Abstract
Modular synthesis of regiospecifically fluorinated 2,4-diene Weinreb amides, with defined stereochemistry at both double bonds, was achieved via two sequential Julia-Kocienski olefinations. In the first step, a Z-α-fluorovinyl Weinreb amide unit with a benzothiazolylsulfanyl substituent at the allylic position was assembled. This was achieved via condensation of two primary building blocks, namely 2-(benzo[d]thiazol-2-ylsulfonyl)-2-fluoro-N-methoxy-N-methylacetamide (a Julia-Kocienski olefination reagent) and 2-(benzo[d]thiazol-2-ylthio)acetaldehyde (a bifunctional building block). This condensation was highly Z-selective and proceeded in a good 76% yield. Oxidation of benzothiazolylsulfanyl moiety furnished a second-generation Julia-Kocienski olefination reagent, which was used for the introduction of the second olefinic linkage via DBU-mediated condensations with aldehydes, to give (2Z,4E/Z)-dienamides in 50%–74% yield. Although olefinations were 4Z-selective, (2Z,4E/Z)-2-fluoro-2,4-dienamides could be readily isomerized to the corresponding 5-substituted (2Z,4E)-2-fluoro-N-methoxy-N-methylpenta-2,4-dienamides in the presence of catalytic iodine.
1. Introduction
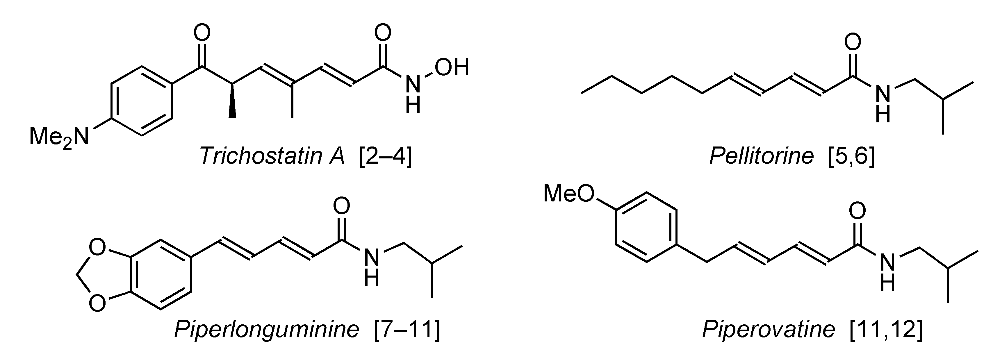
The conjugated diene and polyene amide structural units are found in many naturally occurring compounds that possess biological activity [1]. These compounds have a variety of uses, ranging from medicinal purposes, to insecticides, as well as culinary flavoring agents [1]. Some examples of dienamides are shown in Figure 1. Trichostatin A is an antifungal antibiotic [2], and as an inhibitor of mammalian histone deacetylase [3], is a potential anticancer agent [4]. Pellitorine has insecticidal [5] and cytotoxic [6] activities. Piperlonguminine has broad-ranging therapeutic activities [7] such as antibacterial, antifungal, antitumor [8], anticoagulant [9], antimelanogenesis [10], and anti-inflammatory [11], to name a few. Piperovatine exhibits local anesthetic [12] and antinflammatory activities [11]. Due to their interesting biological activities, several analogs, such as a fluorinated Trichostatin A analog [13], have been synthesized as well.
Figure 1.
Examples of naturally occurring, biologically active 2,4-dienamides.
Fluorine is an attractive substituent in pharmaceuticals, in agrochemicals, and in materials chemistry [14,15,16] due to its effect on physical, chemical, and biological properties of compounds [17,18,19]. Julia-Kocienski olefinations [20,21,22,23] have been explored for the synthesis of various functionalized fluoroolefins [24,25,26] by us [27,28,29,30,31,32,33,34,35] and by others [36,37,38,39,40,41,42,43,44,45,46]. In the course of our recent work, we became interested in the use of bifunctional Julia-Kocienski reagents, or their precursors, for novel modular assembly of vinyl [33,47] and fluorovinyl [33] compounds. Herein, we report the synthesis of regiospecifically fluorinated dienamides, via sequential olefination of a bifunctional Julia-Kocienski building block. As the amide functionality, we chose the Weinreb amide, both to test the feasibility of the methodology and due to its versatility via its unique reactivity properties [48,49,50,51].
2. Results and Discussion
Key to our approach was the assembly of a α-fluorovinyl Weinreb amide moiety with functionality at the beta position that could be used in a sequential condensation. We have previously reported the synthesis and studied the reactivity of a Julia-Kocienski reagent for the preparation of α-fluorovinyl Weinreb amides (1, Scheme 1) [31]. Condensation of 2-(benzo[d]thiazol-2-ylsulfonyl)-2-fluoro-N-methoxy-N-methylacetamide (1) with a 2-(heteroarylthio)ethanal (2, heteroaryl = benzothiazolyl, Scheme 1) and subsequent oxidation would furnish a second-generation Julia-Kocienski reagent for dienamide synthesis. A retrosynthetic approach to conjugated dieneamides is outlined in Scheme 1.
Scheme 1.
Retrosynthetic analysis for the preparation of conjugated dieneamides.
The requisite Julia-Kocienski reagent, 2-(benzo[d]thiazol-2-ylsulfonyl)-2-fluoro-N-methoxy-N-methylacetamide (1), was synthesized as reported [31]. Synthesis of the other key reactive partner, 2-(benzo[d]thiazol-2-ylthio)acetaldehyde (2), was initially attempted via the dioxolane derivative of 2. Although the dioxolane derivative of 2 could be readily prepared from 2-(bromomethyl)-1,3-dioxolane and the sodium salt of 2-mercapto-1,3-benzothiazole, attempts at deprotection of 2-[(1,3-dioxolan-2-yl)methylthio]benzo[d]thiazole under various conditions proved unsuccessful. Therefore, synthesis via the dimethyl acetal was considered (Scheme above Table 1).
Table 1.
Synthesis of 2-(benzo[d]thiazol-2-ylthio)acetaldehyde 2.
| Entry | Reagent | Solvent | T (°C) | Time | Yield (%) a |
|---|---|---|---|---|---|
| 1 | I2 | acetone | rt | overnight | -- b |
| 2 | CBr4 | CH3CN–H2O 1:3 | 80 | 3 days | -- b |
| 3 | PTSA | THF–H2O 1:1 | rt | 3 days | -- b |
| 4 | HCl (4 M) | acetone | 40 | 24 h | 20 c |
| 5 | HCl (4 M) | acetone | 40 | 4 h | 56 |
| 6 | HCl (12 M) | acetone | 50 | 30 min | 81 |
| 7 | HCl (12 M) | acetone–H2O 10:1 | 50 | 40 min | 84 |
a Aldehyde 2 was unstable under chromatographic conditions, either on silica gel or on alumina. Therefore, the yield reported for 2 is without purification, unless stated otherwise; b 1H-NMR and TLC showed only dimethyl acetal 3, and no product formation was observed; c Isolated yield after column chromatography.
