Chemotaxonomic Metabolite Profiling of 62 Indigenous Plant Species and Its Correlation with Bioactivities
Abstract
:1. Introduction
2. Results and Discussion
2.1. Chemotaxonomic Metabolite Profiling of 62 Indigenous Korean Plant Species

| No. | Putative Identification a | RT b (min) | UHPLC-LTQXL-IT-MS/MS | p-Value | Id g | ||||
|---|---|---|---|---|---|---|---|---|---|
| m/z Posi c | m/z Nega d | M.W. e | MSn Fragment Pattern f | UV (nm) | |||||
| 1 | Quinic acid | 1.02 | - | 191 | 192 | 173 | 214, 279 | 9.00E-04 | Ref. [33] |
| 2 | Gallic acid | 1.37 | - | 169 | 170 | - | 226, 272 | 3.00E-04 | STD |
| 3 | 6-Hydroxykaempferol-O-galloylhexoside | 7.09 | 617 | 615 | 616 | 463 > 301 | 221, 265, 352 | 2.00E-04 | Ref. [32] |
| 4 | Quercetin-3-O-arabinoside | 7.89 | 435 | 433 | 434 | 301 | 239, 368 | 8.00E-06 | Ref. [35] |
| 5 | Quercetin-3-O-rhamnoside | 8.08 | 449 | 447 | 448 | 301 > 151 | 232, 277 | 4.00E-06 | Ref. [35] |
| 6 | Dicaffeoylquinic acid | 8.28 | 517 | 515 | 516 | 353 > 191 | 214, 322 | 4.90E-03 | Ref. [33] |
| 7 | Kaempferol-3-O-rhamnoside | 8.61 | 433 | 431 | 432 | 285 | 228, 280 | 3.40E-03 | Ref. [35] |
| 8 | Kaempferol derivatives | 8.63 | 479 | 477 | 478 | 431 > 285 | 271, 281 | 4.60E-03 | Ref. [35] |
| 9 | Catechin | 8.72 | 291 | 289 | 290 | 245 | 213, 303 | 2.90E-03 | Ref. [36] |
| 10 | Isorhamnetin | 8.74 | 317 | 315 | 316 | 300 | 366 | 4.00E-04 | Ref. [32] |
| 11 | Digalloyl-hexoside | 8.8 | 485 | 483 | 484 | 169 | 276 | 2.29E-02 | Ref. [34] |
| 12 | N.I. 1 | 8.96 | 601 | 599 | 600 | 301 > 151 | 214, 268 | 1.60E-03 | |
| 13 | Kaempferol-7-O-rutinoside | 9.34 | 595 | 593 | 594 | 447 > 285 | 276 | 2.00E-09 | Ref. [33] |
| 14 | Quercetin | 9.69 | 303 | 301 | 302 | 151 | 214, 274 | 7.00E-04 | STD |
| 15 | Genistein | 10.47 | 271 | 269 | 270 | 253, 243, 215, 153 | 285, 318 | 3.70E-03 | STD |
| 16 | Patuletin | 10.59 | 333 | 331 | 332 | 287 | 269, 316 | 8.40E-03 | Ref. [32] |
| 17 | Kaempferol | 10.63 | 287 | 285 | 286 | - | 279 | 4.21E-02 | STD |
| 18 | N.I. 2 | 10.77 | 229 | 227 | 228 | 165 > 111 | 202, 280 | 7.00E-04 | |
| 19 | N.I. 3 | 10.88 | 329 | 327 | 328 | 197, 291 | 202, 279 | 3.00E-04 | |
| 20 | N.I. 4 | 11.95 | 309 | 307 | 308 | 289 > 271 | 206, 282, 314 | 1.57E-02 | |
| 21 | N.I. 5 | 12.97 | 313 | 311 | 312 | 293 > 275 | 218, 366 | 1.35E-02 | |
| 22 | N.I. 6 | 13.78 | 315 | 313 | 314 | 201 | 221, 279 | 5.00E-04 | |
| 23 | N.I. 7 | 14.53 | 529 | 527 | 528 | 277 > 233 | 226, 280 | 7.00E-04 | |
| 24 | N.I. 8 | 14.57 | 295 | 293 | 294 | 275, 195 | 226, 280 | 3.80E-03 | |


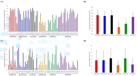
2.2. Bioactivities of 62 Indigenous Korean Plant Species
2.3. Correlation of Metabolic Differences and Bioactivities in Plant Families

| No. | Putative Identification a | RT b (min) | UHPLC-LTQXL-IT-MS/MS | p-Value | Id g | ||||
|---|---|---|---|---|---|---|---|---|---|
| m/z Posi c | m/z Nega d | M.W. e | MSn Fragment Patterns f | UV (nm) | |||||
| 1 | Quinic acid | 1.02 | - | 191 | 192 | 173 | 214, 279 | 4.00E-04 | Ref. [33] |
