You are currently viewing a new version of our website. To view the old version click .
Molecules
  • Article
  • Open Access

22 July 2013

Searching for Stable SinCn Clusters: Combination of Stochastic Potential Surface Search and Pseudopotential Plane-Wave Car-Parinello Simulated Annealing Simulations

,
and
1
Air Force Research Laboratory DoD Supercomputer Resource Center, Wright-Patterson Air Force Base, OH 45433, USA
2
Air Force Institute of Technology, Wright-Patterson Air Force Base, OH 45433, USA
3
College of Agriculture, Food Science and Sustainable Systems, Kentucky State University, Frankfort, KY 40601, USA
*
Author to whom correspondence should be addressed.

Abstract

To find low energy SinCn structures out of hundreds to thousands of isomers we have developed a general method to search for stable isomeric structures that combines Stochastic Potential Surface Search and Pseudopotential Plane-Wave Density Functional Theory Car-Parinello Molecular Dynamics simulated annealing (PSPW-CPMD-SA). We enhanced the Sunders stochastic search method to generate random cluster structures used as seed structures for PSPW-CPMD-SA simulations. This method ensures that each SA simulation samples a different potential surface region to find the regional minimum structure. By iterations of this automated, parallel process on a high performance computer we located hundreds to more than a thousand stable isomers for each SinCn cluster. Among these, five to 10 of the lowest energy isomers were further optimized using B3LYP/cc-pVTZ method. We applied this method to SinCn (n = 4–12) clusters and found the lowest energy structures, most not previously reported. By analyzing the bonding patterns of low energy structures of each SinCn cluster, we observed that carbon segregations tend to form condensed conjugated rings while Si connects to unsaturated bonds at the periphery of the carbon segregation as single atoms or clusters when n is small and when n is large a silicon network spans over the carbon segregation region.

1. Introduction

Interest is growing in understanding the structures of molecular clusters intermediate between small molecules and nano-crystals of carbon, silicon and silicon carbide. Study of the complex molecular clusters of silicon carbide builds on better studied understanding of carbon and silicon molecular clusters. As is the case for thin-film silicon and carbon, an important interest for silicon carbide is for applications of solid state thin film materials. Single crystal silicon carbide is important for sensors and electronics and nano-mechanics applications, especially for these applications in challenging environments.
Formation of high-purity, high-performance thin film materials from small molecules is a general approach for generating pure thin film materials for electronics and nano-materials applications using processing techniques such as chemical vapor deposition, molecular beam epitaxy or deposition by pulsed laser ablation [,]. Structures of solid state carbon and silicon are very different from structures of small carbon and silicon molecules and still different from structures of carbon and silicon molecular clusters. Interesting bonded structures confer special stability or reactivity. For different synthesis processes and in various processing conditions the growth of stable intermediate molecular clusters can either benefit or can degrade efficient growth of single crystal thin films from small molecules. In addition to interest in applications of thin film materials new applications of nano-crystals also motivates this study.
More recent applications of nanometer-scale particulate materials take advantage of the exceptional optical [] and photochemical [,] and biological properties [] of materials having sizes intermediate between small molecules and solid state materials. Study of molecular clusters as examples and models of practical nano-particles can provide insight into the stability and reactivity and optical properties leading to their special characteristics.
Here again, study of silicon nano-particles and carbon allotropes, buckyballs and graphene, point toward potential for discovery of novel properties of silicon carbide nano-particles. For example, silicon nanocrystals have a different structure and electronic band structure from bulk silicon, permitting silicon nanocrystals to be applied in optical devices while bulk silicon cannot [] and the graphene allotrope of carbon has very different quantum electronic properties from graphite [,] While work on silicon carbide molecular clusters has only just begun.
Using chemical intuition to explore the connectivity space in order to describe the minimum energy molecular structure of even mid-sized molecular clusters can be a labor-intensive endeavor []. Recent algorithmic methods have been advanced to systematize and automate quantum mechanics description of low-energy cluster isomers, for example including genetic algorithms [], ordinary and symmetry-adapted search algorithms [], and graph theory []. We developed and applied a general method for cluster connectivity analysis that combines stochastic potential surface search and pseudopotential plane-wave Density Functional Theory Car-Parinello molecular dynamics simulated annealing (PSPW-CPMD-SA) to search for stable isomeric structures.
By the results of this research we show that large silicon carbide molecular structures join delocalized carbon groups having structural similarities to structures in graphene or buckyballs with silicon groups having structural similarities to silicon nanoclusters in a myriad of combinations depending on the size of the SinCn molecular cluster.

2. Results and Discussion

Using the method outlined in the Experimental section, we studied the isomeric structures of SinCn clusters for values of n from 4 to 12. For each cluster, we determined which isomer structure had the lowest lying energy among hundreds to thousands of local minimum structures depending on the size of the SinCn cluster. We analyzed the structures and compared them with computed minimum energy structures found in the available literature. We report and discuss the results as follows in order of increasing n.