Various conditions were tested to unmask the aldehyde functionality (Table 1). Upon reaction of dimethyl acetal 3 with I2 (entry 1), CBr4 (entry 2), or PTSA (entry 3), no hydrolysis was observed. Reaction of 3 with 4 M HCl at 40 °C resulted in complete consumption of 3, but aldehyde 2 was isolated in a low 20% yield after column chromatography (entry 4). Subsequently, we found that compound 2 is unstable under chromatography conditions, on silica gel and alumina [52]. The yield of crude 2 after hydrolysis with 4 M HCl, but without chromatography, was 56%. Hydrolysis with 12 M HCl at 50 °C was complete within 30 min, yielding crude 2 in 81% yield (entry 6). However, due to the solubility of 2 in water, we obtained inconsistent results in repeat experiments. After extensive experimentation we found that crude 2 could be isolated in consistent yields when aqueous workup was avoided. Briefly, acetal 3 was reacted with 12 M HCl in acetone–H2O (10:1) at 50 °C for 40 min (entry 7), solid NaHCO3 was added portion-wise at 5 °C to neutralize the acid, and excess water was removed by addition of anhydrous Na2SO4. The solution was then passed through a bed of anhydrous Na2SO4 and the solvent was evaporated to afford 2 in >80% yield. When acetone alone was used as solvent, complete hydrolysis of 3 occurred, but the crude product showed the presence of an unidentified byproduct that could possibly result from the condensation of acetone and 2. The use of water as a co-solvent therefore seems to be crucial in order to minimize the formation of the byproduct.
With both desired building blocks in hand, i.e., the Julia-Kocienski reagent 1 and aldehyde 2, we tested reaction conditions for the olefination reaction (Table 2). All condensation reactions were performed at −78 °C in the presence of LHMDS, and gave (Z)-4-(benzo[d]thiazol-2-ylthio)-2-fluoro-N-methoxy-N-methylbut-2-enamide (4) as the only stereoisomer. Comparably, exclusive Z-selectivity has also been observed in NaH-mediated condensations of 1 with aldehydes [31]. In the reactions herein, the molar ratio of sulfone 1, aldehyde 2, and LHMDS was critical for obtaining a good yield of 4 (Table 2). When aldehyde 2 was used as a limiting reactant (entry 1), or in an equimolar amount (entry 2), enamide 4 was obtained in low yield. On the other hand, with excess aldehyde 2 and LHMDS, a substantial yield improvement was observed. Thus, product 4 was isolated in 76% yield when 2 molar equiv of 2 and 3 molar equiv of LHMDS were used (entry 4). Since the desired product was obtained with exclusive Z-selectivity and in a good yield, we did not attempt to use other bases, such as KHMDS or NaHMDS.
Table 2.
Synthesis of (Z)-4-(benzo[d]thiazol-2-ylthio)-2-fluoro-N-methoxy-N-methylbut-2-enamide (4).
| Entry | Molar Ratio of 1:2:LHMDS | Time | Yield (%) a |
|---|---|---|---|
| 1 | 1.5:1:1.5 | 3 h | 32 |
| 2 | 1:1:2 | 2.5 h | 20 |
| 3 | 1:3:5 | 4 h | 60 |
| 4 | 1:2:3 | 3.5 h | 76 |
a Yield is of isolated and purified product 4. Reactions were monitored for completion by 19F-NMR. LHMDS was added portion-wise (please see Experimental Section).
In order to obtain the second generation Julia-Kocienski reagent 5, sulfide 4 was oxidized using H5IO6 and catalytic CrO3. Sulfone 5, obtained in 63% yield, was then used for the screening of reaction conditions for the olefination with 2-naphthaldehyde (Table 3).
Table 3.
Conditions tested for olefination reactions using the second generation Julia-Kocienski reagent 5 and 2-naphthaldehyde.
| Entry | Base | Solvent | T | Time | % 4E/4Z Ratio a | Yield (%) b |
|---|---|---|---|---|---|---|
| 1 | LHMDS | THF | −78 to 0 °C | overnight | -- | -- c |
| 2 | LHMDS | THF | 0 °C to rt | 12 h | -- | -- c |
| 3 | DBU | THF | rt | 2 h | -- | -- c |
| 4 | DBU | THF | −78 to 0 °C | overnight | 57/43 | 35 |
| 5 | Cs2CO3 | THF | 0 °C | overnight | -- | -- c |
| 6 | DBU | THF | 0 °C | overnight | 43/57 | 55 |
| 7 | Cs2CO3 | CH2Cl2 | 0 °C | overnight | -- | -- c |
| 8 | DBU | CH2Cl2 | 0 °C | overnight | 35/65 | 66 |
a The relative ratio of isomers in the crude reaction mixtures was determined by 19F-NMR prior to isolation. No change in the relative ratio was observed after purification; b Yield is of isolated and purified product 6a; c No product was detected either by 19F-NMR or by TLC.
Both selectivity and product yield depended upon the reaction conditions. No product formation occurred when LHMDS was used as base (entries 1 and 2), or with DBU as base in THF at room temperature (entry 3). Similarly, Cs2CO3 in either THF or CH2Cl2 at 0 °C did not show product formation (entries 5 and 7). Product 6a was obtained in a low 35% yield and with a moderate 4E selectivity in an overnight reaction with DBU in THF, at −78 to 0 °C (E/Z 57/43, entry 4). When the condensation reaction was allowed to run overnight at 0 °C (entry 6), product 6a was isolated in a better 55% yield, but with a reversed selectivity as compared to entry 4 (E/Z 43/57). Yield and selectivity increased when the condensation reaction was performed overnight using DBU as base in CH2Cl2, at 0 °C (66%, entry 8).
Using these conditions, the generality of condensation reactions of Julia-Kocienski reagent 5 with other aldehydes was tested. Table 4 shows yields, the 4E/4Z ratios, and 19F-NMR data of the products.
Table 4.
Reactions of reagent 5 with aldehydes: yields, E/Z ratios, and 19F-NMR data.
| Entry | RCHO | Product (6a–e); % 4E/4Z Ratio a; Yield (%) b | 19F-NMR Data: c δ (ppm); Mult, J (Hz) |
|---|---|---|---|
| 1 | ![]() | 6a: 35/65; 66 | (4E)-6a: −123.4; d, 30.5 (4Z)-6a: −121.2; d, 30.5 |
| 2 | ![]() | 6b: 23/77; 50 | (4E)-6b: −125.2; d, 33.6 (4Z)-6b: −122.6; d, 33.6 |
| 3 | ![]() | 6c: 40/60; 74 | (4E)-6c: −119.6; d, 30.5 (4Z)-6c: −118.4; d, 30.5 |
| 4 | ![]() | 6d: 10/90; 63 | (4E)-6d: −123.7; d, 30.5 (4Z)-6d: −120.7; d, 33.6 |
| 5 | ![]() | 6e: 15/85; 51 | (4E)-6e: −125.7; d, 30.5 (4Z)-6e: −124.2; d, 33.6 |
a The relative ratio of isomers in the crude reaction mixtures was determined by 19F-NMR prior to isolation; b Yield is of isolated and purified product 6; c 19F-NMR spectra were recorded at 282 MHz, in CDCl3 with CFCl3 as an internal reference.
Moderate to high 4Z selectivity was obtained with electron-rich aryl and heteroaryl aldehydes, with yields ranging from 50%–66% (entries 1, 2 and 4). The electron-deficient p-nitrobenzaldehyde gave product 6c in a good 74% yield, but with poor 4Z selectivity (entry 3). Reaction of 5 with 3-phenylpropanal gave product 6e in a moderate 51% yield and with high 4Z selectivity (entry 5). In the 19F-NMR spectra of all products, the doublet from the (4E)-isomer appears more upfield as compared to the doublet from the (4Z)-isomer (Table 4, entries 1–5).
Next, we considered isomerization of the (2Z,4Z)-isomer to the (2Z,4E)-isomer. Several techniques were evaluated to effect this isomerization. Overnight exposure of the 4E/4Z isomer mixture to light (20 watt bulb) did not cause any isomerization. Treatment of the isomer mixtures with silica powder in CHCl3 at room temperature or at 0 °C showed the desired isomerization, but the isomerization did not proceed to completion. A convenient method for the isomerization using catalytic I2 in CHCl3 at room temperature has been reported [53]. Using this method, complete isomerization of (2Z,4E/Z)-6a–d to (2Z,4E)-6a–d was achieved (Table 5).
