Abstract
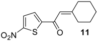
An electron-transfer chain reaction between 2-nitropropane anion and α-bromoketones derived from nitrobenzene and nitrothiophene was demonstrated by mechanistic study and a specific convenient synthetic protocol. Thus, 2-bromo-1-(5-nitrothiophen-2-yl)ethanone or 2-bromo-1-(4-nitrophenyl)ethanone were reacted with several cyclic nitronate anions to form α,β-unsaturated ketones via a SRN1 mechanism. This new method can be used to synthesize a wide variety of chalcone analogues.
Introduction
α,β-Unsaturated ketones are useful key intermediates [1,2] bearing the well-known chalcone pharmacophore. Chalcones can be isolated from several plants, and are precursors of flavones and anthocyan compounds. Some of them exhibit antioxidant and anticancer properties. In fact, the pharmacological properties of chalcones are due to the presence of both α,β-unsaturation [3] and an aromatic ring. It was noticed that among the recently published chalcones possessing antimicrobial activity, several are para-nitrosubstituted derivatives [4,5,6,7].
Using a retrosynthetic approach, the synthesis of such structures from α-bromocarbonyl compounds was developed with the SRN1 methodology. Usually, such an electron-tranfer chain reaction between 2-nitropropane anion and halomethyl substrates led to a mixture of a C-alkylation product and an ethylenic compound resulting from nitrous acid elimination from the former alkylation product [8,9,10].
Since Russell and Ros’s electron transfer reaction studies [11], it seemed possible to apply SRN1 methodology to α-halocarbonyl compounds. Accordingly, we have established a convenient synthesis of α,β-unsaturated ketones 5 and 6 by the reaction of α-bromoketones derived from 5-nitrothiophene and 4-nitrobenzene with nitropropyl anion 4. A mechanistic study of this reaction was also carried out and the data obtained proved that this reaction follows a SRN1 mechanism. This reaction was extended to cyclic nitronates to synthesize several unknown α,β-unsaturated ketones 10-14.
Results and Discussion
In the nitrothiophene series, the substrate 2-bromo-1-(5-nitrothiophen-2-yl)ethanone (2) was obtained from 1-(5-nitrothiophen-2-yl)ethanone (1), using a quaternary ammonium salt, tetrabutylammonium tribromide (TBABr3) as brominating reagent [12] (Scheme 1). In the nitrobenzene series, the substrate 2-bromo-1-(4-nitrophenyl)ethanone (3) is commercially available.
Scheme 1.
The reaction of the two α-bromoketones 2 and 3 with 2–nitropropyl anion 4 was studied, under classical SRN1 conditions (light irradiation, inert atmosphere) with several protocol variations, looking for better reaction yields. The ethylenic α,β-unsaturated ketones 5 and 6 were obtained via nitrous acid elimination from the C-alkylation intermediate (Scheme 2). Results are summarized in Table 1.
Scheme 2.
In the light of the above results, it is obvious that the best reaction condition found were: use of methanol as solvent, and two equivalents of 2-nitropropyl anion in the nitrothiophene series and three equivalents in the nitrobenzene series.
Table 1.
Reaction of α-bromoketones with 2–nitropropyl anion a.
| Substrate | 2-nitropropyl anion equivalents | Solvent | Product obtained | Yield (%)b |
|---|---|---|---|---|
| 2 | 2 | DMF | 5 | 20 |
| 2 | 2 | DMSO | 5 | 18 |
| 2 | 2 | MeOH | 5 | 90 |
| 3 | 1 | DMF | 6 | 42 |
| 3 | 2 | DMF | 6 | 45 |
| 3 | 3 | DMF | 6 | 48 |
| 3 | 2 | DMSO | 6 | 35 |
| 3 | 2 | MeOH | 6 | 56 |
| 3 | 3 | MeOH | 6 | 63 |
a Standard conditions: the nitropropyl anion was added to the α-bromoketone with stirring under N2, with light irradiation (2×60W tungsten lamp).
b Yields calculated with regards to substrates 2 or 3 based on products isolated by chromatography on silica gel and recrystallization.
