Abstract
The development of a novel cyclic glucosyl ceramide cassette acceptor for efficient glycolipid syntheses was investigated. p-Methoxybenzyl (PMB) groups were selected as protecting groups at C2 and C3 of the glucose residue with the aim of improving the functionality of the cassette acceptor. The choice of the PMB group resulted in a loss of β-selectivity, which was corrected by using an appropriate tether to control the spatial arrangement and the nitrile solvent effect. To investigate the effect of linker structure on the β-selectivity of intramolecular glycosylation, several linkers for tethering the glucose and ceramide moiety were designed and prepared, namely, succinyl, glutaryl, dimethylmalonyl, and phthaloyl esters. The succinyl ester linker was the best for accessing the cassette form. The newly designed glucosyl ceramide cassette acceptor was then applied in the total synthesis of ganglioside GalNAc-GM1b.
1. Introduction
Gangliosides, which are glycosphingolipids that contain one or more sialic acid residues, are components of all animal cell membranes and participate in many biological events, such as cell–cell interaction, signal transduction, immunological reaction, and neuronal differentiation [1,2,3]. Found in high abundance in the nervous system, several neuronal gangliosides have been linked with neurological disorders including Alzheimer’s disease, Parkinson’s disease, and Huntington’s disease [4]. Moreover, autoimmune neuropathy such as Guillain–Barré syndrome arises from the production of anti-ganglioside antibodies [5,6]. The growing body of research regarding the physiological and pathological implications of gangliosides has given rise to immense interest, not only among biologists, but also among synthetic chemists. Many synthetic organic chemists have contributed to developing methodology for the total synthesis of natural gangliosides and encountered several notable synthetic challenges, including regio- and stereo-selective sialylation and the introduction of the ceramide moiety into the oligosaccharide chain. Reliable methods for α-sialylation have been developed and used in numerous syntheses of natural gangliosides and analogues [7,8,9]; however, linking the flexible ceramide moiety to a large glycan remains a challenging undertaking. The typical procedure for connecting the lipid and glycan units is first to prepare the entire oligosaccharide framework and then to link it either to 2-azide sphingosine, which serves as a ceramide precursor, or to the ceramide moiety directly. This general procedure has proved effective for small gangliosides such as GM4 and GM3 [10,11]. In the synthesis of complex gangliosides, however, the oligosaccharide donor generally couples to the lipid acceptor in low yields. Our group has recently developed the glucosyl ceramide (GlcCer) cassette approach in order to overcome these synthetic challenges; our procedure involves coupling of glucose and ceramide (forming GlcCer) early in the total synthesis. This methodology has been used for efficiently synthesizing a series of natural gangliosides including GQ1b [12], GM3 [13], GalNAc-GD1a [14], X2 [15], and LLG-3 [16] in satisfactory overall yields. Having established a robust method for synthesizing gangliosides, we have shifted our attention to efficiently preparing GlcCer cassette acceptors. Two types of GlcCer cassette acceptors have been developed to date: an acyclic type [12,15,16] and a cyclic type [13,14]. Of these two types, acyclic cassettes are more reactive, but cyclic cassettes are easier to prepare. Against this background, we set out to develop a highly reactive cyclic GlcCer cassette acceptor. Here we describe the development of a novel cyclic GlcCer cassette acceptor and its application in the total synthesis of ganglioside GalNAc-GM1b.
2. Results and Discussion
2.1. Synthesis of a Novel Cyclic GlcCer Cassette Acceptor
2.1.1. Design of a Novel Cyclic GlcCer Cassette Acceptor
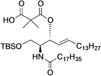
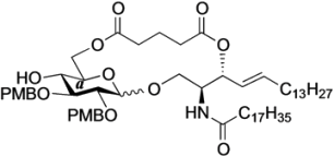
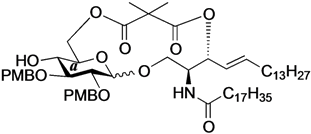
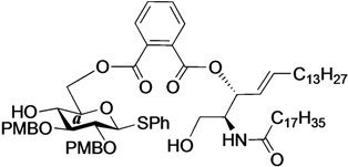
The structure of the previously used cyclic GlcCer (1) is shown in Figure 1. We speculated that the low reactivity of the 4-OH group of the glucose residue was due to the presence of the electron-withdrawing acetyl group at the C3 position. Thus, installing an electron-donating protecting group at the neighboring C3 position was expected to enhance the nucleophilicity of 4-OH. Furthermore, to retain a route for accessing the cassette, the same protecting groups should be installed on O2 and O3 of the glucose. Based on the above considerations, the p-methoxybenzyl (PMB) group was chosen as a protecting group because it can serve as an electron-donating group and be selectively removed under mild acidic conditions. A point of concern, however, was that the non-participating PMB group at the C2 position would cause a loss of stereoselectivity for the β-product in the intramolecular glycosylation. Therefore, we envisioned controlling stereoselectivity by means of a tethered structure; in particular, we anticipated that nucleophilic attack by the primary alcohol of the ceramide on the anomeric center of the glucose could be restricted to a single face and that the β-anomer could be selectively prepared. The four linkers evaluated in this study are shown in Figure 1: (1) succinyl ester, which is used in 1; (2) glutaryl ester, which has a more flexible longer chain; (3) dimethylmalonyl ester, which has a bulkier shorter chain; and (4) phthaloyl ester, which has a more rigid chain.
Figure 1.
Structure of our previously reported cyclic GlcCer cassette acceptor (left). Structure of newly designed cyclic GlcCer cassette acceptor (right).
2.1.2. Preparation of Cyclic GlcCer Cassette Acceptors with Various Linkers
As shown in Scheme 1, 2,3-di-O-p-methoxybenzyl-protected glucose derivative 4 was efficiently prepared from phenylthio-β-d-glucopyranoside 2 in three steps.
Scheme 1.
Synthesis of the 2,3-di-O-PMB-protected glucose derivative.
Installation of anisylidene protecting groups at the C4 and C6 positions of 2 followed by introduction of PMB protecting groups at the C2 and C3 positions afforded fully protected glucose derivative 3 in excellent yield. Hydrolysis of the anisylidene group under acidic conditions gave diol 4, which was ready for linking to the ceramide moiety.
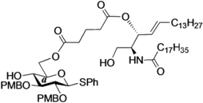
Scheme 2 shows the procedure for linking glucose derivative 4 to the ceramide moiety. The 3-OH ceramide derivative 5 [13] was treated with succinic anhydride, glutaric anhydride, dimethylmalonyl chloride, or phthalic anhydride under optimized conditions to form the corresponding carboxylic acid derivatives 6, 7, 8, or 9 in almost quantitative yield, except for compound 8.
Scheme 2.
Tethering between the glucose residue and ceramide derivative by various types of dicarboxylate linkers.
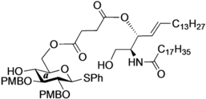
The preparation of 8 was hampered by an undesired main reaction that formed an isobutyrate product via decarboxylation. Succinic acid derivative 6 [13] was linked to glucose 4 in the presence of EDC·HCl and DMAP in CH2Cl2 at 0 °C, giving tethered product 10 in 70% yield. The tert-butyldimethylsilyl (TBS) group on 10 was removed by TBAF treatment to afford 11 in 95% yield. By the same procedure, compound 7 was linked to 4 to give 12, along with a by-product in which the ceramide moiety was tethered to C4 of the glucose. Since these regioisomers were difficult to separate by column chromatography, the mixture was directly subjected to the next reaction without isolating the products. Upon removal of the TBS group, 13 was obtained in 47% yield over the two operations. Next, we attempted to form the dimethylmalonyl diester. After several attempts, we found that hetero-diester of dimethylmalonic acid was difficult to form and the best yield of the coupled product 14 was moderate (51%). Conversion of 14 into 15 proceeded smoothly in excellent yield. Lastly, phthalic acid derivative 9 was reacted with glucose 4 under the same conditions, providing the desired diester 16 in poor yield (32%). In this reaction, an unexpected phthalate product formed in which the C6 and C4 positions of the glucose residue were tethered. Subsequent removal of the TBS group furnished 17 in 90% yield.
2.1.3. Intramolecular Glycosylation towards Novel Cyclic GlcCer Cassette Acceptors
The alcohols prepared in Scheme 2 were subjected to the intramolecular glycosylation to evaluate the β-selectivity of the reaction (Table 1). Intramolecular glycosylation of 11, which contained the succinyl linker, was promoted by dimethyl(methylthio)sulfonium triflate [17,18] in CH2Cl2 at 0 °C. The reaction proceeded smoothly and afforded intramolecularly glycosylated 18 in 67% yield with poor anomeric selectivity (α/β = 1:1.7, entry 1).
Table 1.
Investigation into the effect of various linkers on intramolecular glycosylation.
| Entry | Compd. | Linker | Condition a | Product | % Yield b | α/β Ratio |
|---|---|---|---|---|---|---|
| 1 | 11 | ![]() | A | 18 | 67 | 1/1.7 |
| 2 | 11 | B | 18 | 77 | 1/8.2 | |
| 3 | 13 | ![]() | A | 19 | 34 | 1/2.0 |
| 4 | 13 | B | 19 | 40 | 1/7.7 | |
| 5 | 15 | ![]() | A | 20 | 75 | 1/2.4 |
| 6 | 15 | B | 20 | 76 | 1/9.1 | |
| 7 | 17 | ![]() | A | 21 | 53 | 1/2.0 |
| 8 | 17 | B | 21 | 71 | 1/5.2 |
a Condition A: CH2Cl2, molecular sieve 4 Å; Condition B: CH3CN–CH2Cl2 (2:1), molecular sieve 3 Å; b Isolated yield. DMTST: dimethyl(methylthio)sulfonium trifluoromethanesulfonate.
Acetonitrile, which generally promotes β-selective glycosylation, was examined as the main solvent: as expected, the nitrile solvent effect gave improved β-selectivity (α/β = 1:8.2, entry 2). Note that the desired β-product could be purified by recrystallization in the case of 18 only. Similarly, intramolecular glycosylation of glutaryl ester-tethered 13 was performed (entries 3 and 4). The longer more flexible linker compared with the one in 11 reduced both the yield and the stereoselectivity of the glycosylation (77%, α/β = 1:8.2 vs. 40%, α/β = 1:7.7). Compound 15, which had the shortest linker, was used to examine whether the chain length of the linker would affect the stereochemical outcome of the intramolecular glycosylation. The β-selectivity for intramolecular glycosylation of 15 was only slightly better than that of 11. Also, the α- and β-anomers were difficult to separate. Considering that a flexible linker appeared to hinder β-selectivity, we turned our attention to the compound with a more rigid linker, namely, compound 17, which contained a rigid phthaloyl linker that could suppress free rotation around the tether (entries 7 and 8). As a result, a slight shift toward α-selectivity was observed (entry 8, α/β = 1:5.2).
Contemplating the above results, we considered that the succinyl linker might be the best for accessing the desired novel cyclic GlcCer cassette acceptor. Next, the novel GlcCer cassette acceptor 18β was utilized for the total synthesis of ganglioside GalNAc-GM1b to investigate its applicability to glycolipid synthesis.
2.2. Total Synthesis of Ganglioisde GalNAc-GM1b
2.2.1. Assembly of the Non-Reducing End Pentasaccharide Donor
Ganglioside GalNAc-GM1b was first isolated from Tay–Sachs brain in 1981 [19] and from murine T lymphocytes in 1989 [20], and has been suggested to play important roles in the mammalian immune system. Furthermore, immunoglobulin M monoclonal antibody against GalNAc-GM1b has been isolated from patients with Guillain–Barré syndrome [21,22,23]. Having been implicated in these intractable diseases, GalNAc-GM1b has elicited much interest. The chemical total synthesis of GalNAc-GM1b was achieved first by Ogawa and co-workers in 1990 [24], who adopted the standard procedure for introducing the ceramide moiety into the glycan. Although their construction of the glycan sequence was elegant, the final coupling of the ceramide acceptor and hexasaccharide donor was accomplished in with a low yield of 15%. Thus, we decided to apply our novel cyclic GlcCer cassette to the total synthesis of GalNAc-GM1b in order to extend the generality of the GlcCer cassette approach (Figure 2).
Figure 2.
Structure of ganglioside GalNAc-GM1b and key disconnections for total synthesis.
The non-reducing end glycan sequence of GalNAc-GM1b was efficiently prepared as shown in Scheme 3. Glycosylation of known galactosyl acceptor 22 [25] with galactosaminyl donor 23 [26] was carried out in the presence of NIS and TfOH [27,28] in CH2Cl2 at 0 °C, giving disaccharide 24 in 86% yield. Reductive removal of the Troc group by treatment with zinc gave 25 in excellent yield. Then, under optimized acidic conditions (AcOH/1,4-dioxane: 1:4; 60 °C), acetyl migration from the C3 position of the galactosamine residue to the liberated amine was achieved in good yield (inner disaccharide acceptor 26, 81%) [14]. For efficient migration of the acetyl group, the selected solvent and AcOH/solvent ratio were important. Also, undesired migration of an acetyl group from C4 to C3 of the galactosamine was observed, giving in 8% yield a disaccharide with an unprotected 4-OH group in the galactosamine residue. The GM2-core trisaccharide donor 28 was prepared from 23 and the sialylα(2,3)galactose unit 27 according to a previously reported procedure [26]. The coupling of 28 and 26 was promoted by a catalytic amount of TMSOTf in CH2Cl2 at 0 °C to give pentasaccharide 29 in 75% yield. The benzyl groups in 29 were replaced with benzoyl groups by hydrogenation and subsequent benzoylation, affording 30 in good yield. Selective removal of the p-methoxyphenyl (MP) group with CAN [29] followed by introduction of the trichloroacetimidate leaving group [30] gave the non-reducing end glycan donor 31 in 91% yield over two steps.
Scheme 3.
Synthesis of the non-reducing end glycan sequence of GalNAc-GM1b.