Table 5.
Isomerization of (2Z,4E/Z)-6a–d to (2Z,4E)-6a–d.
| Entry | Isomer Mixture | Time | Product a | Yield (%) b |
|---|---|---|---|---|
| 1 | (2Z,4E/Z)-6a | 3 h | (2Z,4E)-6a | 75 |
| 2 | (2Z,4E/Z)-6b | 3 h | (2Z,4E)-6b | 86 |
| 3 | (2Z,4E/Z)-6c | 1.5 h | (2Z,4E)-6c | 89 |
| 4 | (2Z,4E/Z)-6d | overnight | (2Z,4E)-6d | 92 |
a Olefin geometry was determined by 1H-NMR; b Yield is of the isolated and purified isomer.
3. Experimental
3.1. General Information
THF was distilled over LiAlH4 and then over sodium. CH2Cl2, EtOAc, and hexanes were distilled over CaCl2. For reactions performed under a nitrogen atmosphere, glassware was dried with a heat gun under vacuum. LHMDS (1.0 M in THF) was obtained from commercial sources. Julia Kocienski reagent 2-(benzo[d]thiazol-2-ylsulfonyl)-2-fluoro-N-methoxy-N-methylacetamide (1) was prepared from the known 2-(benzo[d]thiazol-2-ylsulfonyl)-N-methoxy-N-methylacetamide [54], via metalation-fluorination using our previously reported procedure [31]. All other reagents were obtained from commercial sources and used without further purification. Thin layer chromatography was performed on Analtech silica gel plates (250 μm). Column chromatographic purifications were performed on 200–300 mesh silica gel. 1H-NMR spectra were recorded at 500 MHz in CDCl3 and are referenced to residual solvent. 13C-NMR spectra were recorded at 125 MHz and are referenced to the carbon resonance of the deuterated solvent. 19F-NMR spectra were recorded at 282 MHz with CFCl3 as an internal standard. Chemical shifts (δ) are reported in parts per million and coupling constants (J) are in hertz (Hz).
3.2. Synthesis of “Second-Generation” Julia-Kocienski Reagent 5
2-(2,2-Dimethoxyethylthio)benzo[d]thiazole 3. To a solution of the sodium salt of 2-mercapto-1,3-benzothiazole (1.67 g, 8.83 mmol, 1.49 molar equiv.) in DMF (20 mL) was added 2-bromo-1,1-dimethoxyethane (1.00 g, 5.91 mmol), and the mixture was allowed to stir at 40 °C for 4 h. Upon completion of the reaction, as observed by TLC, the reaction mixture was diluted with EtOAc and washed with water. The aqueous layer was extracted with EtOAc (3 × 30 mL). The combined organic layer was washed with saturated NaHCO3 (30 mL), brine, dried over anhydrous Na2SO4, and evaporated. The crude product was purified by column chromatography using 20% EtOAc in hexanes to obtain compound 3 (0.769 g, 51%) as a colorless viscous liquid. Rf (SiO2, 20% EtOAc in hexanes): 0.48. 1H-NMR (CDCl3): δ 7.85 (d, 1H, Ar-H, J = 7.8 Hz), 7.75 (d, 1H, Ar-H, J = 8.3 Hz), 7.41 (t, 1H, Ar-H, J = 7.8 Hz), 7.29 (t, 1H, Ar-H, J = 7.8 Hz), 4.72 (t, 1H, J = 5.3 Hz), 3.58 (d, 2H, J = 5.3 Hz), 3.44 (s, 6H, OCH3). 13C-NMR (CDCl3): δ 166.4, 153.2, 135.5, 126.1, 124.4, 121.6, 121.1, 103.0, 54.3, 35.5. HRMS (ESI) calcd for C11H14NO2S2 [M+H]+ 256.0460, found 256.0462.
2-(Benzo[d]thiazol-2-ylthio)acetaldehyde 2. To a stirred solution of 2-(2,2-dimethoxyethylthio)benzo[d]thiazole (3, 1.60 g, 6.26 mmol) in acetone (48 mL), was slowly added a mixture of HCl (12 M, 10.6 mL) and water (5.2 mL) at rt. The mixture was stirred for 40 min at 50 °C. Upon completion of the reaction, as observed by TLC, the mixture was cooled to 5 °C and the reaction was quenched by portion-wise addition of solid NaHCO3 up to the neutralization point, and then passed through a bed of anhydrous Na2SO4. The anhydrous Na2SO4 bed was washed with a minimum amount of acetone, the combined eluent was dried over anhydrous Na2SO4, and concentrated under reduced pressure. Crude product 2 (1.10 g, 84%) was used in the next step without purification. Rf (SiO2, 20% EtOAc in hexanes): 0.29. 1H-NMR (CDCl3): δ 9.73 (br, 1H), 7.85 (d, 1H, Ar-H, J = 7.9 Hz), 7.76 (d, 1H, Ar-H, J = 8.2 Hz), 7.42 (t, 1H, Ar-H, J = 7.6 Hz), 7.32 (t, 1H, Ar-H, J = 7.6 Hz), 4.09 (d, 2H, J = 1.8 Hz).
(Z)-4-(Benzo[d]thiazol-2-ylthio)-2-fluoro-N-methoxy-N-methylbut-2-enamide 4. To a stirred solution of 2-(benzo[d]thiazol-2-ylsulfonyl)-2-fluoro-N-methoxy-N-methylacetamide (1, 0.700 g, 2.20 mmol) and 2-(benzo[d]thiazol-2-ylthio)acetaldehyde (2, 0.930 g, 4.44 mmol, 2.0 molar equiv.) in dry THF (48.0 mL) at −78 °C (dry ice/iPrOH), was added LHMDS (4.39 mL, 1 M, 4.39 mmol, 2.0 molar equiv.) dropwise under a nitrogen atmosphere. The mixture was allowed to stir at −78 °C (dry ice/iPrOH) for 2 h and checked for the disappearance of 1 by 19F-NMR (a small sample was removed by syringe and checked by NMR). Since 19F-NMR showed the presence of 1, more LHMDS (2.19 mL, 1 M, 2.19 mmol, 1 molar equiv.) was added and the mixture was allowed to stir at −78 °C for an additional 1 h at which time complete consumption of sulfone 1 was observed by 19F-NMR. The reaction was quenched by the addition of saturated aq. NH4Cl, the solvent was partially removed under reduced pressure, and the mixture was extracted with EtOAc (3×). The combined organic layer was washed with 5% aq. NaOH, followed by water and brine, and then dried over Na2SO4. The organic layer was concentrated under reduced pressure and the crude product was purified by column chromatography using 10%, 15%, and 20% EtOAc in hexanes, to afford compound 4 as a yellow wax (0.523 g, 76%). Rf (SiO2, 30% EtOAc in hexanes): 0.54. 1H-NMR (CDCl3): δ 7.87 (d, 1H, Ar-H, J = 8.3 Hz), 7.75 (d, 1H, Ar-H, J = 7.8 Hz), 7.43–7.40 (m, 1H, Ar-H), 7.32–7.28 (m, 1H, Ar-H), 6.22 (dt, 1H, J = 32.7; 8.0 Hz), 4.15 (dd, 2H, J = 8.0; 1.5 Hz), 3.69 (s, 3H, OCH3), 3.22 (s, 3H, CH3). 13C-NMR (CDCl3): δ 165.2, 161.8 (d, JCF = 27.9 Hz), 153.3, 152.4 (d, JCF = 271.9 Hz), 135.7, 126.3, 124.6, 121.9, 121.2, 113.0 (d, JCF = 10.5 Hz), 62.1, 33.9, 26.9 (d, JCF = 5.5 Hz). 19F-NMR (CDCl3): δ −119.9 (d, 3JHF = 30.5 Hz). HRMS (ESI) calcd for C13H14FN2O2S2 [M+H]+ 313.0475, found 313.0480.
