Abstract
The paper deals with the use of isotope effects on chemical shifts in characterizing intramolecular hydrogen bonds. Both so-called resonance-assisted (RAHB) and non-RAHB systems are treated. The importance of RAHB will be discussed. Another very important issue is the borderline between “static” and tautomeric systems. Isotope effects on chemical shifts are particularly useful in such studies. All kinds of intramolecular hydrogen bonded systems will be treated, typical hydrogen bond donors: OH, NH, SH and NH+, typical acceptors C=O, C=N, C=S C=N−. The paper will be deal with both secondary and primary isotope effects on chemical shifts. These two types of isotope effects monitor the same hydrogen bond, but from different angles.
1. Introduction
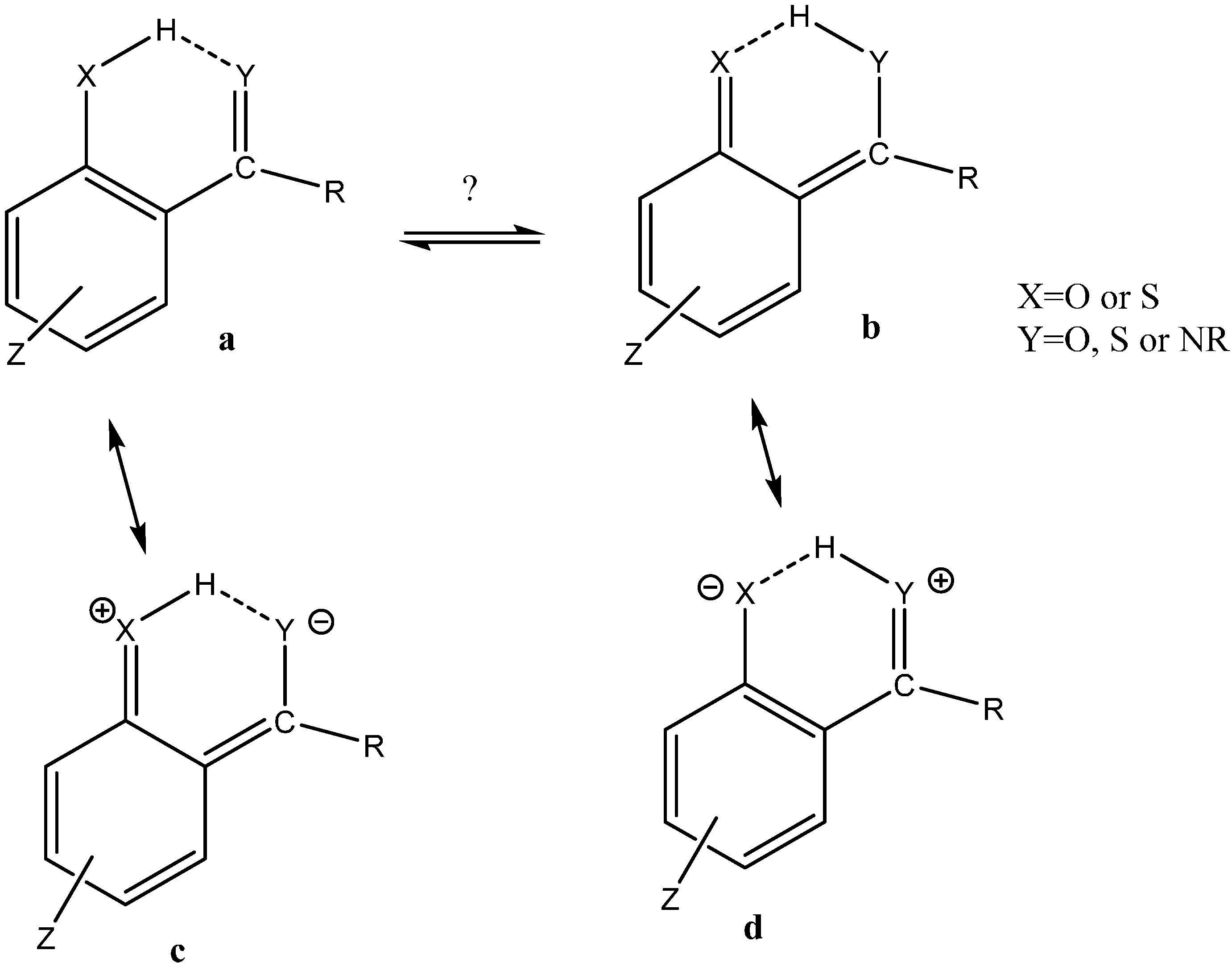
The term intramolecular means within a molecule but even within molecules the type of hydrogen bonds can be different. A very important distinction is between hydrogen bonds that have been termed RAHB and those not (see Figure 1). If not RAHB the intramolecular hydrogen bonds may be very similar to intermolecular hydrogen bonds (examples are hydrogen bonds typically found in proteins). Examples are given in Figure 2.
Figure 1.
Resonance and tautomerism.
Figure 1.
Resonance and tautomerism.

Figure 2.
Hydrogen bond motifs.
Figure 2.
Hydrogen bond motifs.

The use of isotope effects on chemical shifts (IECS) has been described in many reviews [1,2,3,4]. Both primary and secondary isotope effects on chemical shifts will be discussed. IECS are very useful in the study of hydrogen bonding as the effect is caused by variations in the zero point energy and therefore strongly related to the shape of the hydrogen bond potential as seen in Figure 3. This should ideally be a multi surface potential [5]. IECS are in the present paper defined as: nΔX(D) = δX(H) − δX(D) exemplified for deuterium isotope effects; n is the number of bonds between the deuterium and the nucleus in question. The definition for primary isotope effects is: PΔ(D) = δ(H) − δ(D) [6]. Unfortunately the opposite is also recommended [7]. The definition in Equation (1) is used in the present text and all numbers given are according to this definition. With respect to naming the isotope effects different nomenclatures are used. One way is to refer to the isotope effects as intrinsic. This goes back to Jameson [8]. For symmetrical equilibrium systems in which isotope substitution does not lift the redundancy may still be referred as intrinsic as deuteriation is not perturbing the equilibrium. For non-symmetrical systems an equilibrium part will also occur (see equilibrium isotope effects). As the intrinsic isotope effect is caused by a change in the average bond length upon deuteriation (Figure 3) the effect is also referred to as geometric [9]. The intrinsic isotope effects (see Definition) and the equilibrium contribution may be separated leading to a simple approach:
Figure 3.
Calculated hydrogen bond potential of the formamide dimer (MP2/6-311G(d,p).
Figure 3.
Calculated hydrogen bond potential of the formamide dimer (MP2/6-311G(d,p).