| 3 | 6-Hydroxykaempferol-O-galloylhexoside | 7.09 | 617 | 615 | 616 | 463 > 301 | 221, 265, 352 | 2.89E-02 | Ref. [32] |
| 4 | Quercetin-3-O-arabinoside | 7.89 | 435 | 433 | 434 | 301 | 239, 368 | 2.53E-02 | Ref. [35] |
| 5 | Quercetin-3-O-rhamnoside | 8.08 | 449 | 447 | 448 | 301 > 151 | 232, 277 | 4.70E-03 | Ref. [35] |
| 6 | Dicaffeoylquinic acid | 8.28 | 517 | 515 | 516 | 353 > 191 | 214, 322 | 4.76E-02 | Ref. [33] |
| 7 | Kaempferol-3-O-rhamnoside | 8.61 | 433 | 431 | 432 | 285 | 228, 280 | 3.95E-02 | Ref. [35] |
| 8 | Kaempferol derivative | 8.63 | 479 | 477 | 478 | 431 > 285 | 271, 281 | 3.63E-02 | Ref. [35] |
| 13 | Kaempferol-7-O-rutinoside | 9.34 | 595 | 593 | 594 | 447 > 285 | 276 | 9.00E-04 | Ref. [33] |
| 14 | Quercetin | 9.69 | 303 | 301 | 302 | 151 | 214, 274 | 9.00E-04 | STD |
| 17 | Kaempferol | 10.63 | 287 | 285 | 286 | 279 | 1.97E-02 | STD | |
| 20 | N.I. 4 | 11.96 | 309 | 307 | 308 | 289 > 235 | 214, 279 | 1.95E-02 | |
| 25 | Quercetin-O-pentoside | 7.83 | 435 | 433 | 434 | 301 | 217, 268 | 3.50E-03 | Ref. [32] |
| 26 | Apigenin | 10.47 | 271 | 269 | 270 | 269, 151 | 285, 318 | 4.01E-02 | STD |
| 27 | N.I. 9 | 10.74 | 661 | 659 | 660 | 202, 280 | 3.20E-03 | ||

3. Experimental Section
3.1. Chemicals and Reagents
3.2. Plant Materials
3.3. Sample Preparation
3.4. UHPLC-LTQ-XL-IT-MS/MS Analysis
| No. | Family | Genus | Species | Collection Area | Collection Date |
|---|---|---|---|---|---|
| 1 | Aceraceae | Acer | triflorum | Sangjung-ri, Geumgwang-myeon, Anseong-si, Gyeonggi-do | 2014-07-25 |
| 2 | Aceraceae | Acer | pictum | Sangjung-ri, Geumgwang-myeon, Anseong-si, Gyeonggi-do | 2014-07-25 |
| 3 | Aceraceae | Acer | buergerianum | Janghyeon-ri, Cheongna-myeon, Boryeong-si, Chungcheongnam-do | 2014-08-07 |
| 4 | Aceraceae | Acer | komarovii | Gohan-ri, Gohan-eup, Jeongseon-gun, Gangwon-do | 2014-08-30 |
| 5 | Aceraceae | Acer | tataricum | Gurae-ri, Sangdong-eup, Yeongwol-gun, Gangwon-do | 2014-08-30 |
| 6 | Aceraceae | Acer | pseudosieboldianum | Gohan-ri, Gohan-eup, Jeongseon-gun, Gangwon-do | 2014-08-30 |
| 7 | Aceraceae | Acer | pictum | Jeodong-ri, Ulleung-eup, Ulleung-gun, Gyeongsangbuk-do | 2014-07-16 |
| 8 | Aceraceae | Acer | palmatum | Mamyeong-ri, Naechon-myeon, Pocheon-si, Gyeonggi-do | 2014-08-08 |
| 9 | Asteraceae | Artemisia | capillaris | Nadae-ri, Yaro-myeon, Hapcheon-gun, Gyeongsangnam-do | 2014-08-21 |
| 10 | Asteraceae | Aster | pinnatifidus | Geogi-ri, Jusang-myeon, Geochang-gun, Gyeongsangnam-do | 2014-08-22 |
| 11 | Asteraceae | Bidens | bipinnata | Dongmak-ri, Yeoncheon-eup, Yeoncheon-gun, Gyeonggi-do | 2014-08-19 |
| 12 | Asteraceae | Conyza | canadensis | Sangdodae-ri, Sangchon-myeon, Yeongdong-gun, Chungcheongbuk-do | 2014-08-14 |
| 13 | Asteraceae | Erigeron | annuus | Dongmak-ri, Yeoncheon-eup, Yeoncheon-gun, Gyeonggi-do | 2014-08-05 |
| 14 | Asteraceae | Helianthus | tuberosus | Jiro-ri, Byeongyeong-myeon, Gangjin-gun, Jeollanam-do | 2014-08-12 |
| 15 | Asteraceae | Lactuca | indica | Gomo-ri, Soheul-eup, Pocheon-si, Gyeonggi-do | 2014-08-24 |
| 16 | Asteraceae | Saussurea | pulchella | Gohan-ri, Gohan-eup, Jeongseon-gun, Gangwon-do | 2014-08-30 |
