-pyrazolines: pathway A involving the formation of the 1-acetyl-3-aryl-5-(3-chromonyl)-2-pyrazolines 114 in the first step, as in standard reactions between α,β-unsaturated ketones and hydrazines [89] or pathway B through the reaction of 3-chromonyl group and hydrazine before the reaction of α,β-unsaturated ketone moiety affording the 3,4-disubstituted pyrazoles 115. Both intermediates 114 and 115 can then react with another equivalent of hydrazine to provide the pyrazolyl-2-pyrazolines 113 (Scheme 38). So, the experimental results supported that this reaction must proceed through the first possibility, since 1-acetyl-3-aryl-5-(3-chromonyl)-2-pyrazolines 114 were isolated as minor reaction products [88].
Scheme 38.
Pathways for the reaction of 3-(3-aryl-3-oxoprop-1-en-1-yl)chromones 20 with an excess of hydrazine hydrate in hot acetic acid [88,89].
The excess of hydrazine hydrate used in the reaction of 8-formyl-7-hydroxy-2-methyl-3-phenoxychromone 116 in refluxing ethanol led to the isolation of a unique structure 117 (Scheme 39) containing a hydrazone moiety, formed from the reaction of hydrazine with the 8-formyl group, but also the pyrazole ring, resulted from the reaction of hydrazine and recyclization of the γ-pyrone ring of the starting chromone [90].
Scheme 39.
Reaction of 8-formyl-7-hydroxy-2-methyl-3-phenoxychromone 116 with an excess of hydrazine hydrate [90].
The presence of two carbonyl groups in the 3-aroyl-2-aryl-5-benzyloxychromone structures 118 allowed the formation of two different types of pyrazoles when the reaction occurred in the presence of hydrazine, generated in situ by addition of potassium carbonate to hydrazinium sulfate or from the commercially available hydrate, in methanol at 80 °C (Scheme 40) [91]. Better overall yields were obtained with hydrazine hydrate, being in all cases the 3,5-diaryl-4-(2-benzyloxy-6-hydroxybenzoyl)pyrazoles 119 isolated as major products along with 4-aroyl-5-aryl-3-(2-benzyloxy-6-hydroxyphenyl)pyrazoles 120 as minor compounds. These results pointed that the carbonyl group of 3-aroyl group is more reactive than the chromone carbonyl group [91].
Scheme 40.
Reaction of 3-aroyl-2-aryl-5-benzyloxychromones 118 with different sources of hydrazine [91].
The two carbonyl groups of 3-(polyfluoroacyl)chromones 121 were also reactive with different sources of hydrazine in different reaction conditions [92]. Thus, using hydrazine dihydrochloride in the presence of anhydrous sodium acetate in methanol at room temperature yielded different products according to the nature of the substituents in the chromone ring. Chromones 121 (R = H, Me) afforded only 4-(2-hydroxylbenzoyl)-3-(trifluoromethyl)pyrazoles 122 whereas chromone 121 (R = NO2) gave solely 4-(trifluoromethyl)-2,4-dihydrochromeno[4,3-c]pyrazol-4-ol 123 (Scheme 41), formed through nucleophilic 1,4-addition with subsequent pyrone ring opening and heterocyclization reactions. Chromone 121 (R = Cl) prompted a mixture of compounds 122:123, in a ratio of 1:4. On the other hand, the reaction of the 3-(polyfluoroacyl)chromones 121 with an aqueous solution of hydrazine hydrate in methanol at −10 °C afforded the same derivatives in the case of chromones substituted with chloro and nitro groups while for the unsubstituted chromone and substituted with a methyl group, starting chromones underwent detrifluoroacetylation and deformylation to afford the corresponding 2′-hydroxyacetophenones [92]. A couple of 3-(2-hydroxyphenyl)-5-(1-methylpyrrol-3-yl)-2-pyrazolines 125 were obtained from the reaction of (E)-2-hydroxy-3-(1-methylpyrrol-2-ylmethylene)chromanones 124 with 3 equiv of hydrazine hydrate in refluxing ethanol (Scheme 42). The mechanism proposed involves deformylation of the starting chromanones to the corresponding chalcones followed by heterocyclization reactions [86].
Scheme 41.
Reaction of 3-(polyfluoroacyl)chromones 121 with different sources of hydrazine [92].
Scheme 42.
Synthesis of 3-(2-hydroxyphenyl)-5-(1-methylpyrrol-3-yl)-2-pyrazolines 125 from the reaction of (E)-2-hydroxy-3-(1-methylpyrrol-2-ylmethylene)chromanones 124 with hydrazine hydrate in refluxing ethanol [86].
4.2. Reaction with Methylhydrazine
In 2000, Silva and coworkers reported the reaction of 5-benzyloxy-2-(methyl/phenyl/ styryl)chromones 126 with four batches (2 equiv each) of methylhydrazine in refluxing methanol for 24 h. From this reaction only 3-(2-benzyloxy-6-hydroxyphenyl)-1-methylpyrazoles 127 were obtained in 38–53% yield, recovering a significant amount of the starting chromones 126 (33–50%) (Scheme 43) [93]. From these results it was concluded that the secondary amino group of the methylhydrazine attacks carbon C-2 of the chromone moiety with consequent ring opening (Scheme 44, pathway A), followed by intramolecular hydrazone formation to afford solely the corresponding 3-(2-hydroxyphenyl)-1-methylpyrazoles. Unlike described before, when 2-polyfluoroalkylchromones 128 or 2-hydroxy-2-polyfluoroalkylchroman-4-ones 101 reacted with methylhydrazine in boiling ethanol in the presence of HCl a series of 5-(2-hydroxyaryl)-1-methyl-3-polyfluoroalkylpyrazoles 129 were obtained regioselectively (Scheme 43) [62]. In this reaction performed in acidic medium (Scheme 44, pathway B), the protonation of the NHMe group occurs and consequently it is the nucleophile attack of the primary amino group of methylhydrazine to the carbon C-2 of the chromone unit that starts the sequence.
Scheme 43.
Different pyrazole isomers 127 and 129 were obtained from the reaction of compounds 126, 128 and 101 with methylhydrazine in neutral and in acidic medium [62,93].
Scheme 44.
Mechanism of the reaction of chromones with methylhydrazine in neutral (pathway A) and in acidic (pathway B) medium.
On the other hand, a mixture of 4-[bis(4-diethylaminophenyl)methyl]-3(5)-(2-hydroxyphenyl)-1-methyl-1H-pyrazoles were achieved from the reaction of 3-[bis(4-diethylaminophenyl)-methyl]chromone with an excess of methylhydrazine in refluxing ethanol [85]. Varying the conditions in the reaction of 3-(polyfluoroacyl)chromones with methylhydrazine, 4-(2-hydroxybenzoyl)-1-methyl-3-(trifluoromethyl)pyrazoles and/or 2-methyl-4-(trifluoromethyl)-2,4-dihydrochromeno[4,3-c]pyrazol-4-ols were obtained as main products [92]. Other regioselective reactions were achieved using equimolar mixtures of 3-cyanochromones 130 and methylhydrazine, varying the solvent [94]. In refluxing benzene, 4-cyano-3-(2-hydroxyaryl)-1-methylpyrazoles 131 were obtained as major products (40–46%) while the isomeric 5-arylpyrazoles 132 were obtained in smaller amounts; under boiling acetic acid, only 2-methylchromeno[4,3-c]pyrazol-4(2H)-ones 133 were isolated in 70–92% yields (Scheme 45). To note that these arylpyrazoles 131 and 132 can be cyclized in boiling acetic acid into the respective chromenopyrazolones 133 and 134, with better yields in the two-steps approach [94].
Scheme 45.
Reaction of 3-cyanochromones 130 with methylhydrazine carried out in different solvents [94].
Interestingly, in 2004 Budzisz and coworkers reported the isolation of similar products of those described before, from the reaction of phosphonic chromone 135 and its C-3 methoxycarbonyl analogue 136 with an equimolar amount of methylhydrazine at room temperature, under solvent-free conditions. In this case, 3-(2-hydroxyphenyl)pyrazoles 138 were not isolated from the reaction mixture being 5-(2-hydroxyphenyl)-3-methyl-4-phosphonyl pyrazoles 137 obtained as major compounds along with tricyclic compounds 139 and 140, as minor products. The formation of compounds 139 and 140 result from the intramolecular transesterification of the formed pyrazoles 137 and 138, respectively (Scheme 46) [95]. The addition of a second equiv of methylhydrazine to the reaction mixture improved the yield of the tricyclic compounds [96].
Scheme 46.
Reaction of phosphonic chromone 135 and its C-3 methoxycarbonyl analogue 136 with methylhydrazine, under solvent-free conditions [95].
A couple of N-methylated pyrazolyl-2-pyrazoline derivatives arise in moderate yield from the reaction of (E)-3-[3-(2-hydroxyaryl)-3-oxoprop-1-en-1-yl]chromones with two equiv of methyl-hydrazine in tetrahydrofuran (THF) at room temperature. The mechanism involves a domino sequence of nucleophilic attack at the chromone C-2 with pyrone ring-opening and pyrazole ring closure, together with a 1,4-aza-Michael addition to the exocyclic enone system followed by the formation of the 2-pyrazoline ring [97].