2.1. Si4C4

The structures and relative energies of the lower energy Si4C4 clusters are displayed in Figure 1. The lowest energy structure is shown as 1a having C2h symmetry, composed of two Si2C2 groups connected by a C-C bond in trans positions. From another perspective view, the structure has a nearly linear SiC4Si conjugated bonding backbone with two Si atoms attached side by side at each end. In the backbone the average C-C bond distance is 1.34 Å and Si-C distance 1.74 Å. This trans isomer has a corresponding cis isomer, labeled as 1c in Figure 1 having energy 0.09 eV higher. This isomer cluster has been studied previously by different groups [,,,,,] and various stable structures were reported as lowest energy structures. The low lying energy structures we found with our search method include previously published structures, labeled as 1b, 1d, 1f and 1g in Figure 1. All these previously reported structures have higher energies than 1a ranging from 0.05 eV up to 0.78 eV. By viewing all the low lying energy structures, we see a trend that the C atoms tend to bond each other to form a conjugated segregation group while the Si atoms either cap the dangling bonds of C atom or form a dimer or trimer Si cluster.

2.2. Si5C5

Among Si5C5 clusters six isomer structures having the low lying energy are shown in Figure 2. The lowest energy isomer, labeled as 2a in the figure, has a five carbon ring in the middle for which the average C-C bond length is 1.46 Å, indicating conjugation of the C5 group. A three-silicon triangle connects to C5 ring by bridging one C-C pair forming a distorted hexahedron structure. The isomer structure has Cs symmetry. All the other low energy structures involve four to six adjoining carbon atoms in a silicon-carbon ring. Structure 2b, also having Cs symmetry, has an energy very close to that of 2a (+0.06 eV). It has a 6-member SiC5 ring in the cluster. Structures 2f and 2g were reported previously [,] and they both were reproduced in this work. These two structures have significantly higher energy than the other five low lying energy structures; the isomer 2g which has a Si4C5 9-member ring has an especially high energy.
Figure 1. The structures and relative energies (in eV) of the lower energy Si4C4 clusters. Structures labeled in red have been previously reported in literature as 1b [], 1d [,,], 1e [], 1f [], 1g [].
Figure 2. The structures and relative energies (in eV) of the lower energy Si5C5 clusters. Structure 2f and 2g are previously reported in ref. [] and ref. [], respectively.

2.3. Si6C6

The most stable isomer for the Si6C6 clusters was found to be a planar structure. It is discernibly more stable than the four other low energy structures shown in Figure 3. This structure, labeled as 3a, has in its middle a pentalene type fragment with two C atoms substituted by Si atoms. In this fragment, the average C-C distance is 1.42 Å, while that of Si-C is 1.93Å, signifying a relatively strong conjugation in the C fragment and a weak Si-C bond. The whole structure is planar with Cs symmetry. Isomer 3b is very close in energy (+0.07 eV). Its C6 ring in the middle has an average C-C distance of 1.43 Å also showing rather strong conjugation. The dangling bonds of C atoms are capped by 2 Si atoms and a Si4 cluster. All the other low lying energy structures, 3c, 3d and 3e, have a C5 ring with an average C-C distance of 1.45 Å. Structure 3e was reported previously as the lowest energy structure []. Our results show that this 3e structure is significantly higher in energy than four other low energy isomer structures.
Figure 3. The structures and relative energies (in eV) of the lower energy Si6C6 clusters. Structure 3e is previously reported in ref. [].

2.4. Si7C7

The low lying energy structures of Si7C7 clusters, displayed in Figure 4, all contain either a C6 ring or a C5 ring. The most stable isomer, 4a, has a carbon segregation in form of a C6 ring with a C atom attached to it. The average C-C bond distance is 1.41 Å, which suggests conjugation in the C segregation. Dangling bonds of the carbon segregation are saturated by two individual Si atoms bridging two C-C bonds in the plane as well as by Si atoms of a Si5 cluster for two other carbon atoms. The whole structure has Cs symmetry. The average Si-C bond is 1.90 Å and the average Si-Si bond is 2.44 Å. The next low energy isomer, 4b, which is significantly higher in energy compared to 4a, has a backbone composed of C5 and SiC4 fused rings. The average C-C bond distance is 1.43 Å. Similar to 4a, the dangling bonds of C atoms are saturated by 2 individual Si atoms and a Si5 cluster. The remaining low lying energy structures, except 4g, have the similar segregation feature as 4a or 4b. Isomer 4f, reported by Zang et al. [] is a planar structure resembling 4b, less one Si-C linkage. It is found to have energy 1.29 eV higher than the lowest energy isomer. Isomer 4g found in our work to have a very high energy compared to the most stable structures was also studied previously, reported in the literature as the lowest energy Si7C7 structure []. In 4g, C and Si atoms form two segregation regions which then fuse to each other forming a cage like structure. This segregated cage like structure is not favored energetically compared other stable structures of Si7C7. However, this type of cage becomes more stable in clusters having higher n.
Figure 4. The structures and relative energies (in eV) of the lower energy Si7C7 clusters. Structure 4f is previously reported in ref. [] and structure 4g is previously reported in ref. [].