2.2.2. Final Glycosylation by the GlcCer Cassette Approach and Global Deprotection
First, the novel cyclic GlcCer cassette acceptor 18β was glycosylated with 31 in the presence of TMSOTf in CHCl3 at room temperature, giving the fully protected GalNAc-GM1b framework in a meager 26% yield. In this glycosylation, most of the donor was hydrolyzed to form the corresponding hemiacetal compound and ca. 67% of the acceptor were recovered. Contrary to our expectations, the acceptor equipped with the electron-donating PMB groups at the C2 and C3 positions of the glucose residue did not serve as a good cassette. Although we cannot explain this low yield with certainty, we speculate that the functionality at C2 might significantly lower the nucleophilicity of the 4-OH group because similar 2-O-benzoyl-protected cyclic GlcCer acceptor, which only differed by the protecting group at O-2 compared to 18β, served as a good acceptor in our previous experiment [14]. Next, the previously reported GlcCer cassette 1 [14] was used as an alternative for the final glycosylation. When 1.0 eq. of 1 was used as the glycosyl acceptor, the desired GalNAc-GM1b framework (33) was obtained in 31% yield. Increasing the equivalent amount of the acceptor increased the coupling yield to 60%. Finally, global deprotection to remove the acetyl, benzoyl, and succinyl groups was performed by treatment with NaOMe in MeOH/THF (1:1) followed by addition of water, furnishing the target ganglioside GalNAc-GM1b in 88% yield (Scheme 4).
Scheme 4.
Final glycosylation using the GlcCer cassette approach and global deprotection.
3. Experimental
General Methods
All reactions were carried out under a positive pressure of argon, unless otherwise noted. All chemicals were purchased from commercial suppliers and used without further purification, unless otherwise noted. Molecular sieves were purchased from Wako Chemicals Inc. (Miyazaki, Japan) and dried at 300 °C for 2 h in a muffle furnace prior to use. Solvents as reaction media were dried over molecular sieves and used without purification. TLC analysis was performed on Merck TLC plates (silica gel 60F254 on glass plate). Compound detection was either by exposure to UV light (2536 Å) or by soak in a solution of 10% H2SO4 in ethanol followed by heating. Silica gel (80 mesh and 300 mesh) manufactured by Fuji Silysia Co. was used for flash column chromatography. Quantity of silica gel was usually estimated as 200 to 400-fold weight of sample to be charged. Solvent systems in chromatography were specified in v/v. Evaporation and concentration were carried out in vacuo. 1H-NMR and 13C-NMR spectra were recorded with JEOL ECA 400/500/600 and Bruker UltraShield Plus 500 spectrometers. Chemical shifts in 1H-NMR spectra are expressed in ppm (δ) relative to the signal of Me4Si, adjusted to δ 0.00 ppm. Data are presented as follow: Chemical shift, multiplicity (s = singlet, d = doublet, t = triplet, dd = double of doublet, td = triple doublet, m = multiplet and/or multiple resonances), integration, coupling constant in Hertz (Hz), position of the corresponding proton. COSY methods were used to confirm the NMR peak assignments. High-resolution mass (ESI-TOF MS) spectra were run in a Bruker micrOTOF. Optical rotations were measured with a “Horiba SEPA-300” high-sensitive polarimeter.
Phenyl 4,6-O-anisylidene-2,3-di-O-p-methoxybenzyl-1-thio-β-d-glucopyranoside (3). To the solution of 2 (20.0 g, 73.5 mmol) in the mixed solvent (CH3CN–DMF 735 mL:200 mL) were added p-anisaldehyde dimethyl acetal (25.0 mL, 147 mmol) and (±)-camphor-10-sulfonic acid (CSA) (680 mg, 2.94 mmol) at 0 °C. After stirring for 2.5 h at room temperature as the reaction was monitored by TLC (10:1 CHCl3–MeOH), the reaction was quenched by the addition of triethylamine. The reaction mixture was concentrated and diluted with EtOAc, of which solution was then added to separatory funnel. After addition of distilled water to the solution, the desired 4,6-O-anisylidenated product was appeared as a pure crystalline material (26.0 g, 91%), the physical data of which was identical to those reported in the literature [31]. To a solution of the 4,6-O-anisylidenated product obtained (2.00 g, 5.13 mmol) in DMF (25.7 mL) was added sodium hydride (492 mg, 20.5 mmol) at 0 °C. After stirring for 1 h at 0 °C, p-methoxybenzyl chloride (2.8 mL, 20.5 mmol) was added to the mixture. After stirring for 17 h at rt as the reaction was monitored by TLC (1:2.5 EtOAc–n-hexane), the reaction was quenched by MeOH at 0 °C. Dilution of the mixture with EtOAc provided a solution, which was then washed with H2O, satd aq NaHCO3 and brine. The organic layer was subsequently dried over Na2SO4 and concentrated. The resulting residue was purified by silica gel column chromatography (1:3 EtOAc–n-hexane) to give 3 (2.94 g, 91%). [α]D +3.3° (c 0.3, CHCl3); 1H-NMR (500 MHz, CDCl3) δ 7.54–6.82 (m, 17H, 4Ar), 5.54 (s, 1H, ArCH), 4.85 (d, 1H, Jgem = 10.9 Hz, ArCH2), 4.78–4.70 (m, 4H, ArCH2, H-1), 4.35 (dd, 1H, J5,6 = 5.2 Hz, Jgem = 10.3 Hz, H-6), 3.81–3.76 (m, 11H, 3OCH3, H-3, H-6'), 3.66 (t, 1H, J3,4 = J4,5 = 9.5 Hz, H-4), 3.45 (m, 2H, H-2, H-5); 13C-NMR (125 MHz, CDCl3) δ 160.0, 159.4, 159.3, 133.1, 132.2, 130.5, 130.2, 129.9, 129.8, 129.0, 127.8, 127.3, 113.8, 113.6, 101.1, 88.3, 82.7, 81.4, 80.1, 75.5, 74.9, 70.2, 68.6, 55.3, 55.2. HRMS (ESI) m/z: found [M+Na]+ 653.2180, C36H38O8S calcd for [M+Na]+ 653.2180.
Phenyl 2,3-di-O-p-methoxybenzyl-1-thio-β-d-glucopyranoside (4). Compound 3 (2.60 g, 4.13 mmol) was dissolved in 80% AcOH aq (41.3 mL) and the solution was stirred for 1.5 h at 50 °C as the reaction was monitored by TLC (2:1 EtOAc–n-hexane). The reaction mixture was diluted with EtOAc and carefully washed with ice-cooled satd aq Na2CO3 and brine. The organic layer was subsequently dried over Na2SO4 and concentrated. The resulting residue was purified by silica gel column chromatography (1:1 EtOAc–n-hexane) to give 4 (2.11 g, quant.). [α]D −18.0° (c 0.4, CHCl3); 1H-NMR (500 MHz, CDCl3) δ 7.52–6.87 (m, 13H, 3Ar), 4.90 (d, 1H, Jgem = 11.3 Hz, ArCH2), 4.88 (d, 1H, Jgem = 11.0 Hz, ArCH2), 4.70 (m, 2H, ArCH2, H-1), 4.64 (d, 1H, ArCH2), 3.86 (m, 1H, H-6), 3.80 (2 s, 6H, 2OCH3), 3.73 (m, 1H, H-6'), 3.55–3.43 (m, 3H, H-4, H-3, H-2), 3.32 (m, 1H, H-5), 2.28 (d, 1H, J4,OH = 2.5 Hz, OH), 2.08 (t, 1H, J6,OH = J6',OH = 6.6 Hz, OH); 13C-NMR (125 MHz, CDCl3) δ 159.5, 159.5, 133.6, 131.7, 130.4, 130.0, 129.9, 129.7, 129.6, 129.0, 127.6, 114.1, 113.9, 87.7, 85.6, 80.6, 79.1, 75.0, 75.0, 70.4, 62.8, 55.3, 55.3. HRMS (ESI) m/z: found [M+Na]+ 535.1758, C28H32O7S calcd for [M+Na]+ 535.1761.
(2S,3R,4E)-1-O-tert-Butyldimethylsilyl-3-O-(4-hydroxycarbonylbutanoate)-2-octadecanamido-4-octa-decene-1,3-diol (7). To a solution of 5 (25 mg, 36.8 µmol) in CH2Cl2 (368 µL) were added glutaric anhydride (21 mg, 184 µmol) and DBU (11 µL, 73.6 µmol) at 0 °C. After stirring for 1 h at rt as the reaction was monitored by TLC (4:1 diethylether–n-hexane), the reaction was quenched by the addition of MeOH at 0 °C. The reaction mixture was evaporated. The crude residue obtained was purified by silica gel column chromatography (1:3 diethylether–n-hexane) to give 7 (28 mg, 96%). [α]D +4.7° (c 0.3, CHCl3); 1H-NMR (500 MHz, CDCl3) δ 5.76 (m, 2H, H-5, NH), 5.42 (dd, 1H, J3,4 = 7.2 Hz, J4,5 = 15.3 Hz, H-4), 5.32 (t, 1H, J2,3 = 7.2 Hz, H-3), 4.28 (m, 1H, H-2), 3.72 (dd, 1H, J1,2 = 3.1 Hz, Jgem = 10.3 Hz, H-1), 3.59 (dd, 1H, J1',2 = 4.4 Hz, H-1'), 2.46–2.36 (m, 4H, 2C(=O)CH2), 2.17 (m, 2H, C(=O)CH2Cer), 2.01 (m, 2H, H-6, H-6'), 1.95 (m, 2H, -CH2-), 1.59 (m, 2H, C(=O)CH2CH2), 1.25 (m, 50H, 25-CH2-Cer), 0.88 (m, 15H, t-Bu, 2-CH3Cer), 0.05-0.04 (2 s, 6H, Si(CH3)2); 13C-NMR (125 MHz, CDCl3) δ 177.3, 173.3, 173.1, 171.1, 136.9, 124.6, 73.7, 61.6, 51.8, 51.6, 37.0, 33.4, 33.1, 33.0, 32.9, 32.4, 31.9, 30.0, 29.7, 29.7, 29.5, 29.5, 29.4, 29.4, 29.3, 29.2, 29.0, 25.8, 25.7, 22.7, 20.1, 19.9, 18.2, 14.1, −5.6, −5.6. HRMS (ESI) m/z: found [M+Na]+ 816.6507, C47H91NO6Si calcd for [M+Na]+ 816.6508.
(2S,3R,4E)-1-O-tert-Butyldimethylsilyl-3-O-(2-hydroxycarbonylisobutanoate)-2-octadecanamido-4-octadecene-1,3-diol (8). To a solution of 5 (47 mg, 69.2 µmol) in CH2Cl2 (1.4 mL) were added dimethylmalonyl dichloride (92 µL, 692 µmol) and triethylamine (96 µL, 692 µmol) at 0 °C. After stirring for 3 h at 0 °C as the reaction was monitored by TLC (1:1 diethylether–n-hexane), the reaction was diluted with CHCl3. The solution was then washed with H2O and brine. The organic layer was subsequently dried over Na2SO4, and concentrated. The resulting residue was purified by silica gel column chromatography (1:4 diethylether–n-hexane) to give 8 (17 mg, 31%). [α]D +4.4° (c 0.8, CHCl3); 1H-NMR (500 MHz, CDCl3) δ 6.44 (d, 1H, J2,NH = 9.0 Hz, NH), 5.77 (m, 1H, H-5), 5.41 (dd, 1H, J3,4 = 7.4 Hz, J4,5 = 15.3 Hz, H-4), 5.32 (t, 1H, J2,3 = 7.4 Hz, H-3), 4.20 (m, 1H, H-2), 3.76 (dd, 1H, J1,2 = 2.7 Hz, Jgem = 10.3 Hz, H-1), 3.62 (dd, 1H, J1',2 = 4.2 Hz, H-1'), 2.28 (m, 2H, C(=O)CH2), 2.00 (m, 2H, H-6, H-6'), 1.60 (m, 2H, C(=O)CH2CH2), 1.49 (s, 6H, CH3CCH3), 1.25 (m, 50H, 25-CH2-), 0.89 (m, 15H, t-Bu, 2-CH3Cer), 0.05 (2 s, 6H, Si(CH3)2). LRMS (ESI) m/z: found [M−H]− 792.6438, C47H91NO6Si calcd for [M−H]− 792.6543.
(2S,3R,4E)-1-O-tert-Butyldimethylsilyl-3-O-(o-hydroxycarbonylbenzoate)-2-octadecanamido-4-octadecene-1,3-diol (9). To a solution of 5 (1.00 g, 1.47 mmol) in pyridine (7.4 mL) were added phthalic anhydride (327 mg, 2.21 mmol), DMAP (18 mg, 147 µmol) and triethylamine (612 µL, 4.41 mmol) at 0 °C. After stirring for 23 h at 40 °C as the reaction was monitored by TLC (4:1 diethylether–n-hexane), the solvent was removed by co-evaporation with toluene, and then the residue was diluted with CHCl3, washed with H2O. The organic layer was subsequently dried over Na2SO4, and concentrated. The resulting residue was purified by silica gel column chromatography (1:2 diethylether–n-hexane) to give 9 (1.22 g, quant.). [α]D +58.3° (c 0.3, CHCl3); 1H-NMR (600 MHz, CDCl3) δ 7.80–7.52 (m, 4H, Ar), 6.07 (d, 1H, J2,NH = 10.3 Hz, NH), 5.81 (m, 1H, H-5), 5.71 (t, 1H, J2,3 = J3,4 = 6.9 Hz, H-3), 5.54 (dd, 1H, J4,5 = 15.5 Hz, H-4), 4.44 (m, 1H, H-2), 3.76 (dd, 1H, J1,2 = 4.1 Hz, Jgem = 10.3 Hz, H-1), 3.64 (dd, 1H, J1',2 = 5.5 Hz, H-1'), 2.27 (m, 2H, C(=O)CH2), 2.03 (m, 2H, H-6, H-6'), 1.63 (m, 2H, C(=O)CH2CH2), 1.33 (m, 50H, 25-CH2-), 0.88 (m, 15H, t-Bu, 2-CH3), 0.05 (2 s, 6H, Si(CH3)2); 13C-NMR (150 MHz, CDCl3) δ 174.7, 169.8, 166.4, 136.9, 132.7, 131.4, 131.2, 130.8, 129.5, 128.8, 123.7, 75.3, 62.1, 52.3, 37.0, 32.4, 31.9, 29.7, 29.7, 29.5, 29.4, 29.4, 29.3, 29.3, 29.0, 25.8, 25.7, 22.7, 18.1, 14.1, −5.5, −5.6. HRMS (ESI) m/z: found [M+Na]+ 850.6351, C51H91NO5Si calcd for [M+Na]+ 850.6351.