The SRN1 reaction mechanism was proved by classical mechanistic study [13], using inhibition tests by radical inhibitors, radical scavengers and the influence of light. The two bromo derivatives 2 and 3 were used as substrates, and the inhibition results obtained in each case are presented in Table 2.
Table 2.
Inhibitors influence on reaction of α-bromoketones with 2–nitropropane anion a.
| Inhibitor | Yield in nitrothiophene series, 5 (%)b | Yield in nitrobenzene series, 6 (%)b |
|---|---|---|
| - | 90 | 63 |
| O2 | 65 | 31 |
| Dark | 72 | 37 |
| O2 + Dark | 58 | 18 |
| TEMPO (0.1 eq.) | 21 | 17 |
| TEMPO (1 eq.) | 13 | 9 |
| p-NO2C6H4NO2 (0.1 eq.) | 19 | 15 |
| p-NO2C6H4NO2 (1 eq.) | 8 | 7 |
| CuCl2, 2H2O (0.1 eq.) | 5 | 5 |
a Standard conditions: the nitropropyl anion was added to α-bromoketones with stirring under N2, with light irradiation (2×60W tungsten lamp).
b Yields calculated with regards to substrates 2 or 3, based on products isolated by chromatography on silica gel and recrystallization.
The yield decrease observed during these inhibition experimentas is closely related to an SRN1 reaction involving a radical chain mechanism. Therefore, the nature of this particular reaction of α-bromoketones derived from nitrothiophene and nitrobenzene rings is confirmed.
With these simple operating conditions, generalization to other various nitronate anions is possible. Table 3 includes a few examples of the reaction with cyclic nitronate anions which afforded new α,β-unsaturated ketones.
Table 3.
Generalization of SRN1 reaction to cyclic nitronate anions a.
| Substrate | Anion | Product | Yield (%)b |
|---|---|---|---|
| 2 | ![]() | ![]() | 85 |
| 2 | ![]() | ![]() | 70 |
| 3 | ![]() | ![]() | 45 |
| 3 | ![]() | ![]() | 48 |
| 3 | ![]() | ![]() | 39 |
a Standard conditions : the nitronate anion was added to α-bromoketones with stirring under N2, with light irradiation (2×60W tungsten lamp).
b Yields calculated with regards to substrates 2 or 3, based on products isolate by chromatography on silica gel and recrystallization.
In the SRN1 literature [14], classically a mixture containing both ethylenic and C-alkylation nitro-substituted products was obtained from reactions of bromomethyl derivatives. Here, for bromoacetyl derivatives only ethylenic compounds were isolated, in 39% to 85% yields. This could due to the high stability of α,β-ethylenic ketones which may facilitate the nitrous acid elimination from C-alkylation products. Due to their structural analogy with chalcones, all the compounds prepared are currently being tested to evaluate their anticancer potential.
Experimental
General
Melting points were determined with a B-540 Büchi melting point apparatus. 1H-NMR (200 MHz) and 13C-NMR (50 MHz) spectra were recorded on a Brüker ARX 200 spectrometer in CDCl3 at the Service Interuniversitaire de RMN de la Faculté de Pharmacie de Marseille. 1H- and 13C-NMR chemical shifts (δ) are reported in parts per million with respect to the CDCl3 signals at 7.26 ppm (1H) and 77 ppm (13C), respectively. Elemental analyses were carried out at the Centre de Microanalyses de la Faculté des Sciences et Techniques de Saint-Jérôme. The following adsorbent was used for flash column chromatography: silica gel 60 (Merck, particle size 0.063-0.200 mm, 70-230 mesh ASTM). TLC were performed on 5 cm×10 cm aluminium plates coated with silica gel 60F-254 (Merck) in appropriate solvent. Analyses were within ± 0.4% of the theoretical values.