2.5. Si8C8

In the search process for the low energy isomers of the Si8C8 cluster, among tens of stable isomers we found that as in the cluster Si7C7, lower energy isomers contain carbon atom segregations of either a 5-member carbon ring (CS5) or a 6-member carbon ring (CS6) with the remainder of carbon atoms attached to the rings. By predefining CS5 and CS6 structures in initial geometries, we make the searching process much more efficient, avoiding a large number of high energy species. In other words, we randomly displace Si atoms around either CS5 or CS6 to obtain initial geometries, a concept that has analogy to parent-offspring relations in genetic search algorithms for Si clusters []. These predefined carbon ring structures are stable at 3000K in molecular dynamics simulations.
The lowest energy structures are show in Figure 5. We find that the lowest energy isomer, 5a, has CS5 segregation with Cs symmetry. The dangling bonds of C atoms in CS5 are capped in the carbon plane by three individual Si atoms and two Si atoms from a small cluster of five Si atoms. In 5a, the average bond distance for C-C bonds is 1.43 Å, for Si-C bonds is 1.87 Å and for Si-Si bonds is 2.38 Å. Isomer 5b which has energy +0.10 eV higher contains a CS6 segregation and also has Cs symmetry. The rest of low-lying energy structures, except 5f, either have CS5 or CS6 carbon segregation. Like 5a, from 5b to 5e, all the structures have a character that a molecular plane formed by a C segregation is surrounded by individual Si atoms and a Si clusters. Structure 5f displayed in the same figure was previously reported as the lowest energy isomer for Si8C8 []. In this work we could reproduce the same structure but we found it to have a much higher energy than all of the low energy structures shown in Figure 5. In structure 5f the carbon atoms form a curved CS5 segregation which fuses together with Si segregation forming a cage like structure similar to 4f described above.
Figure 5. The structures and relative energies (in eV) of the lower energy Si8C8 clusters. Structure 5f is previously reported in ref. [].

2.6. Si9C9

For the Si9C9 cluster there are three different stable carbon segregations identified among the tens of the lower energy isomers found in the first stage of searching. The first one is an iso-indene type of structure, i.e., a fused 6-member and 5-member carbon rings (C6-C5) denoted as CS65, the second one is a pentalene type structure labeled as CS55, with two fused 5-member carbon rings (C5-C5), having one C atom attached to it; and the third one is the 6-member ring with a C atom and a C2 group attached in an adjacent position on the ring, denoted as CS6. These carbon segregations as shown in Figure 6 are all planar. As in the search process for Si8C8, after identifying these stable carbon groups, to speed up the search process we predefined these segregations to generate initial structures. The low lying energy isomers of the cluster are displayed in Figure 6 too. The most stable isomer, 6a, has CS65 carbon segregation and is Cs symmetric. Similar to the low lying energy isomers of Si8C8, the dangling bonds of CS65 in the 6a are saturated by three bridge-bonding Si atoms and a small cluster of Si6. The average C-C bond length in the structure is 1.42Å, the Si-C length is 1.86 Å and the Si-Si length is 2.36 Å. The next to lowest energy isomer, 6b (+0.56 eV) has a very similar structure to 6a, differing only by the bonding positions of the Si atoms and the small cluster. In isomer 6c, with two Si atoms bonding CS6 carbon segregation, the molecular plane is of form a fused 3-ring structure of C6-C4Si-C4Si. The rest of the low lying energy structures all contain one of the three carbon segregations. The structure 6f, reported previously by Song et al. [], unlike the other low-lying energy structures in Figure 6, is of a cage structure that is formed by a curved CS55 segregation networked to a silicon segregation of two fused 5-member Si rings. With our finding, this structure is higher as much as 2.6 eV in energy compared to the stable non-cage structure. The structure of 6f is actually similar to 6e except that the Si atoms are not joined into the cage structure of 6f, so the difference in energy between 6e and 6f, ~1.3 eV, represents the resolution of the stabilization energy by forming additional Si-Si bonds and the destabilizing strain energy in forming the cage, a large portion of which is associated with bending the condensed C5-C6 ring of the planar CS55 carbon structure.
Figure 6. The structures and relative energies (in eV) of the lower energy Si9C9 clusters and carbon segregations. Structure 6f is previously reported in ref. [].