Phenyl 6-O-{3-[(2S,3R,4E)-1-O-tert-butyldimethylsilyl-2-octadecanamido-4-octadecene-3-yloxy-1,3-diol]carbonylpropanoyl}-2,3-di-O-p-methoxybenzyl-1-thio-β-d-glucopyranoside (10). To a solution of 4 (124 mg, 242 µmol) in CH2Cl2 (4.8 mL) were added 6 (200 mg, 242 µmol), EDC·HCl (51 mg, 266 µmol) and DMAP (3.0 mg, 24.2 µmol) at 0 °C. After stirring for 2.5 h at rt as the reaction was monitored by TLC (1:1 EtOAc–n-hexane), the mixture was diluted with CHCl3. The solution was then washed with H2O. The organic layer was subsequently dried over Na2SO4 and concentrated. The resulting residue was purified by silica gel column chromatography (1:5 EtOAc–n-hexane) to give 10 (215 mg, 70%). [α]D −7.7° (c 0.3, CHCl3); 1H-NMR (500 MHz, CDCl3) δ 7.56–7.24 (m, 5H, Ph), 7.54–6.85 (m, 8H, 2Ar), 5.74 (m, 2H, H-5Cer, NHCer), 5.43 (dd, 1H, J3,4 = 7.2 Hz, J4,5 = 15.2 Hz, H-4Cer), 5.36 (t, 1H, J2,3 = 7.2 Hz, H-3Cer), 4.84 (d, 1H, Jgem = 11.0 Hz, ArCH2), 4.83 (d, 1H, Jgem = 10.0 Hz, ArCH2), 4.77 (d, 1H, ArCH2), 4.68 (d, 1H, ArCH2), 4.65 (d, 1H, J1,2 = 9.2 Hz, H-1a), 4.39 (dd, 1H, J5,6 = 4.6 Hz, Jgem = 12.0 Hz, H-6a), 4.33 (dd, 1H, J5,6' = 2.0 Hz, H-6'a), 4.23 (m, 1H, H-2Cer), 3.80–3.79 (2 s, 6H, 2 OCH3), 3.69 (dd, 1H, J1,2 = 9.7 Hz, Jgem = 10.4 Hz, H-1Cer), 3.57 (m, 2H, H-1'Cer, H-4a), 3.50 (t, 1H, J2,3 = J3,4 = 9.2 Hz, H-3a), 3.44 (m, 3H, H-2a, H-5a, OHa), 2.66–2.60 (m, 4H, 2C(=O)CH2), 2.15 (m, 2H, C(=O)CH2Cer), 2.01 (m, 2H, H-6Cer, H-6'Cer), 1.57 (m, 2H, C(=O)CH2CH2), 1.30 (m, 50H, 25-CH2-), 0.88 (m, 15H, t-Bu, 2-CH3Cer), 0.04 (2 s, 6H, Si(CH3)2); 13C-NMR (125 MHz, CDCl3) δ 172.8, 172.5, 170.7, 159.4, 159.3, 136.7, 133.7, 131.9, 130.6, 130.2, 129.9, 129.6, 128.8, 127.5, 124.6, 113.9, 113.8, 87.7, 85.6, 80.2, 77.5, 75.2, 75.0, 74.0, 69.8, 63.6, 61.6, 55.2, 55.2, 51.9, 36.9, 32.3, 31.9, 30.0, 29.6, 29.5, 29.5, 29.5, 29.4, 29.3, 29.2, 29.0, 29.0, 25.8, 25.8, 22.6, 18.1, 14.2, 14.1, −5.5, −5.6. HRMS (ESI) m/z: found [M+Na]+ 1296.8116, C74H119NO12SSi calcd for [M+Na]+ 1296.8114.
Phenyl 6-O-{3-[(2S,3R,4E)-2-octadecanamido-4-octadecene-3-yloxy-1,3-diol]carbonylpropanoyl}-2,3-di-O-p-methoxybenzyl-1-thio-β-d-glucopyranoside (11). To a solution of 10 (183 mg, 144 µmol) in THF (1.4 mL) were added AcOH (26 µL, 432 µmol) and TBAF (432 µL, 432 µmol) at 0 °C. After stirring for 2 h at rt as the reaction was monitored by TLC (1:1 EtOAc–n-hexane), the mixture was diluted with CHCl3. The solution was then washed with satd. aq. NaHCO3. The organic layer was subsequently dried over Na2SO4 and concentrated. The resulting residue was purified by silica gel column chromatography (1:1.5 EtOAc–n-hexane) to give 11 (159 mg, 95%). [α]D −12.0° (c 0.3, CHCl3); 1H-NMR (500 MHz, CDCl3) δ 7.55–7.25 (m, 5H, Ph), 7.35–6.86 (m, 8H, 2Ar), 6.05 (d, 1H, J2,NH = 9.0 Hz, NHCer), 5.76 (m, 1H, H-5Cer), 5.42 (dd, 1H, J3,4 = 7.3 Hz, J4,5 = 15.2 Hz, H-4Cer), 5.35 (t, 1H, J2,3 = 7.3 Hz, H-3Cer), 4.85 (d, 1H, Jgem = 10.9 Hz, ArCH2), 4.84 (d, 1H, Jgem = 10.4 Hz, ArCH2), 4.72 (d, 1H, ArCH2), 4.68 (d, 1H, ArCH2), 4.66 (d, 1H, J1,2 = 9.6 Hz, H-1a), 4.45 (dd, 1H, J5,6 = 4.6 Hz, Jgem = 11.9 Hz, H-6a), 4.29 (dd, 1H, J5,6' = 1.6 Hz, H-6'a), 4.15 (m, 1H, H-2Cer), 3.80–3.79 (2 s, 6H, 2OCH3), 3.66 (dd, 1H, J1,2 = 4.2 Hz, Jgem = 11.6 Hz, H-1Cer), 3.60 (near dd, 1H, H-1'Cer), 3.54–3.42 (m, 4H, H-3a, H-5a, H-4a, H-2a), 3.27 (br s, 1H, OHa), 2.83 (br s, 1H, OHCer), 2.72–2.62 (m, 4H, 2C(=O)CH2), 2.16 (m, 2H, C(=O)CH2Cer), 2.11 (m, 2H, H-6Cer, H-6'Cer), 1.58 (m, 2H, C(=O)CH2CH2), 1.30 (m, 50H, 25-CH2-), 0.88 (m, 6H, 2-CH3Cer); 13C-NMR (125 MHz, CDCl3) δ 173.6, 172.7, 171.5, 159.4, 137.2, 133.7, 131.8, 130.4, 130.1, 129.9, 129.7, 128.9, 127.5, 124.5, 114.0, 113.8, 87.8, 85.6, 80.2, 77.3, 75.3, 75.0, 74.6, 69.6, 63.7, 61.6, 55.3, 55.2, 52.9, 36.7, 32.3, 31.9, 29.7, 29.6, 29.6, 29.5, 29.5, 29.4, 29.3, 29.3, 29.2, 29.1, 28.9, 25.7, 22.7, 14.1. HRMS (ESI) m/z: found [M+Na]+ 1182.7250, C68H105NO12S calcd for [M+Na]+ 1182.7250.
Phenyl 6-O-{4-[(2S,3R,4E)-2-octadecanamido-4-octadecene-3-yloxy-1,3-diol]carbonylbutanoyl}-2,3-di-O-p-methoxybenzyl-1-thio-β-d-glucopyranoside (12). To a solution of 4 (90 mg, 175 µmol) in CH2Cl2 (3.5 mL) were added 7 (139 mg, 175 µmol), EDC·HCl (37 mg, 193 µmol) and DMAP (2.1 mg, 17.5 µmol) at 0 °C. After stirring for 1.5 h at rt as the reaction was monitored by TLC (1:1 EtOAc–n-hexane), the mixture was diluted with CHCl3. The solution was then washed with H2O. The organic layer was subsequently dried over Na2SO4 and concentrated. The resulting residue was purified by silica gel column chromatography (1:5 EtOAc–n-hexane) to give the crude mixture mainly containing 12. The crude mixture was exposed to high vacuum for 15 h and then dissolved in THF (1.8 mL). AcOH (31 µL, 525 µmol) and TBAF (525 µL, 525 µmol) were added to the mixture at 0 °C. After stirring for 4 h at rt as the reaction was monitored by TLC (1:1 EtOAc–n-hexane), the mixture was diluted with CHCl3. The solution was then washed with satd aq NaHCO3. The organic layer was subsequently dried over Na2SO4 and concentrated. The resulting residue was purified by silica gel column chromatography (1:2 EtOAc–n-hexane) to give 13 (96 mg, 47% in two steps). [α]D −22.5° (c 1.0, CHCl3); 1H-NMR (500 MHz, CDCl3) δ 7.55–7.25 (m, 5H, Ph), 7.36–6.87 (m, 8H, 2Ar), 6.00 (d, 1H, J2,NH = 8.6 Hz, NHCer), 5.76 (m, 1H, H-5Cer), 5.44 (dd, 1H, J3,4 = 7.4 Hz, J4,5 = 15.4 Hz, H-4Cer), 5.28 (t, 1H, J2,3 = 7.4 Hz, H-3Cer), 4.87 (d, 1H, Jgem = 11.1 Hz, ArCH2), 4.85 (d, 1H, Jgem = 9.9 Hz, ArCH2), 4.69 (d, 1H, ArCH2), 4.68 (d, 1H, ArCH2), 4.65 (d, 1H, J1,2 = 9.4 Hz, H-1a), 4.34 (near s, 2H, H-6a, H-6'a), 4.12 (m, 1H, H-2Cer), 3.81–3.80 (2 s, 6H, 2OCH3), 3.66 (dd, 1H, J1,2 = 3.8 Hz, Jgem = 11.7 Hz, H-1Cer), 3.60 (dd, 1H, J1',2 = 2.7 Hz, H-1'Cer), 3.50–3.42 (m, 4H, H-2a, H-3a, H-4a, H-5a), 2.85 (br s, 1H, OHCer), 2.75 (s, 1H, OHa), 2.43–2.39 (m, 4H, 2C(=O)CH2), 2.16 (m, 2H, C(=O)CH2Cer), 2.01 (m, 2H, H-6Cer, H-6'Cer), 1.96 (m, 2H, -CH2-), 1.58 (m, 2H, C(=O)CH2CH2), 1.29 (m, 50H, 25-CH2-Cer), 0.88 (m, 6H, 2-CH3Cer); 13C-NMR (125 MHz, CDCl3) δ 173.4, 173.1, 172.7, 159.5, 159.4, 137.4, 133.7, 131.9, 130.4, 130.0, 129.9, 129.7, 128.9, 127.6, 124.7, 114.1, 113.9, 87.7, 85.5, 80.3, 77.6, 75.2, 75.0, 74.3, 69.9, 63.6, 61.7, 55.3, 55.2, 53.1, 36.8, 33.4, 33.0, 32.3, 31.9, 30.0, 29.6, 29.6, 29.5, 29.5, 29.4, 29.3, 29.3, 29.2, 28.9, 25.7, 22.7, 20.0, 14.1. HRMS (ESI) m/z: found [M+Na]+ 1196.7404, C69H107NO12S calcd for [M+Na]+ 1196.7406.
Phenyl 6-O-{2-[(2S,3R,4E)-1-O-tert-butyldimethylsilyl-2-octadecanamido-4-octadecene-3-yloxy-1,3-diol]carbonylisobutanoyl}-2,3-di-O-p-methoxybenzyl-1-thio-β-d-glucopyranoside (14). To a solution of 4 (55 mg, 107 µmol) in CH2Cl2 (2.1 mL) were added 8 (85 mg, 107 µmol), EDC·HCl (23 mg, 118 µmol) and DMAP (1.3 mg, 10.7 µmol) at 0 °C. After stirring for 5 h at rt as the reaction was monitored by TLC (2:1 diethylether–n-hexane), the mixture was diluted with CHCl3. The solution was then washed with H2O. The organic layer was subsequently dried over Na2SO4 and concentrated. The resulting residue was purified by silica gel column chromatography (1:5 EtOAc–n-hexane) to give 14 (70 mg, 51%). 1H-NMR (500 MHz, CDCl3) δ 7.54–6.85 (m, 13H, 3Ar), 6.70 (d, 1H, J2,NH = 9.0 Hz, NHCer), 5.75 (m, 1H, H-5Cer), 5.37 (m, 2H, H-4Cer, H-3Cer), 4.84 (d, 1H, Jgem = 11.0 Hz, ArCH2), 4.82 (d, 1H, Jgem = 10.0 Hz, ArCH2), 4.72 (d, 1H, ArCH2), 4.66 (d, 1H, ArCH2), 4.63 (d, 1H, J1,2 = 9.6 Hz, H-1a), 4.40 (dd, 1H, J5,6 = 4.0 Hz, Jgem = 11.9 Hz, H-6a), 4.34 (near dd, 1H, H-6'a), 4.15 (m, 1H, H-2Cer), 3.81–3.80 (2 s, 6H, 2OCH3), 3.68 (dd, 1H, J1,2 = 3.3 Hz, Jgem = 10.4 Hz, H-1Cer), 3.57 (dd, 1H, J1',2 = 4.3 Hz, H-1'Cer), 3.50–3.47 (m, 3H, H-3a, H-4a, H-5a), 3.40 (m, 1H, H-2a), 2.87 (br s, 1H, OHa), 2.28 (m, 2H, C(=O)CH2), 1.99 (m, 2H, H-6Cer, H-6'Cer), 1.59 (m, 2H, C(=O)CH2CH2), 1.45 (s, 6H, CH3CCH3), 1.25 (m, 50H, 25-CH2-), 0.88 (m, 15H, t-Bu, 2-CH3Cer), 0.05 (2 s, 6H, Si(CH3)2).
Phenyl 6-O-{2-[(2S,3R,4E)-2-octadecanamido-4-octadecene-3-yloxy-1,3-diol]carbonylisobutanoyl}-2,3-di-O-p-methoxybenzyl-1-thio-β-d-glucopyranoside (15). To a solution of 14 (62 mg, 48.1 µmol) in THF (481 µL) were added AcOH (8.6 µL, 144 µmol) and TBAF (144 µL, 144 µmol) at 0 °C. After stirring for 3.5 h at rt as the reaction was monitored by TLC (1:2 EtOAc–n-hexane), the mixture was diluted with CHCl3. The solution was then washed with satd aq NaHCO3. The organic layer was subsequently dried over Na2SO4 and concentrated. The resulting residue was purified by silica gel column chromatography (1:3 EtOAc–n-hexane) to give 15 (51 mg, 91%). 1H-NMR (500 MHz, CDCl3) δ 7.54–6.86 (m, 13H, 3Ar), 6.71 (d, 1H, J2,NH = 8.6 Hz, NHCer), 5.75 (m, 1H, H-5Cer), 5.41 (dd, 1H, J3,4 = 7.4 Hz, J4,5 = 15.4 Hz, H-4Cer), 5.29 (t, 1H, J2,3 = 7.4 Hz, H-3Cer), 4.83 (d, 1H, Jgem = 10.8 Hz, ArCH2), 4,82 (d, 1H, Jgem = 9.9 Hz, ArCH2), 4.72 (d, 1H, ArCH2), 4.66 (d, 1H, ArCH2), 4.64 (d, 1H, J1,2 = 9.2 Hz, H-1a), 4.39 (near d, 2H, H-6a, H-6'a), 4.08 (m, 1H, H-2Cer), 3.81–3.80 (2 s, 6H, 2OCH3), 3.55–3.46 (m, 5H, H-1Cer, H-1'Cer, H-3a, H-4a, H-5a), 3.40 (t, 1H, J2,3 = 9.2 Hz, H-2a), 3.32 (d, 1H, J4,OH = 3.4 Hz, OHa), 2.83 (br s, 1H, OHCer), 2.30 (m, 2H, C(=O)CH2), 2.01 (m, 2H, H-6Cer, H-6'Cer), 1.60 (m, 2H, C(=O)CH2CH2), 1.45 (2 s, 6H, CH3CCH3), 1.25 (m, 50H, 25-CH2-), 0.88 (m, 6H, 2-CH3Cer). HRMS (ESI) m/z: found [M+Na]+ 1196.7487, C69H107NO12S calcd for [M+Na]+ 1196.7406.