| 17 | Asteraceae | Sigesbeckia | pubescens | Gurae-ri, Sangdong-eup, Yeongwol-gun, Gangwon-do | 2014-08-30 |
| 18 | Fabaceae | Albizia | julibrissin | Daechi-ri, Daechi-myeon, Cheongyang-gun, Chungcheongnam-do | 2014-08-06 |
| 19 | Fabaceae | Desmodium | caudatum | Seonheul-ri, Jocheon-eup, Jeju-si, Jeju special self-governing province | 2014-08-24 |
| 20 | Fabaceae | Lespedeza | bicolor | Sin-ri, Goryeong-eup, Goryeong-gun, Gyeongsangbuk-do | 2014-07-23 |
| 21 | Fabaceae | Lespedeza | cuneata | Geogi-ri, Jusang-myeon, Geochang-gun, Gyeongsangnam-do | 2014-08-22 |
| 22 | Fabaceae | Lespedeza | maximowiczii | Gohan-ri, Gohan-eup, Jeongseon-gun, Gangwon-do | 2014-08-30 |
| 23 | Fabaceae | Pueraria | lobata | Mamyeong-ri, Naechon-myeon, Pocheon-si, Gyeonggi-do | 2014-08-04 |
| 24 | Fabaceae | Robinia | pseudoacacia | Sin-ri, Goryeong-eup, Goryeong-gun, Gyeongsangbuk-do | 2014-10-23 |
| 25 | Fabaceae | Sophora | flavescens | Hanggok-ri, Gunbuk-myeon, Okcheon-gun, Chungcheongbuk-do | 2014-08-18 |
| 26 | Fabaceae | Sophora | japonica | Geogi-ri, Jusang-myeon, Geochang-gun, Gyeongsangnam-do | 2014-08-22 |
| 27 | Fagaceae | Castanea | crenata | Hasong-ri, Hwaseo-myeon, Sangju-si, Gyeongsangbuk-do | 2014-07-27 |
| 28 | Fagaceae | Castanopsis | sieboldii | Hannam-ri, Namwon-eup, Seogwipo-si, Jeju special self-governing province | 2014-08-25 |
| 29 | Fagaceae | Fagus | engleriana | Sadong-ri, Ulleung-eup, Ulleung-gun, Gyeongsangbuk-do | 2014-07-16 |
| 30 | Fagaceae | Quercus | mongolica | Hasong-ri, Hwaseo-myeon, Sangju-si, Gyeongsangbuk-do | 2014-07-27 |
| 31 | Fagaceae | Quercus | variabilis | Daechi-ri, Daechi-myeon, Cheongyang-gun, Chungcheongnam-do | 2014-08-06 |
| 32 | Fagaceae | Quercus | acuta | Hannam-ri, Namwon-eup, Seogwipo-si, Jeju special self-governing province | 2014-08-25 |
| 33 | Fagaceae | Quercus | aliena | Daechi-ri, Daechi-myeon, Cheongyang-gun, Chungcheongnam-do | 2014-09-19 |
| 34 | Fagaceae | Quercus | serrata | Mamyeong-ri, Naechon-myeon, Pocheon-si, Gyeonggi-do | 2014-08-05 |
| 35 | Betulaceae | Alnus | firma | Sin-ri, Goryeong-eup, Goryeong-gun, Gyeongsangbuk-do | 2014-07-23 |
| 36 | Betulaceae | Alnus | hirsuta | Sangjung-ri, Geumgwang-myeon, Anseong-si, Gyeonggi-do | 2014-07-25 |
| 37 | Betulaceae | Alnus | japonica | Yonggi-ri, Gibuk-myeon, Buk-gu, Pohang-si, Gyeongsangbuk-do | 2014-07-30 |
| 38 | Betulaceae | Betula | schmidtii | Icheon-ri, Sangbuk-myeon, Ulju-gun, Ulsan | 2014-08-01 |
| 39 | Betulaceae | Betula | dahurica | Ungyo-ri, Bangnim-myeon, Pyeongchang-gun, Gangwon-do | 2014-08-08 |
| 40 | Betulaceae | Betula | pendula | Sogye-ri, Hwanggan-myeon, Yeongdong-gun, Chungcheongbuk-do | 2014-08-14 |
| 41 | Betulaceae | Carpinus | cordata | Apgok-ri, Bongsan-myeon, Hapcheon-gun, Gyeongsangnam-do | 2014-07-24 |
| 42 | Betulaceae | Carpinus | turczaninowii | Jiro-ri, Byeongyeong-myeon, Gangjin-gun, Jeollanam-do | 2014-08-12 |
| 43 | Betulaceae | Carpinus | laxiflora | Seonheul-ri, Jocheon-eup, Jeju-si, Jeju special self-governing province | 2014-08-24 |