(Z)-4-(Benzo[d]thiazol-2-ylsulfonyl)-2-fluoro-N-methoxy-N-methylbut-2-enamide 5. H5IO6 (0.477 g, 2.09 mmol, 3.0 molar equiv) was dissolved in CH3CN (80.0 mL) by vigorous stirring at rt for 20 min. CrO3 (25.0 mg, 0.25 mmol) was added and the reaction mixture was stirred for an additional 5 min to give an orange-colored solution. A solution of (Z)-4-(benzo[d]thiazol-2-ylthio)-2-fluoro-N-methoxy-N-methybut-2-enamide (4, 0.218 g, 0.698 mmol) in CH3CN (10.0 mL) was added dropwise to this mixture, resulting in an exothermic reaction and the formation of a yellowish precipitate. After complete addition, the mixture was stirred for 3 h, at which time TLC showed complete consumption of amide 4. The mixture was filtered through a Celite pad, the pad was washed with CH3CN, and the filtrate was concentrated under reduced pressure. Water was added to the residue and the mixture was extracted with EtOAc (3 × 30 mL). The combined organic layer was washed with saturated aq. NaHCO3 (5 × 30 mL) and brine (30 mL), and dried over anhydrous Na2SO4. The organic layer was concentrated under reduced pressure and the crude product was purified by column chromatography using 15%, 20%, and 25% EtOAc in hexanes to afford compound 5 as a white solid (0.152 g, 63%). Rf (SiO2, 40% EtOAc in hexanes): 0.43. 1H-NMR (CDCl3): δ 8.24 (d, 1H, Ar-H, J = 7.8 Hz), 8.02 (d, 1H, Ar-H, J = 7.8 Hz), 7.67–7.59 (m, 2H, Ar-H), 5.96 (dt, 1H, J = 31.2; 8.3 Hz), 4.43 (dd, 2H, J = 8.3; 1.5 Hz), 3.53 (s, 3H, OCH3), 3.17 (s, 3H, CH3). 13C-NMR (CDCl3): δ 164.8, 160.8 (d, JCF = 28.4 Hz), 155.6 (d, JCF = 279.7 Hz), 152.8, 137.2, 128.4, 127.9, 125.8, 122.6, 102.7 (d, JCF = 10.1 Hz), 62.1, 51.1 (d, JCF = 4.6 Hz), 33.6. 19F-NMR (CDCl3): δ −113.6 (d, 3JHF = 30.5 Hz). HRMS (ESI) calcd for C13H14FN2O4S2 [M+H]+ 345.0374, found 345.0376.
3.3. Condensation Reactions of Julia-Kocienski Reagent 5
General experimental procedure. To a stirred solution of aldehyde (0.20 mmol) in dry CH2Cl2 (10.0 mL) was added DBU (121.7 mg, 0.80 mmol, 4.0 molar equiv.) and the mixture was cooled to 0 °C. A solution of (Z)-4-(benzo[d]thiazol-2-ylsulfonyl)-2-fluoro-N-methoxy-N-methylbut-2-enamide (5, 103.3 mg, 0.300 mmol, 1.5 equiv.) in dry CH2Cl2 (10.0 mL) was then added slowly, dropwise (over about 2 h). The reaction mixture was allowed to stir overnight at 0 °C. After completion of the reaction, the solvent was evaporated under a stream of nitrogen gas, and the 1H and 19F-NMR spectra of the crude product mixture were recorded for determination of the E/Z ratio. The combined E/Z product mixture was purified by column chromatography. For eluting solvents see the specific compound headings. The mixture of (4E)- and (4Z)-isomers was analyzed and characterized based on the 1H-NMR; the assignment and integration of specific olefinic proton(s) allowed for other signals to be assigned based on the integration, along with a comparison to the pure (2Z,4E)-isomer (obtained after isomerization, vide infra). Assignment of the 19F-NMR signals to the (4E)- and (4Z)-isomers was based on the integration.
(2Z,4E/Z)-2-Fluoro-N-methoxy-N-methyl-5-(naphthalen-2-yl)penta-2,4-dienamide 6a. Isomer ratio of (4E)-6a:(4Z)-6a = 35:65. Column chromatography using 8%, 10%, and 15% EtOAc in hexanes gave a mixture of (2Z,4E/Z)-6a as a white solid (38.0 mg, 66%). Rf (SiO2, 30% EtOAc in hexanes): 0.49 for (4E)-6a and 0.58 for (4Z)-6a. 1H-NMR (CDCl3): δ 7.85–7.80 (m, Ar-H, 4H, (4E)-isomer and 4H, (4Z)-isomer), 7.68 (dd, 1H, Ar-H, J = 8.3; 1.5 Hz, (4E)-isomer), 7.50–7.45 (m, Ar-H, 2H, (4E)-isomer and 3H, (4Z)-isomer), 7.21 (dd, 1H, J = 15.6; 11.2 Hz, (4E)-isomer), 7.06 (ddd, 1H, J = 32.7; 12.0; 1.0 Hz, (4Z)-isomer), 6.97 (d, 1H, J = 15.6 Hz, (4E)-isomer), 6.91 (d, 1H, J = 11.2 Hz, (4Z)-isomer), 6.72 (dd, 1H, J = 32.5; 11.5 Hz, (4E)-isomer), 6.66 (t, 1H, J = 11.7 Hz, (4Z)-isomer), 3.80 (s, 3H, OCH3, (4E)-isomer), 3.76 (s, 3H, OCH3, (4Z)-isomer), 3.29 (s, 3H, CH3, (4E)-isomer), 3.25 (s, 3H, CH3, (4Z )isomer). 19F-NMR (CDCl3): δ –121.2 (d, 3JHF = 30.5 Hz, (4Z)-isomer), −123.4 (d, 3JHF = 30.5 Hz, (4E)-isomer). HRMS (ESI) calcd for C17H17FNO2 [M+H]+ 286.1238, found 286.1242.
(2Z,4E/Z)-2-Fluoro-N-methoxy-N-methyl-5-(4-methoxyphenyl)penta-2,4-dienamide 6b. Isomer ratio of (4E)-6b:(4Z)-6b = 23:77. Column chromatography using 8%, 15%, and 20% EtOAc in hexanes gave a mixture of (2Z,4E/Z)-6b as a pale yellow solid (26.5 mg, 50%). Rf (SiO2, 30% EtOAc in hexanes): 0.35. 1H-NMR (CDCl3): δ 7.42 (d, 2H, Ar-H, J = 8.8 Hz, (4E)-isomer), 7.29 (d, 2H, Ar-H, J = 8.8 Hz, (4Z)-isomer), 6.99 (ddd, 1H, J = 32.7; 11.7; 0.9 Hz, (4Z)-isomer), 6.95 (dd, 1H, J = 15.6; 11.2 Hz, (4E)-isomer), 6.91–6.87 (m, Ar-H, 2H, (4Z)-isomer and 2H, (4E)-isomer), 6.75 (d, 1H, J = 15.6 Hz, (4E)-isomer), 6.69 (br d, 1H, J = 11.7 Hz, (4Z)-isomer), 6.65 (dd, 1H, J = 32.7; 11.4 Hz, (4E)-isomer), 6.47 (t, 1H, J = 11.7 Hz, (4Z)-isomer), 3.83 (s, 3H, OCH3, (4E)-isomer), 3.82 (s, 3H, OCH3, (4Z)-isomer), 3.77 (s, 3H, OCH3, (4E)-isomer), 3.76 (s, 3H, OCH3, (4Z)-isomer), 3.27 (s, 3H, CH3, (4E)-isomer), 3.25 (s, 3H, CH3, (4Z)-isomer). 19F-NMR (CDCl3): δ −122.6 (d, 3JHF = 33.6, (4Z)-isomer), −125.2 (d, 3JHF = 33.6, (4E)-isomer). HRMS (ESI) calcd for C14H17FNO3 [M+H]+ 266.1187, found 266.1191.