Phenyl 6-O-{[(2S,3R,4E)-1-O-tert-butyldimethylsilyl-2-octadecanamido-4-octadecene-3-yloxy-1,3-diol]carbonylbenzoyl}-2,3-di-O-p-methoxybenzyl-1-thio-β-d-glucopyranoside (16). To a solution of 4 (87 mg, 169 µmol) in CH2Cl2 (3.4 mL) were added 9 (140 mg, 169 µmol), EDC∙HCl (36 mg, 186 µmol) and DMAP (2.1 mg, 16.9 µmol) at 0 °C. After stirring for 5.5 h at rt as the reaction was monitored by TLC (1:1 EtOAc–n-hexane), the mixture was diluted with CHCl3. The solution was then washed with H2O. The organic layer was subsequently dried over Na2SO4 and concentrated. The resulting residue was purified by silica gel column chromatography (1:3 EtOAc–n-hexane) to give 16 (71 mg, 32%). [α]D +4.5° (c 1.0, CHCl3); 1H-NMR (500 MHz, CDCl3) δ 7.77–6.83 (m, 17H, 4Ar), 5.93 (d, 1H, J2,NH = 9.6 Hz, NHCer), 5.77 (m, 1H, H-5Cer), 5.61 (t, 1H, J2,3 = J3,4 = 6.9 Hz, H-3Cer), 5.54 (dd, 1H, J4,5 = 15.4 Hz, H-4Cer), 4.82 (s, 2H, ArCH2), 4.79 (d, 1H, Jgem = 9.9 Hz, ArCH2), 4.68 (m, 3H, ArCH2, H-1a, H-6a), 4.57 (dd, 1H, J5,6' = 1.9 Hz, Jgem = 12.0 Hz, H-6'a), 4.39 (m, 1H, H-2Cer), 4.11 (br s, 1H, OHa), 3.81–3.79 (2 s, 6H, 2OCH3), 3.71 (m, 2H, H-1Cer, H-4a), 3.63 (dd, 1H, J1',2 = 5.1 Hz, Jgem = 10.5 Hz, H-1'Cer), 3.57 (m, 2H, H-3a, H-5a), 3.45 (t, 1H, J1,2 = J2,3 = 9.2 Hz, H-2a), 2.15 (m, 2H, C(=O)CH2), 2.03 (m, 2H, H-6Cer, H-6'Cer), 1.55 (m, 2H, C(=O)CH2CH2), 1.25 (m, 50H, 25-CH2-), 0.88 (m, 15H, t-Bu, 2-CH3Cer), 0.04–0.03 (2 s, 6H, Si(CH3)2); 13C-NMR (125 MHz, CDCl3) δ 173.1, 166.9, 166.8, 159.4, 159.3, 136.2, 133.5, 133.1, 132.2, 131.8, 131.5, 131.0, 130.8, 130.7, 130.3, 129.8, 129.6, 129.2, 128.8, 127.5, 124.4, 113.9, 113.9, 113.8, 87.4, 85.8, 79.9, 77.8, 77.6, 75.8, 75.3, 75.0, 69.9, 64.3, 62.0, 55.3, 55.2, 52.0, 36.9, 32.4, 31.9, 29.7, 29.7, 29.5, 29.4, 29.4, 29.3, 29.2, 29.1, 25.8, 25.7, 22.7, 18.2, 14.1, −5.4, −5.6. HRMS (ESI) m/z: found [M+Na]+ 1344.8116, C78H119NO12SSi calcd for [M+Na]+ 1344.8114.
Phenyl 6-O-{[(2S,3R,4E)-2-octadecanamido-4-octadecene-3-yloxy-1,3-diol]carbonylbenzoyl}-2,3-di-O-p-methoxybenzyl-1-thio-β-d-glucopyranoside (17). To a solution of 16 (190 mg, 144 µmol) in THF (1.4 mL) were added AcOH (26 µL, 432 µmol) and TBAF (432 µL, 432 µmol) at 0 °C. After stirring for 4 h at rt as the reaction was monitored by TLC (1:1 EtOAc–n-hexane), the mixture was diluted with CHCl3. The solution was then washed with satd aq NaHCO3. The organic layer was subsequently dried over Na2SO4 and concentrated. The resulting residue was purified by silica gel column chromatography (1:2 EtOAc–n-hexane) to give 17 (156 mg, 90%). [α]D +3.3° (c 0.3, CHCl3); 1H-NMR (500 MHz, CDCl3) δ 7.85–6.84 (m, 17H, 4Ar), 6.41 (d, 1H, J2,NH = 9.2 Hz, NHCer), 5.82 (m, 1H, H-5Cer), 5.61 (t, 1H, J2,3 = J3,4 = 6.6 Hz, H-3Cer), 5.47 (dd, 1H, J4,5 = 15.4 Hz, H-4Cer), 4.87–4.80 (m, 3H, ArCH2, H-6a), 4.73 (d, 1H, Jgem = 10.7 Hz, ArCH2), 4.68 (d, 1H, J1,2 = 9.2 Hz, H-1a), 4.65 (d, 1H, Jgem = 10.0 Hz, ArCH2), 4.48 (near d, 1H, H-6'a), 4.27 (m, 1H, H-2Cer), 3.80–3.78 (2 s, 6H, 2OCH3), 3.74 (br d, 1H, H-1Cer), 3.69 (s, 1H, OHa), 3.57–3.51 (m, 4H, H-4a, H-5a, H-3a, H-1'Cer), 3.42 (t, 1H, J2,3 = 9.2 Hz, H-2a), 2.85 (br s, 1H, OHCer), 2.21 (m, 2H, C(=O)CH2), 2.03 (m, 2H, H-6Cer, H-6'Cer), 1.62 (m, 2H, C(=O)CH2CH2), 1.30 (m, 50H, 25-CH2-), 0.88 (m, 6H, 2-CH3Cer); 13C-NMR (125 MHz, CDCl3) δ 173.6, 167.3, 167.1, 159.4, 137.3, 133.5, 132.8, 132.0, 131.1, 130.4, 130.3, 130.1, 129.9, 129.8, 129.8, 129.7, 129.0, 128.9, 127.5, 124.3, 114.0, 113.9, 113.9, 87.6, 85.8, 80.0, 77.6, 77.4, 76.2, 75.5, 75.0, 69.2, 64.1, 61.6, 55.3, 55.2, 52.5, 36.7, 32.3, 31.9, 29.6, 29.6, 29.5, 29.5, 29.3, 29.2, 28.9, 25.7, 22.7, 14.1. HRMS (ESI) m/z: found [M+Na]+ 1230.7250, C72H105NO12S calcd for [M+Na]+ 1230.7250.
(2,3-Di-O-p-methoxybenzyl-β-d-glucopyranosyl)-(1'→1)-(2S,3R,4E)-2-octadecanamido-4-octadecene-1,3-diol-3,6'-succinate (18β). Condition A: To a mixture of 11 (32 mg, 27.6 µmol) in CH2Cl2 (5.5 mL) was added 4 Å molecular sieves (64 mg) at rt. After stirring for 1 h, the mixture was cooled to 0 °C. DMTST (45 mg, 82.8 µmol) was then added to the mixture at 0 °C. After stirring for 2 h at 0 °C as the reaction was monitored by TLC (1:2 acetone–n-hexane), the solution was diluted with CHCl3 and filtered through Celite. The filtrate was then washed with satd aq NaHCO3 and H2O. The organic layer was subsequently dried over Na2SO4, and concentrated. The residue was purified by silica gel column chromatography (1:5 acetone–n-hexane) to give 18 (19 mg, 67%, α:β = 1:1.7). Condition B: To a mixture of 11 (47 mg, 40.5 µmol) in acetonitrile/CH2Cl2 (2:1 8.1 mL) was added 3 Å molecular sieves (95 mg) at rt. After stirring for 1 h, the mixture was cooled to 0 °C. DMTST (65 mg, 121 µmol) was then added to the mixture at 0 °C. After stirring for 2 h at 0 °C as the reaction was monitored by TLC (1:2 acetone–n-hexane), the solution was diluted with CHCl3 and filtered through Celite. The filtrate was then washed with satd aq NaHCO3 and H2O. The organic layer was subsequently dried over Na2SO4, and concentrated. The residue was purified by silica gel column chromatography (1:5 acetone–n-hexane) to give 18 (33 mg, 77%, α:β = 1:8.2). 18β: [α]D −10.4° (c 0.5, CHCl3); 1H-NMR (500 MHz, CDCl3) δ 7.27–6.86 (m, 8H, 2Ar), 5.93 (d, 1H, J2,NH = 9.2 Hz, NHCer), 5.77 (m, 1H, H-5Cer), 5.55 (t, 1H, J2,3 = J3,4 = 6.3 Hz, H-3Cer), 5.30 (dd, 1H, J4,5 = 15.5 Hz, H-4Cer), 4.87 (d, 1H, Jgem = 11.4 Hz, ArCH2), 4.78 (d, 1H, Jgem = 10.8 Hz, ArCH2), 4.67–4.59 (m, 2H, H-6a, ArCH2), 4.55 (d, 1H, ArCH2), 4.40 (m, 1H, H-2Cer), 4.34 (d, 1H, J1,2 = 7.0 Hz, H-1a), 4.09 (dd, 1H, J5,6' = 2.1 Hz, Jgem = 11.6 Hz, H-6'a), 3.97 (dd, 1H, J1,2 = 4.72 Hz, Jgem = 10.3 Hz, H-1Cer), 3.80 (s, 6H, 2OCH3), 3.77 (near d, 1H, H-1'Cer), 3.44 (td, 1H, J4,5 = 2.1 Hz, H-5a), 3.38–3.29 (m, 3H, H-2a, H-3a, H-4a), 2.79–2.61 (m, 4H, 2C(=O)CH2), 2.19 (d, 1H, J4,OH = 1.8 Hz, OHa), 2.17 (m, 2H, C(=O)CH2Cer), 1.99 (m, 2H, H-6Cer, H-6'Cer), 1.61 (m, 2H, C(=O)CH2CH2), 1.25 (m, 50H, 25-CH2-), 0.88 (m, 6H, 2-CH3Cer); 13C-NMR (125 MHz, CDCl3) δ 173.1, 172.6, 169.9, 159.4, 159.3, 136.5, 130.4, 130.1, 129.8, 129.6, 124.1, 114.0, 113.8, 102.8, 83.2, 81.0, 74.7, 74.1, 73.7, 73.4, 70.8, 65.0, 63.7, 55.2, 50.4, 36.8, 32.2, 31.9, 29.7, 29.7, 29.7, 29.6, 29.6, 29.5, 29.5, 29.4, 29.3, 29.2, 29.0, 28.8, 25.7, 22.6, 14.1. HRMS (ESI) m/z: found [M+Na]+ 1072.7060, C62H99NO12 calcd for [M+Na]+ 1072.7059.
(2,3-Di-O-p-methoxybenzyl-d-glucopyranosyl)-(1'→1)-(2S,3R,4E)-2-octadecanamido-4-octadecene-1,3-diol-3,6´-glutarate (19). Condition A: To a mixture of 13 (27 mg, 23.0 µmol) in CH2Cl2 (4.6 mL) was added 4 Å molecular sieves (55 mg) at rt. After stirring for 1 h, the mixture was cooled to 0 °C. DMTST (37 mg, 69.0 µmol) was then added to the mixture at 0 °C. After stirring for 3 h at 0 °C as the reaction was monitored by TLC (1:2 acetone–n-hexane), the solution was diluted with CHCl3 and filtered through Celite. The filtrate was then washed with satd aq NaHCO3 and H2O. The organic layer was subsequently dried over Na2SO4, and concentrated. The residue was purified by silica gel column chromatography (1:5 acetone–n-hexane) to give 19 (8.3 mg, 34%, α:β = 1:2.0). Condition B: To a mixture of 13 (29 mg, 24.7 µmol) in acetonitrile/CH2Cl2 (2:1 4.9 mL) was added 3 Å molecular sieves (60 mg) at rt. After stirring for 1 h, the mixture was cooled to 0 °C. DMTST (40 mg, 74.1 µmol) was then added to the mixture at 0 °C. After stirring for 20 h at 0 °C as the reaction was monitored by TLC (1:2 acetone–n-hexane), the solution was diluted with CHCl3 and filtered through Celite. The filtrate was then washed with satd aq NaHCO3 and H2O. The organic layer was subsequently dried over Na2SO4, and concentrated. The residue was purified by silica gel column chromatography (1:5 acetone–n-hexane) to give 19 (10.4 mg, 40%, α:β = 1:7.7). 19β: 1H-NMR (500 MHz, CDCl3) δ 7.29–6.86 (m, 8H, 2Ar), 5.79 (m, 1H, H-5Cer), 5.73 (d, 1H, J2,NH = 8.7 Hz, NHCer), 5.32 (m, 2H, H-4Cer, H-3Cer), 4.89 (d, 1H, Jgem = 11.3 Hz, ArCH2), 4.79 (d, 1H, Jgem = 10.9 Hz, ArCH2), 4.68 (d, 1H, ArCH2), 4.58 (m, 2H, H-6a, ArCH2), 4.37 (d, 1H, J1,2 = 7.3 Hz, H-1a), 4.27 (m, 1H, H-2Cer), 4.02 (dd, 1H, J5,6´ = 4.5 Hz, Jgem = 11.8 Hz, H-6´a), 3.96 (dd, 1H, J1,2 = 4.6 Hz, Jgem = 9.9 Hz, H-1Cer), 3.80 (2 s, 6H, 2OCH3), 3.69 (dd, 1H, J1',2 = 3.0 Hz, H-1'Cer), 3.44 (m, 2H, H-4a, H-5a), 3.37 (m, 2H, H-2a, H-3a), 2.57–2.29 (m, 4H, 2C(=O)CH2), 2.13 (s, 1H, OHa), 2.09–1.85 (m, 6H, C(=O)CH2Cer, H-6Cer, H-6'Cer, -CH2-), 1.54 (m, 2H, C(=O)CH2CH2), 1.23 (m, 50H, 25-CH2-Cer), 0.88 (m, 6H, 2-CH3Cer); 13C-NMR (125 MHz, CDCl3) δ 172.9, 172.7, 171.3, 159.5, 159.4, 137.2, 130.4, 130.3, 129.6, 129.5, 125.1, 114.1, 114.0, 113.9, 102.7, 83.2, 81.7, 77.6, 74.8, 74.5, 72.6, 72.4, 69.9, 67.0, 62.5, 55.3, 55.2, 50.9, 36.8, 33.0, 32.5, 32.3, 31.9, 30.0, 29.7, 29.6, 29.6, 29.5, 29.4, 29.4, 29.2, 28.9, 25.7, 22.7, 19.6, 14.1. HRMS (ESI) m/z: found [M+Na]+ 1086.7216, C63H101NO12 calcd for [M+Na]+ 1086.7216.
