3β-O-Tigloylmelianol from Guarea kunthiana: A New Potential Agent to Control Rhipicephalus (Boophilus) microplus, a Cattle Tick of Veterinary Significance
Abstract
:1. Introduction
2. Results and Discussion
| Extract/Phases | Concentration (%) | ||||||||
|---|---|---|---|---|---|---|---|---|---|
| 0.20 | 0.10 | 0.05 | |||||||
| PEC | HP | PE | PEC | HP | PE | PEC | HP | PE | |
| EtOH | 2.6 ± 1.5 * | 8.9 ± 1.2 * | 99.5 ± 0.3 * | 18.7 ± 6.4 * | 23.3 ± 8.8 * | 90.2 ± 6.8 * | 33.2 ± 3.4 * | 16.2 ± 7.7 * | 89.0 ± 4.1 * |
| H2O | 55.7 ± 3.7 | 93.4 ± 2.8 | 1.5 ± 3.5 | 53.7 ± 6.7 | 97.8 ± 2.3 | 4.0 ± 1.1 | 54.8 ± 1.2 | 95.6 ± 0.1 | 0.6 ± 1.8 |
| Hexane | 0.0 ± 0.0 * | 0.0 ± 0.0 * | 100.0 ± 0.0* | 4.1 ± 7.1 * | 4.8 ± 8.2 * | 98.8 ± 2.0 * | 5.6 ± 5.2 * | 9.7 ± 8.7 * | 98.3 ± 1.7 * |
| CH2Cl2 | 47.1 ± 4.6 | 91.4 ± 3.8 | 9.6 ± 3.3 | 48.6 ± 2.2 | 94.1 ± 6.3 | 2.5 ± 1.1 | 48.3 ± 2.2 | 98.3 ± 2.8 | 4.1 ± 1.9 |
| MeOH-H2O | 52.0 ± 2.2 | 92.7 ± 1.3 | 16.5 ± 4.1 | 48.9 ± 3.5 | 97.2 ± 2.5 | 17.6 ± 7.9 | 53.3 ± 1.0 | 96.9 ± 2.7 | 10.7 ± 1.0 |

| Fractions | Concentration (%) | ||||||||
|---|---|---|---|---|---|---|---|---|---|
| 0.1 | 0.05 | 0.025 | |||||||
| PEC | HP | PE | PEC | HP | PE | PEC | HP | PE | |
| A | 45.6 ± 3.4 | 90.3 ± 7.1 | 9.1 ± 4.0 | 44.4 ± 2.0 | 96.5 ± 3.0 | 5.8 ± 2.0 | 43.1 ± 2.6 | 99.2 ± 1.4 | 5.9 ± 1.9 |
| B | 40.8 ± 2.9 | 91.5 ± 3.5 | 25.8 ± 8.2 | 47.4 ± 3.1 | 92.5 ± 11.0 | 13.7 ± 2.1 | 44.8 ± 2.0 | 99.2 ± 1.4 | 1.5 ± 0.1 |
| C | 44.2 ± 1.4 | 93.8 ± 4.4 | 15.2 ± 6.4 | 45.0 ± 3.3 | 97.5 ± 2.5 | 10.2 ± 3.6 | 44.4 ± 2.4 | 99.2 ± 1.4 | 10.5 ± 6.0 |
| D | 0.3 ± 0.2 * | 17.0 ± 2.9 * | 98.9 ± 0.1 * | 4.8 ± 2.4 * | 19.8 ± 5.4 * | 97.7 ± 1.3 * | 10.3 ± 5.4 * | 20.8 ± 7.2 * | 95.9 ± 3.1 * |
| E | 0.1 ± 0.1 * | 21.6 ± 1.0 * | 99.9 ± 0.0 * | 2.6 ± 0.6 * | 20.6 ± 4.2 * | 98.9 ± 0.2 * | 4.5 ± 1.2 * | 10.9 ± 1.7 * | 99.0 ± 0.1 * |
| F | 45.9 ± 2.2 | 88.0 ± 7.5 | 11.7 ± 5.9 | 46.3 ± 4.2 | 96.6 ± 3.0 | 2.0 ± 2.1 | 46.7 ± 3.4 | 96.3 ± 3.4 | 1.4 ± 1.1 |
| G | 41.0 ± 2.5 | 93.3 ± 11.6 | 19.0 ± 3.6 | 47.5 ± 1.6 | 88.8 ± 6.2 | 11.0 ± 4.8 | 43.3 ± 1.1 | 98.3 ± 1.4 | 10.3 ± 0.9 |
| H | 46.3 ± 5.8 | 95.3 ± 4.3 | 11.6 ± 3.0 | 50.7 ± 6.7 | 86.1 ± 11.3 | 12.8 ± 1.5 | 48.1 ± 2.2 | 98.6 ± 2.5 | 5.0 ± 1.5 |