(2Z,4E/Z)-2-Fluoro-N-methoxy-N-methyl-5-(4-nitrophenyl)penta-2,4-dienamide 6c. Isomer ratio of (4E)-6c:(4Z)-6c = 4:6. Column chromatography using 10% and 15% EtOAc in hexanes gave a mixture of (2Z,4E/Z)-6c as a yellow solid (41.3 mg, 74%). Rf (SiO2, 30% EtOAc in hexanes): 0.47 for (4E)-6c and 0.72 for (4Z)-6c. 1H-NMR (CDCl3): δ 8.23 (d, 2H, Ar-H, J = 8.8 Hz, (4Z)-isomer), 8.21 (d, 2H, Ar-H, J = 8.7 Hz, (4E)-isomer), 7.60 (d, 2H, Ar-H, J = 8.8 Hz, (4E)-isomer), 7.48 (d, 2H, Ar-H, J = 8.3 Hz, (4Z)-isomer), 7.23 (dd, 1H, J = 15.9; 11.5 Hz, (4E)-isomer), 6.86–6.61( m, 3H, (4Z)-isomer and 2H, (4E)-isomer), 3.79 (s, 3H, OCH3, (4E)-isomer), 3.77 (s, 3H, OCH3, (4Z)-isomer), 3.28 (s, 3H, CH3, (4E)-isomer), 3.25 (s, 3H, CH3, (4Z)-isomer). 19F-NMR (CDCl3): δ −118.4 (d, 3J HF = 30.5 Hz, (4Z)-isomer), −119.6 (d, 3J HF = 30.5 Hz, (4E)-isomer). HRMS (ESI) calcd for C13H14FN2O4 [M+H]+ 281.0932, found 281.0935.
(2Z,4E/Z)-2-Fluoro-N-methoxy-N-methyl-5-(thiophen-2-yl)penta-2,4-dienamide 6d. Isomer ratio of (4E)-6d:(4Z)-6d = 1:9. Column chromatography using 8% and 10% EtOAc in hexanes gave a mixture of (2Z,4E/Z)-6d as a yellow solid (30.2 mg, 63%). Rf (SiO2, 30% EtOAc in hexanes): 0.34 for (4E)-6d and 0.37 for (4Z)-6d. 1H-NMR (CDCl3): δ 7.36 (d, 1H, Ar-H, J = 4.9 Hz, (4Z)-isomer), 7.27 (ddd, 1H, J = 31.7; 12.2; 1.0 Hz, (4Z)-isomer), 7.27–7.25 (overlapping with CHCl3, 1H, Ar-H, (4E)-isomer), 7.12 (d, 1H, Ar-H, J = 3.4 Hz, (4Z)-isomer), 7.09 (d, 1H, Ar-H, J = 3.4 Hz, (4E)-isomer), 7.04 (dd, 1H, Ar-H, J = 5.1; 3.7 Hz, (4Z)-isomer), 7.00 (dd, 1H, Ar-H, J = 5.1; 3.7 Hz, (4E)-isomer), 6.92 (d, 1H, J = 15.6 Hz, (4E)-isomer), 6.86 (dd, 1H, J = 15.6; 10.7 Hz, (4E)-isomer), 6.76 (br d, 1H, J = 11.2 Hz, (4Z)-isomer), 6.61 (dd, 1H, J = 32.2; 10.7 Hz, (4E)-isomer), 6.42 (t, 1H, J = 12.0 Hz, (4Z)-isomer), 3.78 (s, 3H, OCH3, (4Z)-isomer), 3.77 (s, 3H, OCH3, (4E)-isomer), 3.28 (s, 3H, CH3, (4Z)-isomer), 3.26 (s, 3H, CH3, (4E)-isomer). 19F-NMR (CDCl3): δ −120.7 (d, 3JHF = 33.6 Hz, (4Z)-isomer), −123.7 (d, 3JHF = 30.5 Hz, (4E)-isomer). HRMS (ESI) calcd for C11H13FNO2S [M+H]+ 242.0646, found 242.0647.
(2Z,4E/Z)-2-Fluoro-N-methoxy-N-methyl-7-phenylhepta-2,4-dienamide 6e. Isomer ratio of (4E)-6e:(4Z)-6e = 15:85. Column chromatography using 6%, 8%, and 12% EtOAc in hexanes gave a mixture of (2Z,4E/Z)-6e as a colorless oil (26.6 mg, 51%). Rf (SiO2, 30% EtOAc in hexanes): 0.30. We were unable to resolve the 1H-NMR signals for both isomers, so the signals reported are for the major (2Z,4Z)-isomer. For the minor isomer, only diagnostic vinylic C4-H could be unequivocally assigned (separately listed, vide infra). 1H-NMR (CDCl3) of (2Z,4Z)-isomer: δ 7.30–7.27 (m, 2H, Ar-H), 7.20–7.18 (m, 3H, Ar-H), 6.68 (ddd, 1H, J = 32.7; 11.7; 1.0 Hz), 6.34 (t, 1H, J = 11.2 Hz), 5.80 (dt, 1H, J = 10.7; 7.8 Hz), 3.74 (s, 3H, OCH3), 3.24 (s, 3H, CH3), 2.73 (t, 2H, J = 7.8 Hz), 2.55 (q, 2H, J = 7.8 Hz). Minor (2Z,4E)-isomer (CDCl3): δ 6.04 ppm (1H, C4-H, J = 14.7; 7.3 Hz). 19F-NMR (CDCl3): δ −124.2 (d, 3JHF = 33.6 Hz, (4Z)-isomer), −125.7 (d, 3JHF = 30.5 Hz, (4E)-isomer). HRMS (ESI) calcd for C15H19FNO2 [M+H]+ 264.1394, found 264.1407.
3.4. Isomerization of the (2Z,4E/Z)-Isomer Mixture of 6a–d to the (2Z,4E)-Isomer
General experimental procedure. To a stirred solution of the (2Z,4E/Z)-isomer mixture 6 in dry CHCl3 was added I2 (7–10 mol %) and the mixture was stirred at rt. The reaction was monitored by 19F-NMR and when only one isomer was observed, the reaction mixture was diluted with EtOAc (30 mL). The mixture was washed with water, saturated aq. Na2S2O3 (2 × 10 mL), and dried over Na2SO4. The organic layer was concentrated under reduced pressure to afford the desired (2Z,4E)-isomer. HMQC data were obtained for (2Z,4E)-6c and (2Z,4E)-6d, and where unequivocally assigned, through-bond C–F couplings are reported as 1JCF, 2JCF, etc. Due to the close structural similarity, these couplings are also reported for (2Z,4E)-6a and (2Z,4E)-6b, where possible.
