Recent Advances in Volatiles of Teas
Abstract
:1. Introduction
2. Aromatic Volatile Compounds in Various Kinds of Teas
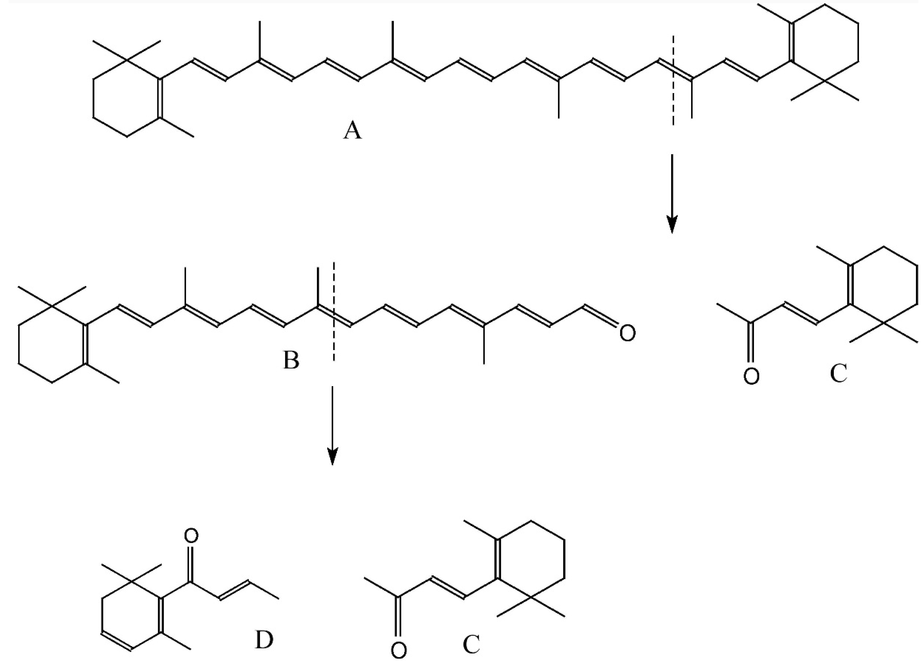
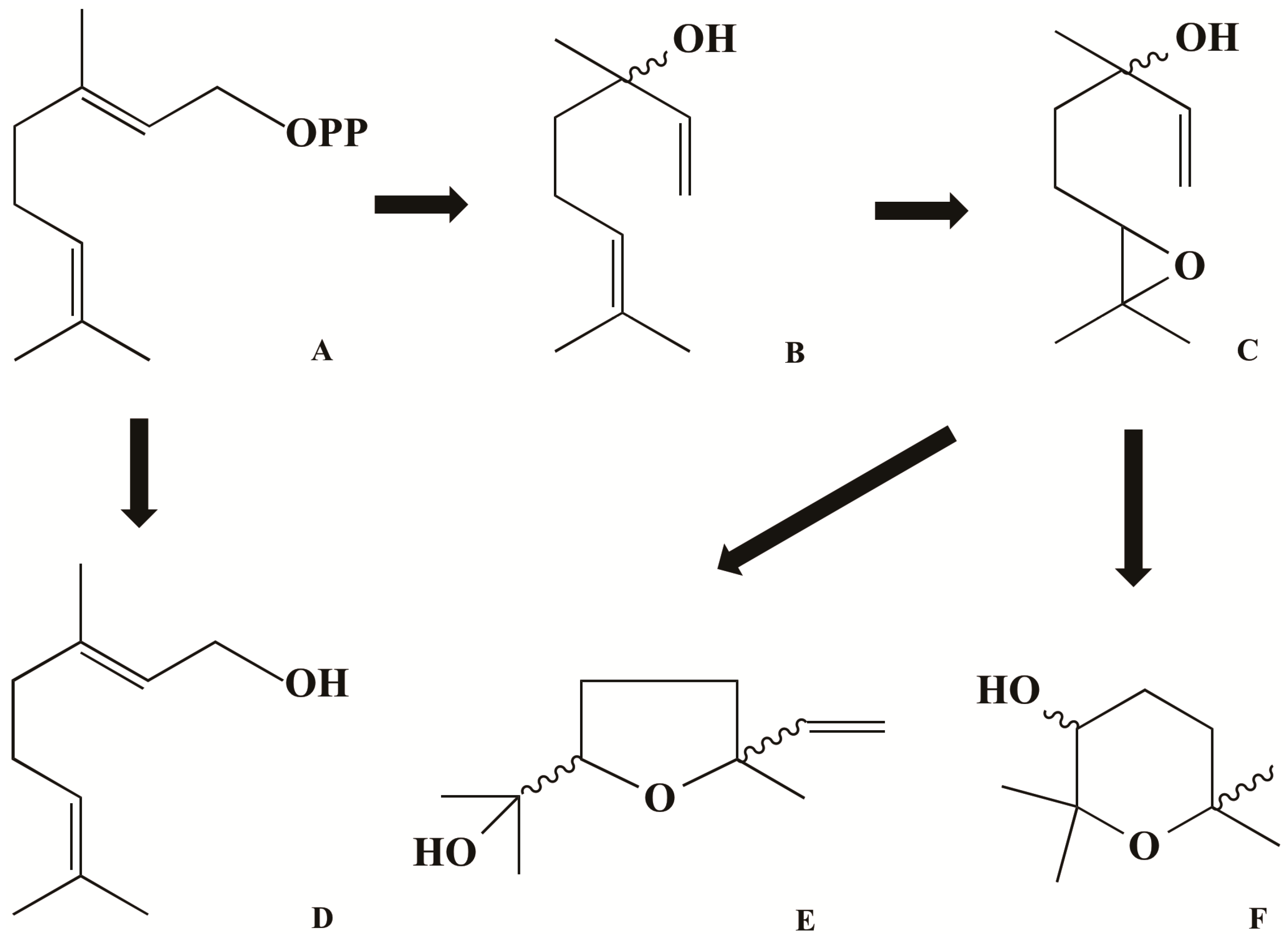
2.1. Formation of Tea Aromatic Volatiles
2.2. Variation of Aromatic Volatiles between Various Kinds of Tea
3. Variation of Aromatic Volatiles between Tea Cultivars
4. Effect of Environmental Conditions and Agronomic Practices on Aromatic Volatiles of Tea
5. Effect of Processing Methods on Aromatic Volatiles of Tea
6. Effect of Storage on Aromatic Volatiles of Tea
7. Determination of Tea Volatiles
8. Effect of Aromatic Volatiles on the Sensory Quality of Tea
9. Conclusions
Acknowledgments
Author Contributions
Conflicts of Interest
References
- Schuh, C.; Schieberle, P. Characterization of the key aroma compounds in beverage prepared from Darjeeling black tea: Quantitative differences between tea leaves and infusion. J. Agric. Food Chem. 2006, 54, 916–924. [Google Scholar] [CrossRef] [PubMed]
- Sanderson, G.W.; Co, H.; Gonzalez, J.G. Biochemistry of tea fermentation: The role of carotenes in black tea aroma formation. J. Food Sci. 1971, 36, 231–236. [Google Scholar] [CrossRef]
- Uenojo, M.; Pastore, G.M. beta-Carotene biotransformation to obtain aroma compounds. Cienc. Tecnol. Aliment. 2010, 30, 822–827. [Google Scholar] [CrossRef]
- Ravichandran, R. Carotenoid composition, distribution and degradation to flavor volatiles during black tea manufacture and the effect of carotenoid supplementation on tea quality and aroma. Food Chem. 2002, 78, 23–28. [Google Scholar] [CrossRef]
- Bhuyan, L.P.; Mahanta, P.K. Studies on fatty acid composition in tea Camellia sinensis. J. Sci. Food Agric. 1989, 46, 325–330. [Google Scholar] [CrossRef]
- Ravichandran, R.; Parthiban, R. Lipid occurrence, distribution and degradation to flavour volatiles during tea processing. Food Chem. 2000, 78, 7–13. [Google Scholar] [CrossRef]
