Abstract
The synthesis of ring-contracted derivatives of erythromycin A via intramolecular transesterification under microwave irradiation of 8,9-anhydro-erythromycin A 6,9-hemiketal and its derivatives is described. It was found that microwave irradiation could significantly improve the yields and shorten the reaction times under either solvent-containing (method A) or solvent-free (method B) conditions.
Introduction
Erythromycin, a typical macrolide antibiotic, was the first employed clinically and it has provided new opportunities for the discovery of potential therapeutic agents [1]. Over the past decades, numerous clinical studies have confirmed that erythromycin and its derivatives have additional anti-inflammatory and prokinetic activity [2,3]. The ring-contracted erythromycin derivative 2a came to our attention on the basis of its anti-inflammatory activity, and was selected as one of our target compounds.
In 1987, Kibwage et al. observed that 8,9-anhydroerythromycin A 6,9-hemiketal (1a) and its intramolecular transesterification (translactonization) product 2a could be obtained in ca. 18 and 71 % yields, respectively, after chromatographic purification of the mixture of products formed when erythromycin A was heated in a 3:1 mixture of pyridine and acetic acid at 70°C for 24 h [4]. It was also noted that this translactonization was a reversible equilibrium reaction, since when either pure 1a or 2a were heated under the same conditions a 20:80 equilibrium mixture of the two compounds (by HPLC) was always produced. Independently and almost simultaneously Kirst and co-workers reported that the translactonization of 1a catalyzed by potassium carbonate in refluxing methanol gave compound 2a in 54% yield after 90 min [5].
Recently, an ever growing interest in the application of microwave irradiation in organic synthesis has led to the development of a variety of extremely useful synthetic transformations [6,7]. In 1998, Limousin et al. reported that microwaves promoted intermolecular transesterifications catalyzed by K2CO3 and a phase transfer catalyst in DMF between methyl benzoate and carbohydrates and that yields as high as 96% could be achieved within 15 min [8]. To the best of our knowledge, microwave assisted intramolecular transesterifications have never been described. Herein, we wish to report a facile and straightforward synthesis of 2a from 1a under microwave irradiation via such a reaction (Scheme 1).
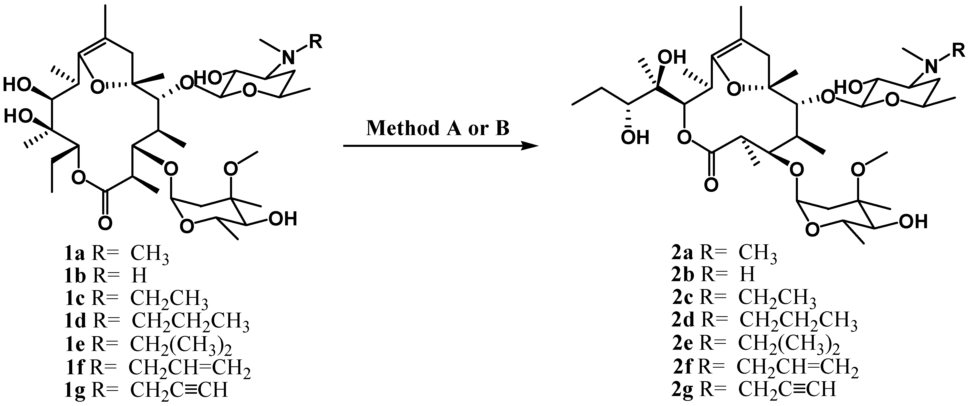
Scheme 1.
The synthetic route for compounds 2a-2g.
Scheme 1.
The synthetic route for compounds 2a-2g.

Method A: TBAF, DMF, MW; Method B: Silica gel, MW.
Results and Discussion
In this pursuit, we first tried to prepare 2a by extending the scope of the Limousin method to intramolecular transesterification (method A). Compound 1a, which was obtained from erythromycin A under acid treatment [9], could be transformed into 2a within a few minutes under microwave irradiation by catalysis with potassium carbonate and tetra-n-butylammonium bromide (TBAB) in DMF. Further studies suggested that 2a could also be prepared successfully in the absence of potassium carbonate. In this case, TBAB is a highly polar species and strong specific microwave (i.e. not purely thermal) effects should be considered as a factor in the observed acceleration of the reaction rate and yield increase [10,11]. It is well-known that fluoride ion acts as a base under aprotic conditions and affects the addition of carbon nucleophiles [12], so tetra-n-butylammonium fluoride (TBAF) was therefore employed as a catalyst in our case and it was found that 2a could be obtained from 1a in a yield of 72% within 5 minutes.