(2Z,4E)-2-Fluoro-N-methoxy-N-methyl-5-(naphthalene-2-yl)penta-2,4-dienamide (2Z,4E)-6a. Isomerization was performed with (2Z,4E/Z)-6a (16.0 mg, 0.056 mmol) in CHCl3 (8.0 mL) using I2 (1.2 mg, 4.7 × 10−3 mmol, 8.4 mol %), in a reaction time of 3 h, to yield isomer (2Z,4E)-6a as a white solid (12.0 mg, 75%). Rf (SiO2, 30% EtOAc in hexanes): 0.49. 1H-NMR (CDCl3): δ 7.83–7.80 (m, 4H, Ar-H), 7.69 (dd, 1H, Ar-H, J = 8.3; 1.5 Hz), 7.50–7.46 (m, 2H, Ar-H), 7.21 (dd, 1H, J = 15.8; 11.3 Hz), 6.97 (d, 1H, J = 15.8 Hz), 6.72 (dd, 1H, J = 32.4; 11.3 Hz), 3.80 (s, 3H, OCH3), 3.29 (s, 3H, CH3). 13C-NMR (CDCl3): δ 162.8 (d, 2JCF = 26.5 Hz), 150.2 (d, 1JCF = 275.6 Hz), 137.9 (d, 4JCF = 4.5 Hz), 134.1 (d, J = 1.9 Hz), 133.7, 128.7, 128.4, 128.0 (d, J = 1.8 Hz), 127.9, 126.8, 126.7, 123.6, 119.6 (d, 3JCF = 3.7 Hz),118.2 (d, 2JCF = 9.2 Hz), 62.1 (d, 5JCF = 2.8 Hz), 34.3. 19F-NMR (CDCl3): δ −123.4 (d, 3JHF = 30.5 Hz).
(2Z,4E)-2-Fluoro-N-methoxy-N-methyl-5-(4-methoxyphenyl)penta-2,4-dienamide (2Z,4E)-6b. Isomerization was performed with (2Z,4E/Z)-6b (14.0 mg, 0.053 mmol) in CHCl3 (8.0 mL) using I2 (1.3 mg, 5.1 × 10−3 mmol, 10 mol %), in a reaction time of 3 h, to yield isomer (2Z,4E)-6b as a pale yellow solid (12.0 mg, 86%). Rf (SiO2, 30% EtOAc in hexanes): 0.35. 1H-NMR (CDCl3): δ 7.42 (d, 2H, Ar-H, J = 7.3 Hz), 6.95 (dd, 1H, J = 15.6; 11.2 Hz), 6.88 (d, 2H, Ar-H, J = 6.8 Hz), 6.75 (d, 1H, J = 15.6 Hz), 6.65 (dd, 1H, J = 32.2; 11.2 Hz), 3.83 (s, 3H, OCH3), 3.77 (s, 3H, OCH3), 3.26 (s, 3H, CH3). 13C-NMR (CDCl3): δ 162.9 (d, 2JCF = 26.8 Hz), 160.4, 149.5 (d, 1JCF = 272.8 Hz), 137.5 (d, 4JCF = 4.3 Hz), 129.5, 128.7, 118.7 (d, 2JCF = 9.1 Hz), 117.2, 114.5, 62.1, 55.6, 34.3. 19F-NMR (CDCl3): δ –125.2 (d, 3JHF = 33.6 Hz).
(2Z,4E)-2-Fluoro-N-methoxy-N-methyl-5-(4-nitrophenyl)penta-2,4-dienamide (2Z,4E)-6c. Isomerization was performed with (2Z,4E/Z)-6c (4.5 mg, 0.017 mmol) in CHCl3 (1.6 mL) using I2 (0.3 mg, 1.2 × 10−3 mmol, 7 mol %), in a reaction time of 1.5 h, to yield isomer (2Z,4E)-6c as a yellow solid (4.0 mg, 89%). Rf (SiO2, 30% EtOAc in hexanes): 0.47. 1H-NMR (CDCl3): δ 8.21 (d, Ar-H, 2H, J = 8.8 Hz), 7.60 (d, Ar-H,2H, J = 8.8 Hz), 7.23 (dd, 1H, J = 15.6; 11.2 Hz), 6.83 (d, 1H, J = 15.6 Hz), 6.65 (dd, 1H, J = 31.7; 11.2 Hz), 3.79 (s, 3H, OCH3), 3.28 (s, 3H, CH3). 13C-NMR (CDCl3): δ 162.3 (d, C= O, 2JCF = 26.6 Hz), 151.8 (d, C-F, 1JCF = 280.1 Hz), 147.6, 142.9, 134.7 (d, 4JCF = 4.6 Hz), 127.6, 124.4, 123.6 (d, 3JCF = 3.7 Hz), 116.8 (d, 2JCF = 9.2 Hz), 62.2 (d, 5JCF = 2.3 Hz), 34.2. 19F-NMR (CDCl3): δ −119.6 (d, 3JHF = 30.5 Hz).
(2Z,4E)-2-Fluoro-N-methoxy-N-methyl-5-(thiophen-2-yl)penta-2,4-dienamide (2Z,4E)-6d. Isomerization was performed with (2Z,4E/Z)-6d (12.0 mg, 0.050 mmol) in CHCl3 (7.5 mL) using I2 (1.2 mg, 4.7 × 10−3 mmol, 10 mol %), in an overnight reaction, to yield isomer (2Z,4E)-6d as an off-white solid (11.0 mg, 92%). Rf (SiO2, 30% EtOAc in hexanes): 0.34. 1H-NMR (CDCl3): δ 7.26 (d, 1H, Ar-H, J = 5.4 Hz), 7.09 (d, 1H, Ar-H, J = 3.4 Hz), 7.00 (dd, 1H, Ar-H, J = 5.1; 3.7 Hz), 6.92 (d, 1H, J = 15.6 Hz), 6.86 (dd, 1H, J = 15.6; 10.7 Hz), 6.61 (dd, 1H, J = 32.2; 10.7 Hz), 3.77 (s, 3H, OCH3), 3.26 (s, 3H, CH3). 13C-NMR (CDCl3): δ 162.7 (d, 2JCF = 26.5 Hz), 150.1 (d, 1JCF = 275.5 Hz), 142.1 (d, J = 2.3 Hz), 130.4 (d, 4JCF = 5.0 Hz), 128.1 (d, J = 1.8 Hz), 128.0, 126.5 (d, J = 1.4 Hz), 118.9 (d, 3JCF = 3.2 Hz), 117.9 (d, 2JCF = 9.6 Hz), 62.1 (d, J = 2.7 Hz), 34.3. 19F-NMR (CDCl3): δ −123.7 (d, 3JHF = 30.5 Hz).
4. Conclusions
In conclusion, we have developed a highly modular approach to (2Z,4E)-2-fluoro-2,4-dienamides. This was achieved via two sequential Julia-Kocienski olefinations. In the first olefination, a Z-α-fluorovinyl Weinreb amide unit, with a benzothiazolylsulfanyl substituent at the allylic position, was assembled. For this, two key building blocks, a known fluorinated Julia-Kocienski reagent with a Weinreb amide moiety (1) and 2-(benzo[d]thiazol-2-ylthio)acetaldehyde (2), a precursor to the second Julia-Kocienski reagent, were reacted. Condensation proceeded with high Z-stereoselectivity and in a good 76% yield. Oxidation of the sulfide to the sulfone furnished the “second-generation” Julia-Kocienski olefination reagent, which underwent reactions with aldehydes to furnish the dienamides in 50%–74% yields. The second set of olefinations proceeded under DBU-mediated conditions and with Z-stereoselectivity. Isomeric (2Z,4E/Z)-mixtures underwent iodine-mediated isomerization to a single (2Z,4E)-dienamide isomer. Although the method was performed with a Weinreb amide moiety, it is potentially applicable to other amides as well. Moreover, due to versatile chemistry of the Weinreb amide moiety, the (2Z,4E)-2-fluoro Weinreb dienamides are potentially useful synthetic building blocks, which can undergo a variety of conversions leading to more complex molecules. In this context, the present method offers a straightforward access to synthetically valuable entities that are not otherwise easily prepared by traditional synthetic approaches to Weinreb amides.