Preparation of 2-bromo-1-(5-nitrothiophen-2-yl)ethanone using tetrabutylammonium tribromide
In a two-necked flask, a solution of 1 (0.71 g, 4.16 mmol) in dichloromethane (50 mL) and methanol (20 mL) was stirred at room temperature. Then, tetrabutylammonium tribromide (2.20 g, 4.58 mmol) was added slowly and stirring was continued for 3h. The solvent was then evaporated on a rotary evaporator and a saturated solution of sodium thiosulfate (100 mL) was added to the residue obtained. The aqueous layer was extracted with ether (4×30 mL). The combined organic layer was dried over MgSO4, filtered and evaporated under vacuum. The solid residue was purified by column chromatography on silica gel eluting with chloroform. Recrystallization from cyclohexane gave 2 as a brown solid in 68% yield; mp 101 oC (from cyclohexane; Lit. 99-102 oC [15]) 1H-NMR: δ 4.34 (s, 2H, CH2), 7.70 (d, J = 4.3 Hz, 1H, CH), 7.91 (d, J = 4.3 Hz, 1H, CH); 13C-NMR: δ 29.2 (CH2), 128.2 (CH), 131.4 (CH), 130.1 (C), 144.3 (C), 184.5 (C=O).
Reaction of α-bromoketones with 2-nitropropyl anion
In a two necked flask, a solution of the corresponding α-bromoketone 2 or 3 (1.64 mmol) in DMF (5 mL), DMSO (5 mL) or methanol (10 mL) was stirred at room temperature under an inert atmosphere (N2) and light irradiation. Appropriate quantities of the lithium salt of 2-nitropropane (4, one eq.: 1.64 mmol, 0.16 g; two eq.: 3.28 mmol, 0.31 g; three eq.: 4.92 mmol, 0.47 g) were added and the reaction mixture stirred for one hour. If DMF or DMSO were used as solvents, water (100 mL) was added and aqueous layer was extracted by dichloromethane (3×40 mL). The combined organic layers were washed with water (5×40 mL). In all cases, organic layer was dried over MgSO4 filtered and evaporated under vacuum. Purification by chromatography on silica gel eluting with dichloromethane in the nitrothiophene series, and with dichloromethane/petroleum ether (9/1) in the nitrobenzene series led to the corresponding products 5 in 18-90% yield and 6 in 35-63% yield after recrystallization.
3-Methyl-1-(5-nitrothiophen-2-yl)but-2-en-1-one (5): Yellow solid, mp 211-212 oC (cyclohexane); 1H-NMR: δ 2.05 (d, J = 1.1 Hz, 3H, CH3), 2.27 (d, J = 1.1 Hz, 3H, CH3), 6.62 (m, 1H, CH), 7.55 (d, J = 4.3 Hz, 1H, CH), 7.86 (d, J = 4.3 Hz, 1H, CH); 13C-NMR: δ 19.0 (CH3), 21.6 (CH3), 118.6 (CH), 128.3 (CH), 128.4 (CH), 147.1 (C), 151.1 (C), 162.2 (C), 182.0 (C=O); Anal. Calcd for C9H9NO3S: C, 51.17; H, 4.29; N, 6.63. Found C, 51.38; H, 4.21; N, 6.51.
3-Methyl-1-(4-nitrophenyl)but-2-en-1-one (6): Yellow solid, mp 104 oC (isopropanol; Lit. 103-106 oC [11]); 1H-NMR: δ 2.05 (s, 3H, CH3), 2.23 (s, 3H, CH3), 6.75 (s, 1H, CH), 8.17 (d, J = 8.9 Hz, 2H, 2CH), 8.36 (d, J = 8.9 Hz, 2H, 2CH); 13C-NMR: δ 21.4 (CH3), 28.1 (CH3), 120.2 (CH), 123.6 (2CH), 128.9 (2CH), 144.0 (C), 149.6 (C), 160.3 (C), 189.1 (C=O); Anal. Calcd for C11H11NO3: C, 64.38; H, 5.40; N, 6.83. Found C, 64.19; H, 5.40; N, 6.71.
Mechanistic study of the reaction between α-bromoketones and 2-nitropropyl anion
All these reactions were peeformed following the previous protocols, in methanol (10 mL), using two equivalents of nitropropyl anion in the nitrothiophene series and three equivalents in the nitrobenzene series.