| 44 | Betulaceae | Corylus | heterophylla | Apgok-ri, Bongsan-myeon, Hapcheon-gun, Gyeongsangnam-do | 2014-07-24 |
| 45 | Rosaceae | Chaenomeles | sinensis | Ojeong-dong, Daedeok-gu, Daejeon | 2014-08-10 |
| 46 | Rosaceae | Crataegus | pinnatifida | Gurae-ri, Sangdong-eup, Yeongwol-gun, Gangwon-do | 2014-08-30 |
| 47 | Rosaceae | Eriobotrya | japonica | Jiro-ri, Byeongyeong-myeon, Gangjin-gun, Jeollanam-do | 2014-08-13 |
| 48 | Rosaceae | Pourthiaea | villosa | Seonheul-ri, Jocheon-eup, Jeju-si, Jeju special self-governing province | 2014-08-24 |
| 49 | Rosaceae | Prunus | armeniaca | Ojeong-dong, Daedeok-gu, Daejeon | 2014-07-20 |
| 50 | Rosaceae | Prunus | yedoensis | Janghyeon-ri, Cheongna-myeon, Boryeong-si, Chungcheongnam-do | 2014-08-07 |
| 51 | Rosaceae | Prunus | maackii | Gurae-ri, Sangdong-eup, Yeongwol-gun, Gangwon-do | 2014-08-30 |
| 52 | Rosaceae | Prunus | padus | Gohan-ri, Gohan-eup, Jeongseon-gun, Gangwon-do | 2014-05-22 |
| 53 | Rosaceae | Prunus | sp. | Gomo-ri, Soheul-eup, Pocheon-si, Gyeonggi-do | 2014-08-08 |
| 54 | Rosaceae | Pyrus | ussuriensis | Icheon-ri, Sangbuk-myeon, Ulju-gun, Ulsan | 2014-08-01 |
| 55 | Rosaceae | Rosa | multiflora | Nadae-ri, Yaro-myeon, Hapcheon-gun, Gyeongsangnam-do | 2014-08-21 |
| 56 | Rosaceae | Rubus | coreanus | Sogye-ri, Hwanggan-myeon, Yeongdong-gun, Chungcheongbuk-do | 2014-08-14 |
| 57 | Rosaceae | Rubus | crataegifolius | Nadae-ri, Yaro-myeon, Hapcheon-gun, Gyeongsangnam-do | 2014-08-21 |
| 58 | Rosaceae | Rubus | phoenicolasius | Nadae-ri, Yaro-myeon, Hapcheon-gun, Gyeongsangnam-do | 2014-08-21 |
| 59 | Rosaceae | Sanguisorba | officinalis | Nadae-ri, Yaro-myeon, Hapcheon-gun, Gyeongsangnam-do | 2014-08-21 |
| 60 | Rosaceae | Sorbus | commixta | Jeodong-ri, Ulleung-eup, Ulleung-gun, Gyeongsangbuk-do | 2014-07-16 |
| 61 | Rosaceae | Spiraea | prunifolia | Ungyo-ri, Bangnim-myeon, Pyeongchang-gun, Gangwon-do | 2014-08-08 |
| 62 | Rosaceae | Spiraea | salicifolia | Ungyo-ri, Bangnim-myeon, Pyeongchang-gun, Gangwon-do | 2014-08-08 |
3.5. Data Processing and Statistical Analysis
3.6. Bioactivity Assays
4. Conclusions
Supplementary Materials
Acknowledgments
Author Contributions
Conflicts of Interest
References
- Box, E.O.; Fujiwara, K. A comparative look at bioclimatic zonation, vegetation types, tree taxa and species richness in Northeast Asia. Bot. Pac. 2012, 1, 5–20. [Google Scholar] [CrossRef] [Green Version]
- Qian, H. A comparison of the taxonomic richness of temperate plants in East Asia and North America. Am. J. Bot. 2002, 89, 1818–1825. [Google Scholar] [CrossRef] [PubMed]
- Piccaglia, R.; Marotti, M.; Chiavari, G.; Gandini, N. Effects of harvesting date and climate on the flavonoid and carotenoid contetns of marigold (Calendula officinlis L.). Flavour Frag J. 1997, 12, 85–90. [Google Scholar] [CrossRef]
- Baghalian, K.; Haghiry, A.; Naghavi, M.R.; Mohammadi, A. Effect of saline irrigation water on agronomical and phytochemical characters of chamomile (Matricaria recutita L.). Sci. Hort. 2008, 116, 437–434. [Google Scholar] [CrossRef]