Up to now, a number of reports have focused on microwave-assisted solvent-free reactions, in which the organic reagents are coated onto the surface of some supports, which absorb little or no microwave energy [13]. In view of the simplicity of this new method, its use for the preparation of 2a under solvent-free condition (method B) was considered of interest.
In our initial experiments several different solid supports such as silica gel, aluminium oxide and Kieselguhr G were employed, As can be seen from Table 1, only a small quantity of 2a was obtained when 1a was absorbed on basic Al2O3, acidic Al2O3 and Kieselguhr G, even by prolonging the reaction times. When neutral Al2O3 (pH 6.5-7.5) was used as a support, the reaction was more efficient and the target compound could be generated in 63% yield. From the data it is obvious that the best result by far involved the use of silica gel as the sorbent, whereby a 76% yield of 2a was obtained. In addition, we investigated the effect of different reaction times in the silica gel system. The yield increased steadily from 33% to 76% when we extended the reaction time from 10 min to 20 min, but it was observed that reaction times over 20 min resulted in a decrease in the yield of 2a. It was of interest, however, that when 2a was adsorbed on silica gel or neutral aluminium oxide and irradiated over 20 minutes, no traces of 1a were observed, suggesting that under these conditions the intramolecular transesterification of 1a to 2a was irreversible.
Table 1.
Intramolecular transesterification of 1a under microwave irradiation.
| Method | Reagents | power (W) a | Temp.(°C) b | Time (min) | Yield (%) |
|---|---|---|---|---|---|
| A (solvent-containing) | K2CO3,TBAB, DMF | 200 | 130 | 10 | 58 |
| TBAB, DMF | 200 | 130 | 10 | 50 | |
| TBAF, DMF | 200 | 130 | 5 | 72 | |
| B (solvent-free) | Al2O3 (pH3.8-4.8) | 400 | 180 | 20 | trace |
| Al2O3 (pH6.5-7.5) | 400 | 180 | 20 | 63 | |
| Al2O3 (pH9.0-10) | 400 | 180 | 20 | trace | |
| Kieselguhr G | 400 | 180 | 20 | trace | |
| Silica gel | 400 | 180 | 10 | 33 | |
| 400 | 180 | 15 | 57 | ||
| 400 | 180 | 20 | 76 | ||
| 400 | 180 | 25 | 64 |
a The MW power was set at 200W/400W.b The temprature was controlled automatically at 130°C/180°C by intermittent irradiation.
To demonstrate the efficiency of method B, we then extended the scope of substrates to include other 8,9-anhydroerythromycin A 6,9-hemiketal derivatives 2b-2g, which were prepared by the method of Tsuzuki [14], and found the reactions proceeded readily under microwave irradiation.
Conclusions
In summary, we have developed two methods for preparing ring-contracted derivatives of erythromycin from 8,9-anhydroerythromycin A 6,9-hemiketal and its N-demethylated derivatives via intramolecular transesterification under microwave irradiation in the presence or absence of solvent. The above results suggested that microwave irradiation could improve the yield and accelerate the reaction rate significantly under either solvent-containing or solvent-free conditions. This provided an efficient and environmentally-friendly method for synthesis of the ring-contracted erythromycin derivatives.
Experimental
General
The reactions were carried out in an XH-100 laboratory microwave oven (Beijing Xianghu Science & Technology Development Co., Ltd.). The MW power was set at 200W/400W and the temperature was measured by an immersed platinum resistance thermometer and controlled automatically at 130°C/180°C by intermittent irradiation. Melting points for the compounds were determined on a hot-stage microscope and are uncorrected. 1H- and 13C-NMR spectra were recorded in CDCl3 solutions on a Bruker ARX-300 spectrometer operating at 300 (1H) or 75 MHz (13C), with TMS as the internal reference. Coupling constants (J) are expressed in Hz. Fast atom bombardment (FAB) mass spectra were obtained using a JMS-DX300 spectrometer. Column chromatography was performed on silica gel (200-300 mesh) obtained from Qingdao Ocean Chemicals. Unless otherwise noted, all the materials were obtained from commercial sources and used without further purification.