(2,3-Di-O-p-methoxybenzyl-d-glucopyranosyl)-(1'→1)-(2S,3R,4E)-2-octadecanamido-4-octadecene-1,3-diol-3,6´-(2,2-dimethylmalonate) (20). Condition A: To a mixture of 15 (24 mg, 20.4 µmol) in CH2Cl2 (4.1 mL) was added 4 Å molecular sieves (50 mg) at rt. After stirring for 1 h, the mixture was cooled to 0 °C. DMTST (33 mg, 61.2 µmol) was then added to the mixture at 0 °C. After stirring for 2 h at 0 °C as the reaction was monitored by TLC (1:2 acetone–n-hexane), the solution was diluted with CHCl3 and filtered through Celite. The filtrate was then washed with satd aq NaHCO3 and H2O. The organic layer was subsequently dried over Na2SO4, and concentrated. The residue was purified by silica gel column chromatography (1:5 acetone–n-hexane) to give 20 (16 mg, 75%, α:β = 1:2.4). Condition B: To a mixture of 15 (26 mg, 22.2 µmol) in acetonitrile/CH2Cl2 (2:1 4.5 mL) was added 3 Å molecular sieves (55 mg) at rt. After stirring for 1 h, the mixture was cooled to 0 °C. DMTST (36 mg, 66.6 µmol) was then added to the mixture at 0 °C. After stirring for 2 h at 0 °C as the reaction was monitored by TLC (1:2 acetone–n-hexane), the solution was diluted with CHCl3 and filtered through Celite. The filtrate was then washed with satd aq NaHCO3 and H2O. The organic layer was subsequently dried over Na2SO4, and concentrated. The residue was purified by silica gel column chromatography (1:5 acetone–n-hexane) to give 20 (18 mg, 76%, α:β = 1:9.1). 20β: 1H-NMR (500 MHz, CDCl3) δ 7.24–6.85 (m, 8H, 2Ar), 6.55 (d, 1H, J2,NH = 7.0 Hz, NHCer), 5.75 (m, 1H, H-5Cer), 5.59 (t, 1H, J2,3 = J3,4 = 6.4 Hz, H-3Cer), 5.33 (dd, 1H, J4,5 = 15.4 Hz, H-4Cer), 4.81 (d, 1H, Jgem = 11.5 Hz, ArCH2), 4.66 (d, 1H, Jgem = 11.0 Hz, ArCH2), 4.59 (dd, 1H, J5,6 = 5.2 Hz, Jgem = 11.7 Hz, H-6a), 4.55 (d, 1H, ArCH2), 4.54 (d, 1H, ArCH2), 4.44 (m, 2H, H-1a, H-6'a), 4.56 (dd, 1H, Jgem = 11.9 Hz, J1,2 = 2.1 Hz, H-1Cer), 3.89 (m, 1H, H-2Cer), 3.59 (m, 2H, H-1'Cer, H-5a), 3.48 (t, 1H, J3,4 = J4,5 = 7.3 Hz, H-4a), 3.44 (t, 1H, J1,2 = J2,3 = 7.3 Hz, H-2a), 3.36 (t, 1H, H-3a), 2.44 (s, 1H, OHa), 2.30 (m, 2H, C(=O)CH2), 2.00 (m, 2H, H-6Cer, H-6'Cer), 1.60 (m, 2H, C(=O)CH2CH2), 1.41–1.40 (2 s, 6H, CH3CCH3), 1.25 (m, 50H, 25-CH2-), 0.88 (m, 6H, 2-CH3Cer); 13C-NMR (125 MHz, CDCl3) δ 175.0, 172.4, 170.7, 159.5, 159.4, 136.2, 130.3, 130.1, 129.7, 129.7, 129.6, 129.5, 129.0, 127.6, 127.1, 124.6, 114.2, 114.0, 114.0, 113.9, 103.6, 82.2, 80.5, 74.1, 73.3, 72.8, 72.2, 70.4, 69.8, 62.7, 55.3, 54.6, 50.8, 50.7, 34.5, 32.3, 29.6, 29.5, 29.5, 29.3, 29.3, 29.2, 29.2, 29.0, 28.9, 25.0, 23.7, 22.7, 21.8, 14.1. HRMS (ESI) m/z: found [M+Na]+ 1086.7217, C63H101NO12 calcd for [M+Na]+ 1086.7216.
(2,3-Di-O-p-methoxybenzyl-d-glucopyranosyl)-(1'→1)-(2S,3R,4E)-2-octadecanamido-4-octadecene-1,3-diol-3,6'-phthalate (21). Condition A: To a mixture of 17 (50 mg, 41.4 µmol) in CH2Cl2 (8.3 mL) was added 4 Å molecular sieves (100 mg) at rt. After stirring for 1 h, the mixture was cooled to 0 °C. DMTST (67 mg, 124 µmol) was then added to the mixture at 0 °C. After stirring for 1 h at 0 °C as the reaction was monitored by TLC (1:2 acetone–n-hexane), the solution was diluted with CHCl3 and filtered through Celite. The filtrate was then washed with satd aq NaHCO3 and H2O. The organic layer was subsequently dried over Na2SO4, and concentrated. The residue was purified by silica gel column chromatography (1:5 acetone–n-hexane) to give 21 (24 mg, 53%, α:β = 1:2.0). Condition B: To a mixture of 17 (45 mg, 37.3 µmol) in acetonitrile/CH2Cl2 (2:1 11.3 mL) was added 3 Å molecular sieves (90 mg) at rt. After stirring for 1 h, the mixture was cooled to 0 °C. DMTST (60 mg, 112 µmol) was then added to the mixture at 0 °C. After stirring for 1 h at 0 °C as the reaction was monitored by TLC (1:2 acetone–n-hexane), the solution was diluted with CHCl3 and filtered through Celite. The filtrate was then washed with satd aq NaHCO3 and H2O. The organic layer was subsequently dried over Na2SO4, and concentrated. The residue was purified by silica gel column chromatography (1:5 acetone–n-hexane) to give 21 (29 mg, 71%, α:β = 1:5.2). 21β: 1H-NMR (500 MHz, CDCl3) δ 7.75–6.86 (m, 12H, 3Ar), 6.18 (br d, 1H, J2,NH = 9.8 Hz, NHCer), 5.88 (m, 1H, H-5Cer), 5.67 (m, 1H, H-3Cer), 5.41 (dd, 1H, J3,4 = 7.8 Hz, J4,5 = 15.3 Hz, H-4Cer), 4.90 (d, 1H, Jgem = 11.4 Hz, ArCH2), 4.81 (d, 1H, Jgem = 10.7 Hz, ArCH2), 4.64 (d, 1H, ArCH2), 4.56 (d, 1H, ArCH2), 4.53–4.47 (m, 3H, H-6a, H-6'a, H-2Cer), 4.33 (d, 1H, J1,2 = 7.4 Hz, H-1a), 3.97 (dd, 1H, J1,2 = 4.4 Hz, Jgem = 10.3 Hz, H-1Cer), 3.90 (near dd, 1H, J1',2 = 5.4 Hz, H-1'Cer), 3.82–3.78 (m, 7H, H-4a, 2OCH3), 3.50 (m, 1H, H-5a), 3.43–3.36 (m, 2H, H-2a, H-3a), 2.22 (m, 2H, C(=O)CH2), 2.16 (s, 1H, OHa), 2.00 (m, 2H, H-6Cer, H-6'Cer), 1.64 (m, 2H, C(=O)CH2CH2), 1.25 (m, 50H, 25-CH2-), 0.88 (m, 6H, 2-CH3Cer); 13C-NMR (125 MHz, CDCl3) δ 172.8, 159.5, 159.4, 131.5, 130.9, 130.4, 130.2, 129.8, 129.7, 129.6, 129.0, 124.4, 124.1, 114.1, 114.1, 114.0, 113.9, 103.1, 83.4, 81.3, 77.6, 75.1, 74.8, 74.3, 70.9, 55.3, 51.8, 50.2, 37.0, 32.3, 31.9, 29.7, 29.7, 29.7, 29.6, 29.6, 29.5, 29.5, 29.4, 29.2, 28.8, 25.9, 25.6, 22.7, 14.1. HRMS (ESI) m/z: found [M+Na]+ 1120.7060, C66H99NO12 calcd for [M+Na]+ 1120.7059.
4-Methoxyphenyl 3,4,6-tri-O-acetyl-2-deoxy-2-(2,2,2-trichloroethoxycarbamoyl)-β-d-galactopyranosyl-(1→4)-2,3,6-tri-O-benzyl-β-d-galactopyranoside (24). To a mixture of 22 (80 mg, 144 µmol) and 23 (82 mg, 144 µmol) in CH2Cl2 (1.4 mL) was added 4 Å molecular sieves (320 mg) at rt. After stirring for 1 h, the mixture was cooled to 0 °C. NIS (49 mg, 216 µmol) and TfOH (1.9 µL, 21.6 µmol) were then added to the mixture at 0 °C. After stirring for 2 h at 0 °C as the reaction was monitored by TLC (4:1 toluene–EtOAc), the reaction was quenched by the addition of satd aq NaHCO3. The solution was diluted with CHCl3 and filtered through Celite. The filtrate was then washed with satd aq Na2S2O3 and brine. The organic layer was subsequently dried over Na2SO4, and concentrated. The residue was purified by silica gel column chromatography (10:1 toluene–EtOAc) to give 24 (126 mg, 86%). [α]D −5.6° (c 0.8, CHCl3); 1H-NMR (600 MHz, CDCl3) δ 7.39–7.26 (m, 15H, 3 Ph), 7.04–6.79 (m, 4H, Ar), 5.65 (d, 1H, J2,NH = 6.9 Hz, NHc), 5.27 (d, 1H, J3,4 = 2.8 Hz, H-4c), 5.04 (d, 1H, Jgem = 11.0 Hz, PhCH2), 4.96 (d, 1H, Jgem = 11.0 Hz, PhCH2), 4.91 (d, 1H, Jgem = 12.4 Hz, PhCH2), 4.84 (d, 2H, J1,2 = 7.6 Hz, H-1b, PhCH2), 4.70 (m, 2H, H-3c, H-1c), 4.64 (d, 1H, PhCH2), 4.55 (q, 2H, Jgem = 11.7 Hz, OCH2CCl3), 4.41 (d, 1H, PhCH2), 4.10 (dd, 1H, J5,6 = 7.6 Hz, Jgem = 11.0 Hz, H-6c), 4.06 (d, 1H, J3,4 = 2.8 Hz, H-4b), 4.04 (dd, 1H, J5,6' = 6.2 Hz, H-6'c), 3.92 (m, 2H, H-2b, H-2c), 3.80 (dd, 1H, J5,6 = 5.8 Hz, Jgem = 10.0 Hz, H-6b), 3.77 (s, 3H, OCH3), 3.76–3.71 (m, 2H, H-6'b, H-5c), 3.66 (m, 2H, H-3b, H-5b), 2.14–1.94 (3 s, 9H, 3Ac); 13C-NMR (150 MHz, CDCl3) δ 170.3, 170.2, 155.3, 154.3, 151.4, 138.2, 138.1, 137.2, 129.0, 128.7, 128.5, 128.4, 128.2, 128.0, 127.8, 127.7, 127.6, 125.3, 118.6, 114.5, 102.9, 101.9, 95.8, 81.6, 79.6, 75.7, 75.3, 74.6, 74.3, 73.6, 73.5, 71.7, 70.9, 69.1, 66.5, 61.1, 55.6, 52.7, 20.6, 20.5. HRMS (ESI) m/z: found [M+Na]+ 1040.2402, C49H54Cl3NO16 calcd for [M+Na]+ 1040.2400.
4-Methoxyphenyl 3,4,6-tri-O-acetyl-2-amino-2-deoxy-β-d-galactopyranosyl-(1→4)-2,3,6-tri-O-benzyl-β-d-galactopyranoside (25). To a solution of 24 (100 mg, 98.3 µmol) in acetonitrile/AcOH (4:1, 3.3 mL) was added Zn (500 mg) at rt. After stirring for 30 min at rt as the reaction was monitored by TLC (1:1 toluene–EtOAc), the solution was diluted with EtOAc and filtered through Celite. The filtrate was then washed with satd aq Na2CO3 and brine. The organic layer was subsequently dried over Na2SO4, and concentrated. The residue was purified by silica gel column chromatography (1.5:1 toluene–EtOAc) to give 25 (81 mg, 98%). [α]D −12.3° (c 0.4, CHCl3); 1H-NMR (600 MHz, CDCl3) δ 7.36–7.24 (m, 15H, 3Ph), 7.06–6.78 (m, 4H, Ar), 5.29 (d, 1H, J3,4 = 2.1 Hz, H-4c), 5.01 (d, 1H, Jgem = 11.0 Hz, PhCH2), 4.87 (d, 1H, J1,2 = 7.6 Hz, H-1b), 4.83 (d, 1H, Jgem = 11.7 Hz, PhCH2), 4.82 (d, 1H, Jgem = 11.6 Hz, PhCH2), 4.69 (d, 1H, PhCH2), 4.66 (dd, 1H, J2,3 = 10.7 Hz, H-3c), 4.55 (s, 2H, PhCH2), 4.49 (d, 1H, J1,2 = 8.2 Hz, H-1c), 4.08 (dd, 1H, J5,6 = 7.6 Hz, Jgem = 11.0 Hz, H-6c), 4.04 (d, 1H, J3,4 = 2.8 Hz, H-4b), 4.02 (dd, 1H, J5,6' = 6.2 Hz, H-6'c), 3.94 (dd, 1H, J1,2 = 7.6 Hz, J2,3 = 9.6 Hz, H-2b), 3.80 (dd, 1H, J5,6 = 4.8 Hz, Jgem = 10.3 Hz, H-6b), 3.76 (s, 3H, OCH3), 3.76–3.73 (m, 2H, H-6'b, H-5c), 3.66 (m, 1H, H-5b), 3.59 (dd, 1H, H-3b), 3.15 (dd, 1H, H-2c), 2.09–2.01 (3 s, 9H, 3Ac); 13C-NMR (150 MHz, CDCl3) δ 170.4, 170.3, 170.2, 155.2, 151.5, 138.2, 138.1, 137.9, 129.0, 128.6, 128.4, 128.3, 128.2, 128.0, 127.8, 127.6, 127.5, 125.3, 118.3, 114.5, 105.1, 102.9, 81.0, 78.8, 75.2, 74.8, 74.1, 73.9, 73.6, 73.6, 70.5, 69.8, 66.3, 61.5, 55.6, 51.9, 21.4, 20.8, 20.7, 20.6. HRMS (ESI) m/z: found [M+Na]+ 866.3358, C46H53NO14 calcd for [M+Na]+ 866.3358.