nΔX(D)int = (1 − χD) nΔX(D)OH + χD nX(D)NH
nΔX(D)eq = (δXNH − δXOH) Δχ
nΔX(D)OBS = nΔX(D)int + nΔX(D)eq
In Equations (1)–(3) χD is the mole fraction, Δχ, the change in the molefraction upon deuteriation, nΔX(D) is the isotope effect for nucleus X due to deuteriation n bonds away. Int, eq and OBS refer to intrinsic, equilibrium and observed.
The above description is based on the Born-Oppenheimer approximation as described by Jameson [8]. The observation of a change in the solid in the heavy atom distance upon deuteriation, the so-called Ubbelohde effect [10] indicates that deuteriation may influence the geometry. However, no Ubbelohde effects have been reported in intramolecular hydrogen bonded systems [1]. For intermolecular hydrogen bonded systems this is certainly the case [9], so for the intramolecular cases resembling intermolecular hydrogen bonding this should be taken into account.
The intramolecular cases can be formulated in a different way see Limbach et al. [11]. A thorough discussion of the difference between the two approaches is found in Ref. [12]. For intramolecularly hydrogen bonded cases involving 2,6-dihydroxy acyl aromatics also entropy has to be taken into account [13]. Another highly connected issue is tautomerism. However, this has been treated in some detail lately [3,4]. This review will concentrate on recent developments.
2. Results and Discussion
2.1. Isotope Effects of RAHB Cases
The term RAHB was first coined by Gilli et al. RAHB and they analyzed in great detail a very large number of examples mainly based on X-ray results [14,15]. The essence of the RAHB system is a donor, an acceptor and a bond with double bond character joining the two and of course the charge generation in the resonance form (see Figure 1d). The importance of the concept has since been disputed by Alkorta et al. [16,17,18].
2.1.1. Secundary Isotope Effects
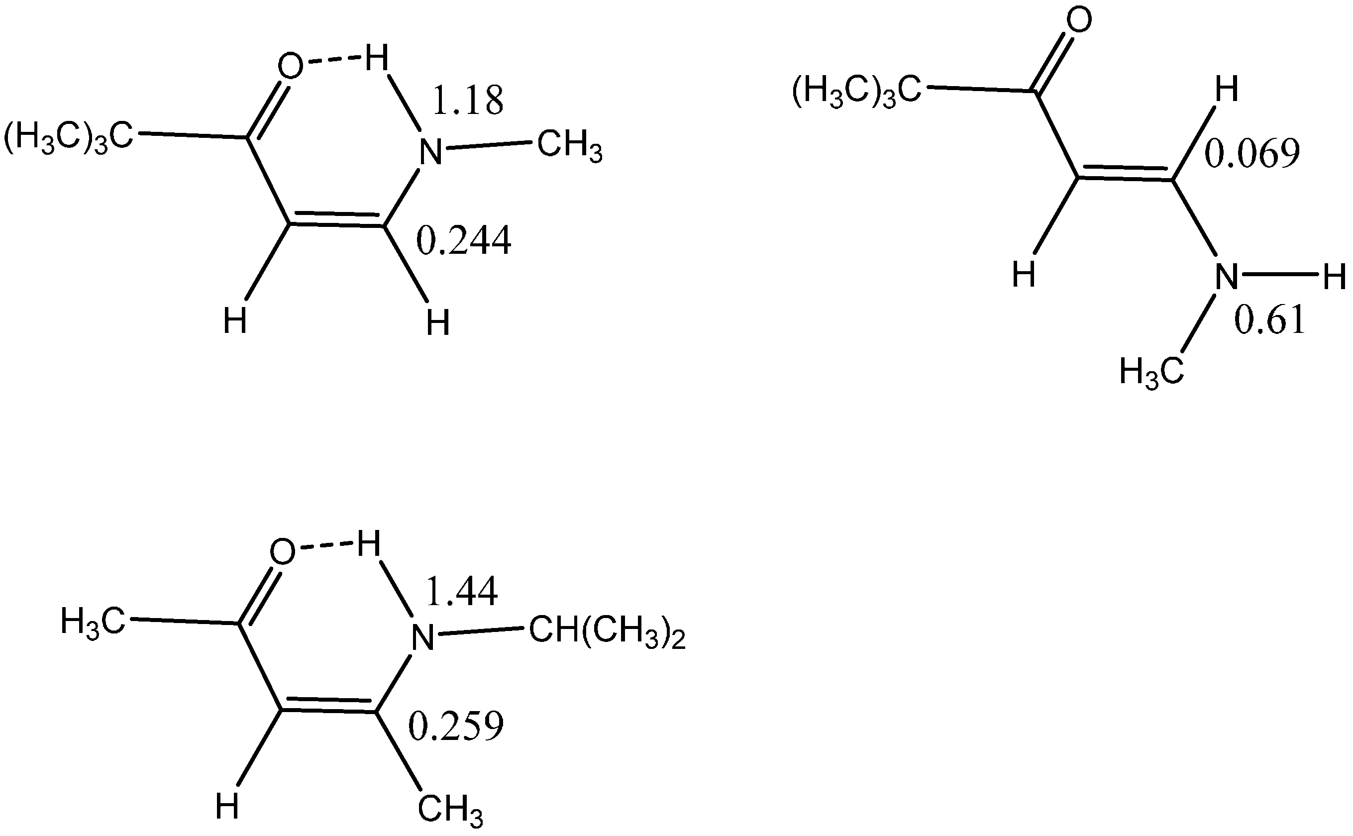
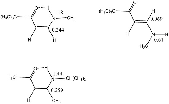
As shown early on in enaminones, deuterium isotope effects on chemical shifts, 13C or 15N can monitor intramolecular hydrogen bonding very well as shown in Figure 4. It is obvious that the IECS over one bond at 15N (1.18 or 1.44 vs. 0.61 ppm) or over two bonds at 13C (0.244 or 0.259 vs. 0.069 ppm) are much larger in the hydrogen bonded cases.
Figure 4.
Enaminones (isotope effects in ppm).
Figure 4.
Enaminones (isotope effects in ppm).

Principal component analysis of a number of o-hydroxy acyl nitro aromatics (Figure 1, Z=NO2) showed a relationship between two-bond isotope effects on 13C chemical shifts and the bond lengths around the hydrogen bond system in agreement with resonance assisted behavior [19]. The characteristics of a RAHB pattern is that the O…O, the O…H, the C-OH and the C-C=O distances become shorter with stronger hydrogen bonds, whereas the O-H, and C=O bond lengths become longer. Furthermore, the negative charge at the OH oxygen is supposed to go down whereas that at the C=O oxygen is supposed to increase. For o-hydroxyesters, covering a very wide range of compounds, we find exactly the same type of coefficient pattern analyzing the two-bond isotope effects vs. bond lengths [20].
A classic case is that of methyl 2,6-dihydroxybenzoate (Figure 5), which at low temperature shows two different OH chemical shifts (11.8 and 8.6 ppm) and two different two-bond deuterium isotope effects at C-2 and C-6 (0.18 and 0.12 ppm) indicating that the two hydrogen bonds are clearly different despite the fact that the O…O distances only differ by 0.02 Å. The one to C-2 is in a RAHB systems, whereas the one to C-6 is not. See also below for a discussion of the importance of the O…O distance.
Figure 5.
Isotope effects (in ppm) in methyl 2,6-dihydroxybenzoate. Data from Ref. [21].
Figure 5.
Isotope effects (in ppm) in methyl 2,6-dihydroxybenzoate. Data from Ref. [21].

Sanz et al. claim that RAHB is not important but only the oxygen-oxygen distance in the intramolecular hydrogen bond is of importance. They support their idea by calculating a number of intramolecular hydrogen bonds created artificially created by changing a double bond into a single bond and keeping the atoms in the plane [16]. An example is as seen in Figure 6. This of course is an energetically very costly manner, but by looking at electron densities at bond critical points etc. they claim to have strong hydrogen bonds. One point of criticism is that the methods they use are taken from intermolecular hydrogen bonds. Furthermore, nature is not creating such strong hydrogen bonds with single bonds joining the donor and the acceptor atoms.
Figure 6.
Example of a molecule transformed from salicylaldehyde but with a single bond between the acceptor and the donor.
Figure 6.
Example of a molecule transformed from salicylaldehyde but with a single bond between the acceptor and the donor.