- Kobayashi, A.; Kawamura, M.; Yamamoto, Y.; Shimizu, K.; Kubota, K.; Yamanishi, T. Methyl epijasmonate in the essential oil of tea. Agric. Biol. Chem. 1988, 52, 2299–2303. [Google Scholar] [CrossRef]
- Hatanaka, A.; Kajiwara, T.; Sekiya, J. Alcohol dehydrogenanes from Thea sinensis seeds. Agric. Biol. Chem. 1974, 38, 1835–1844. [Google Scholar] [CrossRef]
- Li, N.; Yang, Y.; Ye, J.; Lu, J.; Zheng, X.; Liang, Y. Effects of sunlight on gene expression and chemical composition of light-sensitive albino tea plant. Plant Growth Regul. 2016, 78, 253–262. [Google Scholar] [CrossRef]
- Gohain, B.; Borchetia, S.; Bhorali, P.; Agarwal, N.; Bhuyan, L.P.; Rahman, A.; Sakata, K.; Mizutani, M.; Shimizu, B.; Gurusubramaniam, G.; et al. Understanding Darjeeling tea flavour on a molecular basis. Plant Mol. Biol. 2012, 78, 577–597. [Google Scholar] [CrossRef] [PubMed]
- Lavy, M.; Zuker, A.; Lewinsohn, E.; Larkov, O.; Ravid, U.; Vainstein, A.; Weiss, D. Linalool and linalool oxide production in transgenic carnation flowers expressing the Clarkia breweri linalool synthase gene. Mol. Breed. 2002, 9, 103–111. [Google Scholar] [CrossRef]
- Moon, J.H.; Watanabe, N.; Ijima, Y.; Yagi, A.; Sakata, K. Studies on aroma formation mechanism in oolong tea 6. Cis- and trans-linalool 3,7-oxides and methyl salicylate glycosides and (Z)-3-Hexenyl β-d-glucopyranoside as aroma precursors from tea leaves for oolong tea. Biosci. Biotechnol. Biochem. 1996, 60, 1815–1819. [Google Scholar]
- Yang, Z.; Sakaia, M.; Sayama, H.; Shimeno, T.; Yamaguchi, K.; Watanabe, N. Elucidation of the biochemical pathway of 2-phenylethanol from shikimic acid using isolated protoplasts of rose flowers. J. Plant Physiol. 2009, 166, 887–891. [Google Scholar] [CrossRef] [PubMed]
- Yano, M.; Joki, Y.; Mutoh, H.; Kubota, K.; Kobayashi, A. Benzyl glucoside from tea leaves. Agric. Biol. Chem. 1991, 55, 1205–1206. [Google Scholar] [CrossRef]