Generalization of SRN1 reaction of α-bromoketones with other nitronate anions.
Lithium salts of cyclic nitronate anions were used instead of the 2-nitropropyl anion following the same general procedure of the reaction between α-bromoketones and 2-nitropropane anion in methanol. In the case of nitrothiophene series, two equivalents of the cyclic nitronate were used: lithium salt of nitrocyclopentane 7 (3.28 mmol, 0.40 g) or of nitrocyclohexane 8 (3.28 mmol, 0.44 g). In the nitrobenzene series, three equivalents of the cyclic nitronate were used: lithium salt of nitrocyclopentane 7 (4.92 mmol, 0.60 g), nitrocyclohexane 8 (4.92 mmol, 0.66 g), or nitrocycloheptane 9 (4.92 mmol, 0.74 g). Purification by chromatography on silica gel eluting with dichloromethane in the nitrothiophene series, and with dichloromethane/petroleum ether (9/1) in the nitrobenzene series led to the corresponding products 10-14 after recrystallization.
2-Cyclopentylidene-1-(5-nitrothiophen-2-yl)ethanone (10): 85% yield; yellow solid, mp 227 oC (cyclohexane); 1H-NMR: δ 1.79 (m, 4H, 2CH2), 2.62 (m, 2H, CH2), 2.91 (m, 2H, CH2), 6.83 (s, 1H, CH), 