Ring-contracted erythromycin (2a)
Method A: A mixture of 1a (200.2 mg, 0.279 mmol), TBAF (7.3 mg, 0.028 mmol) and DMF (1.4 mL) was placed in a flask and then irradiated with microwaves at 200W, 130°C for 5 min. After the mixture had cooled to room temperature, it was diluted with water and extracted with dichloromethane. The organic layer was dried over Na2SO4, and concentrated in vacuo. The resulting crude product was purified by column chromatography eluting with 10:0.5:0.01 to 10:1:0.05 chloroform-methanol-ammonium hydroxide solution to yield 2a (144.2 mg, 72%) as a white solid, mp 127.0-130.0°C (lit. [4] mp. 126-130°C); 1H-NMR δ: 5.06 (d, 1H, J=2.7, H-11), 4.89 (d, 1H, J=7.0, H-1″), 4.33 (d, 1H, J=7.0, H-1′), 4.27 (dd, 1H, J=10.0, 3.0, H-3), 4.07 (m, 1H, H-5″), 3.70 (d, 1H, J=9.5, H-5), 3.27 (s, 3H, 3″‑OCH3), 2.29 (s, 6H, N-CH3); 13C-NMR δ: 175.72 (C-1), 46.56 (C-2), 80.20 (C-3), 81.22 (C-5), 85.77 (C-6), 43.15 (C-7), 101.04 (C-8), 149.34 (C-9), 103.61 (C-1′), 40.06 (N-CH3), 97.27 (C-1″), 49.11 (3″-OCH3); HRMS (FAB) m/z: calcd. for C37H66NO12 [M+H]+ 716.4585, found 716.4581.
Method B: Silica gel (200 mg) was added into an EtOAc (2.0 mL) solution containing 1a (100.0 mg, 0.140 mmol). The mixture was evaporated to dryness and irradiated under microwaves (400W, 180°C) for 20 min. The resulting product was purified by column chromatography on silica gel eluting with chloroform-methanol-ammonium hydroxide solution (10:0.5:0.01 to 10:1:0.05) to give 2a (76.1 mg, 76%) as a white solid.
Analytical and spectral data for 2b -2g
Des(N-methyl)-ring-contracted erythromycin A (2b): yield 48%; mp. 177-180°C (lit. [15] mp. 193-195°C); 1H-NMR δ: 5.10 (d, 1H, J=2.6, H-11), 4.95 (d, 1H, J=7.2, H-1″), 4.37 (d, 1H, J=7.0, H-1′), 4.23 (dd, 1H, J=10.0, 2.8, H-3), 4.12 (m, 1H, H-5″), 3.78 (d, 1H, J=9.5, H-5), 3.28 (s, 3H, 3″-OCH3), 2.38 (s, 3H, N-CH3); 13C-NMR δ: 175.8 (C-1), 46.76 (C-2), 80.25 (C-3), 38.51 (C-4), 43.22 (C-7), 101.29 (C-8), 149.56 (C-9), 103.27 (C-1′), 32.92 (N-CH3), 97.38 (C-1″), 49.29 (3″-OCH3); HRMS (FAB) m/z: calcd. for C36H63NO12Na [M+Na]+ 724.4248, found 724.4230.
Des(N-methyl)-N-ethyl-ring-contracted erythromycin A (2c): yield 66%; mp. 166-169°C; 1H-NMR δ: 4.98(d, 1H, J=2.7, H-11), 4.82 (d, 1H, J=7.0, H-1″), 4.27 (d, 1H, J=7.0, H-1′), 4.22 (dd, 1H, J=10.0, 3.0, H-3), 3.98 (m, 1H, H-5″), 3.61 (d, 1H, J=10.0, H-5), 3.21 (s, 3H, 3″-OCH3), 2.13 (s, 3H, N-CH3); 13C-NMR δ: 176.21 (C-1), 46.97 (C-2), 80.39 (C-3), 84.61 (C-5), 101.76 (C-8), 149.66 (C-9), 104.12 (C-1′), 36.47 (N-CH3), 47.36 (N-CH2CH3), 12.89 (N-CH2CH3), 97.43 (C-1″), 49.36 (3″-OCH3); HRMS (FAB) m/z: calcd. for C38H68NO12 [M+H]+ 730.4738, found 730.4731.