- Jiang, L.; Kojima, H.; Yamada, K.; Kobayashi, A.; Kubota, K. Isolation of some glycosides as aroma precursors in young leaves of japanese pepper (Xanthoxylum piperitum DC.). J. Agric. Food Chem. 2001, 49, 5888–5894. [Google Scholar] [CrossRef] [PubMed]
- Wang, D.; Yoshimura, T.; Kubota, K.; Kobayashi, A. Analysis of glycosidically bound aroma precursors in tea leaves. 1. qualitative and quantitative analyses of glycosides with aglycons as aroma compounds. J. Agric. Food Chem. 2000, 48, 5411–5418. [Google Scholar] [CrossRef] [PubMed]
- Mizutani, M.; Nakanishi, H.; Ema, J.I.; Ma, S.J.; Noguchi, E.; Inohara-Ochiai, M.; Fukuchi-Mizutani, M.; Nakao, M.; Sakata, K. Cloning of β-primeverosidase from tea leaves, a key enzyme in tea aroma formation. Plant Physiol. 2002, 130, 2164–2176. [Google Scholar] [CrossRef] [PubMed]
- Wang, D.; Kurasawa, E.; Yamaguchi, Y.; Kubota, K.; Kobayashi, A. Analysis of glycosidically bound aroma precursors in tea leaves. 2. Changes in glycoside contents and glycosidase activities in tea leaves during the black tea manufacturing process. J. Agric. Food Chem. 2001, 49, 1900–1903. [Google Scholar] [CrossRef] [PubMed]
- Kinoshita, T.; Hirata, S.; Yang, Z.Y.; Baldermann, S.; Kitayama, E.; Matsumoto, S.; Suzuki, M.; Fleischmann, P.; Winterhalter, P.; Watanabe, N. Formation of damascenone derived from glycosidically bound precursors in green tea infusions. Food Chem. 2010, 123, 601–606. [Google Scholar] [CrossRef]
- Kawakami, M.; Yamanishi, T. Formation of aroma components in roasted or pan-fired green tea by roasting or pan-firing treatment. J. Jpn. Soc. Biosci. Biotechnol. Agrochem. 1999, 73, 893–906. [Google Scholar] [CrossRef]
- Choi, S.H. Effects on pyrazines, reaction products of Maillard reaction in flavor of green tea and substition tea. J. Kor. Tea Soc. 2010, 16, 1–7. [Google Scholar]
- Aglycone constituents in fresh tea leaves cultivated for green and black tea. Biosci. Biotechnol. Biochem. 1994, 58, 687–690.