4.3. Reaction with Phenylhydrazine
Sosnovskikh and coworkers reported in 2002 the reaction of phenylhydrazine with 2-poly-fluoroalkylchromones 128 in refluxing ethanol and the corresponding 5-(2-hydroxyaryl)-1-phenyl-3-polyfluoroalkylpyrazoles 141 were isolated in poor yields (13–20%) (Scheme 47) [62]. Alternatively, reacting 2-hydroxy-2-polyfluoroalkylchromanones 101 with phenylhydrazine at room temperature yielded the corresponding 5-hydroxy-3-(2-hydroxyaryl)-1-phenyl-5-polyfluoroalkyl-∆2-pyrazolines 142 (37–62% yield), which were converted into the respective 3-(2-hydroxyaryl)-1-phenyl-5-polyfluoroalkylpyrazoles 143 (32–91% yield), after treatment with boiling glacial acetic acid in the presence of HCl [62]. A couple of these 1-Ph-5-RF-pyrazoles 143 can also arise from a two-step reaction of 2-polyfluoroalkylchromene-4-thiones 144 with phenylhydrazine for 15 min, in solvent-free conditions, to give chromone N-phenylhydrazones 145, which suffer subsequent acidification with HCl in refluxing ethanol (Scheme 48) [81].
Scheme 47.
Regioselective reaction of chromones 128 and chromanonols 101 with phenylhydrazine carried out at different temperatures [62].
Scheme 48.
Regioselective reaction of chromene-4-thiones 144 with phenylhydrazine and subsequent acidic ring-closure [81].
Lévai et al. studied the reactivity of few 3-arylchromones with phenylhydrazine in hot pyridine. Only those chromones non-substituted at C-2 were allowed to react and a couple of 4-aryl-3(5)-(2-hydroxyaryl)-1-phenylpyrazoles were synthesized [80]. A single example of 1-phenyl-5-(2-hydroxy-5-methylphenyl)-3-(α-aminophosphonate)pyrazole 147 arose in 67% yield from the reaction of diethyl [(4-chlorophenylamino)(6-methylchromon-3-yl)methyl]phosphonate 146 with phenyl-hydrazine and sodium ethoxide in refluxing ethanol (Scheme 49) [82]. Using the same procedure, 5-(2-hydroxyphenyl)-1-phenyl-4-[(1,3-thiazolidine-2,4-dione)methylene]-pyrazole arose from 5-[(chromon-3-yl)methylene]-1,3-thiazolidine-2,4-dione, in 63% yield [75].
Scheme 49.
Reaction of diethyl [(4-chlorophenylamino)(6-methylchromon-3-yl)methyl]phosphonate 146 with phenylhydrazine and sodium ethoxide in refluxing ethanol [82].
Treating 3-aroyl-6,8-dichlorochromones 148 with phenylhydrazine hydrochloride in the presence of a small amount of piperidine and using DMSO [98] or 1,4-dioxane [99] as solvent furnished the corresponding 4-aroyl-3-(3,5-dichloro-2-hydroxyphenyl)-1-phenylpyrazoles 149 in 61–80% yield (Scheme 50). In addition, replacing chromones 148 by chromanones 150, 4-aroyl-3-(3,5-dichloro-2-hydroxyphenyl)-1-phenyl-2-pyrazolines 151 were obtained (Scheme 50) [99]. Moderate to good antibacterial activity against Escherichia coli, Staphylococcus aureus, Pseudomonas vulgaris and Bacillus subtilis was observed for pyrazoles 149 [98] while the growth promoting effect on some flowering plants were evaluated not only for pyrazoles 149, but also for 2-pyrazolines 151 [99]. Unlike methylhydrazine, the reactivity of chromones with phenylhydrazine can proceed in two different ways, due to the equilibrium between the non-protonated and protonated form of the more nucleophilic phenylhydrazine amino group (Scheme 51). In neutral conditions (pathway A), the more nucleophilic amino group (NH2) attacks the chromone C-2 carbon, in a conjugate-type addition, with consequent pyran ring opening. Then, the intramolecular reaction between the other amino group (NHPh) and the carbonyl unit lead to the 3-(2-hydroxyphenyl)-1-phenylpyrazoles. In acidic medium (pathway B), protonated hydrazine molecule NHPh becomes the nucleophile attacking the chromone C-2 carbon with pyran ring opening. The 5-(2-hydroxyphenyl)-1-phenylpyrazoles arise from intramolecular reaction between the other amino group (NH2) and the carbonyl unit (Scheme 51).
Scheme 50.
Reaction of 3-aroyl-6,8-dichlorochromones 148 and chromanones 150 with phenylhydrazine hydrochloride carried out in the presence of piperidine, in different solvents [98,99].
Scheme 51.
Mechanism of the reaction of chromones with phenylhydrazine in neutral (pathway A) and in acidic (pathway B) medium.
An example of the regioselectivity obtained from the reaction of chromones with phenylhydrazine in acidic medium was given by Lévai et al. [100]. Treating (E)-3-[3-(2-hydroxyaryl)-3-oxoprop-1-en-1-yl]chromones 20 with an excess of phenylhydrazine in refluxing acetic acid gave only N-phenyl pyrazolyl-2-pyrazoline derivatives 152, in moderate yields (Scheme 52).
Scheme 52.
Mechanisms proposed for the reaction of (E)-3-[3-(2-hydroxyaryl)-3-oxoprop-1-en-1-yl]chromones 20 with an excess of phenylhydrazine in refluxing acetic acid [100].
According to the results, the reaction starts by the attack of phenylhydrazine to the exocyclic enone to deliver (3-chromonyl)-2-pyrazoline-type compounds 153 as primary reaction intermediates. Then, the reaction in acidic medium proceeds by only one pathway, involving the attack of the more nucleophilic amino group to the chromone C-2 carbon with consequent pyran ring opening and subsequent intramolecular reaction between the other amino group (NHPh) and the carbonyl unit leading to final pyrazolyl-2-pyrazoline derivatives 152 (pathway A, Scheme 52) [100].
4.4. Reaction with Other Hydrazines
Not only simple hydrazines are used to synthesize pyrazole derivatives. The reaction of 3-hydrazino-6-(2-hydroxyphenyl)pyridazine with 2-trifluoromethylchromene-4-thione in refluxing methanol provided the respective 6-(2-hydroxyphenyl)-3-[2-(hydroxyphenyl)-5-trifluoromethyl-1H-pyrazol-3-yl]pyridazine in 28% yield. Using the similar chromone derivative, the reaction did not occur [81]. Nucleophiles such as isonicotinic acid, semicarbazide and thiosemicarbazide hydrochloride were allowed to react with 3-benzoyl-6-chloro-2-methylchromone in refluxing methanol giving rise to the corresponding 4-aroyl-5-(5-chloro-2-hydroxyphenyl)-1-isonicotinoyl/carboxamido/thiocarboxamido-3-methylpyrazoles [101]. Other 1-carbothioamide pyrazole derivatives 155 have been accomplished through ring opening of 2-[4-(phenylthio)phenyl]chromones 154 with semicarbazide in ethanol and potassium hydroxide, under ultrasound irradiation (Scheme 53) [102]. Some of the synthesized compounds 155 showed significant antibacterial activity against Escherichia coli and Staphylococcus aureus and also against the fungal strains Candida albicans and Aspergillus fumigates [102].
Scheme 53.
Reaction of 2-[4-(phenylthio)phenyl]chromones 154 with semicarbazide in ethanol and potassium hydroxide, under ultrasound irradiation [102].
5. Miscellaneous
The reactivity of 3-formylchromone derivatives with a series of hydrazines has been studied in detail over the most recent years (for recent reviews see [103,104]). Thus, treating 3-formyl-6-hydroxychromone with an equimolar amount of hydrazine hydrate and phenylhydrazine in refluxing ethanol provided the corresponding 4-(2,5-dihydroxybenzoyl)pyrazoles [46]. Other 4-(2-hydroxyaroyl)pyrazoles were synthesized through the reaction of 3-formylchromone with arylhydrazines in an alcoholic potassium hydroxide solution, under microwave irradiation at 120 °C [105]. A similar one-pot protocol was achieved with the reaction of the parent 3-formylchromone with cyanoacetic acid hydrazide in the presence of sodium ethoxide in refluxing ethanol to afford 4-(2-hydroxybenzoyl)pyrazole [106]. Rindhe and coworkers used a two-step strategy involving the reaction of 3-formylchromones with 2,4-difluorohydrazine using a catalytic amount of acetic acid in ethanol at 40 °C to give the corresponding hydrazones, which after treatment with potassium hydroxide at 50 °C provided the respective 4-(2,5-dihydroxybenzoyl)pyrazoles [107]. From eight of these pyrazoles, one presented a broad spectrum of antibacterial activity against the four tested strains (Escherichia coli, Staphylococcus aureus, Pseudomonas aeruginosa and Bacillus subtilis). Moreover, only one of the eight tested compounds showed antifungal activity against Candida albicans [107].