| Position | 1 | 4 | ||
|---|---|---|---|---|
| δC | δH, mult. (J in Hz) | δC | δH, mult. (J in Hz) | |
| 1 | 36.7 | 1.18–1.24, m | 36.8 | 1.17–1.26, m |
| 1.62–1.70, m | 1.59–1.69, m | |||
| 2 | 23.8 | 1.87–2.01, m | 23.8 | 1.91–2.01, m |
| 2.03–2.16, m | 2.05–2.17, m | |||
| 3 | 81.0 | 4.52, dd (10.9, 3.8) | 81.0 | 4.52, dd (10.8, 4.1) |
| 4 | 38.1 | 38.1 | ||
| 5 | 50.8 | 1.41, dd (11.7, 5.5) | 50.8/50.9 | 1.40, dd (11.5, 5.7) |
| 6 | 24.1 | 1.52, dd (11.7, 5.4) | 24.1 | 1.61–1.71, m |
| 1.67, td (11.7, 2.6) | ||||
| 7 | 117.9/118.0 | 5.23, brd (2.6) | 117.8/117.9 | 5.25, brd (4.6) |
| 8 | 145.5 | 145.5/145.6 | ||
| 9 | 48.7/49.6 | 2.22, t (7.6)/2.23, t (2.6) | 48.7/48.9 | 2.22, t (7.6)/2.23, t (7.6) |
| 10 | 34.9 | 34.9 | ||
| 11 | 17.5 | 1.48, dt (7.6, 2.5) | 17.5 | 1.44–1.54, m |
| 12 | 35.2 | 1.36, dt (10.6, 2.5) | 31.5 | 1.45–1.55, m |
| 2.04–2.16, m | 1.65, dt (12.2, 3.4) | |||
| 13 | 43.6/43.8 | 43.5/43.6 | ||
| 14 | 50.4 | 50.7/51.0 | ||
| 15 | 34.2 | 1.42–1.60, m | 34.2 | 1.41–1.57, m |
| 16 | 27.4 | 1.23–1.37, m | 27.2 | 1.80–1.90, m |
| 1.78–1.94, m | ||||
| 17 | 45.2/47.1 | 1.98-2.10, m/1.91-2.06, m | 45.2 | 1.96–2.03, m |
| 18 | 22.5/23.2 | 0.83, s | 23.2/22.4 | 0.81, s |
| 19 | 13.1 | 0.75, s | 13.1 | 0.75, s |
| 20 | 31.7/33.8 | 1.43–1.57, m | 46.4 | 1.88–1.98, m |
| 1.60–1.79, m | ||||
| 21 | 97.8/ 101.8 | 5.30, d (2.5)/5.34, d (2.6) | 96.8/102.2 | 5.23, brs/5.31, brs |
| 22 | 31.3/31.5 | 1.38–1.48, m | 30.3 | 1.84–1.91, m |
| 1.94–2.02, m | ||||
| 23 | 77.0/78.4 | 3.84, dt (9.5, 75)/ | 77.0/78.6 | 4.32–4.35, m/ |
| 3.90, ddd (10.6, 7.7, 5.1) | 4.49–4.54, m | |||
| 24 | 65.4/67.8 | 2.68, d (7.5)/2.83, d (7.5) | 75.0/75.8 | 3.11, brs/3.19, brs |
| 25 | 57.2/57.9 | 73.1/73.6 | ||
| 26 | 19.2/19.4 | 1.28, s | 26.7 | 1.22, s |
| 27 | 24.9/25.0 | 1.28, s | 26.7 | 1.25, s |
| 28 | 27.6 | 0.83, s | 27.6 | 0.83, s |
| 29 | 16.0 | 0.95, s | 16.0 | 0.95, s |
| 30 | 27.3 | 0.95, s | 27.3 | 0.96, s |
| 1' | 167.9 | 168.0 | ||
| 2' | 129.2 | 129.1 | ||
| 3' | 136.7 | 6.81, brq (7.1) | 136.7 | 6.82, qq (6.8,1.3) |
| 4' | 14.3 | 1.76, d (7.1) | 14.3 | 1.76, d (6.8) |