In Table 1 are given a couple of data illustrating that the heavy atom distance is not the determining factor.
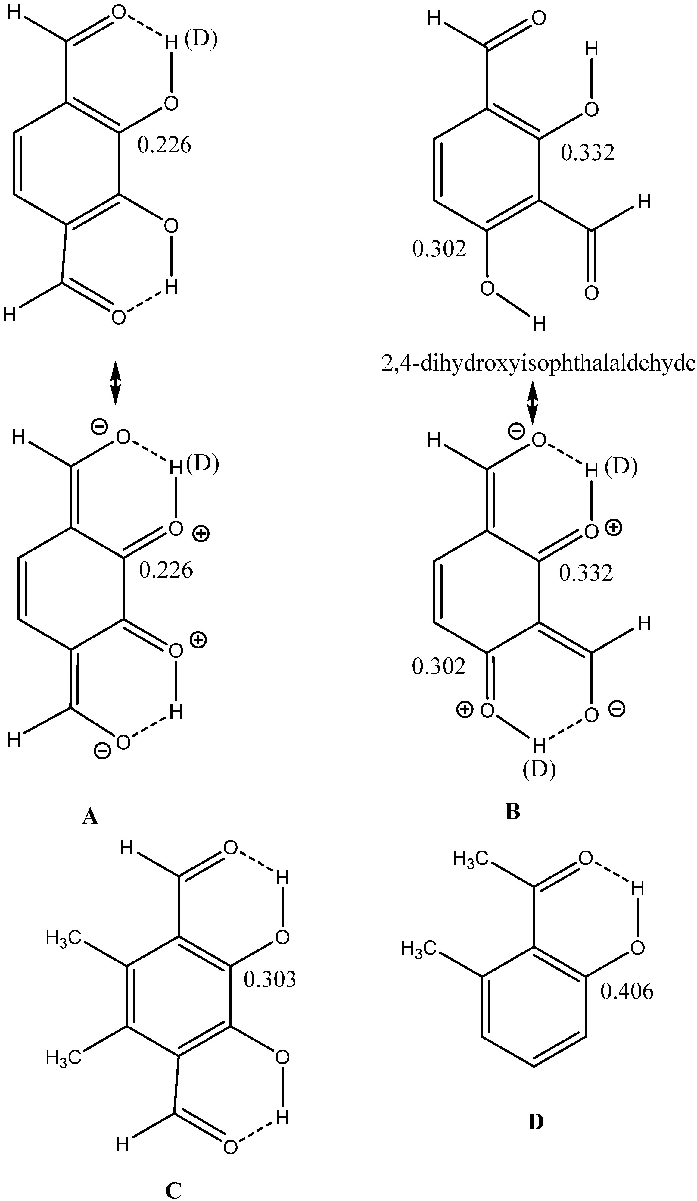
Another example of RAHB is the aldehydes shown in Figure 7. The two-bond isotope effects (shown in many cases to be good monitors of hydrogen bond strength [1,2,3,4,5]) are clearly different in the 2,3-dihydroxyterephthalaldehyde (2,3-dt) and in 2,4-dihydroxyisophthalaldehyde (2,4-di). In the former positive charge is repulsive in the charge separated form and the isotope effect is clearly smaller than in the latter. The distances around the hydrogen bond systems are given in Table 2.
Table 1.
Calculated heavy atom distances and two-bond deuterium isotope effects on 13C chemical shifts.
| Compound | RN…X in Å a | 2ΔC(ND) in ppm | Refs. |
|---|---|---|---|
| 2,4-dinitro-N,N-(naphthalene-1,8-diyl)bis(2,2,2-trifluoracetamide) See Figure 13 | 2.5968 | 0.32 | [22] |
| 1,4-diaminoanthraquinone | 2.5564 | 0.36 | [23] |
| 1,4-diphenylaminoanthraquinone | 2.5791 | 0.28 | [23] |
| (Z)-N-methyl-3-phenyl-1-amino-3-propa-1-enone | 2.6552 | 0.24 | [24] |
| (Z)-N-phethyl-3-phenyl-1-amino-3-propa-1-enone | 2.6556 | 0.302 | [24] |
a Calculated using the Gaussian program [25] in the B3LYP functional and the 6-31G(d,p) basis set.
Figure 7.
Aldehydes. Data for D taken from Ref. [26].
Figure 7.
Aldehydes. Data for D taken from Ref. [26].

Table 2.
Distances around the hydrogen bond in Å for dihydroxyterephthalaldehydes.
| Compound | C=O | C-C | C=C | C-O | O-H | O…O | 2ΔC(OD) a |
|---|---|---|---|---|---|---|---|
| 2,4-di (B) b | 1.2381 | 1.4455 | 1.4205 | 1.3333 | 0.9999 | 2.5980 | 0.302 |
| 2,4-di (B) | 1.2379 | 1.4528 | 1.4255 | 1.3290 | 1.0000 | 2.5878 | 0.332 |
| 2,3-dt (A) | 1.2319 | 1.4593 | 1.4184 | 1.3360 | 0.9909 | 2.6351 | 0.226 |
| 5,6-dimethyl-2,3-dt (C) | 1.2364 | 1.4621 | 1.4066 | 1.3330 | 0.9944 | 2.5727 | 0.303 |
a In ppm. b Letters refer to Table 2.
The reason for strong intramolecular hydrogen bonds lies in two factors, resonance assistance and in steric effects. The importance of resonance assistance is demonstrated above, steric effects are discussed below. Steric effects are important for IMHB as was seen in a number of o-hydroxyl acyl aromatics [27,28]. The effect of steric encumbrance can take two forms (i) the donor and the acceptor atoms stay in the plane of the double bond; (ii) one or both are twisted out of the double bond plane. An example of the former is shown in Figure 7C and of the latter in Figure 7D. The two-bond deuterium isotope effect in 7C has increased from 0.226 ppm as seen in Figure 7A to 0.303 ppm in the dimethyl derivative (7C) due to steric compression, so the O…O distance of course matters. This was also seen in a series of hydroxyl acyl benzenes [27]. The two types of steric effects can be distinguished as seen from Figure 8. Data for the twisted compounds fall high above the main correlation line [28].
Figure 8.
Plot of two-bond isotope effects vs. OH chemical shifts. Data taken from Refs. [26,27,28].
Figure 8.
Plot of two-bond isotope effects vs. OH chemical shifts. Data taken from Refs. [26,27,28].

An example of nitrogen being the acceptor is found in 10-hydroxybenzo[h]quinolines as seen in Figure 9. A series of compounds are investigated and a very good correlation is found between 2ΔC(OD) and δOH. However, the correlation is rather different from that of benzene derivatives due to the much stronger ring current effects of the 10-hydroxybenzo[h]quinolines compared to benzenes [29]. This influences the OH chemical shift, but not the isotope effects on chemical shifts, a good reason for using IECS rather that OH chemical shifts in estimating the strength of intramolecular hydrogen bonds.
As already mentioned do enaminocarbonyl compounds form intramolecular hydrogen bonds that can be monitored with IECS. Recently, enaminocarbonyl derivatives of Meldrum´s acid and tetronic acid have been investigated [30]. These compounds offer the possibility of comparing the NH…O=C-R system with that of the NH…O=C-OR system. Phenylenediamine derivatives of dehydroacetic acid [31] as well as salicyaldehyde-4-phenylthiosemicarbazone [32] and 5-acyl-3-methylrhodanines [33] are also investigated.
Figure 9.
Deuterium isotope effects on 13C chemical shifts in 10-hydroxybenzo[h]quinolone.
Figure 9.
Deuterium isotope effects on 13C chemical shifts in 10-hydroxybenzo[h]quinolone.