- Schonhof, I.; Klaring, H.-P.; Krumbein, A.; Clauben, W.; Schreiner, M. Effect of temperature increase under low radiation conditions on phytochemicals and ascorbic acid in greenhouse grown broccoli. Agric. Ecosyst. Environ. 2007, 119, 103–111. [Google Scholar] [CrossRef]
- Woo, J.H.; Jeong, H.S.; Yu, J.S.; Chang, Y.D.; Lee, C.H. Antioxidant effect of extract obtained from four Aster species native to Korea. Korean J. Plant Res. 2008, 21, 52–59. [Google Scholar]
- Rim, Y.S.; Park, Y.M.; Park, M.S.; Kim, K.Y.; Kim, M.J.; Choi, Y.H. Screening of antioxidants and antimicrobial activity in native plants. Korean J. Med. Crop Sci. 2010, 8, 342–350. [Google Scholar]
- Moon, J.Y.; Yim, E.Y.; Song, G.; Lee, N.H.; Hyun, C.G. Screening of elastase and tyrosinase inhibitory activity from Jeju Island plants. EurAsian J. BioSci. 2010, 4, 41–53. [Google Scholar] [CrossRef]
- Park, K.Y.; Jeong, J.K.; Lee, Y.E.; Daily James, W., III. Health benefits of Kimchi (Korean fermented vegetables) as a probiotic food. J. Med. Food 2014, 17, 6–20. [Google Scholar] [CrossRef] [PubMed]
- Oh, M.H.; Houghton, P.J.; Whang, W.K.; Cho, J.H. Screening of Korean herbal medicines used to improve cognitive function for anti-cholinesterase activity. Phytomedicine 2004, 11, 544–548. [Google Scholar] [CrossRef] [PubMed]
- Choi, C.W.; Kim, S.C.; Hwang, S.S.; Choi, B.K.; Ahn, H.J.; Lee, M.Y.; Park, S.H.; Kim, S.K. Antioxidant activity and free radical scavenging capacity between Korean medicinal plants and flavonoids by assay-guided comparison. Plant Sci. 2002, 163, 1161–1168. [Google Scholar] [CrossRef]
- Lee, J.Y.; Hwang, W.I.; Lim, S.T. Antioxidant and anticancer activities of organic extracts from Platycodon grandiflorum A. De Candolle roots. J. Ethnopharmacol 2004, 93, 409–415. [Google Scholar] [CrossRef] [PubMed]
- Lee, K.T.; Kim, B.J.; Kim, J.H. Biological screening of 100 plant extracts for cosmetic use (I): Inhibitory activities of tyrosinase and DOPA auto-oxidation. Int. J. Cosmet. Sci. 1997, 19, 291–298. [Google Scholar] [CrossRef] [PubMed]
- Viscosi, V.; Cardini, A. Leaf morphology, taxonomy and geometric morphometrics: A simplified protocol for beginners. PLoS ONE 2011, 6, e25630. [Google Scholar] [CrossRef] [PubMed]
- Dunlop, P.J.; Bignell, C.M.; Brooker, M.I.H.; Brophy, J.J.; Hibbert, D.B. Use of gas chromatograms of essential leaf oils to compare eight taxa of genus Angophora (Myrtaceae): Possible relationships to the genus Eucalyptus. Biochem. Soc. Ecol. 1999, 27, 815–830. [Google Scholar] [CrossRef]
- Riviere, C.; Pawlus, A.D.; Merillon, J.M. Natural stilbenoids: distribution in the plant kingdom and chemotaxonomic interest in Vitaceae. Nat. Prod. Rep. 2012, 29, 1317–1333. [Google Scholar] [CrossRef] [PubMed]
- Kim, Y.M.; Lee, J.; Park, S.H.; Lee, C.; Lee, J.W.; Lee, D.; Kim, N.; Lee, D.; Kim, H.Y.; Lee, C.H. LC-MS-based chemotaxonomic classification of wild-type Lespedeza sp. and its correlation with genotype. Plant Cell Rep. 2012, 31, 2085–2097. [Google Scholar] [CrossRef] [PubMed]