| 5' | 12.1 | 1.80, brs | 12.0 | 1.81, d (1.3) |

| Compound | Concentration (%) | ||||||||
|---|---|---|---|---|---|---|---|---|---|
| 0.01 | 0.005 | 0.0025 | |||||||
| PEC | HP | PE | PEC | HP | PE | PEC | HP | PE | |
| 1 | 4.4 ± 4.0 * | 6.1 ± 5.4 * | 99.2 ± 0.7 * | 24.4 ± 5.3 * | 8.1 ± 3.9 * | 96.1 ± 0.9 * | 27.2 ± 10.1 * | 18.7 ± 7.1 * | 88.4 ± 8.1 * |
| 3 | 42.7 ± 1.7 | 85.7 ± 16.5 | 29.7 ± 15.8 | 44.0 ± 1.6 | 92.6 ± 4.4 | 22.2 ± 2.0 | 48.8 ± 4.4 | 92.1 ± 3.1 | 14.0 ± 1.2 |
| Compound | Concentration (%) | ||||||||
|---|---|---|---|---|---|---|---|---|---|
| 0.015 | 0.0075 | 0.00375 | |||||||
| PEC | HP | PE | PEC | HP | PE | PEC | HP | PE | |
| 2 | 53.5 ± 3.7 | 95.5 ± 5.8 | 3.6 ± 1.4 | 51.4 ± 1.2 | 97.3 ± 1.8 | 5.5 ± 0.5 | 50.0 ± 1.5 | 100.0 ± 0.0 | 3.4 ± 2.9 |
| 4 | 52.5 ± 3.5 | 96.4 ± 3.2 | 12.5 ± 5.2 | 53.0 ± 1.7 | 97.7 ± 2.3 | 10.5 ± 1.1 | 55.0 ± 1.1 | 98.5 ± 2.6 | 6.3 ± 4.2 |
| 5 | 53.5 ± 4.4 | 95.7 ± 1.3 | 3.0 ± 0.1 | 52.4 ± 1.5 | 98.3 ± 2.9 | 2.4 ± 0.3 | 53.5 ± 1.0 | 98.4 ± 1.6 | 1.17 ± 0.4 |
| 6 | 53.8 ± 1.6 | 96.7 ± 1.7 | 1.8 ± 0.9 | 52.5 ± 1.3 | 99.5 ± 0.8 | 0.9 ± 0.1 | 53.2 ± 0.8 | 98.3 ± 2.9 | 0.97 ± 0.9 |

3. Experimental Section
3.1. General Procedures
3.2. Plant Material
3.3. Extraction
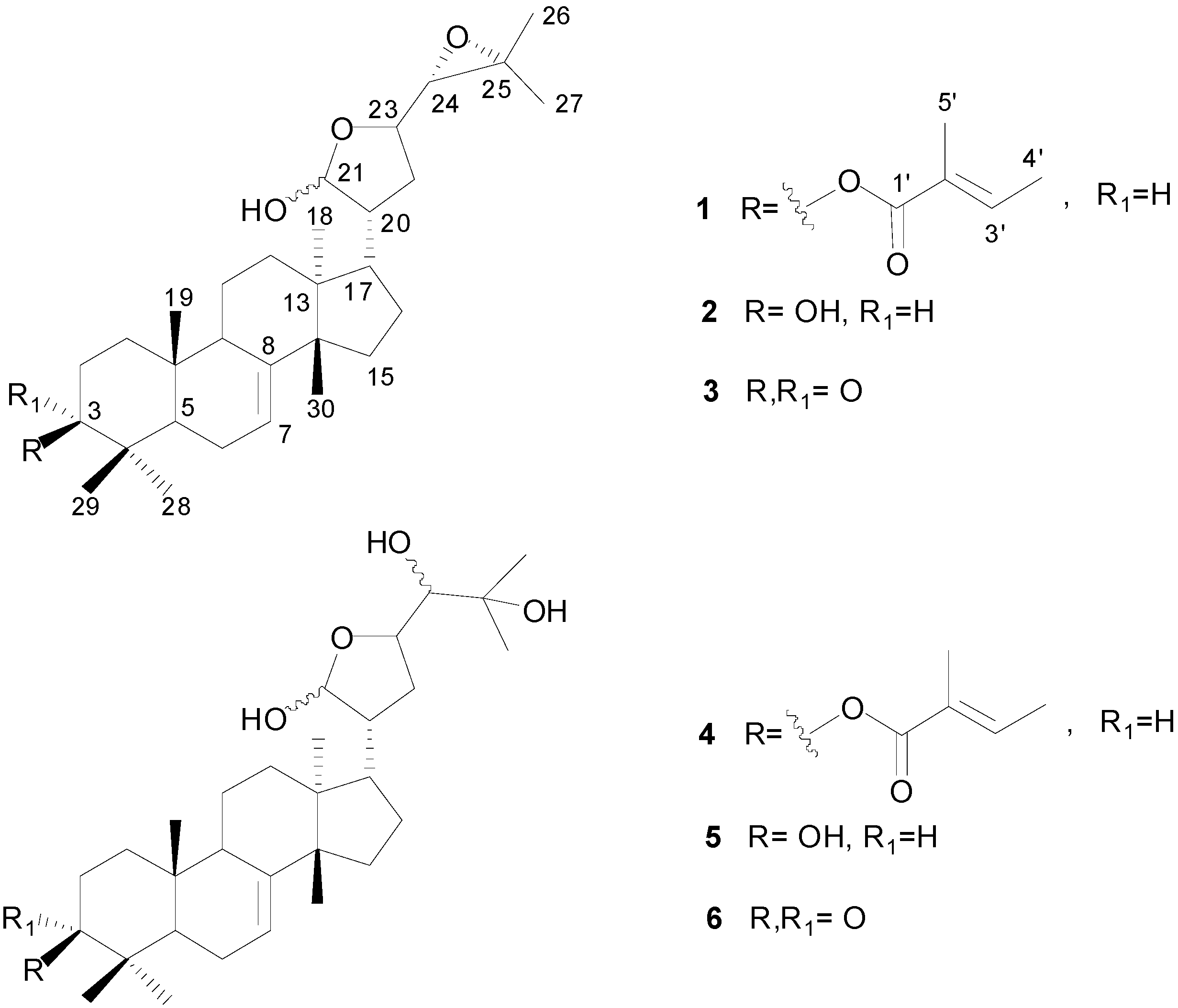
3.4. Bioassay-Guided Isolation of Active Protolimonoid 1 and Inactive Protolimonoids 2–6 and Limonoids 7–10 from Hexane and CH2Cl2 Phases
3.5. Preparation of Samples for the Adult Immersion Test
3.6. Preparation of Ticks
3.7. Adult Immersion Test
3.8. Statistical Analysis
4. Conclusions
Supplementary Materials
Acknowledgments
Author Contributions
Conflicts of Interest
References
- Guglielmone, A.A. Epidemiology of babesiosis and anaplasmosis in South and Central America. Vet. Parasitol. 1995, 57, 109–119. [Google Scholar]
- Giles, J.R.; Peterson, A.T.; Busch, J.D.; Olafson, P.U.; Scoles, G.A.; Davey, R.B.; Pound, J.M.; Kammlah, D.M.; Lohmeyer, K.H.; Wagner, D.M. Invasive potential of cattle fever ticks in the southern United States. Parasit. Vectors 2014, 7, 189–199. [Google Scholar] [CrossRef] [PubMed]
