The Influence of t-Butyl and Cyclododecyl Substitution on Ethylene/1-Hexene Copolymerization Using Ansa-Fluorenylamidodimethyltitanium Derivatives
Abstract
:1. Introduction

2. Results and Discussion
| Entry a) | 1-hexenemol.L−1 | Time s | Yield g | Activity b) kg.mol−1 Ti.h−1 | cont c) % | Mw d) kg.mol−1 | MWD e) |
|---|---|---|---|---|---|---|---|
| T | 0.75 | 60 | 0.6832 | 2050 | - | - | - |
| 1-1 | 0.075 | 210 | 0.0265 | 23 | 37.2 | 27 | 1.44 |
| 1-2 | 0.15 | 240 | 0.0835 | 63 | 37.8 | 25 | 1.53 |
| 1-3 | 0.45 | 360 | 0.2477 | 122 | 62.1 | 44 | 1.73 |
| 1-4 | 0.75 | 200 | 0.3688 | 221 | 74.3 | 49 | 1.53 |
| 1-5 | 1.5 | 180 | 0.3691 | 369 | 72.1 | 60 | 1.51 |
| 2-1 | 0.075 | 180 | 0.0813 | 81 | 30.1 | 26 | 1.61 |
| 2-2 | 0.15 | 120 | 0.1514 | 227 | 40.7 | 35 | 1.47 |
| 2-3 | 0.45 | 120 | 0.2250 | 338 | 57.9 | 36 | 1.54 |
| 2-4 | 0.75 | 150 | 0.3399 | 408 | 66.9 | 38 | 1.58 |
| 2-5 | 1.5 | 180 | 0.6160 | 616 | 78.0 | 71 | 1.48 |
| 3-1 | 0.075 | 45 | 0.0856 | 342 | 33.8 | 37 | 1.7 |
| 3-2 | 0.15 | 45 | 0.1167 | 467 | 47.2 | 64 | 1.48 |
| 3-3 | 0.45 | 40 | 0.2089 | 940 | 64.1 | 166 | 1.83 |
| 3-4 | 0.75 | 35 | 0.5272 | 2711 | 63.0 | 329 | 1.70 |
| 3-5 | 1.5 | 30 | 0.6006 | 3604 | 68.3 | 415 | 1.50 |
| Entry | 1-hexene mol.L−1 | [HHH] % | [EHH] % | [EHE] % | [EEE] % | [HEH] % | [HEE] % | [H] % |
|---|---|---|---|---|---|---|---|---|
| 1-1 | 0.075 | 0.0 | 23.8 | 13.4 | 15.8 | 10.5 | 36.5 | 37.2 |
| 1-2 | 0.15 | 0.0 | 21.9 | 15.9 | 19.4 | 10.8 | 32.0 | 37.8 |
| 1-3 | 0.45 | 19.9 | 32.5 | 9.7 | 4.7 | 18.8 | 14.4 | 62.1 |
| 1-4 | 0.75 | 36.8 | 33.3 | 4.2 | 0.0 | 15.9 | 9.8 | 74.3 |
| 1-5 | 1.5 | 28.7 | 37.4 | 3.5 | 0.0 | 14.0 | 16.4 | 72.1 |
| 2-1 | 0.075 | 0.0 | 11.7 | 18.4 | 28.4 | 7.0 | 34.5 | 30.1 |
| 2-2 | 0.15 | 7.8 | 14.8 | 18.1 | 21.8 | 13.5 | 24.0 | 40.7 |
| 2-3 | 0.45 | 16.5 | 28.4 | 13.0 | 6.3 | 18.6 | 17.2 | 57.9 |
| 2-4 | 0.75 | 48.3 | 11.6 | 7.0 | 13.4 | 19.7 | 0.0 | 66.9 |
| 2-5 | 1.5 | 43.8 | 34.1 | 0.0 | 0.0 | 12.1 | 9.9 | 78.0 |
| 3-1 | 0.075 | 4.6 | 10.4 | 18.8 | 28.2 | 10.0 | 27.9 | 33.8 |
| 3-2 | 0.15 | 8.8 | 20.6 | 17.8 | 11.7 | 15.1 | 26.0 | 47.2 |
| 3-3 | 0.45 | 29.8 | 24.5 | 9.8 | 5.6 | 13.7 | 16.7 | 64.1 |
| 3-4 | 0.75 | 27.1 | 25.8 | 10.0 | 6.6 | 15.4 | 15.0 | 63.0 |
| 3-5 | 1.5 | 31.4 | 32.3 | 4.6 | 2.1 | 11.8 | 17.8 | 68.3 |


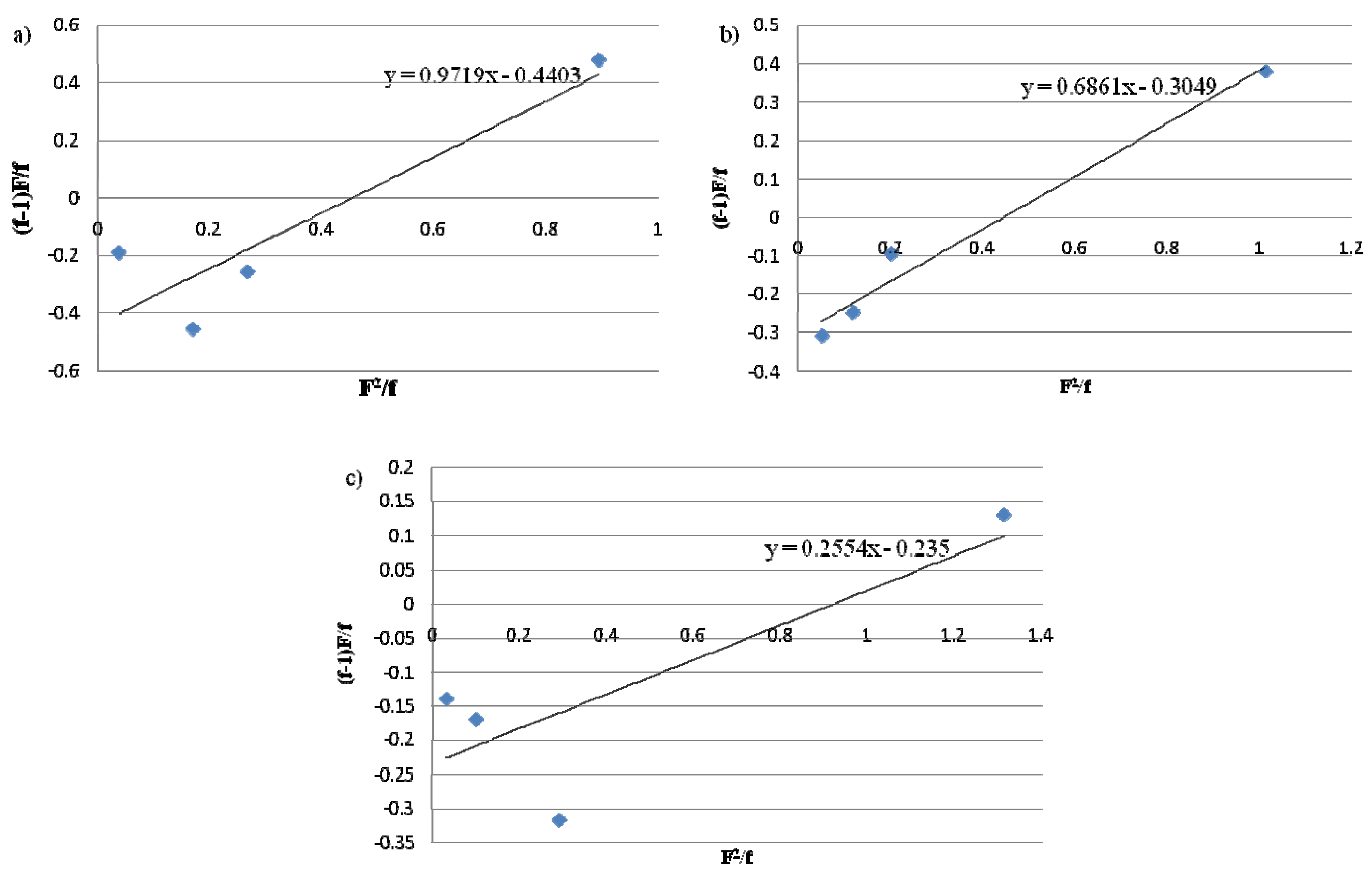
| Complex | rE a) | rH b) | rE c) | rH d) |
|---|---|---|---|---|
| 1 | 0.97 | 0.44 | 0.76 | 0.30 |