- Mick, W.; Schreie, P. Additional volatiles of black tea aroma. J. Agric. Food Chem. 1984, 32, 924–929. [Google Scholar] [CrossRef]
- Sanderson, G.W.; Graham, H.N. On the formation of black tea aroma. J. Agric. Food Chem. 1973, 21, 576–585. [Google Scholar] [CrossRef]
- Selvendran, R.R.; Reynolds, J.; Galliard, T. Production of volatiles by degradation of lipids during manufacture of black tea. Phytochem 1978, 17, 233–236. [Google Scholar] [CrossRef]
- Sharma, P.; Ghosh, A.; Tudu, B.; Sabhapondit, S.; Baruah, B.D.; Tamuly, P.; Bhattacharyya, N.; Bandyopadhyay, R. Monitoring the fermentation process of black tea using QCM sensor based electronic nose. Sens. Actuators B Chem. 2015, 219, 146–157. [Google Scholar] [CrossRef]
- Wang, K.; Liu, F.; Liu, Z.; Huang, J.; Xu, Z.; Li, Y.; Chen, J.; Gong, Y.; Yang, X. Comparison of catechins and volatile compounds among different types of tea using high performance liquid chromatograph and gas chromatograph mass spectrometer. Int.J. Food Sci. Technol. 2011, 46, 1406–1412. [Google Scholar] [CrossRef]
- Hattori, S.; Takagaki, H.; Fujimori, T. A Comparison of the volatile compounds in several green teas. Food Sci. Technol. Res. 2005, 11, 82–86. [Google Scholar] [CrossRef]
- Kumazawa, K.; Masuda, H. Identification of potent odorants in Japanese green tea (Sen-cha). J. Agric. Food Chem. 1999, 47, 5169–5172. [Google Scholar] [CrossRef] [PubMed]
- Jumtee, K.; Komura, H.; Bamba, T.; Fukusaki, E. Predication of Japanese green tea (Sen-cha) ranking by volatile profiling using gas chromatography mass spectrometry and multivariate analysis. J. Biosci. Bioeng. 2011, 112, 252–255. [Google Scholar] [CrossRef] [PubMed]
- Lee, J.; Chambers, D.H.; Chambers, E., IV; Adhikari, K.; Yoon, Y. Volatile aroma compounds in various brewed green teas. Molecules 2013, 18, 10024–10041. [Google Scholar] [CrossRef] [PubMed]
- Baba, R.; Kumazawa, K. Characterization of the potent odorants contributing to the characteristic aroma of chinese green tea infusions by aroma extract dilution analysis. J. Agric. Food Chem. 2014, 62, 8308–8313. [Google Scholar] [CrossRef] [PubMed]
- Kumazawa, K.; Kubota, K.; Masuda, H. Influence of manufacturing conditions and crop season on the formation of 4-mercapto-4-methyl-2-pentanone in Japanese green tea (Sen-cha). J. Agric. Food Chem. 2005, 53, 5390–5396. [Google Scholar] [CrossRef] [PubMed]
- Cheng, Y.; Huynh-Ba, T.; Blank, I.; Robert, F. Temporal changes in aroma release of longjing tea infusion: interaction of volatile and nonvolatile tea components and formation of 2-butyl-2-octenal upon aging. J. Agric. Food Chem. 2008, 56, 2160–2169. [Google Scholar] [CrossRef] [PubMed]
- Takeo, T. Variations in the aroma compound content of seme-fermented and black tea. Nippon Nogeikagaku Kaishi 1983, 57, 457–459. (In Japanese) [Google Scholar] [CrossRef]
- Takami, C.; Shimotsukasa, A.; Kobayashi, A. Aroma components of Oolong tea. Nippon Nogeikagaku Kaishi 1990, 64, 1349–1354. (In Japanese) [Google Scholar] [CrossRef] [Green Version]
- Guo, W.; Hosoi, R.; Sakata, K.; Watanabe, N.; Yagi, A.; Ina, K.; Luo, S. (S)-Linalyl,2-phenylethyl, and benzyl disaccharide glycosides isolated as aroma precursors from oolong tea leaves. Biosci. Biotechnol. Biochem. 1994, 58, 1532–1534. [Google Scholar]