4-Methoxyphenyl 2-acetamido-4,6-di-O-acetyl-2-deoxy-β-d-galactopyranosyl-(1→4)-2,3,6-tri-O-benzyl-β-d-galactopyranoside (26). Compound 25 (270 mg, 320 µmol) was dissolved in 1,4-dioxane/AcOH (4:1, 32 mL) and the solution was stirred for 50 h at 60 °C as the reaction was monitored by TLC (1:1.5 toluene–EtOAc). Dilution of the mixture with CHCl3 provided a solution, which was then washed with satd aq Na2CO3. The organic layer was subsequently dried over Na2SO4, and concentrated. The residue was purified by silica gel column chromatography (2:1 toluene–EtOAc) to give 26 (218 mg, 81%). [α]D −3.5° (c 0.6, CHCl3); 1H-NMR (600 MHz, CDCl3) δ 7.38–7.24 (m, 15H, 3Ph), 7.17 (d, 1H, J2,NH = 3.4 Hz, NHc), 7.05–6.78 (m, 4H, Ar), 5.91 (d, 1H, J3,OH = 1.4 Hz, OHc), 5.27 (d, 1H, J3,4 = 3.4 Hz, H-4c), 5.12 (d, 1H, Jgem = 11.0 Hz, PhCH2), 4.88 (d, 1H, J1,2 = 7.6 Hz, H-1b), 4.87 (d, 1H, Jgem = 9.6 Hz, PhCH2), 4.73 (d, 2H, PhCH2), 4.56 (q, 2H, Jgem = 11.7 Hz, PhCH2), 4.46 (d, 1H, J1,2 = 8.2 Hz, H-1c), 4.15 (dd, 1H, J5,6 = 6.5 Hz, Jgem = 11.3 Hz, H-6c), 4.05 (m, 2H, H-6'c, H-4b), 3.89–3.83 (m, 3H, H-2b, H-2c, H-6b), 3.77 (s, 3H, OCH3), 3.76–3.69 (m, 4H, H-6'b, H-3b, H-5b, H-5c), 3.53 (br d, 1H, H-3c), 2.14–1.61 (3 s, 9H, 3Ac); 13C-NMR (150 MHz, CDCl3) δ 173.9, 170.5, 170.3, 155.4, 151.2, 138.1, 138.0, 136.4, 129.1, 129.0, 128.8, 128.5, 128.4, 128.2, 128.0, 127.9, 127.7, 127.5, 118.5, 114.5, 102.9, 102.7, 81.6, 79.9, 75.7, 75.3, 74.3, 73.6, 71.3, 69.3, 67.9, 61.9, 55.8, 55.6, 29.7, 22.3, 20.8, 20.7. HRMS (ESI) m/z: found [M+Na]+ 866.3358, C46H53NO14 calcd for [M+Na]+ 866.3358.
4-Methoxyphenyl 2-acetamido-3,4,6-tri-O-acetyl-2-deoxy-β-d-galactopyranosyl-(1→4)-{[methyl 5-acetamido-4,7,8,9-tetra-O-acetyl-3,5-dideoxy-d-glycero-α-d-galacto-2-nonulopyranosylonate]-(2→3)}-2,6-di-O-benzoyl-β-d-galactopyranosyl-(1→3)-2-acetamido-4,6-di-O-acetyl-2-deoxy-β-d-galactopyranosyl-(1→4)-2,3,6-tri-O-benzyl-β-d-galactopyranoside (29). To a mixture of 28 (180 mg, 135 µmol) and 26 (114 mg, 135 µmol) in CH2Cl2 (4.5 mL) was added 4 Å molecular sieves (300 mg) at rt. After stirring for 1 h, the mixture was cooled to 0 °C. TMSOTf (2.4 µL, 13.5 µmol) was then added to the mixture at 0 °C. After stirring for 2 h at 0 °C as the reaction was monitored by TLC (1:1 CHCl3–acetone), the reaction was quenched by the addition of satd aq NaHCO3. The solution was diluted with CHCl3 and filtered through Celite. The filtrate was then washed with satd aq NaHCO3 and brine. The organic layer was subsequently dried over Na2SO4, and concentrated. The residue was purified by silica gel column chromatography (40:1 CHCl3–MeOH) to give 29 (203 mg, 75%). [α]D −7.7° (c 0.2, CHCl3); 1H-NMR (600 MHz, DMSO-d6) δ 8.00–7.19 (m, 25H, 5Ph), 7.57 (d, 1H, J5,NH = 8.9 Hz, NHe), 7.20 (d, 1H, J2,NH = 8.2 Hz, NHc), 6.96–6.78 (m, 4H, Ar), 6.78 (d, 1H, J2,NH = 6.9 Hz, NHf), 5.32 (d, 1H, J3,4 = 3.5 Hz, H-4c), 5.29–5.25 (m, 2H, H-8e, H-3f), 5.23 (d, 1H, J3,4 = 2.7 Hz, H-4f), 5.14–5.09 (m, 2H, H-2d, H-7e), 4.90 (d, 1H, J1,2 = 7.6 Hz, H-1d), 4.85 (d, 2H, J1,2 = 7.6 Hz, H-1b, H-1f), 4.78 (m, 1H, H-4e), 4.74 (d, 1H, Jgem = 11.7 Hz, PhCH2), 4.68 (m, 2H, H-1c, PhCH2), 4.59 (m, 2H, H-3d, PhCH2), 4.52 (d, 1H, Jgem = 12.4 Hz, PhCH2), 4.47 (m, 2H, H-6d, PhCH2), 4.41 (d, 1H, Jgem = 12.4 Hz, PhCH2), 4.28 (m, 1H, H-3c), 4.25 (dd, 1H, J5,6' = 5.5 Hz, Jgem = 11.0 Hz, H-6'd), 4.08–4.00 (m, 3H, H-6c, H-6f, H-9e), 3.98–3.91 (m, 4H, H-6'c, H-6'f, H-9'e, H-5d), 3.86–3.72 (m, 8H, H-4d, H-5c, H-5f, H-2c, H-2f, H-6e, H-6b, H-5e), 3.75–3.68 (2 s, 6H, 2OCH3), 3.66 (near t, 1H, H-2b), 3.59–3.53 (m, 4H, H-3b, H-4b, H-5b, H-6'b), 2.30 (dd, 1H, J3eq,4 = 4.8 Hz, Jgem = 13.1 Hz, H-3eeq), 1.80 (near t, 1H, H-3eax), 2.08–1.64 (12 s, 36H, 12 Ac); 13C-NMR (150 MHz, CDCl3) δ 171.3, 170.7, 170.6, 170.5, 170.4, 170.4, 170.2, 169.9, 169.8, 168.1, 166.0, 164.3, 155.1, 151.5, 138.4, 137.9, 133.2, 133.1, 130.0, 129.5, 128.6, 128.5, 128.4, 128.3, 128.0, 127.7, 127.5, 118.3, 114.4, 102.8, 100.7, 100.5, 100.0, 98.3, 80.7, 79.2, 75.3, 74.9, 74.1, 74.0, 73.8, 73.5, 73.2, 72.1, 72.0, 70.8, 70.3, 70.1, 70.0, 69.3, 68.7, 67.4, 66.9, 66.5, 63.7, 62.7, 62.1, 61.4, 55.6, 54.2, 53.1, 51.8, 49.2, 36.1, 31.9, 29.7, 29.3, 23.4, 23.1, 22.7, 21.1, 20.8, 20.7, 20.7, 20.7, 20.5, 20.4, 14.1. HRMS (ESI) m/z: found [M+Na]+ 2038.7055, C100H117N3O41 calcd for [M+Na]+ 2038.7055.
4-Methoxyphenyl 2-acetamido-3,4,6-tri-O-acetyl-2-deoxy-β-d-galactopyranosyl-(1→4)-{[methyl 5-acetamido-4,7,8,9-tetra-O-acetyl-3,5-dideoxy-d-glycero-α-d-galacto-2-nonulopyranosylonate]-(2→3)}-2,6-di-O-benzoyl-β-d-galactopyranosyl-(1→3)-2-acetamido-4,6-di-O-acetyl-2-deoxy-β-d-galactopyranosyl-(1→4)-2,3,6-tri-O-benzoyl-β-d-galactopyranoside (30). To a solution of 29 (215 mg, 107 µmol) in EtOH (10.7 mL) was added Pd(OH)2/C (20%, 215 mg). After stirring for 16 h at rt under a hydrogen atmosphere as the reaction was monitored by TLC (10:1 CHCl3–MeOH), the mixture was filtered through Celite. The filtrate was concentrated and the crude residue obtained was exposed to high vacuum for 3 h. The resulting residue was then dissolved in pyridine (535 µL). Benzoic anhydride (145 mg, 642 µmol) and DMAP (7.8 mg, 64.2 µmol) were added to the mixture at 0 °C. After stirring for 40 min at rt as the reaction was monitored by TLC (15:1 CHCl3–MeOH), the reaction was quenched by the addition of MeOH at 0 °C. The mixture was co-evaporated with toluene and the residue was then diluted with CHCl3, and washed with 2 M HCl, H2O and satd aq NaHCO3. The organic layer was subsequently dried over Na2SO4, and concentrated. The resulting residue was purified by silica gel column chromatography (25:1 CHCl3–MeOH) to give 30 (180 mg, 82%). [α]D +6.3° (c 0.4, CHCl3); 1H-NMR (600 MHz, DMSO-d6) δ 8.01–7.35 (m, 26H, 5Ph, NHe), 7.11 (br d, 1H, J2,NH = 5.5 Hz, NHc), 7.01 (d, 1H, J2,NH = 8.2 Hz, NHf), 6.85–6.62 (m, 4H, Ar), 5.60 (t, 1H, J1,2 = J2,3 = 7.6 Hz, H-2b), 5.52 (dd, 1H, J3,4 = 2.8 Hz, H-3b), 5.39 (d, 1H, H-1b), 5.30 (d, 1H, J3,4 = 2.7 Hz, H-4c), 5.25 (m, 3H, H-3f, H-8e, H-4f), 5.12 (m, 2H, H-2d, H-7e), 4.87 (m, 2H, H-1d, H-1f), 4.81 (m, 1H, H-4e), 4.74 (d, 1H, J1,2 = 8.3 Hz, H-1c), 4.59 (d, 1H, J2,3 = 10.3 Hz, H-3d), 4.49–4.41 (m, 5H, H-6b, H-4b, H-6'b, H-6d, H-5b), 4.29 (br dd, 1H, J2,3 = 10.3 Hz, H-3c), 4.24 (dd, 1H, J5,6' = 5.5 Hz, Jgem = 11.0 Hz, H-6'd), 4.06 (m, 2H, H-6f, H-9e), 3.98–3.93 (m, 3H, H-6'f, H-9'e, H-6c), 3.90–3.72 (m, 7H, H-4d, H-5d, H-5f, H-2f, H-6e, H-5e, H-6'c), 3.75 (s, 3H, OCH3), 3.67 (m, 1H, H-5c), 3.62 (s, 3H, OCH3), 3.60 (m, 1H, H-2c), 2.26 (near dd, 1H, H-3eeq), 2.09–1.75 (m, 37H, H-3eax, 12Ac); 13C-NMR (150 MHz, CDCl3) δ 171.1, 170.6, 170.5, 170.5, 170.5, 170.3, 170.2, 169.9, 169.7, 168.1, 166.3, 166.1, 166.0, 165.3, 164.3, 155.5, 151.2, 133.6, 133.4, 133.1, 132.9, 130.1, 130.0, 130.0, 129.8, 129.7, 129.6, 129.5, 129.4, 128.6, 128.5, 128.4, 128.3, 118.7, 114.3, 100.9, 100.8, 100.4, 98.2, 97.8, 74.7, 74.0, 73.4, 72.7, 72.0, 71.9, 71.2, 70.6, 70.1, 70.0, 69.7, 69.4, 68.8, 67.3, 67.0, 66.5, 63.7, 63.5, 62.8, 62.3, 61.4, 55.5, 53.1, 52.1, 52.0, 49.3, 36.3, 29.7, 23.4, 23.2, 21.1, 20.9, 20.8, 20.8, 20.7, 20.5, 20.4. HRMS (ESI) m/z: found [M+Na]+ 2080.6434, C100H111N3O44 calcd for [M+Na]+ 2080.6433.