| 2 | 0.69 | 0.30 | 0.79 | 0.33 |
| 3 | 0.26 | 0.24 | 0.32 | 0.10 |
3. Experimental
3.1. Materials
3.2. Polymerization Procedure
3.3. Analytical Procedure
4. Conclusions
Acknowledgements
References
- Mulhaupt, R. Catalytic polymerization and post polymerization catalysis fifty years after the discovery of Ziegler's catalysts. Macromol. Chem. Phys. 2003, 204, 289–327. [Google Scholar]
- Hong, H.; Zhang, Z.; Chung, T.; Lee, W. Synthesis of new 1-decene-based LLDPE resins and comparison with the corresponding 1-octene- and 1-hexene-based LLDPE resins. J. Polym. Sci. A Polym. Chem. 2007, 45, 639–649. [Google Scholar] [CrossRef]
- Cano, J.; Sudupe, M.; Royo, P. How to synthesize a constrained geometry catalyst (CGC) - A survey. J. Organomet. Chem. 2007, 692, 4441–4423. [Google Scholar]
- Braunschweig, H.; Breitling, F.M. Constrained geometry complexes - Synthesis and applications. Coord. Chem. Rev. 2006, 250, 2691–2720. [Google Scholar] [CrossRef]
- Chum, P.S.; Swogger, K.W. Olefin polymer technologies-History and recent progress at The Dow Chemical Company. Prog. Polym. Sci. 2008, 33, 797–819. [Google Scholar] [CrossRef]
- Schellenberg, J. Influence of the catalyst on monomer insertion in the syndiospecific copolymerization of styrene and para-methylstyrene. J. Polym. Sci. A Polym. Chem. 2005, 43, 2061–2067. [Google Scholar] [CrossRef]
- Wang, W.; Kolodka, E.; Zhu, S.; Hamielec, A.E. Continuous solution copolymerization of ethylene and octene-1 with constrained geometry metallocene catalyst. J. Polym. Sci. A Polym. Chem. 1999, 37, 2949–2957. [Google Scholar] [CrossRef]
- Liu, S.R.; Li, B.X.; Liu, J.Y.; Li, Y.S. Synthesis, structure and ethylene (co)polymerization behavior of new nonbridged half-metallocene-type titanium complexes based on bidentate beta-enaminoketonato ligands. Polymer 2010, 51, 1921–1925. [Google Scholar]
- Cai, Z.; Ikeda, T.; Akita, M.; Shiono, T. Substituent effects of tert-butyl groups on fluorenyl ligand in syndiospecific living polymerization of propylene with ansa-fluorenylamidodimethyltitanium complex. Macromolecules 2005, 38, 8135–8139. [Google Scholar]
- Grieken, R.V.; Carrero, A.; Suarez, I.; Paredes, B. Effect of 1-hexene comonomer on polyethylene particle growth and kinetic profiles. Macromol. Symp. 2007, 259, 243–252. [Google Scholar] [CrossRef]
- Eric, T.; Randall, C. Monomer Sequence Distributions in Ethylene-1-Hexene Copolymers. Macromolecuels 1986, 15, 1402–1411. [Google Scholar]