- Lv, S.; Wu, Y.; Zhou, J.; Lian, M.; Li, C.; Xu, Y.; Liu, S.; Wang, C.; Meng, Q. The study of fingerprint characteristics of Dayi pu-rh tea using a fully automatic HSSPME/GC-MS and combined chemometrics method. PLoS ONE 2014, 9, e116428. [Google Scholar] [CrossRef] [PubMed]
- Liang, Y.R.; Zhang, L.Y.; Lu, J.L. A study on chemical estimation of pu-erh tea quality. J. Sci. Food Agric. 2005, 85, 381–390. [Google Scholar] [CrossRef]
- Du, L.; Li, J.; Li, W.; Li, Y.; Li, T.; Xiao, D. Characterization of volatile compounds of pu-erh tea using solid-phase microextraction and simultaneous distillation–extraction coupled with gas chromatography-mass spectrometry. Food Res. Intl. 2014, 57, 61–70. [Google Scholar] [CrossRef]
- Liang, Y.R.; Pan, G.S.; Xu, X.Q. Effect of maofeng tea processing on leaf trichomes of tea (Camellia-sinensis L.). J. Sci. Food Agric. 1993, 62, 35–39. [Google Scholar]
- Kosuki, M.; Mori, Y.; Yamanishi, T.; Fuchinoe, H. Aroma characteristics of var. Sayamakaori, a newly registered variety of tea plant. Agric. Chem. 1978, 52, 259–262. (In Japanese) [Google Scholar]
- Sawai, Y.; Yamaguchi, Y.; Tanaka, J. Methyl anthranilate is the cause of cultivar-specific aroma in the Japanese tea cultivar “Sofu”. Jpn. Agric. Res. Q. 2004, 38, 271–274. (In Japanese) [Google Scholar] [CrossRef]
- Takeo, T.; Mahanta, P.K. Comparison of black tea aromas of orthodox and CTC tea and of black teas made from different varieties. J. Sci. Food Agric. 1983, 34, 307–310. [Google Scholar] [CrossRef]
- Owuor, P.O.; Obanda, M.; Nyirenda, H.E.; Mandala, W.L. Influence of region of production on clonal black tea chemical characteristics. Food Chem. 2008, 108, 263–271. [Google Scholar] [CrossRef]
- Okal, A.W.; Owuor, P.O.; Kamau, D.M.; Manguro, L.O.A. Variations of fatty acids levels in young shoots of clonal tea with location of production and nitrogenous fertilizer rates in the Kenya highlands. J. Agric. Sci. Technol. 2012, 14, 1543–1554. [Google Scholar]
- Takei, Y.; Ishikawa, Y.; Hirao, N.; Fuchinoue, H.; Yamanishi, T. The influence of amount of supplied fertilizer and vinyl-house cultivation on tea aroma. Agric. Chem. 1978, 52, 505–512. (In Japanese) [Google Scholar]
- Owuor, P.O.; Obanda, M. The changes in black tea quality due to variations of plucking standard and fermentation time. Food Chem. 1998, 61, 435–441. [Google Scholar]
- Owuor, P.O.; Obanda, M. The response of quality and yield of black tea of 2 camellia-sinensis varieties to methods and intervals of harvesting. J. Sci. Food Agric. 1993, 62, 337–343. [Google Scholar]
- Cai, X.M.; Sun, X.L.; Dong, W.X.; Wang, G.C.; Chen, Z.M. Herbivore species, infestation time, and herbivore density affect induced volatiles in tea plants. Chemoecology 2014, 24, 1–14. [Google Scholar] [CrossRef]
- Cho, J.Y.; Mizutani, M.; Shimizu, B.I.; Kinoshita, T.; Ogura, M.; Tokoro, K.; Lin, M.L.; Sakata, K. Chemical profiling and gene expression profiling during the manufacturing process of Taiwan oolong tea “oriental beauty”. Biosci. Biotechnol. Biochem. 2007, 71, 1476–1486. [Google Scholar] [CrossRef] [PubMed]