2.7. Si10C10

The Si10C10 cluster is sufficiently large to manifest a tendency to become a cage-like structure in low lying energy structures. Sufficient numbers of Si atoms are in the cluster to span the planar carbon segregation groups such that the strain energy is compensated by Si-Si bond formation. Four stable carbon segregations shown in Figure 7 exist among low lying energy structures of Si10C10. The first one is a naphthalene type structure labeled as CS66; the second one is an indene type structure labeled as CS56, having one C attached on the C6 ring; the third one is a fused three C5 rings denoted as CS555 and the last one, a pentalene type structure, having two carbons attached aside of one C5 ring, labeled as CS55. The most stable structure in Figure 7, 7a, has a CS66 segregation networked to a segregation of nine Si atoms. A single Si atom is bridge bonded to two C atoms of CS66 ring to cap the dangling bonds at the end of CS66 opposite the cage attachment. The isomer is in open cage structure to maintain the most planarity of CS66 In this structure, the average C-C bond length is 1.427Å, featuring conjugated bonding, while for Si-C and Si-Si bonds, the average lengths are 1.926 Å and 2.531 Å respectively. Strained Si-Si bonds are weaker than in smaller non-cage structures. The two isomers close in energy, 7b and 7c, have open-cage structures similar to 7a differing by changes in the networks of the segregation of Si atoms. Structure 7d has an open cage containing CS56 carbon segregation. The rest of low lying isomers, 7e, 7f and 7g are in closed cage-like structures, i.e., all ten Si atoms are networked and form a cage spanning one of the carbon segregations, i.e., CS555 in structure 7e, CS56 in 7f and CS55 in 7g. Again, by comparing the energies, we can see that an open cage structure wins the competition compromising strain energy in Si-Si bonds and in the carbon segregation. Structure 7e and 7g were reported as most stable structures for the cluster previously [,], but they both have higher energy than 7a found in this work.
Figure 7. The structures and relative energies (in eV) of the lower energy Si10C10 clusters and carbon segregations. Structure 7e and 7g are previously reported in ref. [] and ref. [], respectively.

2.8. Si11C11

As with Si10C10, increasing numbers of total atoms in a SinCn cluster tends stabilize a cage structure. The Si11C11 cluster is the smallest SinCn cluster for which the lowest energy isomer is a fully closed cage. In Si11C11 all low lying energy structures, shown in Figure 8, have cage-like structures, among them, only one, 8c is an open cage. There are two main carbon segregations contain in these structures as showed in Figure 8. The first one is indene type fragment with a C2 group attached to C6 ring, labeled as CS56. Another one is tri-cycle fragment composed of two C5 rings and one C6 ring, named as CS556. Both carbon segregations are curved rather than planar, permitting these structures to be spanned easier to form the cage structures. All the low lying energy isomers contain the S556 segregation, except the lowest energy isomer, 8a, which contains a CS56 segregation. The larger stability of 8a may be interpreted as that the CS56 combines two Si atoms to make up a fused-tetra-ring structure of C5-C6-C4Si- C4Si ring. In the 8a, the average C-C bond length is 1.428 Å while for Si-C and Si-Si bonds, the average lengths are 1.889 Å and 2.433 Å respectively. Isomer 8b was reported earlier as the lowest structure [], but we find that it has energy 0.20 eV higher than isomer 8a.
Figure 8. The structures and relative energies (in eV) of the lower energy Si11C11 clusters and carbon segregations. Structure 8b is previously reported in ref. [].

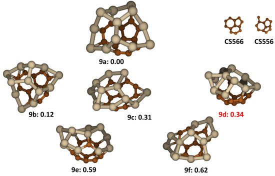
2.9. Si12C12

In the low-lying structures of the cluster, we identified two carbon segregations as shown in Figure 9. They both are curved and the first one (CS665) has two C6 rings and one C5 ring fused together while the second one (CS655) has one C6 ring and two C5 rings fused together. We noted that CS665 is actually a fragment of the carbon buckyball structure consistent with its greater stability. By networking one of the carbon segregations with Si segregation, the low lying energy structures of the Si12C12 cluster tend to form closed cages as shown in Figure 9. The lowest energy structure, 9a, has a CS665 segregation and so do the other three low lying energy structures, 9b, 9c and 9f. The average C-C, Si-C and Si-Si bond lengths in structure 9a are 1.424 Å, 1.918 Å and 2.399 Å, respectively. The average Wiberg bond orders were 1.28 ± 0.12 for C-C bonds in the conjugated carbon segregation, 0.73 ± 0.04 for comparatively weak SiC bonds at the periphery of the carbon segregation region and 0.96 ± 0.08 for Si-Si bonds in the Si segregation region. The other two low lying structures, 9d and 9e, have CS655 segregations. Structure 9d was previously reported to be the lowest energy structure []. However we find that 9d has energy about 0.34 eV higher than the lowest energy isomer, 9a, another illustration of the advantage of our method to evaluate many randomly generated structures to find structures that have special stability.
Figure 9. The structures and relative energies (in eV) of the lower energy Si12C12 clusters and carbon segregations. Structure 9d is previously reported in ref. [].