Systems with C=S groups of acceptors and OH groups as donors are found in o-hydroxythioacetophenones [34] and in hydroxyflavothiones [35]. Characteristics for these systems are larger two-bond deuterium isotope effects on 13C chemical shifts than in the corresponding ketones, large negative four-bond isotope effects on the C=S carbon and a presumably stronger hydrogen bond than in the corresponding ketone. In o-hydroxythioacetophenones isotope effects were also obtained in the solid state [34].
2.1.2. Primary Isotope Effects
As both primary deuterium isotope effects on 1H chemical shifts and OH chemical shifts represent the hydrogen bonded system it is interesting to plot those parameters against each other. From the plot of all primary deuterium isotope effects in “static” systems (Figure 10) it is seen that quite a spread exists. This is probably to some extent due to the variation of the OH chemical shift due to ring current effect etc. Some of the data points far from the correlation line are 2-nitrosonaphthol and others are 8-quinolinol N-oxides andcompounds in which the acceptor group is twisted out of the ring plane (see previously).
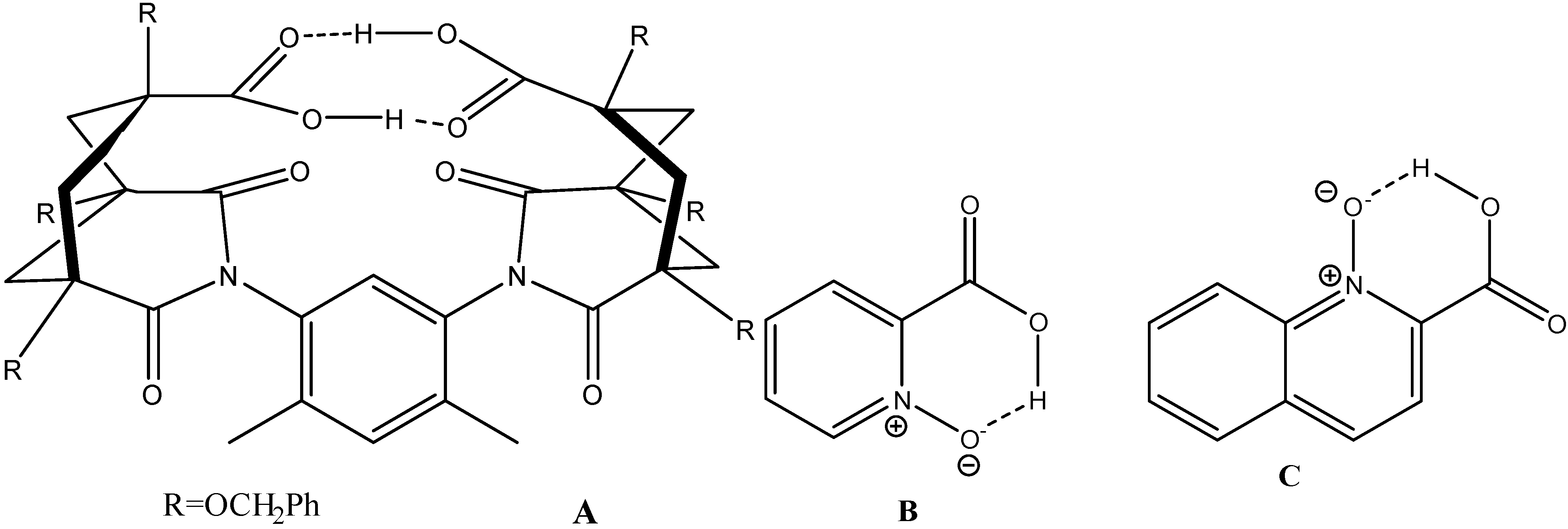
If we look at carboxylic acids an interesting case is picolinic acid N-oxide (PANO) [5] and quinaldinic acid N-oxide [36]. (Figure 11) Both show rather large primary deuterium isotope effects for the acid proton. In case of PANO the effect vary very much in going from chloroform to acetonitrile as solvent. Guo et al. [37] investigated the intramolecular hydrogen bonds in monoanions of succinic acid and derivatives there of and established a double-well proton potential. Deuterium primary isotope effects of acid protons plotted vs. OH chemical shifts are given in Figure 12. The point for citrinin is clearly falling outside as this is tautomeric. However, the data for the succinic acid derivatives show no variation in the primary isotope effects despite the fact that the hydrogen bond potentials are different. The data points for the monoanion of the cage compounds (δOH, 18.0 ppm and PΔH(D), 1.4 ppm) [38] as well as the compound itself (δOH, 12.6 ppm and PΔH(D), 0.74 ppm) shown in Figure 11 are really very unusual. May the explanation is found in the author’s own statement “However, a bifurcated hydrogen bond with the acid placed between the oxygens cannot be excluded” or the effects should be compared to intermolecular hydrogen bonds as the flexibility is high [39].
Figure 10.
Plot of primary isotope effects, PΔ(OD) vs. OH chemical shifts. Acceptors atoms are O, N or S. Data taken from Refs. [40,41].
Figure 10.
Plot of primary isotope effects, PΔ(OD) vs. OH chemical shifts. Acceptors atoms are O, N or S. Data taken from Refs. [40,41].

Figure 11.
(A) cis,cis[4,6-dimethylbenzene-1,3-bis(1,5,7-tris(benzyloxymethyl)-2,4-dioxo-3-azabicyclo[3.3.1]non-3-yl-7-carboxylic acid)]; (B) picolinic acid N-oxide; (C) quinaldinic acid N-oxide.
Figure 11.
(A) cis,cis[4,6-dimethylbenzene-1,3-bis(1,5,7-tris(benzyloxymethyl)-2,4-dioxo-3-azabicyclo[3.3.1]non-3-yl-7-carboxylic acid)]; (B) picolinic acid N-oxide; (C) quinaldinic acid N-oxide.

Figure 12.
Plot of primary deuterium isotope effects for carboxylic acids vs. the OH chemical shift. Series 1 is; Data from Refs. [5,37,42,43] series 2 citrinin [44]; series 3 is data for mono anions of succinic acid [37].
Figure 12.
Plot of primary deuterium isotope effects for carboxylic acids vs. the OH chemical shift. Series 1 is; Data from Refs. [5,37,42,43] series 2 citrinin [44]; series 3 is data for mono anions of succinic acid [37].

2.2. Secondary Isotope Effects of Intramolecular Hydrogen Bonds without RAHB
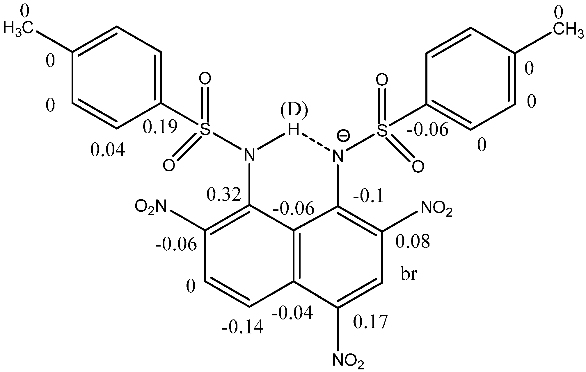
Isotope effects due to deuteriation of the NH proton of thioamides have been studied in detail and are reviewed in Ref. [2]. Likewise, hydrogen bonding in charged systems has been investigated. The pattern NH… N− (see Figure 13) is found in the anion of 1,8-bis(4-toluenesulphonamido)naphthalenes and derivatives [44] (see Figure 13). These compounds may be “static” or tautomeric. The dinitro-derivative shown in Figure 13 is primarily on the form shown. The counter ion is DMANH+ and similar isotope effects for this moiety were observed as found previously [45].
Figure 13.
Deuterium isotope effects on 13C chemical shifts in 2,4,7-trinitro-1,8-bis(4-toluenesulphonamido)naphthalenes Taking the term intramolecular very far is to include a complex of carboxylic acids buried inside a cavity of a cavitand [46] and glycoluracil. However, some very interesting results are obtained. The acids are substituted benzoic aids and cinnamic acids. A nice correlation is obtained in a plot of deuterium isotope effects on the acid proton and the chemical shifts of that. Use of isotope effects avoids complications due to effects caused by interaction with the wall of the cavitand [47].
Figure 13.
Deuterium isotope effects on 13C chemical shifts in 2,4,7-trinitro-1,8-bis(4-toluenesulphonamido)naphthalenes Taking the term intramolecular very far is to include a complex of carboxylic acids buried inside a cavity of a cavitand [46] and glycoluracil. However, some very interesting results are obtained. The acids are substituted benzoic aids and cinnamic acids. A nice correlation is obtained in a plot of deuterium isotope effects on the acid proton and the chemical shifts of that. Use of isotope effects avoids complications due to effects caused by interaction with the wall of the cavitand [47].

2.3. Tautomerism
2.3.1. Isotopic Perturbation of Equilibrium
One of the very elegant ways of disclosing tautomerism in symmetrical systems like β-diketones etc. is isotopic perturbation of equilibrium. This was demonstrated very neatly in 2-phenylmalonaldehyde [48,49,50]. For a symmetrical system the deuterium has to be introduced in such a manner that the degeneracy is lifted as demonstrated in Figure 14. Introduction of a deuterium at the chelate proton position will clearly not give rise to a shift in the equilibrium whereas as seen in Figure 14, whereas introduction at the aldehyde carbon will.
The perturbation is clearly caused by the vibrational difference between a deuterium at the aldehyde position and a deuterium at a double bond. The difference in the zero point energy for the two tautomers is 37 cm–1. This is resulting in a K = 1.2 in favor of the B-form as the stretching frequency of the C=C-H(D) bond is higher. The difference in chemical shift between the two relevant D’s in the two forms is ~2 ppm, so that the equilibrium primary isotope effects can be estimated to be ~0.1 ppm [50].
Figure 14.
Isotopic perturbation of equilibrium.
Figure 14.
Isotopic perturbation of equilibrium.

In non-symmetrical systems measurement of deuterium isotope effects on e.g., 13C or 15N chemical shifts will result in an s-shaped dependence on mole fraction [51,52] as well as in isotope tope effects far from the center of deuteriation. One of the hotly debated issues is the symmetry of the systems shown in Figure 12 and related to that, low barrier hydrogen bonds. This subject has been reviewed thoroughly by Perrin [48,49,53]. One of the main tools in these studies has been isotopic perturbation of equilibrium caused by substitution with 18O (see Figure 15). The idea is that as the isotope effects observed are larger than the intrinsic effects normally found, an equilibrium has to be at play and therefore a double well potential.
Recently, Bogle and Singleton [54] suggested that large intrinsic isotope effects can occur in such systems. They based their argument on desymmetrization. In order to clarify the situation Perrin and Burke [41] have measured the 18O isotope effects on 13C chemical shifts in 18O labelled cyclohexene-1,2-dicarboxylate (Figure 15) at different temperatures. They found that the isotope effect at the ipso carbon increased when they lowered the temperature. This they took as support of a tautomeric equilibrium. Using 18O isotope effects on chemical shifts combined with solvent effects, they reached the same conclusion for the mono-anion of racemic-α,α'-di-tert-butyl succinate [55,56] and of difluoromaleate monoanion [57].
Figure 15.
18O-labelled monoacids.
Figure 15.
18O-labelled monoacids.