- Ravichandran, R.; Parthiban, R. The impact of processing techniques on tea volatiles. Food Chem. 1998, 62, 347–353. [Google Scholar] [CrossRef]
- Mahanta, R.K.; Baruah, S. Relationship between process of withering and aroma characteristics of black tea. J. Sci. Food Agric. 1989, 46, 461–468. [Google Scholar] [CrossRef]
- Takeo, T. Withering effect on the aroma formation during oolong tea manufacture. Agric. Biol. Chem. 1984, 48, 1083–1085. [Google Scholar] [CrossRef]
- Jang, J.; Yang, Y.C.; Zhang, G.H.; Chen, H.; Lu, J.L.; Du, Y.Y.; Ye, J.H.; Ye, Q.; Borthakur, D.; Zheng, X.Q.; Liang, Y.R. Effect of ultra-violet B on release of volatiles in tea leaf. Int. J. Food Prop. 2010, 13, 608–617. [Google Scholar] [CrossRef]
- Gui, J.; Fu, X.; Zhou, Y.; Katsuno, T.; Mei, X.; Deng, R.; Xu, X.; Zhang, L.; Dong, F.; Watanabe, N.; Yang, Z. Does enzymatic hydrolysis of glycosidically bound volatile compounds really contribute to the formation of volatile compounds during the oolong tea manufacturing process? J. Agric. Food Chem. 2015, 63, 6905–6914. [Google Scholar] [CrossRef] [PubMed]
- Springett, M.B.; Williams, B.M.; Barnes, R.J. The effect of packaging conditions and storage time on the volatile composition of Assam black tea leaf. Food Chem. 1994, 49, 393–398. [Google Scholar] [CrossRef]
- Kuo, P.C.; Lai, Y.Y.; Chen, Y.J.; Yang, W.H.; Tzen, J.T. Changes in volatile compounds upon aging and drying in oolong tea production. J. Sci. Food Agric. 2011, 91, 293–301. [Google Scholar] [CrossRef] [PubMed]
- Hara, T.; Kubota, E. Changes in aroma components of green tea after storage. Nippon Nogeikagaku Kaishi 1982, 56, 625–630. (In Japanese) [Google Scholar] [CrossRef]
- Katsuno, T.; Kasuga, H.; Kusano, Y.; Yaguchi, Y.; Tomomura, M.; Cui, J.; Yang, Z.; Baldermann, S.; Nakamura, Y.; Ohnishi, T.; Mase, N.; et al. Characterisation of odorant compounds and their biochemical formation in green tea with a low temperature storage process. Food Chem. 2014, 148, 388–395. [Google Scholar] [CrossRef] [PubMed]
- Yau, N.J.N.; Huang, Y.J. The effect of membrane-processed water on sensory properties of Oolong tea drinks. Food Qual. Pref. 2000, 11, 331–339. [Google Scholar] [CrossRef]
- Joshi, R.; Gulati, A. Fractionation and identification of minor and aroma-active constituents in Kangra orthodoxblack tea. Food Chem. 2015, 167, 290–298. [Google Scholar] [CrossRef] [PubMed]
- Ma, C.H.; Tan, C.; Li, W.L.; Chen, L.B.; Wang, Y.R.; Chen, X. Identification of the different aroma compounds between conventional and freeze dried Wuyi Rock Tea (Dangui) using headspace solid phase microextraction. Food Sci. Technol. Res. 2013, 19, 805–811. [Google Scholar] [CrossRef]
- Liang, Y.; Wu, Y.; Lu, J.; Zhang, L. Application of chemical composition and infusion colour difference analysis to quality estimation of jasmine-scented tea. Int. J. Food Sci. Technol. 2007, 42, 459–468. [Google Scholar] [CrossRef]
- Shimoda, M.; Shigematsu, H.; Shiratsuchi, H.; Osajima, Y. Comparison of the odor concentrates by SDE and adsorption column method from green tea infusion. J. Agric. Food Chem. 1995, 43, 1616–1620. [Google Scholar] [CrossRef]
- Luo, Z.M.; Ling, T.J.; Li, L.X.; Zhang, Z.Z.; Zhu, H.T.; Zhang, Y.J.; Wan, X.C. A new norisoprenoid and other compounds from Fuzhuan brick tea. Molecules 2012, 17, 3539–3546. [Google Scholar] [CrossRef] [PubMed]