3. Experimental

For SinCn clusters having equal number n of Si and C atoms, if n is greater than one there are numerous stable isomeric structures each of which is a minimum on the potential energy surface (PES). The number of stable isomers increases geometrically with n. As illustrated in Figure 10, if we divide a SinCn potential energy surface into connectivity regions that are surrounded by relatively high peaks, the minima in a region can be classified as local minima and one regional minimum. The lowest energy regional minimum should be the global minimum isomer, i.e., the most stable structure for a SinCn cluster. Our general approach is: (a) stochastically generate a initial structure which resembles of a minimum energy structure in a potential energy connectivity region; (b) starting with the initial structure, use an efficient and reliable computational method at a moderate level of theory to search for the regional minimum structure; (c) repeat steps (a) and (b) until a sufficiently large number (hundreds to thousands) of regional minima are found; (d) choose lower energy regional minimum structures (usually 5 to10) spanning the approximate uncertainty of the moderate computational method; refine these structures at higher level of theory thereby finding a global minimum structure at the higher level of theory.
Figure 10. Illustrative diagram for SinCn cluster connecting potential surface. The red dashed lines indicate the paths of searching a regional minimum from a random-generated initial structure.
For procedure a, inspired by the stochastic search (kick) method [], we developed a structure generator to generate at random a cluster structure. The generator program, written in FORTRAN, includes following characteristics:
(i)
As in the original kick method, each atom is first placed in the origin position, and then displaced to a new position according to the three separately randomly generated distances corresponding to x, y and z coordinate axes. The maximum distance at each axis is limited to B/3, where B is the latitude of a prolate ellipsoid described below.
(ii)
The new position of each atom is constrained in a sampling space with a shape of a prolate ellipsoid. The longitude of the ellipsoid is long enough to accommodate a nearly linear SinCn structure while the latitude is half of the longitude to include non-linear structures. If the new position of the atom is outside the sampling space, the atom is re-displaced from the current position.
(iii)
In order to make the kicked structure chemically meaningful, the position of each atom in the generated structure is re-examined to know whether or not the new atom position is within an appropriate pair distance from its nearest neighboring atom(s). The selected pair distance is approximately the bond length of that pair. If the atom at the new position is not within a bonding distance of any other atom or is too close to any atom or atoms, the atom is re-displacedfrom the current position. This procedure is continued until all atoms of the structure are in a position satisfying both inclusion in the prolate ellipsoid and the bonding distance requirements.
(iv)
The generator has capability to displace atoms around a predetermined fixed structural group of bonded atoms. i.e., a segregation structure comparable to a functional group in organic chemistry. In many situations, normally for n ≤ 8, after analyzing regional minima of many SinCn isomer structures we found that some common segregation structural groups recur in many lower energy regional structures. In these cases search procedure b can be expedited by generating initial structures containing that known, fixed structure group of atoms.
To efficiently search for a regional minimum structure in procedure b, we employed the Pseudopotential Plane-Wave (PSPW) Density Functional Theory Car-Parinello Molecular Dynamics (CPMD) simulated annealing method [,,,]. It is known that PSPW approximately achieves chemical accuracy while being fast enough to rapidly model a large number of isomer systems. In combination with ab initio molecular dynamics (AIMD) method (e.g., Car-Parrinello), it can simulate dynamics on a ground state potential surface directly at run time. It is ideal to use PSPW-CPMD with Simulated Annealing (SA) simulations to comprehensively explore energy surface and search for low-lying isomers. The structures generated by the generator are used as the initial structure for the PSPW-CPMD-SA simulation calculations. During the annealing Nose-Hoover constant temperature is used. Initial temperatures for electrons and ions are set equal to 3,000 K. The relaxation time of 250 a.u. (2π/ω, where ω is the oscillator frequency) and 5 a.u. time step were used. An exponential cooling schedule having scaling time constant of 4.134 × 104 a.u. (1ps) was used. Each structure obtained from this PSPW-CPMD-SA procedure was re-optimized at the same PSPW Density Functional Theory (DFT) level of theory. For the PSPW calculations, we used a Free-Space Boundary Condition with simple cubic super cell using a cell parameter of 20–30Å, depending on the sizes of SiC clusters. The size of the super cell selected was sufficient to avoid unphysical image interactions. A 10 hartree energy cutoff for the plane-wave wavefunctions was used. Hamann pseudopotentials were used for both Si and C atoms. Vosko’s LDA of exchange-correlation was used for PSPW DFT calculations. The PSPW-CPMD-SA simulations and PSPW-DFT re-optimizations were carried out using NWChem computational package []. The re-optimized structure was then archived and classified according to its total energy.
The above screening procedure from generating initial structure through PSPW-CPMD-SA, PSPW-DFT re-optimization and archiving and classifying was automated and repeated through a comprehensive shell script running in parallel on a high performance computer platform. After hundreds to thousands screening procedures, five to 10 of the lowest lying energy structures for each SinCn were selected for further optimization using DFT theory with full core atomic basis sets. Specifically, B3LYP hybrid functional [] with cc-pVTZ basis sets [] were employed using the Gaussian 09 computational chemistry package [].