Supplementary Materials
Supplementary materials can be accessed at: http://www.mdpi.com/1420-3049/19/4/4418/s1.
Acknowledgments
This work was supported by NSF Grant CHE-1058618 and a PSC CUNY award. Infrastructural support was provided by NIH NCRR Grant 2G12RR03060-26A1 and by NIMHD Grant 8G12MD007603-27.
Conflicts of Interest
The authors declare no conflict of interest.
References and Notes
- Nájera, C.; Yus, M. Natural products with polyene amide structures. In Bioactive Natural Products (Part B). Studies in Natural Products Chemistry; Rahman, A., Ed.; Elsevier Science B. V.: Amsterdam, The Netherlands, 2000; Volume 21, pp. 373–455. [Google Scholar]
- Tsuji, N.; Kobayashi, M.; Nagashima, K. A new antifungal antibiotic, trichostatin. J. Antibiot. 1976, 29, 1–6. [Google Scholar] [CrossRef]
- Yoshida, M.; Kijima, M.; Akita, M.; Beppu, T. Potent and specific inhibition of mammalian histone deacetylase both in vivo and in vitro by trichostatin A. J. Biol. Chem. 1990, 265, 17174–17179. [Google Scholar]
- Drummond, D.C.; Noble, C.O.; Kirpotin, D.B.; Guo, Z.; Scott, G.K.; Benz, C.C. Clinical development of histone deacetylase inhibitors as anticancer agents. Annu. Rev. Pharmacol. Toxicol. 2005, 45, 495–528. [Google Scholar] [CrossRef]
- Jacobson, M. The structure of pellitorine. J. Am. Chem. Soc. 1949, 71, 366–367. [Google Scholar] [CrossRef]
- Ee, G.C.L.; Lim, C.M.; Rahmani, M.; Shaari, K.; Bong, C.F.J. Pellitorine, a potential anti-cancer lead compound against HL60 and MTC–7 cell lines and microbial transformation of piperine from Piper nigrum. Molecules 2010, 15, 2398–2404. [Google Scholar] [CrossRef]
- Bezerra, D.P.; Pessoa, C.; de Moraes, M.O.; Saker-Neto, N.; Silveira, E.R.; Costa-Lotufo, L.V. Overview of the therapeutic potential of piplartine (piperlongumine). Eur. J. Pharm. Sci. 2013, 48, 453–463. [Google Scholar] [CrossRef]
- Bezerra, D.P.; Pessoa, C.; de Moraes, M.O.; de Alencar, N.M.N.; Mesquita, R.O.; Lima, M.W.; Alves, A.P.N.N.; Pessoa, O.D.L.; Chaves, J.H.; Silveira, E.R.; et al. In vivo growth inhibition of sarcoma 180 by piperlonguminine, an alkaloid amide from the Piper species. J. Appl. Toxicol. 2008, 28, 599–607. [Google Scholar] [CrossRef]
- Lee, W.; Yoo, H.; Ku, S.-K.; Kim, J.A.; Bae, J.-S. Anticoagulant activities of piperlonguminine in vitro and in vivo. BMP Rep. 2013, 46, 484–489. [Google Scholar] [CrossRef]
- Kim, K.-S.; Kim, J.A.; Eom, S.-Y.; Lee, S.H.; Min, K.R.; Kim, Y. Inhibitory effect of piperlonguminine on melanin production in melanoma B16 cell line by downregulation of tyrosinase expression. Pigment Cell Res. 2006, 19, 90–98. [Google Scholar] [CrossRef]
- Rodrigues Silva, D.; Baroni, S.; Svidzinski, A.E.; Bersani-Amado, C.A.; Cortez, D.A.G. Anti-inflammatory activity of the extract, fractions and amides from the leaves of Piper ovatum Vahl (Piperaceae). J. Ethnopharmacol. 2008, 116, 569–573. [Google Scholar] [CrossRef]
- Makapugay, H.C.; Soejarto, D.D.; Kinghorn, A.D.; Bordas, E. Piperovatine, the tongue-numbing principle of Ottonia frutescens. J. Ethnopharmacol. 1983, 7, 235–238. [Google Scholar] [CrossRef]
- Charrier, C.; Roche, J.; Gesson, J.-P.; Bertrand, P. Biological activities of substituted trichostatic acid derivatives. J. Chem. Sci. 2009, 121, 471–479. [Google Scholar] [CrossRef]
- Welch, J.T. (Ed.) Selective Fluorination in Organic and Bioorganic Chemistry; American Chemical Society: Washington, DC, USA, 1991.
- Kirsch, P. Modern Fluoroorganic Chemistry. Synthesis, Reactivity, Applications; Wiley-VCH Verlag GmbH & Co. KGaA: Weinheim, Germany, 2004. [Google Scholar]
- Bégué, J.-P.; Bonnet-Delpon, D. Bioorganic and Medicinal Chemistry of Fluorine; John Wiley & Sons, Inc.: Hoboken, NJ, USA, 2008. [Google Scholar]
- Smart, B.E. Fluorine substituent effects (on bioactivity). J. Fluorine Chem. 2001, 109, 3–11. [Google Scholar] [CrossRef]
- Lemal, D.M. Perspective on fluorocarbon chemistry. J. Org. Chem. 2004, 69, 1–11. [Google Scholar] [CrossRef]
- O’Hagan, D. Understanding organofluorine chemistry. An introduction to the C–F bond. Chem. Soc. Rev. 2008, 37, 308–319. [Google Scholar] [CrossRef]
- Blakemore, P.R. The modified Julia olefination: alkene synthesis via the condensation of metallated heteroarylalkylsulfones with carbonyl compounds. J. Chem. Soc. Perkin Trans. I 2002, 2563–2585. [Google Scholar] [CrossRef]
- Plesniak, K.; Zarecki, A.; Wicha, J. The Smiles rearrangement and the Julia-Kocienski olefination reaction. Top. Curr. Chem. 2007, 275, 163–250. [Google Scholar] [CrossRef]
- Aïssa, C. Mechanistic manifold and new developments of the Julia-Kocienski reaction. Eur. J. Org. Chem. 2009, 1831–1844. [Google Scholar] [CrossRef]
- Blakemore, P.R. Olefination of carbonyl compounds by main-group element mediators. In Comprehensive Organic Synthesis, 2nd ed.; Knochel, P., Molander, G.A., Eds.; Elsevier Ltd: Oxford, UK, 2014; Volume 1, pp. 516–608. [Google Scholar]
- Zajc, B.; Kumar, R. Synthesis of fluoroolefins via Julia-Kocienski olefination. Synthesis 2010, 1822–1836. [Google Scholar] [CrossRef]
- Landelle, G.; Bergeron, M.; Turcotte-Savard, M.-O.; Paquin, J.-P. Synthetic approaches to monofluoroalkenes. Chem. Soc. Rev. 2011, 40, 2867–2908. [Google Scholar] [CrossRef]
- Yanai, H.; Taguchi, T. Synthetic methods for fluorinated olefins. Eur. J. Org. Chem. 2011, 5939–5954. [Google Scholar] [CrossRef]
- Ghosh, A.K.; Zajc, B. High-yield synthesis of fluorinated benzothiazolyl sulfones: General synthons for fluoro-Julia olefinations. Org. Lett. 2006, 8, 1553–1556. [Google Scholar] [CrossRef]
- Zajc, B.; Kake, S. Exceptionally mild, high-yield synthesis of α-fluoro acrylates. Org. Lett. 2006, 8, 4457–4460. [Google Scholar] [CrossRef]