- TüdÖs, F.; Kelen, T.; FÖldes-Berezhnykh, T. Evaluation of high conversion copolymerization data by a linear graphical method. React. Kinet. Cata. Lett. 1975, 2, 439–447. [Google Scholar]
- Fineman, M.; Ross, S.D. Linear Method for Determining Monomer Reactivity Ratios in Copolymerization. J. Polym. Sci. 1950, 5, 259–265. [Google Scholar] [CrossRef]
- Nishii, K.; Hagihara, H.; Ikeda, T.; Akita, M.; Shiono, T. Stereospecific polymerization of propylene with group 4 ansa-fluorenylamidodimethyl complexes. J. Organomet. Chem. 2006, 691, 193–201. [Google Scholar]
- Cai, Z.; Nakayama, Y.; Shiono, T. Catalytic synthesis of a monodisperse olefin block copolymer using a living polymerization system. Macromol. Rapid Commun. 2008, 29, 525–529. [Google Scholar]
- Sample Availability: Samples of the compounds are available from the authors.
© 2011 by the authors; licensee MDPI, Basel, Switzerland. This article is an open access article distributed under the terms and conditions of the Creative Commons Attribution license ( http://creativecommons.org/licenses/by/3.0/).
Share and Cite
Kaivalchatchawal, P.; Praserthdam, P.; Sogo, Y.; Cai, Z.; Shiono, T.; Jongsomjit, B. The Influence of t-Butyl and Cyclododecyl Substitution on Ethylene/1-Hexene Copolymerization Using Ansa-Fluorenylamidodimethyltitanium Derivatives. Molecules 2011, 16, 4122-4130. https://doi.org/10.3390/molecules16054122
Kaivalchatchawal P, Praserthdam P, Sogo Y, Cai Z, Shiono T, Jongsomjit B. The Influence of t-Butyl and Cyclododecyl Substitution on Ethylene/1-Hexene Copolymerization Using Ansa-Fluorenylamidodimethyltitanium Derivatives. Molecules. 2011; 16(5):4122-4130. https://doi.org/10.3390/molecules16054122
Chicago/Turabian StyleKaivalchatchawal, Patcharaporn, Piyasan Praserthdam, Yuuichi Sogo, Zhengguo Cai, Takeshi Shiono, and Bunjerd Jongsomjit. 2011. "The Influence of t-Butyl and Cyclododecyl Substitution on Ethylene/1-Hexene Copolymerization Using Ansa-Fluorenylamidodimethyltitanium Derivatives" Molecules 16, no. 5: 4122-4130. https://doi.org/10.3390/molecules16054122
APA StyleKaivalchatchawal, P., Praserthdam, P., Sogo, Y., Cai, Z., Shiono, T., & Jongsomjit, B. (2011). The Influence of t-Butyl and Cyclododecyl Substitution on Ethylene/1-Hexene Copolymerization Using Ansa-Fluorenylamidodimethyltitanium Derivatives. Molecules, 16(5), 4122-4130. https://doi.org/10.3390/molecules16054122