Enolised double bonds are not very common. An example is nitromalonamide (Figure 16) [42]. Nitromalonamide is a model system for tetracyclines.
Figure 16.
Deuterium isotope effects of nitromalonamide.
Figure 16.
Deuterium isotope effects of nitromalonamide.

2.3.2. Primary Isotope Effects
Symmetrical Systems
Primary isotope effects should in this context first be discussed for deuteriation in which the symmetry is not broken. The primary deuterium isotope effects of the chelated protons can with advantage be correlated with the OH chemical shift. A bell shaped curve is found as seen in Figure 17. This was earlier suggested by Cassidy, Liu and Fry [40,58] as well as by Sobczyk et al. [59], but based on fewer data. The bell shaped curve is a consequence of the change from weak, to strong, to short and strong hydrogen bonds (SSHB) and the concomitant change in the hydrogen bond potential from a double potential well to an single well potential. In the latter case a negative primary isotope effect is observed. A certain spread is to be expected as effects such as ring currents will influence the OH chemical shift, but ring current effects will cancel out for the isotope effects. A risk dealing with hydrogen bonded protons is always that exchange may lead to erroneous results.
Figure 17.
Plot of primary isotope effects vs. OH chemical shifts for symmetrical systems based on data from Refs. [39,59].
Figure 17.
Plot of primary isotope effects vs. OH chemical shifts for symmetrical systems based on data from Refs. [39,59].

One of the difficult matters to resolve is the existence of single hydrogen bond potentials and to define unambiguously the existence and what criteria to use. Perrin and Nielson [60] have investigated primary deuterium in a series of mono anions of phthalic acid, 1,2-cyclopentene dicarboxylic acid, 3,4-furandicarboxylic acid and 3,4,5,6-tetrahydrophthalic acid in organic solvents and at different temperatures. The measurement of pΔH(D) were supplemented by also studying 18O isotope effects on 13C chemical shifts (see above). For the mono anions of 1,2-cyclopentene dicarboxylic acid, 3,4-furandicarboxylic acid and 3,4,5,6-tetrahydrophthalic acid the primary isotope effects are positive or zero in line with the 18O results and with prior finds for 3,4-furandicarboxylic acid [40] showing a strong, asymmetric hydrogen bond. For the phthalate the primary isotope effects can be either positive or negative depending on the solution, showing that recording of these small primary isotope effects call for caution.
Non-Symmetrical Systems
Deuterium isotope effects on 13C chemical shifts have been used to demonstrate that l,3,5-trihydroxy-2,4,6-triacetylbenzene is not taking part in tautomerism (see Figure 18) [61] although this had been claimed based on theoretical calculations [62].
Figure 18.
l,3,5-trihydroxy-2,4,6-triacetylbenzene.
Figure 18.
l,3,5-trihydroxy-2,4,6-triacetylbenzene.

Tautomeric equilibria have been established in many o-hydroxy Schiff bases using IECS. Deuterium isotope effects on chemical shifts have been shown to be especially powerful due to the very large chemical shift differences between the 15N chemical shifts in the OH and the NH forms (also referred to as molecular and proton transferred form) (See Figure 2) (100–140 ppm) [52]. A very nicely S-shaped dependence is seen between 1Δ15N(D) and the mole fraction [63]. Also deuterium isotope effects on 13C chemical shifts have been used in many cases and sign patterns can distinguish between the two forms [64] (Figure 19). Furthermore, the observation of long range effects clearly differentiates between “static” and tautomeric cases. That equilibrium is at play may also be demonstrated by plotting isotope effects for two different carbons at different temperatures against each other and observing a straight line [65]. The intrinsic and the equilibrium part of the isotope effects can be separated. This is demonstrated in two different ways by Filarowski et al. [63] and by Limbach et al. [11]. Filarowski et al. used the equations described earlier combined with calculation of nuclear shieldings and isotope effects Limbach et al. used the geometric approach described in Ref. [66] combined with an equilibrium approach. One-bond deuterium isotope effect on 15N chemical shifts are plotted vs. the 15N chemical shifts for Schiff bases. The fit to the predicted solid lines is rather poor [11]. o-Hydroxynaphtalene Schiff bases of methyl amine are investigated with respect to solvent effects. The 1-OH derivatives are more sensitive to solvent polarity [67].
Schiff bases of pyridoxal-5'-phosphate is a cofactor in many enzyme reactions. Isotope effects on 15N chemical shifts have been measure in 15N-labelled material. Protonation of the pyridine nitrogen play a role for the position of the Schiff base tautomeric equilibrium, which is shifted towards the NH-form [68]. That charge may play a role was also previously demonstrated in Schiff bases of salicylaldehydes [69] or 2-hydroxynaphtaldehyde [70] with amino acids. In amino acid ionic liquids supported Schiff bases the presence of the COO− group stabilizes the proton transferred form [71].
Figure 19.
Deuterium isotope effect on 13C chemical shift sign patterns of o-hydroxy Schiff bases.
Figure 19.
Deuterium isotope effect on 13C chemical shift sign patterns of o-hydroxy Schiff bases.

Tautomeric Schiff bases with relay have also been studied and anti-cooperativity has been established [72]. A coupled system is also found in 2,7-diacetyl-1,8-dihydroxy-3,6-dimethylnapthalene both in the liquid and solid state [73].
Deuterium isotope effects on chemical shifts have been studied to a great detail in both β-diketones and β-thioxoketones in solution [1,51]. Recently, also deuterium IECS of thiodibenzoylmethane has been reported in the solid state. In this case the effects were assumed to be intrinsic [34]. However, deuterium IECS in the solid state spectra of pyridoyl benzoyl β-diketones reveal a tautomeric equilibrium in the solid state [74].
A plot including tautomeric compounds like phleichrome [75], isophleichrome [75], 2-pivaloylindane-1,3-dione [76], 5-acetyl-1,3-dimethyl-2,4,6-trioxo-1,3-diazane, 5-acetyl-2,2-dimethyl-4,6-dioxo-1,3-dioxane [76] and oxo-(2-oxo-cyclohexyl)-acetic acid ethyl ester [77] but also β-thioxoketones [78] show that the primary isotope effects may be large and negative (Figure 20). This is typical for a tautomeric system with the two different heavy atoms like O and S as found in β-thioxoketones.
Figure 20.
Plot of primary isotope effects vs. XH, X being O, N or S, chemical shifts for tautomeric systems. Data primarily from Ref. [39,76] and those references mentioned above.
Figure 20.
Plot of primary isotope effects vs. XH, X being O, N or S, chemical shifts for tautomeric systems. Data primarily from Ref. [39,76] and those references mentioned above.

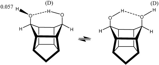
Equilibrium isotope effects are also found in the cage compound (endo,endo)-pentacyclo[5.4.0.02,6.03,10.05,9]undecane-8,11-diol [79] Figure 21. They are slightly different in Ref. [12] as compared to Ref. [79] because of different amount of water present. The equilibrium isotope effects are discussed in Ref. [79] in relationship to carbohydrates.
Figure 21.
Deuterium isotope effects on 1H chemical shifts in cage compound.
Figure 21.
Deuterium isotope effects on 1H chemical shifts in cage compound.