Des(N-methyl)-N-propyl-ring-contracted erythromycin A (2d): yield 61%; mp. 149-151°C; 1H-NMR δ: 5.00 (d, 1H, J=2.7, H-11), 4.82 (d, 1H, J=7.2, H-1″), 4.28 (d, 1H, J=7.0, H-1′), 4.20 (dd, 1H, J=10.0, 3.0, H-3), 3.97 (m, 1H, H-5″), 3.61 (d, 1H, J=9.5, H-5), 3.20 (s, 3H, 3″-OCH3), 2.18 (s, 3H, N-CH3); 13C-NMR δ: 176.82 (C-1), 46.9 (C-2), 81.17 (C-3), 86.36 (C-6), 101.69 (C-8), 149.82 (C-9), 76.82 (C-11), 104.62 (C-1′), 37.10 (N-CH3), 55.55 (N-CH2CH2CH3), 21.74 (N-CH2CH2CH3), 12.01 (N-CH2CH2CH3), 97.29 (C-1″), 49.62 (3″-OCH3); HRMS (FAB) m/z: calcd. for C39H70NO12 [M+H]+ 744.4896, found 744.4897.
Des(N-methyl)-N-isopropyl-ring-contracted erythromycin A (2e): yield 39%; mp. 112-114°C; 1H-NMR δ: 4.98 (d, 1H, J=2.7, H-11), 4.81 (d, 1H, J=7.0, H-1″), 4.30 (d, 1H, J=7.0, H-1′), 4.21 (dd, 1H, J=9.5, 3.0, H-3), 4.02 (m, 1H, H-5″), 3.62 (d, 1H, J=9.5, H-5), 3.22 (s, 3H, 3″-OMe), 2.17 (s, 3H, N-Me); 13C-NMR δ: 176.14 (C-1), 46.64 (C-2), 86.12 (C-6), 43.50 (C-7), 101.43 (C-8), 149.46 (C-9), 103.20 (C-1′), 31.99 (N-CH3), 53.27 (N-CH(CH3)2), 20.61 (N-CH(CH3)2), 98.33 (C-1″), 49.40 (3″‑OCH3); HRMS (FAB) m/z: calcd. for C39H70NO12 [M+H]+744.4889, found 744.4858.
Des(N-methyl)-N-allyl-ring-contracted erythromycin A (2f): yield 44%; mp. 106-109°C; 1H‑NMR δ: 5.72 (m, 1H, CH=CH2), 5.13 (d, 1H, J=10.5, CH=CH2), 5.04 (d, 1H, J=16.8, CH=CH2), 4.97 (d, 1H, J=2.6, H-11), 4.81 (d, 1H, J=7.0, H-1″), 4.27 (d, 1H, J=7.0, H-1′), 4.21 (dd, 1H, J=10.0, 3.0, H-3), 3.98 (m, 1H, H-5″), 3.61 (d, 1H, J=9.8, H-5), 3.20 (s, 3H, 3″-OMe), 2.13 (s, 3H, N-Me); 13C‑NMR δ: 176.12 (C-1), 81.07 (C-3), 82.31 (C-5), 86.23 (C-6), 101.49 (C-8), 150.00 (C-9), 77.10 (C-11), 104.46 (C-1′), 30.94 (N-CH3), 57.52 (N-CH2CH=CH2), 136.66 (N-CH2CH=CH2), 129.24 (N‑CH2CH=CH2), 97.89 (C-1″), 49.78 (3″-OCH3); HRMS (FAB) m/z: calcd. for C39H68NO12 [M+H]+ 742.4725, found 742.4711.
Des(N-methyl)-N-propargyl-ring-contracted erythromycin A (2g): yield 58%; mp. 111-113°C; 1H-NMR δ: 4.97 (d, 1H, J=2.7, H-11), 4.80 (d, 1H, J=7.0, H-1″), 4.28 (d, 1H, J=7.0, H-1′), 4.20 (dd, 1H, J=10.0, 3.0, H-3), 3.97 (m, 1H, H-5″), 3.62 (d, 1H, J=10.0, H-5), 3.34 (s, 2H, N-CH2), 3.20 (s, 3H, 3″-OCH3), 2.26 (s, 3H, N-CH3); 13C-NMR δ: 176.36 (C-1), 81.30 (C-3), 81.09 (C-5), 101.72 (C-8), 150.15 (C-9), 104.18 (C-1′), 32.59 (N-CH3), 58.53 (N-CH2C≡CH), 82.13 (N-CH2C≡CH), 71.05 (N‑CH2C≡CH), 97.97 (C-1″) 49.83 (3″-OCH3); HRMS (FAB) m/z: calcd. for C39H66NO12 [M+H]+ 740.4572, found 740.4565.
