Synthetic Dye - Inorganic Salt Hybrid Colorants for Application in Thermoplastics
Abstract
:1. Introduction
2. Results and Discussion
2.1. Removing Synthetic Dyes by in situ Hybridization with Inorganic Salts
2.2. Characterization of the Dye Hybrids
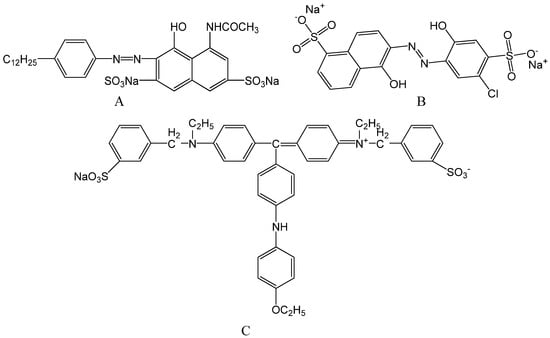
2.2.1. CaCO3-APRB hybrid
2.2.2. The BaSO4-MB hybrid
2.2.3. The Ca3(PO4)2-ABB6B hybrid
2.3. Application of the Hybrids as Colorants
2.3.1. Resistance to solvents
2.3.2. Dispersion of colorants added into PP samples
2.3.3. Migration of colorants from PP
2.3.4. Thermal stability of colorants added into PP
2.3.5. Photostability of the colorants added into PP
2.3.6. Crystallization of the PP composites
3. Experimental
3.1. Preparation of Dye-Inorganic Salt Material
3.2. Anti-Solvency of Dye Hybrids as Colorants
3.3. Preparation of PP Samples with Characterization
3.4. Migration, Thermal Stability and Photostability of Colorants
4. Conclusions
Acknowledgements
Supplementary Information



References and Notes
- Horiuchi, S.; Kajita, T.; Tachibana, T. Preparation of pigment-polymer hybrid particles for plastic colorants by dry-impact blending method. J. Appl. Polym. Sci. 1999, 74, 1762–1772. [Google Scholar] [CrossRef]
- van den Oever, M.J.A.; Boeriu, C.G.; Blaauw, R.; van Haveren, J. Colorants based on renewable resources and food-grade colorants for application in thermoplastics. J. Appl. Polym. Sci. 2004, 92, 2961–2969. [Google Scholar] [CrossRef]
- Deliyanni, E.A.; Peleka, E.N.; Matis, K.A. Removal of zinc ion from water by sorption onto iron-based nanoadsorbent. J. Hazard. Mater. 2007, 141, 176–184. [Google Scholar] [CrossRef] [PubMed]
- Dorozhkin, S.V. Nanosized and nanocrystalline calcium orthophosphates. Acta Biomater. 2010, 6, 715–734. [Google Scholar] [CrossRef] [PubMed]
- Yuan, J.J.; Zhou, S.X.; You, B.; Wu, L.M. Organic pigment particles coated with colloidal nano-silica particles via layer-by-layer assembly. Chem. Mater. 2005, 17, 3587–3594. [Google Scholar] [CrossRef]
- Koprivanac, N.; Kusic, H.; Vujevic, D.; Peternel, I.; Locke, B.R. Influence of iron on degradation of organic dyes in corona. J. Hazard. Mater. 2005, 117, 113–119. [Google Scholar] [CrossRef] [PubMed]
- Maile, F.J.; Pfaff, G.; Reynders, P. Effect pigments - past, present and future. Prog. Org. Coat. 2005, 54, 150–163. [Google Scholar] [CrossRef]
- Zhao, D.H.; Gao, H.W. Turning calcium carbonate into a cost-effective wastewater-sorbing material by occluding waste dye. Environ. Sci. Pollut. R. 2010, 17, 97–105. [Google Scholar] [CrossRef] [PubMed]
- Lin, J.; Gao, H.W. SDBS@BaSO4: An efficient wastewater-sorbing material. J. Mater. Chem. 2009, 19, 3598–3601. [Google Scholar] [CrossRef]
- Hu, Z.-J.; Xiao, Y.; Zhao, D.-H.; Shen, Y.-L.; Gao, H.-W. Preparation of dye waste-barium sulfate hybrid adsorbent and application in organic wastewater treatment. J. Hazard. Mater. 2010, 175, 179–186. [Google Scholar] [CrossRef] [PubMed]
- Pritchard, G. (Ed.) Plastics Additives; Smithers Rapra Technology: Shrewsbury, UK, 2005; p. 44. [Google Scholar]
- Hohenberger, W. Fillers and Reinforcements/Coupling Agents. In Plastics Additives Handbook; Zweifel, H., Maier, R., Schiller, M., Eds.; Hanser Verlag: Villach, Austria, 2009; p. 937. [Google Scholar]
- Dorozhkin, S.V. Calcium orthophosphate cements for biomedical application. J. Mater. Sci. 2008, 43, 3028–3057. [Google Scholar] [CrossRef]
- Nagaraja, B.M.; Abimanyu, H.; Jung, K.D.; Yoo, K.S. Novel method for the preparation of mesoporous BaSO4 material with thermal stability by spray pyrolysis. Bull. Kor. Chem. Soc. 2008, 29, 1007–1012. [Google Scholar]