3. Summary
Isotope effects on chemical shifts both primary and secondary are very good tools in the study of intramolecular hydrogen bonds as they are intimately linked to zero bond energies and hence to hydrogen bond potentials. Resonance assisted hydrogen bonding together with steric compression is demonstrated to play a major role in the strength of intramolecular hydrogen bonds. IECS are preferable to XH chemical shifts in such studies as external effects like solvents, cage walls etc. do not play a role. IECS are likewise very useful in the study of tautomeric systems both symmetric and asymmetric. In the former case isotope perturbation of equilibrium is the preferred tool and combined with temperature experiments they have been the key tool to prove a double bond potential in such systems like phthalic acid mono anion.
Conflicts of Interest
The author declares no conflict of interest.
References
- Hansen, P.E. NMR studies of Isotope effects of compounds with intramolecular hydrogen bonds. In Isotopes in Chemistry and Biology; Kohen, A., Limbach, H.-H., Eds.; CRC Press: Boca Raton, FL, USA, 2006. [Google Scholar]
- Hansen, P.E. Isotope Effects on Chemical Shifts of Hydrogen Bonded Systems. J. Label. Compd. Radiopharm. 2007, 50, 967–981. [Google Scholar] [CrossRef]
- Hansen, P.E.; Rozwadowski, Z.; Dziembowska, T. Nuclear Magnetic Resonance Spectroscopy of Hydroxy Schiff bases. Curr. Org. Chem. 2009, 13, 194–215. [Google Scholar] [CrossRef]
- Hansen, P.E. Isotope effects on chemical shifts as a tool in the study of tautomeric equilibria. In Tautomerism, Methods and Theories; Antonov, L., Ed.; Wiley: Weinheim, Germany, 2014. [Google Scholar]
- Stare, J.; Jerzierska, A.; Ambrozic, G.; Kosir, I.J.; Kidric, J.; Koll, A.; Mavri, J.; Hadzi, J. Density functional calculation of the 2D potential surface and deuterium isotope effect on C-13 chemical shifts in picolinic acid N-oxide. Comparison with experiment. J. Am. Chem. Soc. 2004, 126, 4437–4443. [Google Scholar] [CrossRef] [PubMed]
- Batiz-Hernandez, H.; Bernheim, R.A. The isotope shift. Prog. NMR Spectrosc. 1967, 3, 63–85. [Google Scholar] [CrossRef]
- Gombler, W. MMR spectroscopic studies on chalcogen compounds. 4. C-13 isotope effects on Se-77 and Te-125 nucelar shieldings and its correlation with C-Se distances-Te-123 isotope effects on Te-125 nuclear shielding. J. Am. Chem. Soc. 1982, 104, 6616–6620. [Google Scholar] [CrossRef]
- Jameson, C.J. The dynamic and electronic factors in isotope effects on NMR parameters. In Isotopes in the Physical and Biomedical Science; Buncel, E., Jones, J.R., Eds.; Elsevier: Amsterdam, The Netherlands, 1991; Volume 2, p. 1. [Google Scholar]
- Limbach, H.-H.; Denisov, G.S.; Golubev, N.S. Hydrogen Bond Isotope Effects Studied by NMR in Isotopes in Chemistry and Biology; Kohen, A., Limbach, H.-H., Eds.; CRC: Boca Raton, FL, USA, 2006. [Google Scholar]
- Ubbelohde, A.R.; Gallagher, K.J. Acid-base effects in hydrogen bonds in Crystals. Acta Crystallogr. 1955, 8, 71–83. [Google Scholar] [CrossRef]
- Sharif, S.; Denisov, G.S.; Toney, M.D.; Limbach, H.-H. NMR studies of Solvent-assisted proton transfer in a biologically relevant Schiff Base: Toward a distinction of geometric and equilibrium H-Bond Isotope Effects. J. Am. Chem. Soc. 2006, 128, 3375–3387. [Google Scholar] [CrossRef] [PubMed]
- Filarowski, A.; Hansen, P.E. Secondary Isotope Effects on 13C and 15N Chemical Shifts of Schiff Bases revisited. Z. Phys. Chem. 2013, 227, 917–927. [Google Scholar] [CrossRef]
- O’Leary, D.J.; Hickstein, D.D.; Hansen, B.K.V.; Hansen, P.E. Theoretical and NMR Studies of Deuterium Isotopic Perturbation of Hydrogen Bonding in Symmetrical Dihydroxy Compounds. J. Org. Chem. 2010, 75, 1331–1342. [Google Scholar] [CrossRef] [PubMed]
- Gilli, G.; Bertulucci, F.; Ferretti, V.; Bertolasi, V. Evidence for resonance-assisted hydrogen bonding from crystal-structure correlations on the enol form of the β-diketone fragment. J. Am. Chem. Soc. 1989, 111, 1023–1028. [Google Scholar] [CrossRef]
- Bertolasi, V.; Pretto, L.; Gilli, G.; Gilli, P. π-Bond cooperativity and anticooperativity effects in resonance-assisted hydrogen bonds (RAHBs). Acta Crystallogr. Sect. B: Struct. Sci. 2006, 62, 850–863. [Google Scholar] [CrossRef]
- Sanz, P.; Mo, O.; Yanez, M.; Elguero, J. Resonance assisted hydrogen bond: A critical examination. Structure and stability of the enols of β-diketones and β-enaminones. J. Phys. Chem. 2007, 111, 3585–3591. [Google Scholar] [CrossRef]
- Alkorta, I.; Elguero, J.; Mo, O.; Yanez, M.; del Bene, J.E. Do coupling constants and chemical shifts provide evidence for the existence of resonance-assisted hydrogen bonds? Mol. Phys. 2004, 23–24, 2563–2574. [Google Scholar] [CrossRef]
- Alkorta, I.; Elguero, J.; Mo, O.; Yanez, M.; del Bene, J.E. Are resonance-assisted hydrogen bonds “resonance” assisted? A theoretical NMR study. Chem. Phys. Lett. 2005, 411, 411–415. [Google Scholar] [CrossRef]
- West-Nielsen, M.; Dominiak, P.M.; Wozniak, K.; Hansen, P.E. Strong intramolecular hydrogen bonding involving nitro- and acetyl groups. Deuterium isotope effects on chemical shifts. J. Mol. Struct. 2006, 789, 81–91. [Google Scholar] [CrossRef]
- Hansen, P.E.; Kamounah, F.S.; Ullah, S. Intramolecular Hydrogen Bonding of o-Hydroxyesters and Related Compounds evaluated by Deuterium Isotope Effects on 13C Chemical Shifts and Principal Component Analysis. J. Mol. Struct. 2007, 844–845, 300–307. [Google Scholar] [CrossRef]
- Hansen, P.E.; Christoffersen, M.; Bolvig, S. Variable Temperature NMR Studies of 2,6-dihydroxy Acylaromatic Compounds. Deuterium Isotope Effects on Chemical Shifts, Isotopic Perturbation of Equilibrium and Barriers to Rotation. Magn. Reson. Chem. 1993, 31, 893–902. [Google Scholar] [CrossRef]
- Piertzak, M.; Grech, E.; Nowicka-Scheibe, J.; Hansen, P.E. Deuterium isotope effects on 13C chemical shifts of negatively charged NH..N systems. Magn. Reson. Chem. 2013, 51, 683–688. [Google Scholar]
- Hansen, P.E.; Kolonicny, A.; Lycka, A. Deuterium isotope effects on 13C nuclear shielding of amino and acetamido compounds. Tautomerism and intramolecular hydrogen bonding. Magn. Reson. Chem. 1992, 30, 786–796. [Google Scholar] [CrossRef]
- Zheglova, D.K.; Genov, D.G.; Bolvig, S.; Hansen, P.E. Deuterium Isotope Effects on 13C Chemical Shifts of Enaminones. Acta Chem. Scand. 1997, 51, 1016–1023. [Google Scholar] [CrossRef]