- Chen, M.; Tang, D.; Zhang, Y.; Kang, S.; Shi, M.; Gong, S. Study on the tea quality evaluation using GC-MS coupling chemometrics. J. Zhejiang Univ. (Agric. Life Sci.) 2013, 39, 84–91. (In Chinese) [Google Scholar]
- Kovacs, Z.; Dalmadi, I.; Lukacs, L.; Sipos, L.; Szantai-Kohegyi, K.; Kokai, Z.; Fekete, A. Geographical origin identification of pure Sri Lanka tea infusions with electronic nose, electronic tongque and sensory profile analysis. J. Chemom. 2009, 24, 121–130. [Google Scholar] [CrossRef]
- Alasalvar, C.; Topal, B.; Serpen, A.; Bahar, B.; Pelvan, E.; Gokmen, V. Flavor characteristics of seven grades of black tea produced in Turkey. J. Agric. Food Chem. 2012, 60, 6323–6332. [Google Scholar] [CrossRef] [PubMed]


| No. | White Tea | Green Tea | Oolong Tea | Black Tea | Pu-erh Tea |
|---|---|---|---|---|---|
| 1 | Hexanal | (E)-Geraniol | (E)-Nerolidol | (E)-2-Hexenal | 1,2,3-Trimethoxybenzene |
| 2 | (E)-2-Hexenal | Linalool | Indole | Hexanal | Linalool oxide II (cis, Furanoid) |
| 3 | Linalool oxide II (cis, Furanoid) | (E)-Nerolidol | Linalool | (E)-Geraniol | Hexanal |
| 4 | Linalool | (Z)-Hexanoic acid 3-hexenyl ester | Benzeneacetaldehyde | Linalool | Linalool oxide I (trans, Furanoid) |
| 5 | (E)-Geraniol | Nonanal | Phytol | Linalool oxide II (cis, Furanoid) | Benzaldehyde |
| 6 | Phenylethyl alcohol | 3,7-Dimethyl-1,5,7-Octatrien-3-ol | α-Farnesene | Benzeneacetaldehyde | Benzeneacetaldehyde |
| 7 | Benzaldehyde | (E)-2-Hexenal | Linalool oxide I (trans, Furanoid) | Linalool oxide I (trans, Furanoid) | a-Terpineol |
| 8 | Linalool oxide I (trans, Furanoid) | Phytol | 3,7-Dimethyl-1,5,7-Octatrien-3-ol | 3,7-Dimethyl-1,5,7-Octatrien-3-ol | β-Ionone |
| 9 | Benzeneacetaldehyde | Heptanal | Benzyl nitrile | Benzaldehyde | Cedrol |
| 10 | (Z)-3-Hexen-1-ol | (Z)-Jasmone | Hexanal | Methyl salicylate | Linalool |
| Processing Stage 2 | A | B | C | |
|---|---|---|---|---|
| Trans-2-hexenal | Green tea | 52.619 ± 3.284 | 0.482 ± 0.139 | 0.205 ± 0.111 |
| Black tea | 52.619 ± 3.284 | 60.906 ± 4.969 | 14.261 ± 0.235 | |
| Geraniol | Green tea | 13.997 ± 2.845 | 0.982 ± 0.039 | 0.844 ± 0.05 |
| Black tea | 13.997 ± 2.845 | 14.885 ± 0.425 | 15.05 ± 0.297 | |
© 2016 by the authors. Licensee MDPI, Basel, Switzerland. This article is an open access article distributed under the terms and conditions of the Creative Commons by Attribution (CC-BY) license ( http://creativecommons.org/licenses/by/4.0/).
Share and Cite
Zheng, X.-Q.; Li, Q.-S.; Xiang, L.-P.; Liang, Y.-R. Recent Advances in Volatiles of Teas. Molecules 2016, 21, 338. https://doi.org/10.3390/molecules21030338
Zheng X-Q, Li Q-S, Xiang L-P, Liang Y-R. Recent Advances in Volatiles of Teas. Molecules. 2016; 21(3):338. https://doi.org/10.3390/molecules21030338
Chicago/Turabian StyleZheng, Xin-Qiang, Qing-Sheng Li, Li-Ping Xiang, and Yue-Rong Liang. 2016. "Recent Advances in Volatiles of Teas" Molecules 21, no. 3: 338. https://doi.org/10.3390/molecules21030338
APA StyleZheng, X.-Q., Li, Q.-S., Xiang, L.-P., & Liang, Y.-R. (2016). Recent Advances in Volatiles of Teas. Molecules, 21(3), 338. https://doi.org/10.3390/molecules21030338