- He, M.; Ghosh, A.K.; Zajc, B. Julia olefination as a general route to phenyl (α-fluoro)vinyl sulfones. Synlett 2008, 999–1004. [Google Scholar]
- del Solar, M.; Ghosh, A.K.; Zajc, B. Fluoro-Julia olefination as a mild, high-yielding route to α-fluoro acrylonitriles. J. Org. Chem. 2008, 73, 8206–8211. [Google Scholar] [CrossRef]
- Ghosh, A.K.; Banerjee, S.; Sinha, S.; Kang, S.B.; Zajc, B. α-Fluorovinyl Weinreb amides and α-fluoroenones from a common fluorinated building block. J. Org. Chem. 2009, 74, 3689–3697. [Google Scholar] [CrossRef]
- Ghosh, A.K.; Zajc, B. Fluorinated 1-phenyl-1H-tetrazol-5-yl sulfonederivatives as general reagents for fluoroalkylidene synthesis. J. Org. Chem. 2009, 74, 8531–8540. [Google Scholar] [CrossRef]
- Kumar, R.; Pradhan, P.; Zajc, B. Facile synthesis of 4-vinyl- and 4-fluorovinyl-1,2,3-triazoles via bifunctional “click-olefination” reagents. Chem. Commun. 2011, 47, 3891–3893. [Google Scholar] [CrossRef]
- Mandal, S.K.; Ghosh, A.K.; Kumar, R.; Zajc, B. Expedient synthesis of α-substituted fluoroethenes. Org. Biomol. Chem. 2012, 10, 3164–3167. [Google Scholar] [CrossRef]
- Kumar, R.; Zajc, B. Stereoselective synthesis of conjugated fluoro enynes. J. Org. Chem. 2012, 77, 8417–8427. [Google Scholar] [CrossRef]
- Chevrie, D.; Lequeux, T.; Demoute, J.P.; Pazenok, S. A convenient one-step synthesis of fluoroethylidene derivatives. Tetrahedron Lett. 2003, 44, 8127–8130. [Google Scholar] [CrossRef]
- Pfund, E.; Lebargy, C.; Rouden, J.; Lequeux, T. Modified Julia fluoroolefination: Selective preparation of fluoroalkenoates. J. Org. Chem. 2007, 72, 7871–7877. [Google Scholar] [CrossRef]
- Alonso, D.A.; Fuensanta, M.; Gómez-Bengoa, E.; Nájera, C. Highly efficient and stereoselective Julia-Kocienski protocol for the synthesis of α-fluoro-α,β-unsaturated esters and Weinreb amides employing 3,5-bis(trifluoromethyl)phenyl (BTFP) sulfones. Adv. Synth. Catal. 2008, 350, 1823–1829. [Google Scholar] [CrossRef]
- Calata, C.; Catel, J.-M.; Pfund, E.; Lequeux, T. Scope and limitations of the Julia-Kocienski reaction with fluorinated sulfonylesters. Tetrahedron 2009, 65, 3967–3973. [Google Scholar] [CrossRef]
- Calata, C.; Pfund, E.; Lequeux, T. Toward the synthesis of benzothiazolyl fluoroaminosulfones. J. Org. Chem. 2009, 74, 9399–9405. [Google Scholar] [CrossRef]
- Zhao, Y.; Huang, W.; Zhu, L.; Hu, J. Difluoromethyl 2-pyridyl sulfone: A new gem-difluoroolefination reagent for aldehydes and ketones. Org. Lett. 2010, 12, 1444–1447. [Google Scholar] [CrossRef]
- Prakash, G.K.S.; Shakhmin, A.; Zibinsky, M.; Ledneczki, I.; Chacko, S.; Olah, G.A. Synthesis of monofluoroalkenes via Julia-Kocienski reaction. J. Fluorine Chem. 2010, 131, 1192–1197. [Google Scholar] [CrossRef]
- Allendörfer, N.; Es-Sayed, M.; Nieger, M.; Bräse, S. Novel aromatic fluoroolefins via fluoro-Julia-Kocienski olefination. Synthesis 2010, 3439–3448. [Google Scholar]
- Calata, C.; Pfund, E.; Lequeux, T. Convergent synthesis of functionalized fluoroallylamines by the Julia-Kocienski reaction. Tetrahedron 2011, 67, 1398–1405. [Google Scholar] [CrossRef]
- Jacobsen, C.B.; Nielsen, M.; Worgull, D.; Zweifel, T.; Fisker, E.; Jørgensen, K.A. Asymmetric organocatalytic monofluorovinylations. J. Am. Chem. Soc. 2011, 133, 7398–7404. [Google Scholar]
- Larnaud, F.; Malassis, J.; Pfund, E.; Linclau, B.; Lequeux, T. Ready synthetic access to enantiopure allylic α(F)-branched fluoroalkenes. Org. Lett. 2013, 15, 2450–2453. [Google Scholar] [CrossRef]
- Singh, G.; Kumar, R.; Swett, J.; Zajc, B. Modular Synthesis of N-Vinyl Benzotriazoles. Org. Lett. 2013, 15, 4086–4089. [Google Scholar] [CrossRef]
- Nahm, S.; Weinreb, S.M. N-Methoxy-N-methylamides as effective acylating agents. Tetrahedron Lett. 1981, 22, 3815–3818. [Google Scholar] [CrossRef]
- Khlestkin, V.K.; Mazhukin, D.G. Recent advances in the application of N,O-dialkylhydroxylamines in organic chemistry. Curr. Org. Chem. 2003, 7, 967–993. [Google Scholar] [CrossRef]
- Balasubramaniam, S.; Aidhen, I.S. The growing synthetic utility of the Weinreb amide. Synthesis 2008, 3707–3738. [Google Scholar]
- For a recent example of the synthetic application of Weinreb amides please see: Pace, V.; Castoldi, L.; Holzer, W. Synthesis of α,β-unsaturated α’-haloketones through the chemoselective addition of halomethyllithiums to Weinreb amides. J. Org. Chem. 2013, 78, 7764–7770. [Google Scholar] [CrossRef]
- Benzothiazole-derived w-sulfonyl aldehydes, employed in intramolecular olefinations leading to αβ-unsaturated lactones, have been reported to be unstable under chromatographic conditions:Giesbrecht, H.E.; Knight, B.J.; Tanguileg, N.R.; Emerson, C.R.; Blakemore, P.R. Stereoselective synthesis of Z-configured αβ-unsaturated macrocyclic lactones and diolides by intramolecular Julia-Kocienski olefination. Synlett 2010, 374–378. [Google Scholar]
- Gaukroger, K.; Hadfield, J.A.; Hepworth, L.A.; Lawrence, N.J.; McGown, A.T. Novel syntheses of cis and trans isomers of combretastatin A-4. J. Org. Chem. 2001, 66, 8135–8138, and references therein. [Google Scholar]
- Manjunath, B.N.; Sane, N.P.; Aidhen, I.S. New reagent for convenient access to the α,β-unsaturated N-methoxy-N-methyl-amide functionality by a synthesis based on the Julia olefination protocol. Eur. J. Org. Chem. 2006, 2851–2855. [Google Scholar] [CrossRef]
- Sample Availability: Contact the authors.
© 2014 by the authors. Licensee MDPI, Basel, Switzerland. This article is an open access article distributed under the terms and conditions of the Creative Commons Attribution license ( http://creativecommons.org/licenses/by/3.0/).