- Frisch, M.J.; Trucks, G.W.; Schlegel, H.B.; Scuseria, G.E.; Robb, M.A.; Cheeseman, J.R.; Scalmani, G.; Barone, V.; Mennucci, B.; Petersson, G.A.; et al. Gaussian 09; Revision D.01; Gaussian, Inc.: Wallingford, CT, USA, 2009. [Google Scholar]
- Hansen, P.E.; Ibsen, N.; Kristensen, T.; Bolvig, S. Deuterium and 18O Isotope Effects on 13C Chemical Shifts of Sterically hindered and/or Intra-molecularly Hydrogen-bonded o-Hydroxy Acyl Aromatics. Magn. Reson. Chem. 1994, 32, 399–408. [Google Scholar] [CrossRef]
- Abildgaard, J.; Bolvig, S.; Hansen, P.E. Unravelling the electronic and vibrational contributions to deuterium isotope effects on 13C chemical shifts using ab initio model calculations. Analysis of the observed isotope effects on sterically perturbed intramolecular hydrogen-bonded o-hydroxy acyl aromatics. J. Am. Chem. Soc. 1998, 120, 9063–9069. [Google Scholar] [CrossRef]
- Hansen, P.E.; Bolvig, S.; Wozniak, K. Steric compression and twist in o-hydroxy acyl aromatics with intramolcular hydrogen bonding. J. Mol. Struct. 2005, 749, 155–168. [Google Scholar] [CrossRef]
- Hansen, P.E.; Kamounah, F.S.; Gryko, D.T. Deuterium isotope effects on 13C chemical shifts of 10-Hydroxybenzo[h]quinolones. Molecules 2013, 18, 4544–4560. [Google Scholar] [CrossRef] [PubMed]
- Ullah, S.; Zhang, W.; Hansen, P.E. Deuterium Isotope Effects on 13C and 15N Chemical Shifts of Intramolecularly Hydrogen-Bonded β-Enamine derivatives of Meldrum’s and Tetronic acid. J. Mol. Struct. 2010, 976, 377–391. [Google Scholar] [CrossRef]
- Jednacak, T.L.; Novak, P.; Uzarevic, I.K.; Bratos, I.; Markovic, J.; Cindric, M. Bioactive phenylenediamine derivatives of dehydroacetic acid: Synthesis, structural characterization and deuterium Isotope effects. Croat. Chem. Acta 2011, 84, 203–209. [Google Scholar] [CrossRef]
- Novak, P.; Piculjan, K.; Bilkjan, T.; Hreanar, T.; Cindric, M.; Rubcik, M.; Meic, Z. Deuterium isotope effects in 13C NMR spectra of intramolecularly hydrogen-bonded salicylaldehyde-4-phenylthiosemicarbazone. Croat. Chem. Acta 2007, 80, 575–581. [Google Scholar]
- Smith, L.B.; Hansen, P.E. Intramolecular Hydrogen Bonding of 5-Acyl-3-methylrhodanines. Z. Phys. Chem. 2008, 222, 1213–1223. [Google Scholar] [CrossRef]
- Nguyen, T.T.; Le, T.N.; Hansen, B.V.K.; Duus, F.; Hansen, P.E. Hydrogen Bonding of Novel o-Hydroxythioacetophenones and related compounds studies by Deuterium Isotope Effects on 13C Chemical Shifts. Magn. Reson. Chem. 2007, 45, 245–252. [Google Scholar] [CrossRef] [PubMed]
- Nguyen, T.P.; Nguyen, K.P.P.; Zhang, W.; Kamounah, F.S.; Hansen, P.E. Synthesis and NMR studies of novel hydroxyflavones, hydroxyflavothiones, hydroxyflavanones and hydroxyflavanonethiones. Magn. Reson. Chem. 2009, 47, 1043–1054. [Google Scholar] [CrossRef] [PubMed]
- Dziembowska, T.; Rozwadowski, Z.; Hansen, P.E. Intramolecular Hydrogenbonding of 8-Hydroxyquinoline N-oxides, Quinaldinic Acid N-oxides and Quinaldinamide N-oxide. Deuterium Isotope Effects on 13C Chemical Shifts. J. Mol. Struct. 1997, 436–437, 189–199. [Google Scholar] [CrossRef]
- Guo, J.; Tolstoy, P.M.; Koeppe, B.; Denisov, G.S.; Limbach, H.-H. NMR study of conformational exchange and double-well potential in intramolecular hydrogen bonds in monoanions of succinic acid and derivatives. J. Phys. Chem. 2011, 115, 9828–9836. [Google Scholar] [CrossRef]
- Kato, Y.; Toledo, L.M.; Rebek, J., Jr. Energetics of a low barrier hydrogen bond in nonpolar solvents. J. Am. Chem. Soc. 1996, 118, 8575–8579. [Google Scholar] [CrossRef]
- Tolstoy, P.M.; Schah-Mohammedi, P.; Smirnov, S.N.; Golubev, N.S.; Denisov, G.S.; Limbach, H.-H. Characterization of Fluxional Hydrogen-Bonded Complexes of Acetic Acid and Acetate by NMR: Geometries and Isotope and Solvent Effects. J. Am. Chem. Soc. 2004, 126, 5621–5634. [Google Scholar] [CrossRef] [PubMed]
- Bolvig, S.; Hansen, P.E. Isotope effects on chemical shifts as an analytical tool in structural studies of intramolecular hydrogen bonded compounds. Curr. Org. Chem. 2000, 4, 19–54. [Google Scholar] [CrossRef]
- Lau, J.S.; Perrin, C.L. Isotope effects and symmetry of hydrogen bonds in solution: Single and double-well potential. In Isotope Effects in Chemistry and Biology; Kohen, A., Limbach, H.-H., Eds.; CRC Press: Boca Raton, FL, USA, 2006. [Google Scholar]
- Perrin, C.L.; Burke, K.D. Variable-temperature study of hydrogen-bond symmetry in cyclohexene-1,2-dicarboxylate monoanion in chloroform-d. J. Am. Chem. Soc. 2014, 136, 4355–4362. [Google Scholar] [CrossRef] [PubMed]
- Hansen, P.E. Deuterium Isotope Effects on 13C Chemical Shifts of Nitromalonamide. Magn. Reson. Chem. 2008, 46, 726–729. [Google Scholar] [CrossRef] [PubMed]
- Hansen, P.E.; Langgård, M.; Bolvig, S. Isotope Effects on Chemical Shift in Tautomeric Systems with Double Proton transfer. Citrinin. Pol. J. Chem. 1998, 72, 269–276. [Google Scholar]
- Grech, E.; Klimkiewich, J.; Nowicka-Scheibe, J.; Piertzak, M.; Schilff, W.; Pozharski, A.F.; Bolvig, S.; Abildgaard, J.; Hansen, P.E. Deuterium Isotope Effects on 15N, 13C and 1H Chemical Shifts of Proton Sponges. J. Mol. Struct. 2002, 615, 121–140. [Google Scholar] [CrossRef]
- Ajami, D.; Rebek, J., Jr. Coiled Molecules in Spring Loaded Devices. J. Am. Chem. Soc. 2006, 120, 15038–15039. [Google Scholar] [CrossRef]
- Ajami, D.; Tolstoy, P.M.; Dube, H.; Odermatt, S.; Koeppe, B.; Guo, J.; Limbach, H.-H.; Rebek, J., Jr. encapsulated carboxylic acid dimers with compressed hydrogen bonds. Angew. Chem. Int. 2011, 50, 528–531. [Google Scholar] [CrossRef]
- Perrin, C.L.; Kim, Y.-J. Symmetry of the hydrogen bond in malonaldehyde enol in solution. J. Am. Chem. Soc. 1998, 120, 12641–12645. [Google Scholar] [CrossRef]
- Perrin, C.L. Are short, low-barrier hydrogen bonds unusually strong? Acc. Chem. Res. 2010, 43, 1550–1557. [Google Scholar] [CrossRef] [PubMed]
- Perrin, C.L.; Nielsson, J.B.; Kim, Y.-J. Symmetry of hydrogen bonds in solution, an overview. Ber. Bunsen Ges. 1998, 102, 403–409. [Google Scholar] [CrossRef]
- Bolvig, S.; Hansen, P.E. Deuterium Isotope Effects on 13C Chemical Shifts as a Probe for Tautomerism in Enolic β-Diketones. Magn. Reson. Chem. 1996, 34, 467–478. [Google Scholar] [CrossRef]
- Hansen, P.E.; Sitkowski, J.; Stefaniak, L.; Rozwadowski, Z.; Dziembowska, T. One Bond Deuterium Isotope Effects on 15N Chemical Shifts, 1ΔN(D), in Schiff Bases. Ber. Bunsengesel. Chem. Phys. 1998, 102, 410–413. [Google Scholar] [CrossRef]
- Perrin, C.L. Symmetry of hydrogen bonds in solution. Pure Appl. Chem. 2009, 81, 571–583. [Google Scholar] [CrossRef]