The condensation of 6-substituted 3-formylchromones 156 with equimolar amounts of aromatic primary hydrazines in refluxing THF occurs through 1,2-addition reaction at the formyl group to afford the respective hydrazones 157 (Scheme 54). On the other hand, using prolonged heating, the reaction evolved to the formation of 1-aryl-4-(2-hydroxybenzoyl)pyrazoles 158 (Scheme 54), via 1,4-addition reaction with pyrone ring-opening and subsequent recyclization and proton transfer mechanism [108,109]. Both compounds 157 and 158 were screened for their cytotoxic effect against brine shrimps (Artemia salina), presenting IC50 values of 83–262 μM, considerably higher than the positive control podophyllotoxin (IC50 = 5.8 μM). Moreover, the presence of the aromatic fluorine enhances the overall activity when compared with the similar non-fluorinated compounds [108]. In another study, the same compounds 157 and 158 were tested for their antiparasitic activity against promastigotes of Leishmania mexicana (Bel 21) and epimastigotes of Trypanosoma cruzi (DM28). The IC50 values found were 6–53 μM for L. mexicana and 4–174 μM for T. cruzi, higher than the positive control miltefosine (IC50 values of 4.7 μM for L. mexicana and 2.3 μM for T. cruzi). The most promising compound against both strains was derivative 157 (R1 = H, R2 = 2,4-(NO2)2), non-substituted on the chromone unit and bearing a 2,4-dinitrophenyl moiety linked to the hydrazone [109].
Scheme 54.
Reaction of 6-substituted 3-formylchromones 156 with aromatic primary hydrazines in refluxing THF [108,109]. Abbreviation: THF, tetrahydrofuran.
A wide range of 1-[4-(4-halophenyl)thiazol-2-yl]-4-(2-hydroxybenzoyl)pyrazoles have been achieved through the reaction of polysubstituted 3-formylchromones with 1-[4-(4-halophenyl)thiazol-2-yl]hydrazines in the presence of potassium hydroxide in refluxing ethanol [23,110].
Gosh and coworkers described the 1,4-addition of phenylhydrazine to the α,β-unsaturated carbonyl functionality of 3-bromoacetyl-2-methylchromone 159 with concomitant opening of the pyran ring and formation of intermediate 160 giving rise to the fused pyrazole 162 via 161 (Scheme 55) [111]. In turn, the reaction of 3-cyanochromones 130 with equimolar amounts of phenylhydrazine is solvent-dependent [94]. Thus, in refluxing benzene in the presence of triethylamine, 2-aminochromone N-phenylhydrazones 163 were obtained as single products while in refluxing ethanol was isolated a mixture of N-phenylhydrazones 163 and 5-amino-4-(2-hydroxyaroyl)-1-phenylpyrazoles 164, mixture that can be treated with sulfuric acid in ethanol to give solely 5-amino-4-(2-hydroxyaroyl)-1-phenylpyrazoles. In refluxing acetic acid, parent 3-cyanochromone gave the corresponding 1-phenylchromeno[4,3-c]pyrazol-4(1H)-one 165 in 55% yield (Scheme 56) [94].
Scheme 55.
Synthesis of a fused pyrazole 162 by 1,4-addition of phenylhydrazine to 3-bromoacetyl-2-methylchromone 159 [111].
Scheme 56.
Reaction of 3-cyanochromones 130 with phenylhydrazine, in different reaction conditions [94].
Treating (E)-3-halo-2-styrylchromones 166 with an excess of hydrazine hydrate in refluxing methanol prompted hydrazonepyrazoles 167, which in acidic conditions suffer hydrazone moiety cleavage to give the respective pyrazoles 169 (Scheme 57) [112]. The most plausible mechanism presented by the authors involves 1,6-conjugate addition of hydrazine to the C-β of chromone 166 with subsequent ring-opening, intramolecular 1,4-conjugate addition to form the intermediate pyrazolines, dehalogenation and finally a 1,5-proton shift process to afford pyrazoles 169. A similar strategy was applied to the parent (E)-3-bromo-2-styrylchromones 166 (R1 = H) with phenylhydrazine in refluxing methanol. Moreover, the presence of a small amount of acetone in the solvents led the isolation of azines 168, formed from the reaction of hydrazine moiety of 167 (R2 = H) with the acetone carbonyl group. Cleavage of the hydrazine moiety of compounds 168 also occurs in acidic medium to provide the respective pyrazoles 169 (Scheme 57) [112].
Scheme 57.
Reaction of (E)-3-halo-2-styrylchromones 166 with hydrazine hydrate and phenylhydrazine in refluxing methanol [112].
Cyclocondensation reaction of 3-[(5-methyl-1,3,4-thiadiazol-2-yl)sulfanyl]chromones 170 with 3(5)-aminopyrazoles in the presence of sodium methoxide in refluxing methanol gave the corresponding 2-{6-[(5-methyl-1,3,4-thiadiazol-2-yl)sulfanyl]pyrazolo[1,5-a]pyrimidin-7-yl}phenols 171 in high yields (Scheme 58) [113]. The mechanism proposed involves chromone ring-opening in the presence of base, attack of the amino group of the pyrazoloamine to the C-β carbon (relatively to C=O) and finally, condensation of the pyrazole ring with the carbonyl carbon.
Scheme 58.
Mechanism of the reaction of 3-[(5-methyl-1,3,4-thiadiazol-2-yl)sulfanyl]chromones 170 with 3(5)-aminopyrazoles in the presence of sodium methoxide in refluxing methanol [113].
Various 5-(2-hydroxyaroyl)-1-methyl/phenyl-3-substituted-1H-pyrazolo[3,4-b]pyridines 174 arose from the one-pot reaction of 3-formylchromones 172 with equimolar amounts of 5-amino-1-methyl/phenyl-3-substituted-1H-pyrazoles in the presence of a catalytic amount of p-toluenesulfonic acid in refluxing ethanol (Scheme 59) [114,115,116]. In fact, Lácová and coworkers also isolated enamine-intermediates 2-alkoxy-6-substituted-3-(3-methyl-1-phenylpyrazol-5-ylaminomethylene)chromanones 173, when the reaction was performed at low temperature, which helps to explain the formation of the final products [115,116]. This synthesis under microwave irradiation proceeded significantly faster (6–25 min, 800 W) than in classical conditions (2–4 h) and produced clean products in high yields (about 90%). However, the isolation of intermediates 173 was not possible in these conditions [115]. Five pyrazolo[3,4-b]pyridines 174 were assessed for their anti-inflammatory activity against tumor necrosis factor-alpha (TNF-α) and interleukin-6 (IL-6). The results showed a 34–60% inhibition at 10 μM concentration against IL-6 (94% of inhibition for the positive control dexamethasone at 1 μM concentration) while none of the compounds showed significant TNF-α inhibitory activity [114].
Scheme 59.
Synthesis of 5-(2-hydroxyaroyl)-1-methyl/phenyl-3-substituted-1H-pyrazolo[3,4-b]pyridines 174 through the reaction of 3-formylchromones 172 with equimolar amounts of 5-amino-1-methyl/phenyl-3-substituted-1H-pyrazoles in the presence of a catalytic amount of p-toluenesulfonic acid [114,115,116].
On the other hand, the reaction of 3-formyl-6-methylchromone 175 with an equimolar amount of 3(5)-amino-5(3)-(4-methylphenyl)-1H-pyrazole in the presence of a catalytic amount of p-toluenesulfonic acid in refluxing ethanol provided the regioisomer 6-(2-hydroxy-5-methylbenzoyl)-2-(4-methylphenyl)pyrazolo[1,5-a]pyrimidine 176 in 69% yield (Scheme 60) [114]. These type of pyrazoles 176 were also obtained from the reaction of 3-formylchromones with equimolar amounts of 3(5)-amino-5(3)-substituted pyrazoles in ethanol at reflux [117] or under microwave irradiation [118] (Scheme 60). The mechanism proposed for the formation of regioisomers 178 and 179 involves the condensation between the amino group at the pyrazole unit and the aldehyde group at the chromone ring to give intermediates I (Scheme 61). Then, intermediate I can follow an intramolecular ring opening of the chromone ring though nucleophilic displacement by attack of the nucleophilic nitrogen at the pyrazole ring to compound 178. The alternative is by attack of the C-4 at the pyrazole instead of the nitrogen to give regioisomer 179 [117]. To note that Zimmerman and coworkers also studied the two-step one-pot tandem reaction of 3-formylchromones 175 with equimolar amounts of 3(5)-amino-5(3)-substituted pyrazoles, via microwave-assisted protocol, to give the corresponding pyrazolo-pyrimidines, which underwent intermolecular radical addition in the presence of alkyliodides and triethylborane providing the substituted pyrazolopyrimidines 177 (Scheme 60) [118].
Scheme 60.
Synthesis of 6-(2-hydroxyaroyl)pyrazolo[1,5-a]pyrimidines 176 and 177 through the reaction of 3-formylchromones 175 with 3(5)-aminopyrazoles in different reaction conditions [114,117,118].
Scheme 61.
Proposed mechanism for the synthesis of 6-(2-hydroxybenzoyl)pyrazolo[1,5-a]pyrimidines 178 or 5-(2-hydroxybenzoyl)-1H-pyrazolo[3,4-b]pyridines 179 [117].