- Rodríguez-Vivas, R.I.; Perez-Cogollo, L.C.; Rosado-Aguilar, J.A.; Ojeda-Chi, M.M.; Trinidad-Martinez, I.; Miller, R.J.; Li, A.Y.; Leon, A.P.; Guerrero, F.; Klafke, G. Rhipicephalus (Boophilus) microplus resistant to acaricides and ivermectin in cattle farms of Mexico. Rev. Bras. Parasitol. Vet. 2014, 23, 113–122. [Google Scholar] [CrossRef] [PubMed]
- Borges, L.M.F.; Sousa, L.A.D.; Barbosa, C.S. Perspectives for the use of plant extracts to control the cattle tick Rhipicephalus (Boophilus) microplus. Rev. Bras. Parasitol. Vet. 2011, 20, 89–96. [Google Scholar] [CrossRef] [PubMed]
- Grisi, L.; Leite, R.C.; Martins, J.R.S.; Barros, A.T.M.; Andreotti, R.; Cançado, P.H.D.; León, A.A.P.; Pereira, J.P.; Villela, H.S. Reassessment of the potential economic impact of cattle parasites in Brazil. Rev. Bras. Parasitol. Vet. 2014, 23, 150–156. [Google Scholar] [CrossRef] [PubMed]
- Foil, L.D.; Coleman, P.; Eisler, M.; Fragoso-Sanchez, H.; Garcia-Vazquez, Z.; Guerrero, F.D.; Jonsson, N.N.; Langstaff, I.G.; Li, A.Y.; Machila, N.; et al. Factors that influence the prevalence of acaricide resistance and tick-borne diseases. Vet. Parasitol. 2004, 125, 163–181. [Google Scholar] [CrossRef] [PubMed]
- Mendes, M.C.; Lima, C.K.P.; Nogueira, A.H.C.; Yoshihara, E.; Chiebao, D.P.; Gabriel, F. H.L.; Ueno, T.E.H.; Namindome, A.; Klafke, G.M. Resistance to cypermethrin, deltamethrin, and chlorpyriphos in populations of Rhipicephalus (Boophilus) microplus (Acari:Ixodidae) from small farms of the State of São Paulo, Brazil. Vet. Parasitol. 2011, 178, 383–388. [Google Scholar] [CrossRef] [PubMed]
- Mendes, M.C.; Duarte, F.C.; Martins, J.R.; Klafke, G.M.; Fiorini, L.C.; Barros, A.T.M. Characterization of the pyrethroid resistance profile of Rhipicephalus (Boophilus) microplus populations from the states of Rio Grande do Sul and Mato Grosso do Sul, Brazil. Rev. Bras. Parasitol. Vet. 2013, 22, 379–384. [Google Scholar] [CrossRef]
- Semmler, M.; Abdel-Ghaffar, F.; Al-Rasheid, K.; Mehlhorn, H. Nature helps: From research to products against blood-sucking arthropods. Parasitol. Res. 2009, 105, 1483–1487. [Google Scholar] [CrossRef] [PubMed]