- Bogle, X.S.; Singleton, D.A. Isotope-induced desymmetrization can mimic isotopic perturbation of equilibria. On the symmetry of bromonium ions and hydrogen bonds. J. Am. Chem. Soc. 2011, 133, 17172–17175. [Google Scholar] [CrossRef] [PubMed]
- Perrin, C.L.; Lau, J.S.; Kim, Y.-S.; Kari, P.; Moor, C.; Rheingold, A.L. Asymmetry of the “strongest” OHO hydrogen bond, in the monoanion of (+−)-α,α'-ditert-butylsuccinate. J. Am. Chem. Soc. 2009, 131, 13548–13554. [Google Scholar] [CrossRef] [PubMed]
- Perrin, C.L.; Lau, J.S.; Kim, Y.-S.; Kari, P.; Moor, C.; Rheingold, A.L. Assymmetry of the “strongest” OHO hydrogen bond, in the monoanion of (+−)-α,α'-ditert-butylsuccinate. J. Am. Chem. Soc. 2010, 132, 2099–2100. [Google Scholar] [CrossRef]
- Perrin, C.L.; Kari, P.; Moore, C.; Rheingold, A.L. Hydrogen-bond symmetry in difluoromaleate monanion. J. Am. Chem. Soc. 2012, 134, 7766–7772. [Google Scholar] [CrossRef] [PubMed]
- Cassidy, C.; Lin, J.; Frey, P.A. The deuterium isotope effect on the NMR signal of the low-barrier hydrogen bond in a transition-state analog complex of chymotrypsin. Biochem. Biophys. Res. Commun. 2000, 273, 789–792. [Google Scholar] [CrossRef] [PubMed]
- Chmielewski, P.; Ozeryanskii, V.S.; Sobczyk, L.; Pozharskii, F. Primary H-1/H-2 isotope effect in the NMR chemical shift of HClO4 salts of 1,8-bis(dimethylamino)naphthalene derivatives. J. Phys. Org. Chem. 2007, 20, 643–648. [Google Scholar] [CrossRef]
- Perrin, C.L.; Nielson, J.B. Asymmetry of hydrogen bonds in solutions of monoanions of dicarboxylic acids. J. Am. Chem. Soc. 1997, 119, 12734–12741. [Google Scholar] [CrossRef]
- Hansen, P.E.; Kamounah, F.S.; Zhiryakova, D.; Manolova, Y. Liudmil Antonov, 1,1',1''-(2,4,6-Trihydroxybenzene-1,3,5-triyl)triethanone non-tautomerism. Tetrahdron Lett. 2014, 55, 354–357. [Google Scholar] [CrossRef]
- Serdiuk, I.E.; Wera, M.; Roshal, A.; Sowisnki, P.; Zadykowicz, B.; Blazejowski, I.J. Tautomerism, structure and properties of 1,1'1''-(2,4,6-trihydroxybenzene-1,3,5,tiy)triethanone. Tetrahedron Lett. 2011, 52, 2737–2740. [Google Scholar] [CrossRef]
- Rozwadowski, Z.; Nowak-Wydra, B. Chiral recognition of Schiff bases buy 15N NMR spectroscopy in the presence of a dirhodium complex. Deuterium isotope effect on 15N chemical shift of the optically active Schiff bases and their dirhodium tetracarboxylate adducts. Magn. Reson. Chem. 2008, 45, 974–978. [Google Scholar] [CrossRef]
- Hansen, P.E.; Filarowski, A. Characterisation of the PT-form of o-Hydroxy Acylaromatic Schiff bases by NMR Spectroscopy and DFT Calculations. J. Mol. Struct. 2004, 707, 69–75. [Google Scholar] [CrossRef]
- Filarowski, A.; Koll, A.; Rospenk, M.; Krol-Starzomska, I.; Hansen, P.E. Tautomerism of sterically hindered Schiff bases. Deuterium Isotope Effects on 13C Chemical Shifts. J. Phys. Chem. A 2005, 109, 4464–4473. [Google Scholar] [CrossRef] [PubMed]
- Limbach, H.-H.; Pietzak, M.; Benedict, H.; Tolstoy, P.M.; Golubev, N.S.; Denisov, G.S. Empirical corrections for anharmonic zero-point vibrations of hydrogen and deuterium in geometric hydrogen bond correlations. J. Mol. Struct. 2004, 706, 115–119. [Google Scholar] [CrossRef]
- Dobosz, R.; Skotnicka, A.; Rozwadowski, Z.; Dziembowska, T. Stability of N-(ortho-hydroxynaphtylmethylene)methylamines and their tautomers. J. Mol. Struct. 2010, 979, 194–199. [Google Scholar] [CrossRef]
- Sharif, S.; Denisov, G.S.; Toney, M.D.; Limbach, H.-H. NMR studies of coupled low- and high-barrier hydrogen bonds in pyridoxal-5'-phosphate model systems in polar solution. J. Am. Chem. Soc. 2007, 129, 6313–6327. [Google Scholar] [CrossRef] [PubMed]
- Rozwadowski, Z. Deuterium isotope effect on C-13 chemical shifts of tetrabutylammonium salts of Schiff bases amino acids. Magn. Reson. Chem. 2006, 44, 881–886. [Google Scholar] [CrossRef] [PubMed]
- Rozwadowski, Z. Deuterium isotope effects on C-13 chemical shifts of lithium salts of Schiff bases amino acids. J. Mol. Struct. 2005, 753, 127–131. [Google Scholar] [CrossRef]
- Ossowicz, P.; Janus, E.; Schroeder, G.; Rozwadowski, Z. Spectroscopic studies of amino acids ionic liquid-supported Schiff bases. Molecules 2013, 18, 4986–5004. [Google Scholar] [CrossRef] [PubMed]
- Golubev, N.S.; Smirnov, S.N.; Tolstoy, P.M.; Sharif, S.; Toney, M.D.; Denisov, G.S.; Limbach, H.-H. Observation by NMR of the tautomerism of an intramolecular OHOHN-charge relay chain in a model Schiff base. J. Mol. Struct. 2007, 844–845, 319–327. [Google Scholar] [CrossRef]
- Hansen, P.E.; Kamounah, F.S.; Hansen, B.K.V.; Spanget-Larsen, J. Conformational and tautomeric eccentricites of 2-acetyl-1,8-dihydroxynaphthalenes. Magn. Reson. Chem. 2007, 45, 106–117. [Google Scholar] [CrossRef] [PubMed]
- Hansen, P.E.; Borisov, E.V.; Lindon, J.C. Determination of the Tautomeric Equilibria of Pyridoyl Benzoyl β-Diketones in the Liquid and Solid State through the use of Deuterium Isotope Effects on 1H and 13C NMR Chemical Shifts and Spin Coupling Constants. Spectrochim. Acta 2015, 136, 107–112. [Google Scholar] [CrossRef]
- Mazzini, S.; Merlini, L.; Mondelli, R.; Nasini, G.; Ragg, E.; Scaglioni, L. Deuterium isotope effect on H-1 and C-13 chemical shifts of intramolecularly hydrogen bonded perylenequinones. J. Chem. Soc. Perkin Trans. 2 1997, 2013–2021. [Google Scholar] [CrossRef]
- Bolvig, S.; Hansen, P.E.; Morimoto, H.; Wemmer, D.; Williams, P. Primary tritium and deuterium isotope effects on chemical shifts of compounds having an intramolecular hydrogen bond. Magn. Reson. Chem. 2000, 38, 525–535. [Google Scholar] [CrossRef]
- Khatipov, S.A.; Shapet’ko, N.N.; Bogachev, Y.S.; Andreichov, Y.S. Temperature and the enol proton isotopic-substitution effect on chemical shifts of NMR H-1,C-13 of beta-dicarbonyl compounds with the high intramolecular hydrogen bond. Zhur. Fiz. Khim. 1985, 59, 2097–2099. [Google Scholar]
- Andresen, B.; Duus, F.; Bolvig, S.; Hansen, P.E. Variable temperature 1H and 13C spectroscopic investigation of the enol-enethiol tautomerism of β-thioxoketones. Isotope effects due to deuteron chelation. J. Mol. Spectrosc. 2000, 552, 45–62. [Google Scholar]
- Vasquez, T.E., Jr.; Bergset, J.M.; Fierman, M.B.; Nelson, A.; Roth, J.; Khan, S.I.; O’Leary, D.J. Using Equilibrium Isotope Effects to Detect Intramolecular. OH/OH Hydrogen Bonds: Structural and Solvent Effects. J. Am. Chem. Soc. 2002, 124, 2931–2938. [Google Scholar] [CrossRef] [PubMed]
© 2015 by the authors. Licensee MDPI, Basel, Switzerland. This article is an open access article distributed under the terms and conditions of the Creative Commons Attribution license ( http://creativecommons.org/licenses/by/4.0/).