- Oms-Oliu, G.; Odriozola-Serrano, I.; Martin-Belloso, O. Metabolomics for assessing safety and quality of plant-derived food. Food Res. Int. 2013, 54, 1172–1183. [Google Scholar] [CrossRef]
- Tweeddale, H.; Notley-McRobb, L.; Ferenci, T. Effect of slow growth on metabolism of Escherichia coli, as revealed by global metabolite pool (“Metabolome”) analysis. J. Bacteriol. 1998, 180, 5109–5116. [Google Scholar] [PubMed]
- Jansson, J.; Willing, B.; Lucio, M.; Fekete, A.; Dicksved, J.; Halfvarson, J.; Tysk, C.; Schmitt-Kopplin, P. Metabolomics reveals metabolic biomarkers of Crohn’s disease. PLoS ONE 2009, 4, e6386. [Google Scholar] [CrossRef] [PubMed]
- Lisec, J.; Schauer, N.; Kopka, J.; Willmitzer, L.; Fernie, A.R. Gas chromatography mass spectrometry-based metabolites profiling in plants. Nat. Protoc. 2006, 1, 387–396. [Google Scholar] [CrossRef] [PubMed]
- Shyur, L.F.; Yang, N.S. Metabolomics for phytomedicine research and drug development. Curr. Opin. Chem. Biol. 2008, 12, 66–71. [Google Scholar] [CrossRef] [PubMed]
- Tarpley, L.; Duran, A.L.; Kebrom, T.H.; Sumner, L.W. Biomarker metabolites capturing the metabolite variance present in a rice plant developmental period. BMC Plant Biol. 2005, 5. [Google Scholar] [CrossRef] [PubMed]
- Fischedick, J.T.; Hazekamp, A.; Erkelens, T.; Choi, Y.H.; Verpoorte, R. Metabolic fingerprinting of Cannabis sativa L., cannabinoids and terpenoids for chemotaxonomic and drug standardization purpose. Phytochemistry 2010, 71, 2058–2073. [Google Scholar] [CrossRef] [PubMed]
- Xie, G.X.; Ni, Y.; Su, M.M.; Zhang, Y.Y.; Zhao, A.H.; Gao, X.F.; Liu, Z.; Xiao, P.G.; Jia, W. Application of ultra-performance LC-TOF MS metabolite profiling techniques to the analysis of medicinal Panax herb. Metabolomics 2008, 4, 248–260. [Google Scholar] [CrossRef]
- Lu, X.; Zhao, X.; Bai, C.; Zhao, C.; Lu, G.; Xu, G. LC-MS-based metabonomics analysis. J. Chromatogr. B 2008, 866, 64–76. [Google Scholar] [CrossRef] [PubMed]
- Lai, J.P.; Lim, Y.H.; Su, J.; Shen, H.M.; Ong, C.N. Identification and characterization of major flavonoids and caffeoylquinic acids in three Compositae plants by LC/DAD-APCI-MS. J. Chromatogr. B 2007, 848, 215–225. [Google Scholar] [CrossRef] [PubMed]
- Sun, Y.; Li, W.; Fitzloff, J.F.; Breemen, R.B. Liquid chromatography/electrospray tandem mass spectrometry of terpenoid lactones in Gingko biloba. J. Mass Spectrom. 2004, 40, 373–379. [Google Scholar] [CrossRef] [PubMed]
- Lee, S.; Do, S.G.; Kim, S.Y.; Kim, J.; Jin, Y.; Lee, C.H. Mass spectrometry-based metabolite profiling and antioxidant activity of aloe vera (Aloe barbadensis Miller) in different growth stages. J. Agric. Food Chem. 2012, 60, 11222–11228. [Google Scholar] [CrossRef] [PubMed]
- Fawole, O.A.; Makunga, N.P.; Opara, U.L. Antibacterial, antioxidant and tyrosinase-inhibition activities of pomegranate fruit peel methanolic extract. BMC Complement. Altern. Med. 2012, 12. [Google Scholar] [CrossRef] [PubMed]
- Lee, J.; Jung, Y.; Shin, J.H.; Kim, H.K.; Moon, B.C.; Ryu, D.H.; Hwang, G.S. Secondary metabolite profiling of Curcuma species grown at different locations using GC/TOF and UPLC/Q-TOF MS. Molecules 2014, 19, 9535–9551. [Google Scholar] [CrossRef] [PubMed]