2-Acetamido-3,4,6-tri-O-acetyl-2-deoxy-β-d-galactopyranosyl-(1→4)-{[methyl 5-acetamido-4,7,8,9-tetra-O-acetyl-3,5-dideoxy-d-glycero-α-d-galacto-2-nonulopyranosylonate]-(2→3)}-2,6-di-O-benzoyl-β-d-galactopyranosyl-(1→3)-2-acetamido-4,6-di-O-acetyl-2-deoxy-β-d-galactopyranosyl-(1→4)-2,3,6-tri-O-benzoyl-α-d-galactopyranosyl trichloroacetimidate (31). To a solution of 30 (115 mg, 55.9 µmol) in acetonitrile/toluene/H2O (6:5:3, 1.1 mL) was added CAN (245 mg, 447 µmol) at 0 °C. After stirring for 2 h at 0 °C as the reaction was monitored by TLC (10:1 CHCl3–MeOH), the mixture was diluted with CHCl3. The solution was then washed with H2O, satd aq NaHCO3 and brine. The organic layer was subsequently dried over Na2SO4, and concentrated. The residue was roughly purified by silica gel column chromatography (30:1 CHCl3–MeOH). The product obtained was exposed to high vacuum for 20 h and then dissolved in CH2Cl2 (502 µL). CCl3CN (101 µL, 1.00 mmol) and DBU (9.0 µL, 60.2 µmol) were added to the mixture at 0 °C. After stirring for 30 min at rt as the reaction was monitored by TLC (15:1 CHCl3–MeOH), the reaction mixture was evaporated. The crude residue obtained was purified by silica gel column chromatography (40:1 CHCl3–MeOH) to give 31 (94 mg, 81%). [α]D +14.0° (c 0.6, CHCl3); 1H-NMR (600 MHz, DMSO-d6) δ 9.65 (br s, 1H, C(=NH)), 8.01–7.37 (m, 26H, 5Ph, NHe), 7.21 (br s, 1H, NHc), 6.98 (d, 1H, J2,NH = 8.2 Hz, NHf), 6.57 (br s, 1H, H-1b), 5.77 (br d, 1H, H-2b), 5.64 (near dd, 1H, H-3b), 5.31 (s, 1H, H-4c), 5.23 (m, 3H, H-3f, H-8e, H-4f), 5.10 (m, 2H, H-2d, H-7e), 4.89 (d, 1H, J1,2 = 7.6 Hz, H-1d), 4.86–4.81 (m, 3H, H-1f, H-1c, H-4e), 4.62 (m, 2H, H-4b, H-5b), 4.56 (br d, 1H, H-3d), 4.48 (m, 2H, H-6b, H-6d), 4.38 (near dd, 1H, H-6'b), 4.31 (br d, 1H, H-3c), 4.25 (near dd, 1H, H-6'd), 4.06 (m, 2H, H-6f, H-9e), 3.98–3.84 (m, 8H, H-6'f, H-9'e, H-6c, H-4d, H-5d, H-5f, H-2f, H-6'c), 3.81–3.69 (m, 6H, H-6e, OCH3, H-5e, H-5c), 3.62 (m, 1H, H-2c), 2.26 (near dd, 1H, H-3eeq), 2.09–1.66 (m, 37H, H-3eax, 12Ac); 13C-NMR (150 MHz, CDCl3) δ 171.0, 170.8, 170.4, 170.4, 170.4, 170.3, 170.2, 169.8, 169.7, 166.1, 165.9, 165.3, 164.2, 160.4, 133.5, 133.3, 133.1, 133.0, 129.9, 129.8, 129.7, 129.6, 129.5, 128.7, 128.4, 128.4, 128.3, 128.2, 100.7, 100.5, 98.2, 98.0, 93.4, 90.8, 74.8, 73.5, 73.1, 71.9, 71.9, 71.4, 71.3, 70.9, 70.4, 70.1, 70.0, 69.5, 68.7, 67.2, 66.9, 66.4, 63.8, 63.5, 62.8, 62.2, 61.4, 55.3, 53.0, 51.2, 49.1, 36.1, 29.6, 23.3, 23.1, 22.9, 22.6, 21.0, 20.8, 20.8, 20.7, 20.6, 20.4, 20.3, 14.1. HRMS (ESI) m/z: found [M+Na]+ 2117.5111, C95H105Cl3N4O43 calcd for [M+Na]+ 2117.5110.
4-O-{2-Acetamido-3,4,6-tri-O-acetyl-2-deoxy-β-d-galactopyranosyl-(1→4)-[(methyl 5-acetamido-4,7,8,9-tetra-O-acetyl-3,5-dideoxy-d-glycero-α-d-galacto-2-nonulopyranosylonate)-(2→3)]-2,6-di-O-benzoyl-β-d-galactopyranosyl-(1→3)-2-acetamido-4,6-di-O-acetyl-2-deoxy-β-d-galactopyranosyl-(1→4)-2,3,6-tri-O-benzoyl-β-d-galactopyranosyl-(1→4)}-2,3-di-O-p-methoxybenzyl-β-d-glucopyranosyl-(1'→1)-(2S,3R,4E)-2-octadecanamido-4-octadecene-1,3-diol-3,6'-succinate (32). To a mixture of 31 (59 mg, 28.2 µmol) and 18β (30 mg, 28.2 µmol) in CHCl3 (940 µL) was added 4 Å molecular sieves (100 mg) at rt. After stirring for 1 h, the mixture was cooled to 0 °C. TMSOTf (0.5 µL, 2.82 µmol) was then added to the mixture at 0 °C. After stirring for 1.5 h at rt as the reaction was monitored by TLC (1.5:1 acetone–n-hexane), the reaction was quenched by the addition of satd aq NaHCO3. The solution was diluted with CHCl3 and filtered through Celite. The filtrate was then washed with satd aq NaHCO3 and brine. The organic layer was subsequently dried over Na2SO4, and concentrated. The residue was purified by silica gel column chromatography (1:1 acetone–n-hexane) to give 32 (22 mg, 26%). [α]D +7.8° (c 0.4, CHCl3); 1H-NMR (500 MHz, CDCl3) δ 8.08–6.80 (m, 33H, 7Ar), 6.77 (d, 1H, J2,NH = 7.9 Hz, NHc), 5.73 (m, 2H, J2,NH = 8.9 Hz, H-5Cer, NHCer), 5.58–5.53 (m, 2H, H-3b, H-2d), 5.47–5.35 (m, 3H, NHf, H-3Cer, H-8e), 5.33 (d, 1H, J3,4 = 3.1 Hz, H-4c), 5.31–5.20 (m, 4H, H-4f, H-2b, H-4Cer, H-7e), 5.14 (d, 1H, J5,NH = 9.9 Hz, NHe), 5.09 (d, 1H, J1,2 = 8.1 Hz, H-1f), 5.05 (d, 1H, J1,2 = 8.4 Hz, H-1c), 4.99 (m, 1H, H-4e), 4.96 (d, 1H, J1,2 = 7.8 Hz, H-1d), 4.84–4.73 (m, 3H, 2 ArCH2, H-3f), 4.71 (d, 1H, J1,2 = 7.7 Hz, H-1b), 4.66 (d, 1H, Jgem = 10.8 Hz, ArCH2), 4.61 (m, 2H, H-6b, H-6d), 4.52 (d, 1H, ArCH2), 4.47 (d, 1H, J3,4 = 1.6 Hz, H-4d), 4.33–4.19 (m, 5H, H-6'b, H-2Cer, H-1a, H-6f, H-6c), 4.14–4.03 (m, 5H, H-6'd, H-6'f, H-3c, H-9e, H-9'e), 4.00–3.87 (m, 6H, H-4b, H-6'c, H-6a, H-2c, H-3d, H-5e), 3.85–3.72 (m, 8H, H-6'a, OCH3, H-5b, H-6e, H-5d, H-1Cer), 3.66–3.58 (m, 3H, H-1'Cer, H-3a, H-4a), 3.54 (m, 1H, H-5a), 3.48 (m, 2H, H-5c, H-5f), 3.33 (t, 1H, J1,2 = J2,3 = 7.2 Hz, H-2a), 3.16 (m, 1H, H-2f), 2.58–2.45 (m, 4H, 2C(=O)CH2), 2.29 (dd, 1H, J3eq,4 = 4.8 Hz, Jgem = 13.4 Hz, H-3eeq), 2.18–1.55 (m, 43H, C(=O)CH2CH2Cer, H-3eax, H-6Cer, H-6'Cer, 12Ac), 1.26 (m, 50H, 25-CH2-), 0.88 (m, 6H, 2-CH3Cer); 13C-NMR (125 MHz, CDCl3) δ 172.8, 171.8, 171.2, 171.0, 170.6, 170.5, 170.4, 170.4, 170.2, 169.9, 169.8, 168.1, 166.2, 166.0, 165.6, 164.3, 159.3, 159.0, 137.1, 133.6, 133.3, 133.1, 130.5, 130.0, 130.0, 129.8, 129.8, 129.7, 129.6, 129.6, 129.6, 129.0, 128.8, 128.5, 128.4, 128.4, 128.3, 128.2, 125.6, 124.3, 120.2, 113.8, 113.7, 101.8, 100.9, 100.6, 98.3, 97.8, 81.8, 80.7, 78.5, 77.6, 75.0, 73.9, 73.7, 73.5, 73.3, 72.7, 72.2, 72.0, 71.2, 70.6, 70.4, 70.4, 70.1, 70.0, 69.5, 68.7, 67.3, 66.9, 66.5, 63.5, 62.8, 62.7, 62.2, 61.4, 55.3, 55.2, 55.1, 53.8, 53.1, 51.9, 49.2, 43.0, 38.7, 36.6, 36.2, 32.3, 31.9, 31.7, 30.3, 29.7, 29.7, 29.7, 29.6, 29.6, 29.5, 29.4, 29.3, 29.3, 29.1, 29.0, 28.9, 28.8, 25.9, 25.6, 23.9, 23.8, 23.4, 23.1, 23.0, 22.9, 22.8, 22.7, 22.6, 21.1, 20.8, 20.8, 20.8, 20.6, 20.4, 20.4, 14.1, 14.1, 14.0, 11.0, 10.9. HRMS (ESI) m/z: found [1/2M+Na]+ 1514.6482, C155H202N4O54 calcd for [1/2M+Na]+ 1514.6484.
4-O-{2-Acetamido-3,4,6-tri-O-acetyl-2-deoxy-β-d-galactopyranosyl-(1→4)-[(methyl 5-acetamido-4,7,8,9-tetra-O-acetyl-3,5-dideoxy-d-glycero-α-d-galacto-2-nonulopyranosylonate)-(2→3)]-2,6-di-O-benzoyl-β-d-galactopyranosyl-(1→3)-2-acetamido-4,6-di-O-acetyl-2-deoxy-β-d-galactopyranosyl-(1→4)-2,3,6-tri-O-benzoyl-β-d-galactopyranosyl-(1→4)}-2,3-di-O-acetyl-β-d-glucopyranosyl-(1'→1)-(2S,3R,4E)-2-octadecanamido-4-octadecene-1,3-diol-3,6'-succinate (33). To a mixture of 31 (53 mg, 25.3 µmol) and 1 (23 mg, 25.3 µmol) in CHCl3 (843 µL) was added 4 Å molecular sieves (120 mg) at rt. After stirring for 1 h, the mixture was cooled to 0 °C. TMSOTf (0.5 µL, 2.53 µmol) was then added to the mixture at 0 °C. After stirring for 2.5 h at rt as the reaction was monitored by TLC (4:3 acetone–n-hexane), the reaction was quenched by the addition of satd aq NaHCO3. The solution was diluted with CHCl3 and filtered through Celite. The filtrate was then washed with satd aq NaHCO3 and brine. The organic layer was subsequently dried over Na2SO4, and concentrated. The residue was purified by silica gel column chromatography (1:1 acetone–n-hexane) to give 33 (22 mg, 31%). The yields of 33 based on the use of 2.0 eq. and 3.0 eq. of 1 were 48% and 60%, respectively. [α]D +8.0° (c 0.5, CHCl3); 1H-NMR (600 MHz, CDCl3) δ 8.11–7.31 (m, 25H, 5Ph), 6.31 (d, 1H, J2,NH = 8.2 Hz, NHc), 5.98 (d, 1H, J2,NH = 6.2 Hz, NHf), 5.77 (m, 1H, H-5Cer), 5.59 (d, 1H, J2,NH = 9.6 Hz, NHCer), 5.52 (m, 2H, H-3b, H-2d), 5.38 (m, 1H, H-8e), 5.34–5.29 (m, 4H, H-4c, H-4f, H-2b, H-3Cer), 5.26–5.21 (m, 2H, H-4Cer, H-7e), 5.18–5.14 (m, 2H, H-3a, H-1f), 5.10 (d, 1H, J5,NH = 9.7 Hz, NHe), 5.04 (d, 1H, J1,2 = 8.3 Hz, H-1c), 5.00 (m, 1H, H-4e), 4.88 (dd, 1H, J3,4 = 3.4 Hz, J2,3 = 11.0 Hz, H-3f), 4.83 (t, 1H, J1,2 = J2,3 = 7.2 Hz, H-2a), 4.75 (d, 1H, J1,2 = 7.6 Hz, H-1b), 4.69 (d, 1H, J1,2 = 7.6 Hz, H-1d), 4.62 (m, 2H, H-6b, H-6d), 4.52 (d, 1H, J3,4 = 2.8 Hz, H-4d), 4.34 (m, 3H, H-1a, H-6'b, H-6'd), 4.25 (m, 2H, H-2Cer, H-6f), 4.19 (near dd, 1H, H-6c), 4.20–4.05 (m, 4H, H-6´f, H-3c, H-6´c, H-9e), 4.02–3.88 (m, 6H, H-9'e, H-4b, H-6a, H-2c, H-3d, H-5e), 3.85–3.75 (m, 8H, H-1Cer, OCH3, H-1'Cer, H-5b, H-5d, H-6e), 3.70 (m, 2H, H-4a, H-6'a), 3.60 (m, 2H, H-5c, H-5f), 3.50 (near t, 1H, H-5a), 3.12 (m, 1H, H-2f), 2.59–2.40 (m, 4H, 2C(=O)CH2), 2.29 (dd, 1H, Jgem = 13.0 Hz, J3eq,4 = 4.8 Hz, H-3eeq), 2.19–1.55 (m, 49H, C(=O)CH2CH2Cer, H-3eax, H-6Cer, H-6'Cer, 14Ac), 1.25 (m, 50H, 25-CH2-), 0.88 (m, 6H, 2-CH3Cer); 13C-NMR (150 MHz, CDCl3) δ 172.7, 171.3, 171.2, 171.1, 170.5, 170.4, 170.3, 170.3, 169.9, 169.7, 169.3, 168.1, 166.1, 166.0, 165.9, 164.9, 164.3, 133.6, 133.3, 133.2, 130.4, 130.1, 130.0, 129.8, 129.7, 129.5, 129.4, 129.0, 128.8, 128.7, 128.6, 128.5, 128.4, 128.2, 124.7, 101.0, 100.7, 100.4, 99.2, 98.3, 97.5, 76.5, 75.2, 74.0, 73.6, 73.3, 72.4, 72.1, 72.0, 72.0, 71.7, 71.3, 70.5, 70.4, 70.0, 69.6, 68.7, 67.3, 67.0, 66.5, 63.5, 63.0, 62.8, 62.2, 61.4, 53.1, 51.8, 50.0, 49.3, 36.8, 36.1, 32.3, 31.9, 29.7, 29.7, 29.5, 29.5, 29.4, 29.3, 29.3, 28.8, 25.6, 23.4, 23.2, 23.2, 23.1, 22.9, 22.8, 22.7, 22.6, 22.2, 22.0, 21.8, 21.1, 20.9, 20.8, 20.7, 20.6, 20.5, 20.4, 14.1. HRMS (ESI) m/z: found [1/2M+Na]+ 1436.6014, C143H190N4O54 calcd for [1/2M+Na]+ 1436.6015.