4. Conclusions

We designed and applied a combined approach of Stochastic Potential Surface Search and Pseudopotential Plane-Wave Car-Parinello Simulated Annealing (PSPW-CPMD-SA) to search the low-lying energy SinCn (n = 4–12) cluster structures. Specifically, a comprehensive random structure generator for initial SinCn structures was developed. Using the randomly generated initial structures as seeds, PSPW-CPMD-SA is employed as search engine to locate stable SinCn isomers. The iterative searching process involving initial structure generating, SA searching and energy/structure sorting is automated with an elaborated shell script. Geometry optimizations with DFT with full core atomic basis sets, specifically B3LYP/cc-pVTZ level of theory, are performed on low-lying energy isomer structures to fine tune the energy order and to determine the most stable one. The searching method was originally designed to search among SinCn cluster isomers, but it can be applied to search other molecular clusters, e.g., UxOy clusters and SinCmO clusters, as we intend to do.
By analyzing the most stable structures in isomers of SinCn clusters, we can see some interesting trends of how C and Si atoms bond in clusters with increasing n. First C atoms trend to form a conjugated segregation in the most stable isomers of a cluster. When the number of C atoms is equal to or larger than five the C segregation tends to form ring structures. These condensed ring structures are planar in smaller clusters and they will maintain planar when they grow until they yield to become curved forming more Si-C bonds with Si networked segregation spanning over it in larger clusters. For Si atoms, when clusters are small, they occur as single Si atom bridging C-C or prevalently in small tetrahedral clusters of Si3 rings that saturate dangling bonds at the edges of the carbon segregation. For example in Si9C9 three of the nine Si atoms separately cap five dangling bonds around the CS65 carbon segregation while the remaining six Si atoms in form of a small cluster connect to the carbon segregation to saturate the other two carbon dangling bonds. When a SinCn cluster gets bigger, the Si atoms tend to form a network with each other that spans over a carbon segregation forming a cage like structure. In this way the stability gained from forming more Si-C bonds at the periphery overcomes the steric hindrance of curving a conjugated C segregation. This trend of bonding style can be seen by comparing structure 6a, 7a and 8a. In 6a, the most stable structure of Si9C9, carbon atoms occur in planar ring structure of CS65 while Si atoms connect to carbon rings in single atom or small cluster. In 7a, carbon atoms exist still in nearly planar ring structure of CS66. However, except that one Si atom caps two C atoms in C-C bond similar to the structure 6a, the rest of nine Si atoms are networked to span over the carbon segregation making whole structure an open cage. When it comes to Si11C11, in 8a, carbon atoms in the conjugated ring structure CS56 becomes curved in order to accept the Si11 network spanning over it. The structure of the minimum energy isomer 9a for Si12C12 suggests that large Si-C clusters may be more than only theoretical interest. The intimate bonding of a carbon-segregated region that looks like conductive graphene and the bonding in the silicon-segregated region that resembles the photon-emitting structure of porous silicon suggests that these Si12C12 nanoparticles may have unusual and interesting optoelectronic properties.
In previous research describing low energy SinCm cluster structures, we showed that the structures of minimum energy isomers was dictated by maximizing the number of strong C-C bonds and minimizing weaker Si-Si bonds in favor of Si-C bonds. [,] In this research we show the consequence of this thermodynamic imperative for low-energy isomers of larger SinCn clusters, modified by strain effects in Si segregation and C segregation regions for cage clusters. Structures of minimum energy isomers and low energy isomers exhibit a melding of carbon segregation of condensed ring structures with silicon segregation structures by Si-C bonds. For small n, silicon atoms generally terminate the carbon segregation region forming 3-member Si2C or SiC2 rings. Clusters having larger n are characterized by formation of networks of Si3 and Si4 groups that span the carbon segregation structure.

Acknowledgments

The views expressed in this work are those of the authors and do not reflect the official policy or position of the United States Air Force, Department of Defense, or the United States Government. Authors LWB and XFD gratefully acknowledge financial support from Molecular Dynamics and Theory research program of the Air Force Office of Scientific Research managed by Michael Berman. The DoD High Performance Computing Modernization Program and the AFRL Supercomputing Resource Center (DSRC) are gratefully acknowledged for computer time and helpful support.