A wide range of 6,7-diarylpyrazolo[1,5-a]pyrimidines 181 have been efficiently synthesized through the reaction of various 3-arylchromones 180 with 3(5)-aminopyrazoles in the presence of sodium methoxide in refluxing methanol [119,120] or ethanol [121] (Scheme 62). Under microwave irradiation, the reaction of 6,7-disubstituted chromones with 3-aminopyrazoles and sodium methoxide in dried DMSO gave a mixture of 5- and 7-(2-hydroxyaryl)pyrazolo[1,5-a]pyrimidines, being the 5-isomer the most abundant one [122]. Moreover, electron-donating groups in the chromone moiety provided better overall yields than those presenting electron-withdrawing groups. The antifungal activity of both isomers were screened against five phytopathogenic fungi (Cytospora sp., Colletotrichum gloeosporioides, Botrytis cinerea, Alternaria solani and Fusarium solani). All compounds exhibited antifungal activities against these five fungi strains in different levels and two of them possess high antifungal abilities against Colletotrichum gloeosporioides with the IC50 values of 24.90 and 28.28 μg/mL, respectively (the positive control hymexazol present an IC50 value >100 μg/mL) [122].
Scheme 62.
Reaction of 3-arylchromones 180 with 3(5)-aminopyrazoles to afford 6,7-diarylpyrazolo[1,5-a]pyrimidines 181 [119,120,121].
The reaction of 2-(1,3-disubstituted pyrazolyl)chromones 182 with guanidine hydrochloride and thiourea in the presence of potassium hydroxide in ethanol afforded 6-[2-imino-6-(1-methyl-3-propyl-1H-5-pyrazolyl)-1,2-dihydro-4-pyrimidinyl]phenols 183 (45–51%) and 4-(2-hydroxyphenyl)-6-(1-methyl-3-propyl-1H-5-pyrazolyl)-1,2-dihydro-2-pyrimidinethiones 184 (43–50%), respectively (Scheme 63) [8].
Scheme 63.
Transformation of 2-substituted chromone-pyrazole dyads 182 into the corresponding disubstituted 1,2-dihydro-2-iminopyrimidines 183 and 1,2-dihydro-2-pyrimidinethiones 184 [8].
6. Conclusions
In this review we have presented several strategies that have been developed, since the beginning of the 21st century, towards the synthesis of chromone related pyrazoles, namely chromone-pyrazole dyads, chromone-pyrazole-fused compounds and 3(5)-(2-hydroxyaryl)-pyrazoles, among other pyrazole derivatives. Thus, several chromone-pyrazole dyads have been synthesized, by cyclization of 1,3-dicarbonyl compounds, such as 1,3-diketones, and oxidative cyclization of 2′-hydroxychalcone-type compounds both bearing a pyrazole moiety. Other methods to prepare these dyads include cycloaddition reactions and Knoevenagel-type condensations. Only a few examples of chromone-pyrazole-fused compounds were found. The most straightforward methods to synthesize these compounds include, tandem O-arylation-oxidative coupling reactions, cycloaddition reactions and multicomponent reactions. The limited number of examples found suggests that the synthesis of this type of compounds deserves greater attention from synthetic chemists. A huge number of 3(5)-(2-hydroxyaryl)pyrazoles have been synthesized through the reaction of several chromone derivatives with hydrazines in varied experimental conditions. Also a wide variety of 3-formylchromones were found to react with aminopyrazoles giving pyrazole-pyridines and pyrazole-pyrimidines containing a 2-hydroxyaroyl moiety in their structures. The transformations presented in this review led to a huge variety of compounds possessing both nitrogen and oxygen heterocycles. The comprehensive details of these transformations and several mechanistic considerations were also presented.
Acknowledgments
Thanks are due to University of Aveiro and FCT/MEC for the financial support of the QOPNA research unit (FCT UID/QUI/00062/2013) and CIQ-UP, University of Porto (POCI-01-0145-FEDER-006980; FCT: UID/QUI/00081/2013) through national founds and, where applicable, co-financed by the FEDER, within the PT2020 Partnership Agreement, as well as to the Polytechnic Institute of Bragança. V.L.M.S. is grateful to FCT for her grant (SFRH/BPD/108807/2015), in the ambit of “QREN e POCH e Tipologia 4.1 e Formação Avançada”, co-sponsored by FSE and by national funds of MCTES.
Conflicts of Interest
The authors declare no conflict of interest.
References
- Gaspar, A.; Matos, M.J.; Garrido, J.; Uriarte, E.; Borges, F. Chromone: A valid scaffold in medicinal chemistry. Chem. Rev. 2014, 114, 4960–4992. [Google Scholar] [CrossRef] [PubMed]
- Keri, R.S.; Budagumpi, S.; Pai, R.K.; Balakrishna, R.G. Chromones as a privileged scaffold in drug discovery: A review. Eur. J. Med. Chem. 2014, 78, 340–374. [Google Scholar] [CrossRef] [PubMed]
- Singh, M.; Kaur, M.; Silakari, O. Flavones: An important scaffold for medicinal chemistry. Eur. J. Med. Chem. 2014, 84, 206–239. [Google Scholar] [CrossRef] [PubMed]
- Edwards, A.M.; Howell, J.B.L. The chromones: History, chemistry and clinical development. A tribute to the work of Dr R.E.C. Altounyan. Clin. Exp. Allergy 2000, 30, 756–774. [Google Scholar] [CrossRef] [PubMed]
- Matos, M.J.; Vazquez-Rodriguez, S.; Uriarte, E.; Santana, L.; Borges, F. Synthesis and pharmacological activities of non-flavonoid chromones: A patent review (from 2005 to 2015). Expert Opin Ther Pat. 2015, 25, 1285–1304. [Google Scholar] [CrossRef] [PubMed]
- Abrigach, F.; Touzani, R. Pyrazole derivatives with NCN junction and their biological activity: A review. Med. Chem. 2016, 6, 292–298. [Google Scholar] [CrossRef]
- Alam, M.J.; Alam, S.; Alam, P.; Naim, M.J. A review on pyrazole chemical entity and biological activity. Int. J. Pharm. Sci. Res. 2015, 6, 1433–1442. [Google Scholar]
- Joshi, N.S.; Karale, B.K.; Bhirud, S.B.; Gill, C.H. Synthesis and characterization of new biologically active 2-(1,3-disubstituted pyrazolyl)chromones and corresponding pyrimidine, thiopyrimidine, pyrazolyl derivatives. J. Heterocycl. Chem. 2004, 41, 541–548. [Google Scholar] [CrossRef]
- Karale, B.K.; Akolkar, H.N.; Burungale, A.S.; Mhaske, S.D.; Endait, R.S. Synthesis, characterization and biological evaluation of some novel thiophene anchored fluorinated heterocycles. Orient. J. Chem. 2015, 31, 453–464. [Google Scholar] [CrossRef]
- Çam, S.; Bildirici, I.; Menges, N.; Tan, M.; Sener, A. An entry into obtaining pyrazole-, chromone-, or oxadiazole-substituted 1H-pyrazoles via 2,3-furandiones. J. Heterocycl. Chem. 2013, 50, E211–E216. [Google Scholar] [CrossRef]
- Kale, S.B.; Dalvi, N.R.; More, M.S.; Shingare, M.S.; Karale, B.K. Synthesis of some pyrazolyl chromones. Indian J. Heterocycl. Chem. 2006, 15, 371–374. [Google Scholar]
- Joshi, N.S.; Shaikh, A.A.; Deshpande, A.P.; Karale, B.K.; Bhirud, S.B.; Gill, C.H. Synthesis, characterization antimicrobial activities of some fluorine containing 2-(1-phenyl-3-aryl-1H-pyrazol-4-yl)-3-chlorochromones, 2-(1-phenyl-3-aryl-1H-pyrazol-4-yl)chromones and 5-(1-phenyl-3-aryl-1H-pyrazol-4-yl)-3-(2-hydroxyphenyl)-4,5-dihydropyrazolines. Indian J. Chem. 2005, 44B, 422–425. [Google Scholar]