GalNAc-GM1b: 2-acetamido-2-deoxy-β-d-galactopyranosyl-(1→4)-[5-acetamido-3,5-dideoxy-d-glycero-α-d-galacto-2-nonulopyranosylonic acid-(2→3)]-β-d-galactopyranosyl-(1→3)-2-acetamido-2-deoxy-β-d-galactopyranosyl-(1→4)-β-d-galactopyranosyl-(1→4)-β-d-glucopyranosyl-(1'→1)-(2S,3R,4E)-2-octadecanamido-4-octadecene-1,3-diol. To a solution of 33 (15.0 mg, 5.31 µmol) in MeOH/THF (1:1, 532 µL) was added NaOMe (28% solution in MeOH, 102 µg, 0.531 µmol) at 0 °C. After stirring for 6 d at rt as the reaction was monitored by TLC (5:4:1 CHCl3–MeOH–10 mM aq ZnCl2), water (10 µL) was added to the mixture. After stirring for 8 d at rt, the reaction was neutralized with Dowex (H+) resin. The resin was filtered through cotton and the filtrate was then evaporated. The residue was purified by gel filtration column chromatography (LH-20) using CHCl3–MeOH as eluent followed by silica gel column chromatography (5:4:0.5 CHCl3–MeOH–H2O) to give the target GalNAc-GM1b (8.2 mg, 88%). [α]D +12.5° (c 0.2, 1:1 CHCl3–MeOH); 1H-NMR (600 MHz, 1:1 CDCl3–CD3OD) δ 5.70 (m, 1H, H-5Cer), 5.45 (dd, 1H, J3,4 = 7.6 Hz, J4,5 = 15.1 Hz, H-4Cer), 2.73 (br d, 1H, H-3eeq), 2.18 (m, 2H, C(=O)CH2), 2.05–2.01 (m, 11H, 3Ac, H-6Cer, H-6'Cer), 1.85 (br t, 1H, H-3eax), 1.59 (m, 2H, C(=O)CH2CH2), 1.37–1.19 (m, 50H, 25-CH2-), 0.89 (m, 6H, 2-CH3); 13C-NMR (150 MHz, 1:1 CDCl3–CD3OD) δ 174.8, 174.6, 173.7, 173.4, 134.4, 129.7, 129.5, 128.0, 104.4, 103.8, 103.1, 102.0, 79.0, 76.2, 75.2, 75.0, 74.7, 74.5, 73.8, 73.6, 73.5, 72.1, 71.9, 71.3, 69.6, 69.5, 68.7, 68.6, 68.2, 64.6, 62.0, 61.5, 60.4, 60.2, 53.3, 53.1, 52.6, 51.8, 47.7, 36.4, 32.4, 32.0, 29.7, 29.6, 29.6, 29.6, 29.4, 29.3, 26.1, 22.7, 22.7, 22.0, 13.8. HRMS (ESI) m/z: found [M−H]− 1747.9487, C81H144N4O36 calcd for [M−H]− 1747.9488.
4. Conclusions
In this study, we investigated the development of a GlcCer cassette acceptor that was both readily accessible and highly reactive. We designed and prepared a novel cassette acceptor bearing electron-donating PMB groups at C2 and C3 of the glucose residue. Various types of linkers and their effect on the stereoselectivity of intramolecular glycosylation were examined. Although varying the linker did not significantly increase β-selectivity, the use of a nitrile solvent gave predominantly the desired β-product. Considering the accessibility of the acceptor, we opted for the succinyl linker. In the experiment on coupling the cassette acceptor and oligosaccharide donor, we found that the use of PMB groups as protecting groups at C2 and C3 positions of the glucose residue did not enhance the reactivity as a GlcCer cassette acceptor. This interesting finding should provide useful information for the future design of glycosyl acceptors. Furthermore, we extended the generality of the GlcCer cassette approach by applying it to the efficient total synthesis of the ganglioside GalNAc-GM1b. Our laboratory is now conducting further studies to evaluate the scope and limitations of the GlcCer cassette approach.
Acknowledgments
The iCeMS is supported by World Premier International Research Center Initiative (WPI), MEXT, Japan. This work was financially supported in part by MEXT of Japan (a Grant-in-Aid for Scientific Research (B) No. 22380067 to M.K. and a Grant-in-Aid for Young Scientists (A) No. 23688014 and Grant-in-Aid on Innovative Areas No. 24110505, Deciphering sugar chain-based signals regulating integrative neuronal functions, to H.A.). We thank Kiyoko Ito (Gifu University) for providing technical assistance.
Conflicts of Interest
The authors declare no conflict of interest.
References and Notes
- Sonnino, S.; Mauri, L.; Chigorno, V.; Prinetti, A. Gangliosides as components of lipid membrane domains. Glycobiology 2006, 17, 1R–13R. [Google Scholar] [CrossRef]
- Todeschini, A.R.; Hakomori, S.I. Functional role of glycosphingolipids and gangliosides in control of cell adhesion, Motility, and growth, through glycosynaptic microdomains. Biochim. Biophys. Acta 2008, 1780, 421–433. [Google Scholar] [CrossRef]
- Lopez, P.H.; Schnaar, R.L. Gangliosides in cell recognition and membrane protein regulation. Curr. Opin. Struct. Biol. 2009, 19, 549–557. [Google Scholar] [CrossRef]
- Posse de Chaves, E.; Sipione, S. Sphingolipids and gangliosides of the nervous system in membrane function and dysfunction. FEBS Lett. 2010, 584, 1748–1759. [Google Scholar] [CrossRef]
- Kusunoki, S.; Kaida, K. Antibodies against ganglioside complexes in Guillain–Barré syndrome and related disorders. J. Neurochem. 2011, 116, 828–832. [Google Scholar] [CrossRef]
- Koga, M.; Yuki, N.; Hirata, K. Subclass distribution and the secretory component of serum IgA anti-ganglioside antibodies in Guillain–Barré syndrome after Campylobacter jejuni enteritis. J. Neuroimmunol. 1999, 96, 245–250. [Google Scholar] [CrossRef]
- Ando, H.; Imamura, A. Proceedings in synthetic chemistry of sialo-glycoside. Trends Glycosci. Glycotechnol. 2004, 16, 293–303. [Google Scholar] [CrossRef]
- Hanashima, S. Recent strategies for stereoselective sialylation and their application to the synthesis of oligosaccharides. Trends Glycosci. Glycotechnol. 2011, 23, 111–121. [Google Scholar] [CrossRef]
- Synthetic Studies on Sialoglycoconjugates, Part 159. For Part 158; Tamai, H.; Ando, H.; Ishida, H.; Kiso, M. First synthesis of a pentasaccharide moiety of ganglioside GAA-7 containing unusually modified sialic acids through the use of N-Troc-sialic acid derivative as a key unit. Org. Lett. 2012, 14, 6342–6345. [Google Scholar] [CrossRef]
- Murase, T.; Kameyama, A.; Kartha, K.P.R.; Ishida, H.; Kiso, M.; Hasegawa, A. A facile, Regio and stereoselective synthesis of ganglioside GM4 and its position isomer. J. Carbohydr. Chem. 1989, 8, 265–283. [Google Scholar] [CrossRef]
- Murase, T.; Ishida, H.; Kiso, M.; Hasegawa, A. A facile, Regio- and stereo-selective synthesis of ganglioside GM3. Carbohydr. Res. 1989, 188, 71–80. [Google Scholar] [CrossRef]
- Imamura, A.; Ando, H.; Ishida, H.; Kiso, M. Ganglioside GQ1b: Efficient total synthesis and the expansion to synthetic derivatives to elucidate its biological roles. J. Org. Chem. 2009, 74, 3009–3023. [Google Scholar] [CrossRef]
- Fujikawa, K.; Nohara, T.; Imamura, A.; Ando, H.; Ishida, H.; Kiso, M. A cyclic glucosyl ceramide acceptor as a versatile building block for complex ganglioside synthesis. Tetrahedron Lett. 2010, 51, 1126–1130. [Google Scholar] [CrossRef]
- Fujikawa, K.; Nakashima, S.; Konishi, M.; Fuse, T.; Komura, N.; Ando, T.; Ando, H.; Yuki, N.; Ishida, H.; Kiso, M. The first total synthesis of ganglioside GalNAc-GD1a, a target molecule for autoantibodies in Guillain–Barré syndrome. Chem. Eur. J. 2011, 17, 5641–5651. [Google Scholar] [CrossRef]
- Nakashima, S.; Ando, H.; Saito, R.; Tamai, H.; Ishida, H.; Kiso, M. Efficiently synthesizing lacto-ganglio-series gangliosides by using a glucosyl ceramide cassette approach: The total synthesis of ganglioisde X2. Chem. Asian J. 2012, 7, 1041–1051. [Google Scholar]
- Tamai, H.; Ando, H.; Tanaka, H.-N.; Hosoda-Yabe, R.; Yabe, T.; Ishida, H.; Kiso, M. The total synthesis of the neurogenic ganglioside LLG-3 isolated from the starfish Linckia laevigata. Angew. Chem. Int. Ed. 2011, 50, 2330–2333. [Google Scholar] [CrossRef]
- Fügedi, F.; Garegg, P.J. A novel promoter for the efficient construction of 1,2-trans linkages in glycoside synthesis, using thioglycosides as glycosyl donors. Carbohydr. Res. 1986, 149, C9–C12. [Google Scholar] [CrossRef]
- Kanie, O.; Kiso, M.; Hasegawa, A. Glycosylation using methylthioglycosides of N-acetylneuraminic acid and dimethyl(methylthio)sulfonium triflate. J. Carbohydr. Chem. 1988, 7, 501–506. [Google Scholar] [CrossRef]
- Itoh, T.; Li, Y.-T.; Li, S.-C.; Yu, R.K. Isolation and characterization of a novel monosialosylpentahexosyl ceramide from Tay-Sachs brain. J. Biol. Chem. 1981, 256, 165–169. [Google Scholar]
- Müthing, J.; Schwinzer, B.; Peter-Katalinic, J.; Egge, H.; Mühlradt, P.F. Gangliosides of murine T lymphocyte subpopulations. Biochemistry 1989, 28, 2923–2929. [Google Scholar] [CrossRef]
- Yuki, N.; Taki, T.; Handa, S. Antibody to GalNAc-GD1a and GalNAc-GM1b in Guillain–Barré syndrome subsequent to Campylobacter jejuni enteritis. J. Neuroimmunol. 1996, 71, 155–161. [Google Scholar] [CrossRef]
- Ilyas, A.A.; Li, S.-C.; Chou, D.K.H.; Li, Y.-T.; Jungalwala, F.B.; Dalakas, M.C.; Quarles, R.H. Gangliosides GM2, IV4GalNAcGM1b, and IV4GalNAcGD1a as antigens for monoclonal immunoglobulin M in neuropathy associated with gammopathy. J. Biol. Chem. 1988, 263, 4369–4373. [Google Scholar]
- Ortiz, N.; Rosa, R.; Gallardo, E.; Illa, I.; Tomas, J.; Aubry, J.; Santafé, M. IgM monoclonal antibody against terminal moiety of GM2, GalNAc-GD1a and GalNAc-GM1b from a pure motor chronic demyelinating polyneuropathy patient: Effects on neurotransmitter release. J. Neuroimmunol. 2001, 119, 114–123. [Google Scholar] [CrossRef]
- Sugimoto, M.; Fujikura, K.; Nunomura, S.; Ito, Y.; Ogawa, T. Total synthesis of an extended ganglio-ganglioside, IV4GalNAcβGM1b. Tetrahedron Lett. 1990, 31, 1435–1438. [Google Scholar] [CrossRef]
- Murakata, C.; Ogawa, T. Stereoselective total synthesis of the glycosyl phosphatidylinositol (GPI) anchor of Trypanosoma brucei. Carbohydr. Res. 1992, 235, 95–114. [Google Scholar] [CrossRef]
- Fuse, T.; Ando, H.; Imamura, A.; Sawada, N.; Ishida, H.; Kiso, M.; Ando, T.; Li, S.-C.; Li, Y.-T. Synthesis and enzymatic susceptibility of a series of novel GM2 analogs. Glycoconj. J. 2006, 23, 329–343. [Google Scholar] [CrossRef]
- Konradsson, P.; Mootoo, D.R.; McDevitt, R.E.; Fraser-Reid, B. Iodonium ion generated in situ from N-iodosuccimide and trifluoromethanesulphonic acid promotes direct linkage of ‘disarmed’ pent-4-enyl glycosides. J. Chem. Soc. Chem. Commun. 1990, 270–272. [Google Scholar]
- Veeneman, G.H.; van Leeuwen, S.H.; van Boom, J.H. Iodonium ion promoted reactions at the anomeric centre. II An efficient thioglycoside mediated approach toward the formation of 1,2-trans linked glycosides and glycosidic esters. Tetrahedron Lett. 1990, 31, 1331–1334. [Google Scholar] [CrossRef]
- Matsuzaki, Y.; Ito, Y.; Nakahara, Y.; Ogawa, T. Synthesis of branched poly–N-acetyl-lactosamine type pentaantennary pentacosasaccharide: Glycan part of a glycosyl ceramide from rabbit erythrocyte membrane. Tetrahedron Lett. 1993, 34, 1061–1064. [Google Scholar] [CrossRef]
- Schmidt, R.R. New methods for the synthesis of glycosides and oligosaccharides–Are there alternatives to the Koenigs-Knorr method? [new synthetic methods (56)]. Angew. Chem. Int. Ed. 1986, 25, 212–235. [Google Scholar] [CrossRef]
- Yeung, B.K.S.; Hill, D.C.; Janicka, M.; Petillo, P.A. Synthesis of two hyaluronan trisaccharides. Org. Lett. 2000, 2, 1279–1282. [Google Scholar] [CrossRef]
- Sample Availability: Samples of the compounds are not available from the authors.
© 2013 by the authors; licensee MDPI, Basel, Switzerland. This article is an open access article distributed under the terms and conditions of the Creative Commons Attribution license (http://creativecommons.org/licenses/by/3.0/).