- Barbosa, C.S.; Borges, L.M.F.; Nicácio, J.; Alves, R.D.; Miguita, C.H.; Violante, I.M.P.; Hamerski, L.; Garcez, W.S.; Garcez, F. R. In vitro activities of plant extracts from the Brazilian Cerrado and Pantanal against Rhipicephalus (Boophilus) microplus (Acari: Ixodidae). Exp. Appl. Acarol. 2013, 60, 421–430. [Google Scholar] [CrossRef] [PubMed]
- Abbas, R.Z.; Zaman, M.A.; Colwell, D.D.; Gilleard, J.; Iqbal, Z. Acaricide resistance in cattle ticks and approaches to its management: the state of play. Vet. Parasitol. 2014, 203, 6–20. [Google Scholar] [CrossRef] [PubMed]
- Nakanishi, T.; Inada, A.; Lavie, D. A new tirucallane-type triterpenoid derivative, lipomelianol from fruits of Melia toosendan Sieb et Zucc. Chem. Pharm. Bull. 1986, 34, 100–104. [Google Scholar] [CrossRef]
- Joseph-Nathan, P.; Wesener, J.R.; Günther, H. A two-dimensional NMR study of angelic and tiglic acid. Org. Magn. Reson. 1984, 22, 190–191. [Google Scholar] [CrossRef]
- Ntalli, N.G.; Cottiglia, F.; Bueno, C.A.; Alché, L.E.; Leonti, M.; Vargiu, S.; Bifulco, E.; Menkissoglu-Spiroudi, U.; Caboni, P. Cytotoxic tirucallane triterpenoids from Melia azedarach fruits. Molecules 2010, 15, 5866–5877. [Google Scholar] [CrossRef] [PubMed]
- Lins, A.P.; Braggio, M.M.; Felicio, J.D.; Giuratti, A.M.; Felicio, J.C. Chemical and pharmacological aspects of Guarea guidona. Rev. Latinoam. Quím. 1992, 23, 30–33. [Google Scholar]
- Jimenez, A.; Villareal, C.; Toscano, R.A.; Cook, M.; Arnason, J.T.; Bye, R.; Mata, R. Limonoids from Swietenia humilis and Guarea grandiflora (Meliaceae). Phytochemistry 1998, 49, 1981–1988. [Google Scholar] [CrossRef]
- Kurimoto, S.; Takaishi, Y.; Ahmed, F.A.; Kashiwada, Y. Triterpenoids from the fruits of Azadirachta indica (Meliaceae). Fitoterapia 2014, 92, 200–205. [Google Scholar] [CrossRef] [PubMed]
- Puripattanavong, J.; Weber, S.; Brecht, V.; Frahm, A.W. Phytochemical investigation of Aglaia andamanica. Planta Med. 2000, 66, 740–745. [Google Scholar] [CrossRef] [PubMed]
- Miguita, C.H.; Sarmento, U.C.; Hamerski, L.; Garcez, W.S.; Garcez, F.R. Mexicanolide- and andirobine-type limonoids from the fruits of Guarea kunthiana. Rec. Nat. Prod. 2014, 8, 290–293. [Google Scholar]