- Halnor, V.B.; Joshi, N.S.; Karale, B.K.; Gill, C.H. Synthesis, characterization of some 1-(2-hydroxy-phenyl)-3-(1-phenyl-3-thiophen-2-yl-1H-pyrazol-4-yl)-propenone, 3-chloro-2-(1-phenyl-3-thiophen-2-yl-1H-pyrazol-4-yl)-chromon-4-one and 2-(1′-phenyl-3′-thiophen-2-yl-3,4-dihydro-2H,1H′-[3,4]bipyrazol-5-yl)-phenol. Heterocycl. Commun. 2005, 11, 167–172. [Google Scholar]
- Karale, B.K.; Chaudhari, C.S.; Jadhav, R.K.; Akolkar, H.N. Synthesis and biological screening of new pyrazolyl chromones. Indian J. Heterocycl. Chem. 2011, 20, 381–384. [Google Scholar]
- Gaikar, R.B.; Gadhave, A.G.; Karale, B.K. Synthesis of fluorinated chromones. Indian J. Heterocycl. Chem. 2011, 20, 385–388. [Google Scholar]
- Akolkar, H.N.; Karale, B.K. Synthesis of some novel thiophene containing chromones and aurones. Indian J. Heterocycl. Chem. 2015, 24, 359–362. [Google Scholar]
- Gadhave, A.G.; Burungale, A.S.; Kuchekar, S.; Karale, B. Synthesis and antimicrobial screening of chromones, 3-chloro-chromones, benzothiazepines and pyrazolines. Indian J. Heterocycl. Chem. 2012, 22, 191–196. [Google Scholar]
- Narwade, S.K.; Kale, S.B.; Karale, B.K. Synthesis, and antimicrobial activities of some fluorinated substituted pyrazoles. Indian J. Heterocycl. Chem. 2007, 16, 275–278. [Google Scholar]
- Shelke, S.N.; Dalvi, N.R.; Gill, C.H.; Karale, B.K. Synthesis of various heterocycles from 3-(naphthylene-3-yl)-1H-pyrazol-4-carbaldehyde. Asian J. Chem. 2007, 19, 5068–5074. [Google Scholar]
- Badadhe, P.V.; Chavhan, N.M.; Nagargoje, D.R.; Gill, C.H. Synthesis and antimicrobial evaluation of some pyridine incorporated chromones and pyrazoles. Indian J. Heterocycl. Chem. 2009, 19, 175–178. [Google Scholar]
- Chavhan, N.M.; Badadhe, P.V.; Joshi, R.S.; Mandhane, P.G.; Gill, C.H. Synthesis and biological evaluation of some heterocycles from 1-phenyl-3-(pyridine-3-yl)-1H-pyrazole-4-carbaldehyde. Asian J. Chem. 2010, 22, 4255–4260. [Google Scholar]
- Jagadhani, S.G.; Shelke, S.N.; Karale, B.K. Synthesis and antimicrobial screening of some chromones and thiazepines by conventional and microwave irradiation. Heterocycl. Commun. 2009, 15, 159–166. [Google Scholar] [CrossRef]
- Karale, B.K.; Takate, S.J.; Salve, S.P.; Zaware, B.H.; Jadhav, S.S. Synthesis and antibacterial screening of novel fluorine containing heterocycles. Orient. J. Chem. 2015, 31, 307–315. [Google Scholar] [CrossRef]
- Jadhav, R.K.; Nikumbh, A.B.; Karale, B.K. Synthesis and screening of fluoro substituted pyrazolyl benzoxazoles. Orient. J. Chem. 2015, 31, 967–972. [Google Scholar] [CrossRef]
- Karale, B.K.; Nirmal, P.R.; Akolkar, H.N. Synthesis and biological screening of some novel fluorinated chromones and aurones. Indian J. Chem. 2015, 54B, 434–438. [Google Scholar]
- Prakash, O.; Kumar, R.; Parkash, V. Synthesis and antifungal activity of some new 3-hydroxy-2-(1-phenyl-3-aryl-4-pyrazolyl) chromones. Eur. J. Med. Chem. 2008, 43, 435–440. [Google Scholar] [CrossRef] [PubMed]
- Prakash, O.; Kumar, R. Synthesis and antibacterial activity of some new 2,3-dimethoxy-3-hydroxy-2-(1-phenyl-3-aryl-4-pyrazolyl)chromanones. Eur. J. Med. Chem. 2009, 44, 1763–1767. [Google Scholar] [CrossRef] [PubMed]
- Lévai, A.; Jekő, J. Synthesis of 3-aroyl-4-(3-chromonyl)-2-pyrazolines. J. Heterocycl. Chem. 2002, 39, 1333–1336. [Google Scholar] [CrossRef]
- Xie, Z.F.; Liu, F.M.; Mo, X.X.; Hui, Y.H.; Sun, Y.D. Synthesis of new 3a,6a-dihydro-4,6-dioxopyrrolo[3,4-d]pyrazole derivatives by 1,3-dipolar cycloaddition reaction. Chin. J. Org. Chem. 2005, 25, 696–699. [Google Scholar]
- Wang, W.; Deng, L.P.; Tang, S.L.; Qian, Q. Synthesis of pyrazole-linked norcantharidin analogues of substituted chromones. J. Heterocycl. Chem. 2016, 53, 1631–1634. [Google Scholar] [CrossRef]
- Soengas, R.G.; Silva, V.L.M.; Ide, D.; Kato, A.; Cardoso, S.M.; Paz, F.A.A.; Silva, A.M.S. Synthesis of 3-(2-nitrovinyl)-4H-chromones: Useful scaffolds for the construction of biologically relevant 3-(pyrazol-5-yl)chromones. Tetrahedron 2016, 72, 3198–3203. [Google Scholar] [CrossRef]
- Budzisz, E.; Paneth, P.; Geromino, I.; Muzioł, T.; Rozalski, M.; Krajewska, U.; Pipiak, P.; Ponczek, M.B.; Małecka, M.; Kupcewicz, B. The cytotoxic effect of spiroflavanone derivatives, their binding ability to human serum albumin (HSA) and a DFT study on the mechanism of their synthesis. J. Mol. Struct. 2017, 1137, 267–276. [Google Scholar] [CrossRef]
- Lévai, A.; Simon, A.; Jenei, A.; Kálmán, G.; Jekő, J.; Tóth, G. Synthesis of spiro-1-pyrazolines by the reaction of exocyclic α,β,γ,δ-unsaturated ketones with diazomethane. Arkivoc 2009, xii, 161–172. [Google Scholar] [CrossRef]
- Hatzade, K.; Taile, V.; Gaidhane, P.; Ingle, V. Synthesis, structural determination, and biological activity of new 7-hydroxy-3-pyrazolyl-4H-chromen-4-ones and their O-beta-d-glucosides. Turk. J. Chem. 2010, 34, 241–254. [Google Scholar] [CrossRef]
- Sheikh, J.; Hatzade, K.; Bader, A.; Shaheen, U.; Sander, T.; Ben Hadda, T. Computational evaluation and experimental verification of antibacterial and antioxidant activity of 7-hydroxy-3-pyrazolyl-4H-chromen-4-ones and their O-glucosides: Identification of pharmacophore sites. Med. Chem. Res. 2014, 23, 243–251. [Google Scholar] [CrossRef]
- Hatzade, K.M.; Taile, V.S.; Gaidhane, P.K.; Haldar, A.G.M.; Ingle, V.N. Synthesis and biological activities of new hydroxy-3-pyrazolyl-4H-chromen-4-ones and their O-glucosides. Indian J. Chem. B 2008, 47, 1260–1270. [Google Scholar] [CrossRef]
- Siddiqui, Z.N.; Praveen, S.; Musthafa, T.N.M.; Ahmad, A.; Khan, A.U. Thermal solvent-free synthesis of chromonyl chalcones, pyrazolines and their in vitro antibacterial, antifungal activities. J. Enzym. Inhib. Med. Chem. 2012, 27, 84–91. [Google Scholar] [CrossRef] [PubMed]
- Karale, B.K.; Chavan, V.P.; Mane, A.S.; Hangarge, R.V.; Gill, C.H.; Shingare, M.S. Microwave induced synthesis of 3-methyl-4-[(chromon-3-yl)methylene]-1-phenyl pyrazolin-5-(4H)-ones with alumina support and in solvent free conditions. Synth. Commun. 2002, 32, 497–503. [Google Scholar] [CrossRef]
- Madje, B.R.; Shindalkar, S.S.; Ware, M.N.; Shingare, M.S. An efficient condensation of 4-oxo-4H-benzopyran-3-carbaldehydes with 3-methyl-1-phenyl-1H-pyrazol-5(4H)-one. Arkivoc 2005, xiv, 82–86. [Google Scholar] [CrossRef]
- Shelke, S.N.; Dalvi, N.R.; Kale, S.B.; More, M.S.; Gill, C.H.; Karale, B.K. Environmentally benign synthesis of fluorinated pyrazolone derivatives and their antimicrobial activity. Indian. J. Chem. 2007, 46B, 1174–1178. [Google Scholar] [CrossRef]
- Jagadhani, S.G.; Kale, S.B.; Chaudhari, C.S.; Sangle, M.D.; Randhavane, P.V.; Karale, B.V. Knoevenagel reactions of 3-formyl chromones and 4-formyl pyrazoles with pyrazolone by conventional and non conventional methods. Indian J. Heterocycl. Chem. 2007, 16, 255–258. [Google Scholar]