- Parejo, I.; Jauregui, O.; Viladomat, F.; Bastida, J.; Codina, C. Characterization of acylated flavonoids-O-glycosides and methoxylated flavonoids from Tagetes maxima by liquid chromatography coupled to electrospray ionization tandem mass spectrometry. Rapid Commun. Mass Spectrom. 2004, 18, 2801–2810. [Google Scholar] [CrossRef] [PubMed]
- Carazzone, C.; Mascherpa, D.; Gazzani, G.; Papetti, A. Identification of phenolic constituents in red chicory salads (Cichorium intybus) by high-performance liquid chromatography with diode array detection and electrospray ionization tandem mass spectrometry. Food Chem. 2013, 138, 1062–1071. [Google Scholar] [CrossRef] [PubMed]
- Brossa, R.; Casals, I.; Pinto-Marijuan, M.; Fleck, I. Leaf flavonoid contents in Quercus ilex L. resprouts and its seasonal variation. Trees 2009, 23, 401–408. [Google Scholar] [CrossRef]
- Yonekura-Sakakibara, K.; Tohge, T.; Matsuda, F.; Nakabayashi, R.; Takayama, H.; Niida, R.; Watanabe-Takahashi, A.; Inoue, E.; Saito, K. Comprehensive flavonol profiling and transcriptome coexpression analysis leading to decoding gene-metabolite correlations in Arabidopsis. Plant Cell 2008, 20, 2160–2176. [Google Scholar] [CrossRef] [PubMed]
- Bystrom, L.M.; Lewis, B.A.; Brown, D.L.; Rodriguez, E.; Obendorf, R.L. Characterisation of phenolics by LC-UV-Vis, LC-MS/MS and sugars by GC in Melicoccus bijugatus Jacq. “Montgomery” fruits. Food Chem. 2008, 111, 1017–1024. [Google Scholar] [CrossRef] [PubMed]
- Iwashina, T. The structure and distribution of the flavonoids in plants. J. Plant Res. 2000, 113, 287–299. [Google Scholar] [CrossRef]
- Carvalho, I.S.; Cavaco, T.; Brodelius, M. Phenolic composition and antioxidant capacity of six Artemisia species. Ind. Crop Prod. 2011, 33, 382–388. [Google Scholar] [CrossRef]
- Hanganu, D.; Vlase, L.; Olah, N. LC/MS analysis of isoflavones from Fabaceae species extracts. Farmacia 2010, 58, 177–183. [Google Scholar]
- Germano, M.P.; Cacciola, F.; Donato, P.; Dugo, P.; Certo, G.; D’Angelo, V.; Mondello, L.; Rapisarda, A. Betula pendula leaves: Polyphenolic characterization and potential innovative use in skin whitening products. Fitoterapia 2012, 83, 877–882. [Google Scholar] [CrossRef] [PubMed]
- Kaur, G.; Athar, M.; Alam, M.S. Quercus infectoria galls possess antioxidant activity and abrogates oxidative stress-induced functional alterations in murine macrophages. Chem. Biol. Interact. 2008, 171, 272–282. [Google Scholar] [CrossRef] [PubMed]
- Karioti, A.; Sokovic, M.; Ciric, A.; Koukoulitsa, C.; Bilia, A.R.; Skaltsa, H. Antimicrobial properties of Quercus ilex L. proanthocyanidin dimers and simple phenolics: Evaluation of their synergistic activity with conventional antimicrobials and prediction of their pharmacokinetic profile. J. Agric. Food Chem. 2011, 59, 6412–6422. [Google Scholar] [CrossRef] [PubMed]
- Abou-Zaid, M.M.; Nozzolillo, C.; Tonon, A.; Coppens, M.; Lombardo, D.A. High-performance liquid chromatography characterization and identification of antioxidant polyphenols in maple syrup. Pharm. Biol. 2008, 46, 117–125. [Google Scholar] [CrossRef]