- Bennett, G. F. Oviposition of Boophilus microplus (Canestrini) (Acarida Ixodidae). I. Influence of tick size on egg production. Acarologia 1974, 16, 52–61. [Google Scholar] [PubMed]
- Drummond, R. O.; Ernest, S. E.; Trevino, J. L.; Gladney, W. J.; Graham, O. H. Boophilus microplus annulatus and Boophilus microplus: Laboratory tests for insecticides. J. Econ. Entomol. 1973, 66, 130–133. [Google Scholar] [PubMed]
- Sample Availability: Samples of compounds 1, 4, and 6 are available from the authors.
© 2014 by the authors. Licensee MDPI, Basel, Switzerland. This article is an open access article distributed under the terms and conditions of the Creative Commons Attribution license ( http://creativecommons.org/licenses/by/4.0/).
Share and Cite
Miguita, C.H.; Barbosa, C.D.S.; Hamerski, L.; Sarmento, U.C.; Nascimento, J.N.d.; Garcez, W.S.; Garcez, F.R. 3β-O-Tigloylmelianol from Guarea kunthiana: A New Potential Agent to Control Rhipicephalus (Boophilus) microplus, a Cattle Tick of Veterinary Significance. Molecules 2015, 20, 111-126. https://doi.org/10.3390/molecules20010111
Miguita CH, Barbosa CDS, Hamerski L, Sarmento UC, Nascimento JNd, Garcez WS, Garcez FR. 3β-O-Tigloylmelianol from Guarea kunthiana: A New Potential Agent to Control Rhipicephalus (Boophilus) microplus, a Cattle Tick of Veterinary Significance. Molecules. 2015; 20(1):111-126. https://doi.org/10.3390/molecules20010111
Chicago/Turabian StyleMiguita, Carlos Henrique, Carolina Da Silva Barbosa, Lidilhone Hamerski, Ulana Chaves Sarmento, José Nicácio do Nascimento, Walmir Silva Garcez, and Fernanda Rodrigues Garcez. 2015. "3β-O-Tigloylmelianol from Guarea kunthiana: A New Potential Agent to Control Rhipicephalus (Boophilus) microplus, a Cattle Tick of Veterinary Significance" Molecules 20, no. 1: 111-126. https://doi.org/10.3390/molecules20010111
APA StyleMiguita, C. H., Barbosa, C. D. S., Hamerski, L., Sarmento, U. C., Nascimento, J. N. d., Garcez, W. S., & Garcez, F. R. (2015). 3β-O-Tigloylmelianol from Guarea kunthiana: A New Potential Agent to Control Rhipicephalus (Boophilus) microplus, a Cattle Tick of Veterinary Significance. Molecules, 20(1), 111-126. https://doi.org/10.3390/molecules20010111