- Dalvi, R.N.; Karale, B.K.; Gill, C.H. Ultrasound induced synthesis of 3-methyl-4-[(chromon-3-yl)methylene]-1-(4-nitrophenyl)pyrazolin-5-(4H)-ones and 3-methyl-4[(1,3-diphenyl-1H-pyrazol-4-yl)methylene]-1-(4-nitrophenyl)pyrazolin-5-(4H)-ones. Indian J. Heterocycl. Chem. 2005, 14, 263–264. [Google Scholar]
- Singh, P.; Kaur, M.; Holzer, W. Synthesis and evaluation of indole, pyrazole, chromone and pyrimidine based conjugates for tumor growth inhibitory activities—Development of highly efficacious cytotoxic agents. Eur. J. Med. Chem. 2010, 45, 4968–4982. [Google Scholar] [CrossRef] [PubMed]
- Amrinder Singh, S.; Kaur, M.; Sharma, S.; Bhatti, R.; Singh, P. Rational design, synthesis and evaluation of chromone-indole and chromone-pyrazole based conjugates: Identification of a lead for anti-inflammatory drug. Eur. J. Med. Chem. 2014, 77, 185–192. [Google Scholar] [CrossRef]
- Gadhave, A.; Kuchekar, S.; Karale, B. Ultrasonication-induced synthesis and antimicrobial evaluation of some multifluorinated pyrazolone derivatives. J. Chem. 2013, 2013. [Google Scholar] [CrossRef]
- Abdel-Rahman, A.H.; Hammouda, M.A.A.; El-Desoky, S.I. Synthesis of some new azole, azepine, pyridine, and pyrimidine derivatives using 6-hydroxy-4H-4-oxo[1]-benzopyran-3-carboxaldehyde as a versatile starting material. Heteroat. Chem. 2005, 16, 20–27. [Google Scholar] [CrossRef]
- Khodairy, A. Synthetic studies on the synthesis of some new fused heterocyclic compounds derived from 3,5-pyrazolidinedione. J. Chin. Chem. Soc. 2007, 54, 93–102. [Google Scholar] [CrossRef]
- Ali, T.E.; Abdel-Aziz, S.A.; El-Shaaer, H.M.; Hanafy, F.I.; El-Fauomy, A.Z. Synthesis of bioactive 4-oxo-4H-chromenes bearing heterocyclic systems from hydrazonecarbodithioic acid and thiocarbohydrazone. Phosphorus Sulfur Silicon Relat. Elem. 2008, 183, 2139–2160. [Google Scholar] [CrossRef]
- Mahajan, P.S.; Nikam, M.D.; Khedkar, V.M.; Jha, P.C.; Sarkar, D.; Gill, C.H. Synthesis, biological evaluation and molecular docking studies of N-acylheteroaryl hydrazone derivatives as antioxidant and anti-inflammatory agents. Res. Chem. Intermed. 2016, 42, 2707–2729. [Google Scholar] [CrossRef]
- Sosnovskikh, V.Y.; Sizov, A.Y.; Usachev, B.I.; Kodess, M.I.; Anufriev, V.A. Spiro [4H-chromene-4,5′-isoxazolines] and related compounds: Synthesis and reactivities. Russ. Chem. Bull. 2006, 55, 535–542. [Google Scholar] [CrossRef]
- Ibrahim, M.A.; El-Gohary, N.M.; Said, S. Synthesis of heteroannulated chromeno[2,3-b]pyridines: DBU catalyzed reactions of 2-amino-6-methylchromone-3-carboxaldehyde with some heterocyclic enols and enamines. J. Heterocycl. Chem. 2016, 53, 117–120. [Google Scholar] [CrossRef]
- Obulesu, O.; Babu, K.H.; Nanubolu, J.B.; Suresh, S. Copper-catalyzed tandem O-arylation-oxidative cross coupling: Synthesis of chromone fused pyrazoles. J. Org. Chem. 2017, 82, 2926–2934. [Google Scholar] [CrossRef] [PubMed]
- Terzidis, M.A.; Tsoleridis, C.A.; Stephanidou-Stephanatou, J. Synthesis of chromeno[2,3-b]carbazole and chromeno[3,2-f]indazole derivatives. A new class of indole- and pyrazole-fused polycyclic compounds using o-quinodimethane chemistry. A reactivity and regioselectivity computational study. Arkivoc 2008, xiv, 132–157. [Google Scholar] [CrossRef]
- Li, H.; Liu, C.J.; Zhang, Y.H.; Sun, Y.D.; Wang, B.; Liu, W.B. Green method for the synthesis of chromeno[2,3-c]pyrazol-4(1H)-ones through ionic liquid promoted directed annulation of 5-(aryloxy)-1H-pyrazole-4-carbaldehydes in aqueous media. Org. Lett. 2015, 17, 932–935. [Google Scholar] [CrossRef] [PubMed]
- Singh, J.B.; Mishra, K.; Gupta, T.; Singh, R.M. TBHP promoted cross-dehydrogenative coupling (CDC) reaction: Metal/additive-free synthesis of chromone-fused quinolones. ChemistrySelect 2017, 2, 1207–1210. [Google Scholar] [CrossRef]
- Dimitriadou, E.; Stephanidou-Stephanatou, J.; Tsoleridis, C.A.; Hadjipavlou-Litina, D.J.; Kontogiorgis, C.; Kostakis, G.E. Diastereoselective one-pot synthesis of novel ABCD-fused chromeno[2,3-d]pyrazolo[3,4-b]pyridines. Tetrahedron 2014, 70, 2938–2943. [Google Scholar] [CrossRef]
- Sosnovskikh, V.Y.; Kodess, M.I.; Moshkin, V.S. Structure and reactivity of 2-amino-3-carbamoylchromone. Russ. Chem. Bull. 2009, 58, 1253–1258. [Google Scholar] [CrossRef]
- Reddy, G.J.; Latha, D.; Sailaja, S.; Rao, K.S. Synthesis of 7-aryl/chromonyl substituted benzopyrano[4,3-d]pyrazolo[1,5-a]pyrimidines by reaction of 5(3)-aminopyrazoles. Heterocycl. Commun. 2003, 9, 615–619. [Google Scholar] [CrossRef]
- Koenigs, E.; Freund, J. Über die einwirkung von hydrazinen auf 4-chlor-chinaldin. Chem. Ber. 1947, 80, 143–149. [Google Scholar] [CrossRef]
- Baker, W.; Harbone, J.B.; Ollis, W.D. Some properties of 4-thionflavone and its methiodide, and of 4-thionchromones. J. Chem. Soc. 1952, 1303–1309. [Google Scholar] [CrossRef]
- Schönberg, A.; Sidky, M.M. Furochromones and -Coumarins. VIII. Action of hydrazine hydrate and hydroxylamine on Khellin, Khellol and Visnagin. J. Am. Chem. Soc. 1953, 75, 5128–5130. [Google Scholar] [CrossRef]
- Sosnovskikh, V.Y.; Barabanov, M.A.; Sizov, A.Y. 2-Polyfluoroalkylchromones. 11. Synthesis and structures of 5-hydroxy-3-(2-hydroxyaryl)-5-polyfluoroalkyl-∆2-pyrazolines and 3(5)-(2-hydroxyaryl)-5(3)-polyfluoroalkylpyrazoles. Russ. Chem. Bull. 2002, 51, 1280–1291. [Google Scholar] [CrossRef]
- Safrygin, A.V.; Irgashev, R.A.; Barabanov, M.A.; Sosnovskikh, V.Y. Synthesis of a new class of carbinol linked bis-heterocycles via the reaction of 2-(trifluoroacetyl)chromones with indoles and pyrroles. Tetrahedron 2016, 72, 227–233. [Google Scholar] [CrossRef]
- Kale, S.B.; Karale, B.K. Synthesis and characterization of some important indazolyl derivatives. J. Heterocycl. Chem. 2007, 44, 289–301. [Google Scholar] [CrossRef]
- Chate, A.V.; Nikam, M.D.; Mahajan, P.S.; Mohekar, S.R.; Gill, C.H. Synthesis and antimicrobial screening of novel 2-(5-(4-(allyloxy)-3-methoxyphenyl)-1H-pyrazol-3-yl)phenols analogues of 2-(4-(allyloxy)-3-methoxyphenyl)-4H-chromen-4-ones. Org. Commun. 2012, 5, 83–98. [Google Scholar]
- Gadhave, A.; Gaikar, R.; Kuchekar, S.; Karale, B. Synthesis and antimicrobial evaluations of some novel fluorinated chromones and pyrazoles. Indian J. Chem. 2015, 54B, 383–390. [Google Scholar]
- Chavhan, N.M.; Badadhe, P.V.; Bhagat, S.S.; Joshi, R.S.; Mandhane, P.G.; Gill, C.H. Synthesis of some biologically important pyrazoles and pyrazoline derivatives. J. Indian Chem. Soc. 2011, 88, 457–460. [Google Scholar]
- Pawar, S.B.; Dalvi, N.R.; Karale, B.K.; Gill, C.H. Synthesis of some 4-(2-hydroxy phenyl)-6-(1,3-diphenyl-1H-pyrazol-4-yl)pyrimidine-2(1H)-thiones and 2(5-(1,3-diphenyl-1H-pyrazol-4-yl)-1H-pyrazol-3-yl) phenols. Indian J. Heterocycl. Chem. 2005, 15, 197–198. [Google Scholar]