Conflicts of Interest

The authors declare no conflict of interest.

References

  1. Verucchi, R.; Aversa, L.; Nardi, M.V.; Taioli, S.; Beccara, S.; Alfè, D.; Nasi, L.; Rossi, F.; Salviati, G.; Iannotta, S. Epitaxy of Nanocrystalline Silicon Carbide on Si(111) at Room Temperature. J. Am. Chem. Soc. 2012, 134, 17400–17403. [Google Scholar] [CrossRef]
  2. Taioli, S.; Garberoglio, G.; Simonucci, S.; Beccara, S.; Aversa, L.; Nardi, M.; Verucchi, R.; Iannotta, S.; Dapor, M.; Alfè, D. Non-adiabatic ab initio molecular dynamics of supersonic beam epitaxy of silicon carbide at room temperature. J. Chem. Phys. 2013, 138, 044701–044708. [Google Scholar] [CrossRef]
  3. Pavesi, L.; Negro, L.D.; Mazzoleni, C.; Franzò, G.; Priolo, F. Optical gain in silicon nanocrystals. Nature 2000, 408, 440–444. [Google Scholar] [CrossRef]
  4. Wu, Q.P.; Li, D.Z.; Chen, Z.X.; Fu, X.Z. New synthesis of a porous Si/TiO2 photocatalyst: testing its efficiency and stability under visible light irradiation, Photochemical and Photobiological. Sciences 2006, 5, 653–655. [Google Scholar]
  5. Bahruji, H.; Bowker, M.; Davies, P.R. Photoactivated reaction of water with silicon nanoparticles. Int. J. Hydrogen Energy 2009, 34, 8504–8510. [Google Scholar] [CrossRef]
  6. Park, J.-H.; Gu, L.; Maltzahn, G.; Ruoslahti, E.; Bhatia, S.N.; Sailor, M.J. Biodegradable luminescent porous silicon nanoparticles for in vivo applications. Nat. Mater. 2009, 8, 331–336. [Google Scholar] [CrossRef]
  7. Novoselov, K.S.; Geim, A.K.; Morozov, S.V.; Jiang, D.; Katsnelson, M.I.; Grigorieva, I.V.; Dubonos, S.V.; Firsov, A.A. Two-dimensional gas of massless Dirac fermions in grapheme. Nature 2005, 438, 197–200. [Google Scholar] [CrossRef]
  8. Zhang, Y.; Jiang, Z.; Small, J.P.; Purewal, M.S.; Tan, Y.-W.; Fazlollahi, M.; Chudow, J.D.; Jaszczak, J.A.; Stormer, H.L.; Kim, P. Landau-Level splitting in graphene in high magnetic fields. Phys. Rev. Lett. 2006, 96, 136806–13609. [Google Scholar] [CrossRef]
  9. Roberts, J.W. Quantum mechanical calculations of monoxides of silicon carbide molecules. AFIT/GNE/ENP/03-09. Air Force Institute of Technology, Wright Patterson Air Force Base: OH, USA, March 2003. Available online: http://www.dtic.mil/cgi-bin/GetTRDoc?AD=ADA414378/ (accessed on 11 July 2013).
  10. Ho, K.-M; Shvartsburg, A.A.; Pan, B.; Lu, Z.-Y.; Wang, C.-Z.; Wacker, J.G.; Fye, J.L.; Jarrold, M.F. Structures of medium-sized silicon clusters. Nature 1998, 392, 582–585. [Google Scholar] [CrossRef]
  11. Wheeler, S.E.; Schleyer, P.V.R.; Schaefer, H.F. SASS: A symmetry adapted stochastic search algorithm exploiting site symmetry. J. Chem. Phys. 2007, 126, 104104–104111. [Google Scholar] [CrossRef]
  12. Pietrucci, F.; Andreoni, W. Graph theory meets ab initio molecular dynamics: atomic structures and transformations at the nanoscale. Phys. Rev. Lett. 2011, 107, 085504–085508. [Google Scholar] [CrossRef]
  13. Szwacki, N.G.; Majewski, J.A. Quantum Monte Carlo vs. Density Functional methods for the prediction of relative energies of small Si–C clusters. ACTA Phys. Polonica A 2011, 120, 964–966. [Google Scholar]
  14. Bertolus, M.; Finocchi, F.; Millié, P. Investigating bonding in small silicon-carbon clusters: Exploration of the potential energy surfaces of Si3C4, Si4C3, and Si4C4 using ab initio molecular dynamics. J. Chem. Phys. 2004, 120, 4333–4343. [Google Scholar] [CrossRef]
  15. Lan, Y.; Kang, H.; Niu, T. Comprehensive understanding of size-, shape-, and composition-dependent polarizabilities of SimCn (m, n = 1–4) clusters. Int. J. Quant. Chem. 2013, 113, 949–958. [Google Scholar] [CrossRef]