Acknowledgments
We gratefully acknowledge financial support from the Shenyang Science & Technology Bureau (Nos. 1063223-3-00, 1053125-1-49).
References
- McGuire, J. M.; Bunch, R. L.; Anderson, R. C.; Boaz, H. E.; Flyn, E. H.; Powell, H. M.; Smith, J. W. Ilotycin, a new antibiotic. Antibiot. Chemother. 1952, 2, 281–283. [Google Scholar]
- Depoortere, I.; Peeters, T. L.; VanTrappen, G. The erythromycin derivative EM-523 is a potent motilin agonist in man and in rabbit. Peptides 1990, 11, 515–519. [Google Scholar] [CrossRef]
- Plewig, G.; Schopf, E. Anti-inflammatory effects of antimicrobial agents: an in vivo study. J. Invest. Dermatol. 1975, 65, 532–536. [Google Scholar]
- Kibwage, I. O.; Busson, R.; Janssen, G.; Hoogmartens, J.; Vanderhaeghe, H.; Bracke, J. Translactonization in erythromycins. J. Org. Chem. 1987, 52, 990–996. [Google Scholar] [CrossRef]
- Kirst, H. A.; Wind, J. A.; Paschal, J. W. Synthesis of ring-contracted derivatives of erythromycin. J. Org. Chem. 1987, 52, 4359–4362. [Google Scholar] [CrossRef]
- Kappe, C. O. Controlled Microwave Heating in Modern Organic Synthesis. Angew. Chem. Int. Ed. 2004, 43, 6250–6285. [Google Scholar] [CrossRef]
- Romanova, N. N.; Gravis, A. G.; Zyk, N. V. Microwave Irradiation in Organic Synthesis. Russ. Chem. Rev. 2005, 74, 969–1013. [Google Scholar] [CrossRef]
- Limousin, C.; Cleophax, J.; Loupy, A.; Petit, A. Synthesis of Benzoyl and Dodecanoyl Derivatives from Protected Carbohydrates under Focused Microwave Irradiation. Tetrahedron. 1998, 54, 13567–13578. [Google Scholar] [CrossRef]
- Kurath, P.; Jones, P. H.; Egan, R. S.; Perun, T. J. Acid degradation of erythromycin A and erythromycin B. Experentia. 1971, 27, 362–368. [Google Scholar] [CrossRef]
- Hoz, A.; Díaz-Ortiz, A.; Moreno, A. Microwaves in organic synthesis. Thermal and non-thermal microwave effects. Chem. Soc. Rev. 2005, 34, 164–178. [Google Scholar]
- Dandia, A.; Singh, R.; Khaturia, S.; Me′rienne, C.; Morgantc, G.; Loupy, A. Efficient microwave enhanced regioselective synthesis of a series of benzimidazolyl/triazolyl spiro[indole-thiazolidinones] as potent antifungal agents and crystal structure of spiro[3H-indole-3,20-thiazolidine]-30(1,2,4-triazol-3-yl)-2,40(1H)-dione. Bioorg. Med. Chem. 2006, 14, 2409–2417. [Google Scholar] [CrossRef]
- Miyashita, M.; Suzuki, T.; Yoshikoshi, A. Fluoride-promoted epoxidation of α,β-unsaturated compounds. Chem. Lett. 1987, 285–288. [Google Scholar] [CrossRef]
- Kabalka, G. W.; Pagni, R. M.; Wang, L.; Namboodiri, V.; Hair, C. M. Microwave-assisted, solventless Suzuki coupling reactions on palladium-doped alumina. Green Chem. 2000, 2, 120–122. [Google Scholar]
- Tsuzuki, K.; Sunazuka, T.; Marui, S.; Toyoda, H.; Omura, S.; Inatomi, N.; Itoh, Z. Motilides, macrolides with gastrointestinal motor stimulating activity. Chem. Pharm. Bull. 1989, 37, 2687–2709. [Google Scholar]
- Kibwage, I. O.; Janssen, G.; Busson, R.; Hoogmartens, J.; Vanderhaeghe, H. Identification of novel erythromycin derivatives in mother liquor concentrates of Streptomyces erythraeus. J. Antibiot. 1987, 40, 1–6. [Google Scholar] [CrossRef]
- Sample Availability: Samples of the compounds are available from the authors.
© 2007 by MDPI (http://www.mdpi.org). Reproduction is permitted for noncommercial purposes.