- More, M.S.; Shingare, M.S.; Kale, S.B.; Dalvi, N.R.; Karale, B.K. Synthesis and characterization of some 2-(1-phenyl-3-(thiophen-2-yl)-1H-pyrazol-4-yl)4H-chromon-4-ones, 4-(2-hydroxyphenyl)-6-(1-phenyl-3-(thiophen-2-yl)-1H-pyrazol-4-yl)pyrimidine-2-(1H)-thione, 2-(5-(1-phenyl-3-(thiophen-2-yl)-1H-pyrazol-4-yl)-1H-pyrazol-3-yl)phenol and 2-(2,3-dihydro-2-(1phenyl-3-(thiophen-2-yl)-1H-pyrazol-4-yl)-benzo[b][1,4]thiazepin-4-yl)-phenol. Indian J. Chem. 2007, 46B, 360–365. [Google Scholar]
- Akolkar, H.N.; Jadhav, R.K.; Karale, B.K.; Randhavane, P.V. Synthesis and antimicrobial evaluation of some new theopiiene anchored chromones, aurones and pyrazoles. Indian J. Heterocycl. Chem. 2016, 25, 193–199. [Google Scholar]
- Karale, B.K.; Takate, S.J.; Salve, S.P.; Zaware, B.H.; Jadhav, S.S. Synthesis and biological screening of some novel thiazolyl chromones and pyrazoles. Indian J. Chem. 2015, 54B, 798–804. [Google Scholar]
- Badadhe, P.V.; Patil, L.R.; Bhagat, S.S.; Chate, A.V.; Shinde, D.W.; Nikam, M.D.; Gill, C.H. Synthesis and antimicrobial screening of some novel chromones and pyrazoles with incorporated isoxazole moieties. J. Heterocycl. Chem. 2013, 50, 999–1004. [Google Scholar] [CrossRef]
- Ferreira, J.P.A.; Silva, V.L.M.; Elguero, J.; Silva, A.M.S. Synthesis of new pyrazole-1,2,3-triazole dyads. Tetrahedron Lett. 2013, 54, 5391–5394. [Google Scholar] [CrossRef]
- Safrygin, A.V.; Vetyugova, D.A.; Sosnovskikh, V.Y. Novel method for the synthesis of 3-[(3-arylpyrazol-5-yl)methylidene]-quinoxalin-2-ones on the basis of 2-methylchromones. Chem. Heterocycl. Compd. 2016, 52, 1035–1041. [Google Scholar] [CrossRef]
- Ibrahim, M.A.; Abdel-Hamed, M.A.M.; El-Gohary, N.M. A new approach for the synthesis of bioactive heteroaryl thiazolidine-2,4-diones. J. Braz. Chem. Soc. 2011, 22, 1130–1139. [Google Scholar] [CrossRef]
- Pinto, D.C.G.A.; Silva, A.M.S.; Cavaleiro, J.A.S.; Elguero, J. New bis(chalcones) and their transformation into bis(pyrazoline) and bis(pyrazole) derivatives. Eur. J. Org. Chem. 2003, 747–755. [Google Scholar] [CrossRef]
- Bondarenko, S.P.; Frasinyuk, M.S.; Vinogradova, V.I.; Khilya, V.P. Synthesis of 4-aryl-3-[2-hydroxy-4-(2-cytisin-12-ylethoxy)phenyl]pyrazoles. Chem. Nat. Compd. 2014, 50, 889–891. [Google Scholar] [CrossRef]
- Shokol, T.V.; Gorbulenko, N.V.; Frasinyuk, M.S.; Khilya, V.P. Synthesis of 6-(3-pyrazolyl)-4-methylumbelliferone derivatives substituted on the pyrazole ring. Chem. Nat. Compd. 2015, 51, 630–633. [Google Scholar] [CrossRef]
- Lévai, A.; Silva, A.M.S.; Cavaleiro, J.A.S.; Alkorta, I.; Elguero, J.; Jekő, J. Synthesis of pyrazoles by treatment of 3-benzylchromones, 3-benzylflavones and their 4-thio analogues with hydrazine. Eur. J. Org. Chem. 2006, 2006, 2825–2832. [Google Scholar] [CrossRef]
- Lévai, A.; Silva, A.M.S.; Cavaleiro, J.A.S.; Elguero, J.; Alkorta, I.; Jekő, J. Synthesis of 4-aryl-3(5)-(2-hydroxyphenyl)pyrazoles by reaction of isoflavones and their 4-thio analogues with hydrazine derivatives. Aust. J. Chem. 2007, 60, 905–914. [Google Scholar] [CrossRef]
- Usachev, B.I.; Shafeev, M.A.; Sosnovskikh, V.Y. Synthesis and reactivity of 2-polyfluoroalkylchromene-4(4H)-thiones. Russ. Chem. Bull. 2004, 53, 2285–2292. [Google Scholar] [CrossRef]
- Ali, T.E.; Abdel-Aziz, S.A.; El-Edfawy, S.M.; Mohamed, E.A.; Abdel-Kariem, S.M. Cleavage of diethyl chromonyl α-aminophosponate with nitrogen and carbon nucleophiles: A synthetic approach and biological evaluations of a series of novel azoles, azines, and azepines containing α-aminophosphonate and phosphonate groups. Synth. Commun. 2014, 44, 3610–3629. [Google Scholar] [CrossRef]
- Silva, V.L.M.; Silva, A.M.S.; Pinto, D.C.G.A.; Cavaleiro, J.A.S.; Elguero, J. Novel (E)- and (Z)-3(5)-(2-hydroxyphenyl)-4-styrylpyrazoles from (E)- and (Z)-3-styrylchromones: The unexpected case of (E)-3(5)-(2-hydroxyphenyl)-4-(4-nitrostyryl)pyrazoles. Tetrahedron Lett. 2007, 48, 3859–3862. [Google Scholar] [CrossRef]
- Silva, V.L.M.; Silva, A.M.S.; Pinto, D.C.G.A.; Cavaleiro, J.A.S.; Elguero, J. Synthesis of (E)- and (Z)-3(5)-(2-hydroxyphenyl)-4-styrylpyrazoles. Monatsh. Chem. 2009, 140, 87–95. [Google Scholar] [CrossRef]
- Gabbutt, C.D.; Hargrove, T.F.L.; Heron, B.M.; Jones, D.; Poyner, C.; Yildiz, E.; Horton, P.N.; Hursthouse, M.B. Oxidation and ring cleavage reactions of 3-benzhydrylchromones. Generation of triarylmethine cations from methylidenechroman-4-ones and benzopyrano[4,3-c]pyrazoles. Tetrahedron 2006, 62, 10945–10953. [Google Scholar] [CrossRef]
- Sosnovskikh, V.Y.; Irgashev, R.A.; Levchenko, A.A. Uncatalyzed addition of indoles and N-methylpyrrole to 3-formylchromones: Synthesis and some reactions of (chromon-3-yl)bis(indol-3-yl)methanes and E-2-hydroxy-3-(1-methylpyrrol-2-ylmethylene)chroman-4-ones. Tetrahedron 2008, 64, 6607–6614. [Google Scholar] [CrossRef]
- Abass, M.; Abdel-Megid, M.; Hassan, M. Substituted quinolinones, part 12: Heterocyclization reactions of 3-(3-chromonyl)acryloylquinolinone with some bifunctional nucleophiles. Synth. Commun. 2007, 37, 329–352. [Google Scholar] [CrossRef]
- Lévai, A.; Silva, A.M.S.; Pinto, D.C.G.A.; Cavaleiro, J.A.S.; Alkorta, I.; Elguero, J.; Jekő, J. Synthesis of pyrazolyl-2-pyrazolines by treatment of 3-(3-aryl-3-oxopropenyl)chromen-4-ones with hydrazine and their oxidation to bis(pyrazoles). Eur. J. Org. Chem. 2004, 2004, 4672–4679. [Google Scholar] [CrossRef]
- Lévai, A. Synthesis of 2-pyrazolines by the reactions of α,β-unsaturated aldehydes, ketones, and esters with diazoalkanes, nitrile imines, and hydrazines. J. Heterocycl. Chem. 2002, 39, 1–13. [Google Scholar] [CrossRef]
- Shokol, T.V.; Lozinskii, O.A.; Tkachuk, T.M.; Khilya, V. 7-Hydroxy-3-phenoxy-8-formylchromones, analogs of natural flavonoids. Chem. Nat. Compd. 2009, 45, 350–355. [Google Scholar] [CrossRef]
- Pinto, D.C.G.A.; Silva, A.M.S.; Almeida, L.M.P.M.; Cavaleiro, J.A.S.; Elguero, J. 3-Aroyl-5-hydroxyflavones: Synthesis and transformation into aroylpyrazoles. Eur. J. Org. Chem. 2002, 2002, 3807–3815. [Google Scholar] [CrossRef]
- Sosnovskikh, V.Y.; Irgashev, R.A.; Moshkin, V.S.; Kodess, M.I. Reaction of 3-(polyfluoroacyl)chromones with hydrazines: New regioselective synthesis of RF-containing pyrazoles. Russ. Chem. Bull. 2008, 57, 2146–2155. [Google Scholar] [CrossRef]
- Pinto, D.C.G.A.; Silva, A.M.S.; Cavaleiro, J.A.S. Synthesis of 3-(2-benzyloxy-6-hydroxyphenyl)-1-methylpyrazoles by the reaction of chromones with methylhydrazine. J. Heterocycl. Chem. 2000, 37, 1629–1634. [Google Scholar] [CrossRef]
- Sosnovskikh, V.Y.; Moshkin, V.S.; Kodess, M.I. On the reaction of 3-cyanochromones with phenyl- and methylhydrazines: Structural revision and a simple synthesis of chromeno[4,3-c]pyrazol-4-ones. J. Heterocycl. Chem. 2010, 47, 629–633. [Google Scholar] [CrossRef]
- Budzisz, E.; Malecka, M.; Nawrot, B. Synthesis and structure of highly substituted pyrazole ligands and their complexes with platinum(II) and palladium(II) metal ions. Tetrahedron 2004, 60, 1749–1759. [Google Scholar] [CrossRef]
- Małecka, M.; Massa, W.; Harms, K.; Budzisz, E. Molecular structure of 4-methoxy-2,3-dimethyl-2,4-dihydro[1,2]benzoxaphosphinino-[4,3-c]pyrazole-4-oxide and its carboxylic analogues. J. Mol. Struct. 2005, 737, 259–265. [Google Scholar] [CrossRef]