- Gao, H.W.; Lin, J.; Li, W.Y.; Hu, Z.J.; Zhang, Y.L. Formation of shaped barium sulfate-dye hybrids: waste dye utilization for eco-friendly treatment of wastewater. Environ. Sci. Pollut. R. 2010, 17, 78–83. [Google Scholar] [CrossRef] [PubMed]
- Mitsionis, A.I.; Vaimakis, T.C. A calorimetric study of the temperature effect on Calcium Phosphate precipitation. J. Therm. Anal. Calorim. 2010, 99, 785–789. [Google Scholar] [CrossRef]
- Laoutid, F.; Bonnaud, L.; Alexandre, M.; Lopez-Cuesta, J.M.; Dubois, P. New prospects in flame retardant polymer materials: From fundamentals to nanocomposites. Mater. Sci. Eng. R-Rep. 2009, 63, 100–125. [Google Scholar] [CrossRef]
- Mishra, S.; Mukherji, A. Phase characterization and mechanical and flame-retarding properties of nano-CaSO4/polypropylene and nano-Ca3(PO4)2/polypropylene composites. J. Appl. Polym. Sci. 2007, 103, 670–680. [Google Scholar] [CrossRef]
- Eiras, D.; Pessan, L.A. Influence of Calcium Carbonate Nanoparticles on the Crystallization of Olypropylene. Mater. Res.-Ibero-Am. J. 2009, 12, 523–527. [Google Scholar] [CrossRef]
- Wang, K.; Wu, J.S.; Ye, L.; Zeng, H.M. Mechanical properties and toughening mechanisms of polypropylene/barium sulfate composites. Compos. Part a-Appl. S 2003, 34, 1199–1205. [Google Scholar] [CrossRef]
- ASTM. Standard Practice for Calculation of Color Tolerances and Color Differences from Instrumentally Measured Color Coordinates; ASTM: West Conshohocken, PA, USA, 2007; Volume D 2244-07. [Google Scholar]
- Hue. Available online: http://en.wikipedia.org/wiki/Hue (accessed on 23 September 2010).
- Faltermeier, A.; Behr, M.; Mussig, D. Esthetic brackets: The influence of filler level on color stability. Am. J. Orthodont. Dent. Orthop. 2007, 132, 5.e13–5.e16. [Google Scholar] [CrossRef] [PubMed]
- Doray, P.; Wang, X.; Powers, J.; Burgess, J. Accelerated aging affects color stability of provisional restorative materials. J. Prosthodont. 1997, 6, 183–188. [Google Scholar] [CrossRef] [PubMed]
- Zhao, D.H.; Zhang, Y.L.; Wei, Y.P.; Gao, H.W. Facile eco-friendly treatment of a dye wastewater mixture by in situ hybridization with growing calcium carbonate. J. Mater. Chem. 2009, 19, 7239–7244. [Google Scholar] [CrossRef]
Sample Availability: Samples are available from the authors. |

















| Composition | Addition amount | Crystallinity | Relative neat PP crystallinity | Source |
|---|---|---|---|---|
| wt % | % | % | ||
| CaCO3-APRB hybrid | 2.1 | 34.26 | 32.32 | Self prepared |
| BaSO4-MB hybrid | 2.4 | 38.52 | 32.32 | Self prepared |
| Ca3(PO4)2-ABB6B hybrid | 0.4 | 33.93 | 32.32 | Self prepared |
| nano CaCO3 | 3 | 40 | 38 | [19] |
| nano Ca3(PO4)2 | 0.5 | 29.02 | 25.88 | [18] |
| BaSO4 | 8 | 46.8 | 46.2 | [20] |
© 2011 by the authors; licensee MDPI, Basel, Switzerland. This article is an open access article distributed under the terms and conditions of the Creative Commons Attribution license (http://creativecommons.org/licenses/by/3.0/).
Share and Cite
Wei, Y.-P.; Li, T.; Gao, H.-W. Synthetic Dye - Inorganic Salt Hybrid Colorants for Application in Thermoplastics. Molecules 2011, 16, 5035-5053. https://doi.org/10.3390/molecules16065035
Wei Y-P, Li T, Gao H-W. Synthetic Dye - Inorganic Salt Hybrid Colorants for Application in Thermoplastics. Molecules. 2011; 16(6):5035-5053. https://doi.org/10.3390/molecules16065035
Chicago/Turabian StyleWei, Yan-Ping, Tian Li, and Hong-Wen Gao. 2011. "Synthetic Dye - Inorganic Salt Hybrid Colorants for Application in Thermoplastics" Molecules 16, no. 6: 5035-5053. https://doi.org/10.3390/molecules16065035
APA StyleWei, Y.-P., Li, T., & Gao, H.-W. (2011). Synthetic Dye - Inorganic Salt Hybrid Colorants for Application in Thermoplastics. Molecules, 16(6), 5035-5053. https://doi.org/10.3390/molecules16065035