  16. Pradhan, P.; Ray, A.K. A density functional study of the structures and energetics of small hetero-atomic silicon–carbon nanoclusters. J. Mol. Struct. THEOCHEM 2005, 716, 109–130. [Google Scholar] [CrossRef]
  17. Hou, J.; Song, B. Density-functional study of structural and electronic properties of SinCn (n = 1–10) clusters. J. Chem. Phys. 2008, 128, 154304–154314. [Google Scholar]
  18. Duan, X.; Wei, J.; Burggraf, L.; Weeks, D. Mapping ground-state properties of silicon carbide molecular clusters using quantum mechanical calculations: SimCn and SimCn (m, n ≤ 4). Comp. Mat. Sci. 2010, 47, 630–644. [Google Scholar] [CrossRef]
  19. Watanabe, K.; Shindo, M.; Tada, K.; Kobayashi, K. Structures and Electronic Properties of SinC5-n Clusters in Electric Fields. Jpn. J. Appl. Phys. Part 1 1999, 38, 5270–5273. [Google Scholar] [CrossRef]
  20. Zhang, J.; Lu, W.C.; Zang, Q.J.; Zhao, L.Z.; Wang, C.Z.; Ho, K.M. An ab initio calculation study of silicon and carbon binary clusters C7Si(n) (n = 1–7). J. Phys. Condens. Matter 2011, 23, 205305–205312. [Google Scholar] [CrossRef]
  21. Huda, M.; Ray, A. Evolution of SiC nanocluster from carbon fullerene: A density functional theoretic study. Chem. Phys. Lett. 2008, 457, 124–129. [Google Scholar] [CrossRef]
  22. Song, B.; Yong, Y.; Hou, J.; He, P. Density-functional study of SinCn (n = 10−15) clusters. Eur. Phys. J. D 2010, 59, 399–406. [Google Scholar] [CrossRef]
  23. Saunders, M. Stochastic search for isomers on a quantum mechanical surface. J. Comp. Chem. 2004, 25, 621–626. [Google Scholar] [CrossRef]
  24. Car, R.; Parrinello, M. Unified approach for molecular dynamics and density. Functional theory. Phys. Rev. Lett. 1985, 55, 2471–2474. [Google Scholar] [CrossRef]
  25. Hohl, D.; Jones, R.O.; Car, R.; Parrinello, M. Structure of sulfur clusters using simulated annealing: S2 to S13. J. Chem. Phys. 1988, 89, 6823–6835. [Google Scholar] [CrossRef]
  26. Laasonen, K.; Sprik, M.; Parrinello, M. “Ab initio” liquid water. J. Chem. Phys. 1993, 99, 9080–9089. [Google Scholar] [CrossRef]
  27. Galli, G.; Gygi, F.; Golaz, J.C. Vibrational and electronic properties of neutral and negatively charged C20 clusters. Phys. Rev. B 1998, 57, 1860–1867. [Google Scholar] [CrossRef]
  28. Valiev, M.; Bylaska, E.J.; Govind, N.; Kowalski, K.; Straatsma, T.P.; van Dam, H.J.J.; Wang, D.; Nieplocha, J.; Apra, E.; Windus, T.L.; et al. NWChem: A comprehensive and scalable open-source solution for large scale molecular simulations. Comput. Phys. Commun. 2010, 181, 1477–1489. [Google Scholar] [CrossRef]
  29. Becke, A.D. Density-functional thermochemistry. III. The role of exact exchange. J. Chem. Phys. 1993, 98, 5648–5652. [Google Scholar] [CrossRef]
  30. Kendall, R. A.; Dunning, T.H., Jr.; Harrison, R.J. Electron affinities of the first-row atoms revisited. Systematic basis sets and wave functions. J. Chem. Phys. 1992, 96, 6796–806. [Google Scholar] [CrossRef]
  31. Frisch, M.J.; Trucks, G.W.; Schlegel, H.B.; Scuseria, G.E.; Robb, M.A.; Cheeseman, J.R.; Scalmani, G.; Barone, V.; Mennucci, B.; Petersson, G.A.; et al. Gaussian 09, Revision A.1; Gaussian, Inc.: Wallingford, CT, USA, 2009. [Google Scholar]
  32. Duan, X.; Burggraf, L.W.; Weeks, D.E.; Davico, G.E.; Schwartz, R.L.; Lineberger, W.C. Photoelectron spectroscopy of Si2C3 and quantum chemistry of the linear Si2C3 cluster and its isomers. J. Chem. Phys. 2002, 116, 3601–3611. [Google Scholar] [CrossRef]
  • Sample Availability: Not available.

Article Metrics

Citations

Article Access Statistics

Multiple requests from the same IP address are counted as one view.