- Khennouf, S.; Amira, S.; Arrar, L.; Baghiani, A. Effect of some phenolic compounds and Quercus tannins on lipid peroxidation. World Appl. Sci. 2010, 8, 1144–1149. [Google Scholar]
- Iwai, K.; Kishimoto, N.; Kakino, Y.; Mochida, K.; Fujita, T. In vitro antioxidative effects and tyrosinase inhibitory activities of seven hydroxycinnamoyl derivatives in green coffee beans. J. Agric. Food Chem. 2004, 52, 4893–4898. [Google Scholar] [CrossRef] [PubMed]
- Burda, S.; Oleszek, W. Antioxidant and antiradical activities of flavonoids. J. Agric. Food Chem. 2001, 49, 2774–2779. [Google Scholar] [CrossRef] [PubMed]
- Surveswaran, S.; Cai, Y.Z.; Xing, J.; Corke, H.; Sum, M. Antioxidant properties and principal phenolic phytochemicals of Indian medicinal plants from Asclepiadoideae and periplocoideae. Nat. Prod. Res. 2010, 24, 206–221. [Google Scholar] [CrossRef] [PubMed]
- MetAlign. Available online: http://www.metalign.nl (accessed on 28 October 2015).
- Lee, S.; Jung, E.S.; Do, S.G.; Jung, G.Y.; Song, G.; Song, J.M.; Lee, C.H. Correlation between species-specific metabolite profiles and bioactivities of blueberries (Vaccinium spp.). J. Agric. Food Chem. 2014, 62, 2126–2133. [Google Scholar] [CrossRef] [PubMed]
- Kim, A.J.; Choi, J.N.; Kim, J.; Yeo, S.H.; Choi, J.H.; Lee, C.H. Metabolomics-based optimal koji fermentation for tyrosinase inhibition supplemented with Astragalus Radix. Biosci. Biotechnol. Biochem. 2012, 76, 863–869. [Google Scholar] [CrossRef] [PubMed]
- Sample Availability: Samples are available from the authors.
© 2015 by the authors. Licensee MDPI, Basel, Switzerland. This article is an open access article distributed under the terms and conditions of the Creative Commons by Attribution (CC-BY) license ( http://creativecommons.org/licenses/by/4.0/).
Share and Cite
Lee, S.; Oh, D.-G.; Lee, S.; Kim, G.R.; Lee, J.S.; Son, Y.K.; Bae, C.-H.; Yeo, J.; Lee, C.H. Chemotaxonomic Metabolite Profiling of 62 Indigenous Plant Species and Its Correlation with Bioactivities. Molecules 2015, 20, 19719-19734. https://doi.org/10.3390/molecules201119652
Lee S, Oh D-G, Lee S, Kim GR, Lee JS, Son YK, Bae C-H, Yeo J, Lee CH. Chemotaxonomic Metabolite Profiling of 62 Indigenous Plant Species and Its Correlation with Bioactivities. Molecules. 2015; 20(11):19719-19734. https://doi.org/10.3390/molecules201119652
Chicago/Turabian StyleLee, Sarah, Dong-Gu Oh, Sunmin Lee, Ga Ryun Kim, Jong Seok Lee, Youn Kyoung Son, Chang-Hwan Bae, Joohong Yeo, and Choong Hwan Lee. 2015. "Chemotaxonomic Metabolite Profiling of 62 Indigenous Plant Species and Its Correlation with Bioactivities" Molecules 20, no. 11: 19719-19734. https://doi.org/10.3390/molecules201119652
APA StyleLee, S., Oh, D.-G., Lee, S., Kim, G. R., Lee, J. S., Son, Y. K., Bae, C.-H., Yeo, J., & Lee, C. H. (2015). Chemotaxonomic Metabolite Profiling of 62 Indigenous Plant Species and Its Correlation with Bioactivities. Molecules, 20(11), 19719-19734. https://doi.org/10.3390/molecules201119652