- Hassaine, R.; Talhi, O.; Taibi, N.; Paz, F.A.A.; Bensaid, O.; Bachari, K.; Silva, A.M.S. Actions of bisnucleophiles on (E)-3-[3-(2-hydroxyaryl)-3-oxoprop-1-en-1-yl]chromones: Versatile transformations into oxygen- and nitrogen-containing heterocycles. Synlett 2016, 27, 465–470. [Google Scholar] [CrossRef]
- Maurya, M.R.; Parhate, V.V.; Rajput, P.R. Synthesis and antibacterial activity of some new chlorosubstituted pyrazoles. Asian J. Chem. 2003, 15, 1843–1844. [Google Scholar]
- Mahale, J.D.; Manoja, S.C.; Belsare, N.G.; Rajput, P.R. Synthesis and study of chlorosubstituted 4-aroyl and 4-alkoyl-pyrazolines, pyrazoles and their effect on some flowering plants. Indian J. Chem. 2010, 49B, 505–511. [Google Scholar] [CrossRef]
- Santos, C.M.M.; Silva, A.M.S.; Jekő, J.; Lévai, A. Synthesis and structure elucidation of novel pyrazolyl-2-pyrazolines obtained by the reaction of 3-(3-aryl-3-oxopropenyl)chromen-4-ones with phenylhydrazine. Arkivoc 2012, v, 265–281. [Google Scholar] [CrossRef]
- Jamode, V.S.; Kale, A.S. Synthesis and characterization of 1-isonicotinoyl/1-carboxamido/1-thiocarboxamido-3-(2-hydroxy-5-chlorophenyl)-4-aroyl-3-methyl pyrazoles. Asian J. Chem. 2006, 18, 3197–3200. [Google Scholar]
- Chate, A.V.; Joshi, R.S.; Mandhane, P.G.; Mohekar, S.R.; Gill, C.H. Synthesis and antimicrobial evaluation of new 5-(2-hydroxyphenyl)-3-(4-(phenylthio)phenyl)-1H-pyrazole-2(5H)-carbothioamide analogues of 2-(4-(phenylthio)phenyl)-4H-chromen-4-one. Phosphorus Sulfur Silicon Relat. Elem. 2012, 187, 327–335. [Google Scholar] [CrossRef]
- Plaskon, A.S.; Grygorenko, O.O.; Ryabukhin, S.V. Recyclizations of 3-formylchromones with binucleophiles. Tetrahedron 2012, 68, 2743–2757. [Google Scholar] [CrossRef]
- Ghosh, C.K.; Patra, A. Chemistry and application of 4-oxo-4H-1-benzopyran-3-carboxaldehyde. J. Heterocycl. Chem. 2008, 45, 1529–1547. [Google Scholar] [CrossRef]
- Ulven, T.; Receveur, J.-M.; Grimstrup, M.; Rist, O.; Frimurer, T.M.; Gerlach, L.-O.; Mathiesen, J.M.; Kostenis, E.; Uller, L.; Hoegberg, T. Novel selective orally active CRTH2 antagonists for allergic inflammation developed from in silico derived hits. J. Med. Chem. 2006, 49, 6638–6641. [Google Scholar] [CrossRef] [PubMed]
- Kornev, M.Y.; Moshkin, V.S.; Eltsov, O.S.; Sosnovskikh, V.Y. Reactions of chromone-3-carboxylic acid and chromone-3-carboxamides with cyanoacetic acid hydrazide. Mendeleev Commun. 2015, 26, 72–74. [Google Scholar] [CrossRef]
- Gadakh, A.V.; Rindhe, S.S.; Pandit, C.; Karale, B.K. Synthesis and antimicrobial activity of novel fluorine containing 4-(substituted-2-hydroxybenzoyl)-1H-pyrazoles and pyrazolyl benzo[d]oxazoles. Bioorg. Med. Chem. Lett. 2010, 20, 5572–5576. [Google Scholar] [CrossRef] [PubMed]
- Galarraga, E.; Urdaneta, N.; Gutierrez, K.J.; Herrera, J.C. In vitro cytotoxicity of hydrazones, pyrazoles, pyrazolo-pyrimidines, and pyrazolo-pyridine synthesized from 6-substituted 3-formylchromones. Z. Naturforsch. 2015, 70, 305–310. [Google Scholar] [CrossRef]
- Figarella, K.; Marsiccobetre, S.; Galindo-Castro, I.; Urdaneta, N.; Herrera, J.C.; Canudas, N.; Galarraga, E. Antileishmanial and antitrypanosomal activity of synthesized hydrazones, pyrazoles, pyrazolo[1,5-a]-pyrimidines and pyrazolo[3,4-b]-pyridine. Curr. Bioact. Compd. 2017, 13. [Google Scholar] [CrossRef]
- Akolkar, H.N.; Karale, B.K. Synthesis and characterization of novel thiazole anchored pyrazolyl benzoxazoles. Orient. J. Chem. 2015, 31, 431–433. [Google Scholar] [CrossRef]
- Ghosh, C.K.; Ghosh, C.; Karak, S.K.; Chakravarty, A.K. Benzopyrans. Part 45(1). Reactions of monobrominated 3-acetyl-2-methyl-1-benzopyran-4-one with some binucleophiles. J. Chem. Res. 2004, 2004, 84–86. [Google Scholar] [CrossRef]
- Ferreira, J.P.A.; Silva, V.L.M.; Elguero, J.; Silva, A.M.S. (E)-3-Halo-2-styryl-4H-chromen-4-ones: Synthesis and transformation to novel pyrazoles. Tetrahedron 2013, 69, 9701–9709. [Google Scholar] [CrossRef]
- Li, G.; Zhang, Z.T.; Dai, L.Y.; Du, Y.L.; Xue, D. Synthesis of novel disubstituted pyrazolo[1,5-a]pyrimidines, imidazo[1,2-a]pyrimidines, and pyrimido[1,2-a]benzimidazoles containing thioether and aryl moieties. Helv. Chim. Acta 2012, 95, 989–997. [Google Scholar] [CrossRef]
- Bharate, S.B.; Mahajan, T.R.; Gole, Y.R.; Nambiar, M.; Matan, T.T.; Kulkarni-Almeida, A.; Balachandran, S.; Junjappa, H.; Balakrishnan, A.; Vishwakarma, R.A. Synthesis and evaluation of pyrazolo[3,4-b]pyridines and its structural analogues as TNF-α and IL-6 inhibitors. Bioorg. Med. Chem. 2008, 16, 7167–7176. [Google Scholar] [CrossRef] [PubMed]
- Lácová, M.; Puchała, A.; Solčanyov, E.; Lac, J.; Koiš, P.; Chovancová, J.; Rasala, D. 3-Formylchromones IV. The rearrangement of 3-formylchromone enamines as a simple, facile route to novel pyrazolo[3,4-b]pyridines and the synthetic utility of the latter. Molecules 2005, 10, 809–821. [Google Scholar] [CrossRef]
- Stankovičová, H.; Gáplovský, A.; Lácová, M.; Chovancová, J.; Puchała, A. Transformation of 4-oxo-4H-[1]-benzopyran-3-carboxaldehydes into pyrazolo[3,4-b]pyridines. J. Heterocycl. Chem. 2006, 43, 843–848. [Google Scholar] [CrossRef]
- Quiroga, J.; Mejía, D.; Insuasty, B.; Abonía, R.; Nogueras, M.; Sánchez, A.; Cobo, J.; Low, J.N. Synthesis of 6-(2-hydroxybenzoyl)pyrazolo[1,5-a]pyrimidines by reaction of 5-amino-1H-pyrazoles and 3-formylchromone. J. Heterocycl. Chem., 2002, 39, 51–54. [Google Scholar] [CrossRef]
- Zimmerman, J.R.; Myers, B.J.; Bouhall, S.; McCarthy, A.; Johntony, O.; Manpadi, M. A two-step, single pot procedure for the synthesis of substituted dihydropyrazolo-pyrimidines. Tetrahedron Lett. 2014, 55, 936–940. [Google Scholar] [CrossRef]
- Zhang, Z.-T.; Ma, Y.-Q.; Liang, Y.; Xue, D.; He, Q. An efficient one-pot synthesis of diarylpyrazolo[1,5-a]pyrimidine from isoflavones. J. Heterocycl. Chem. 2011, 48, 279–285. [Google Scholar] [CrossRef]
- Ma, Y.-Q.; Zhang, Z.-T.; He, Q.; Xue, D.; Zhang, P.-F. Simple and efficient method for synthesis of 3-cyano-6,7-diarylpyrazolo[1,5-a]pyrimidine from isoflavones. Synth. Commun. 2012, 42, 933–941. [Google Scholar] [CrossRef]
- Yang, J.; Zhang, Z.; He, Q. Facile synthesis of diarylpyrazolo[1,5-a]pyrimidine from isoflavones. J. Heterocycl. Chem. 2014, 51, 24–29. [Google Scholar] [CrossRef]
- Zhang, J.; Peng, J.F.; Wang, T.; Wang, P.; Zhang, Z.T. Synthesis, crystal structure, characterization and antifungal activity of pyrazolo[1,5-a]pyrimidines derivatives. J. Mol. Struct. 2016, 1120, 228–233. [Google Scholar] [CrossRef]
© 2017 by the authors. Licensee MDPI, Basel, Switzerland. This article is an open access article distributed under the terms and conditions of the Creative Commons Attribution (CC BY) license (http://creativecommons.org/licenses/by/4.0/).































