7.55 (d, J = 4.3 Hz, 1H, CH), 7.88 (d, J = 4.3 Hz, 1H, CH); 13C-NMR: δ 26.1 (CH2), 28.9 (CH2), 30.9 (CH2), 38.7 (CH2), 115.9 (CH), 128.5 (CH), 128.4 (CH), 147.1 (C), 151.1 (C), 162.2 (C), 182.7 (C=O); Anal. Calcd for C11H11NO3S: C, 55.68; H, 4.67; N, 5.90. Found C, 55.34; H, 4.71; N, 5.98.
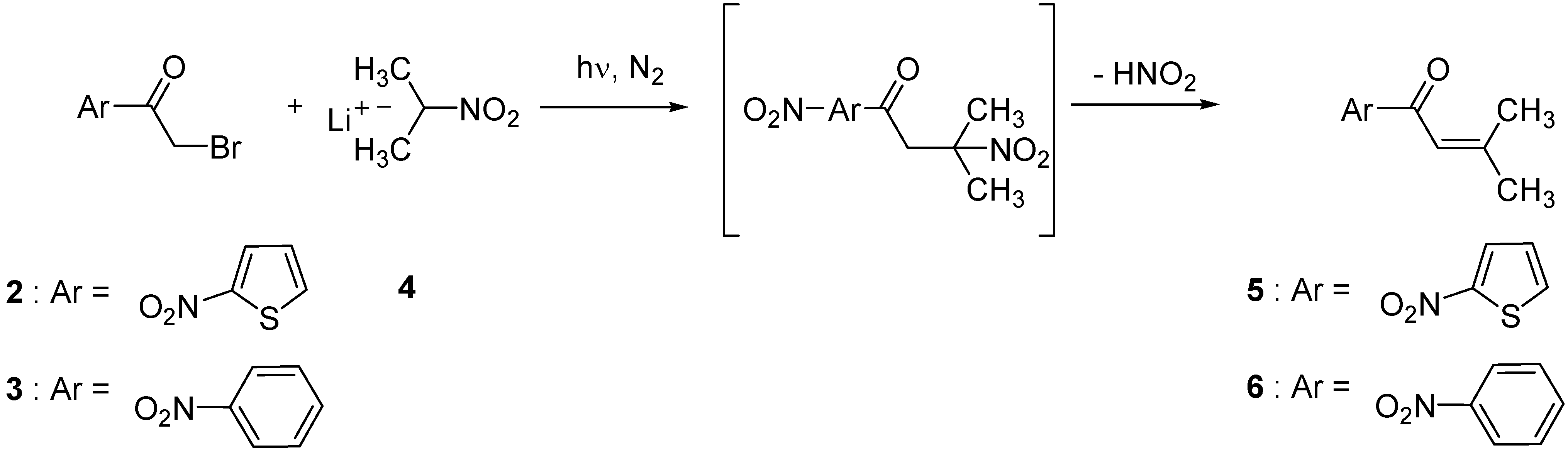
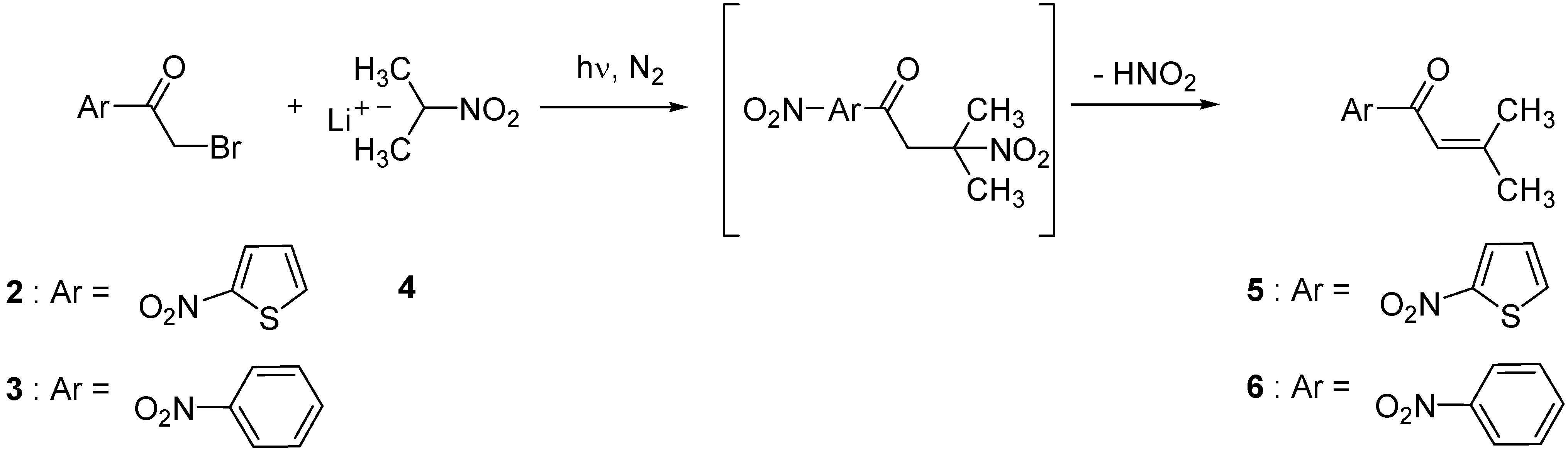
2-Cyclohexylidene-1-(5-nitrothiophen-2-yl)ethanone (11): 70% yield; yellow solid, mp 240 oC (cyclohexane); 1H-NMR: δ 1.67 (m, 6H, 3CH2), 2.33 (m, 2H, CH2), 2.90 (m, 2H, CH2), 6.52 (s, 1H), 7.56 (d, J = 4.3 Hz, 1H, CH), 7.87 (d, J = 4.3 Hz, 1H, CH), 13C-NMR: δ 26.0 (CH2), 28.0 (CH2), 28.8 (CH2), 30.8 (CH2), 38.7 (CH2), 115.9 (CH), 128.4 (CH), 128.5 (CH), 147.0 (C), 151.2 (C), 169.0 (C), 182.7 (C=O); Anal. Calcd for C12H13NO3S: C, 57.35; H, 5.21; N, 5.57. Found C, 57.01; H, 5.32; N, 5.41.
2-Cyclopentylidene-1-(4-nitrophenyl)ethanone (12): 45% yield; yellow solid, mp 120 oC (isopropanol); 1H-NMR: δ 1.79 (m, 4H, 2CH2), 2.60 (m, 2H, CH2), 2.90 (m, 2H, CH2), 7.00 (s, 1H, CH), 8.05 (d, J = 8.9 Hz, 2H, 2CH), 8.29 (d, J = 8.9 Hz, 2H, 2CH); 13C-NMR: δ 25.3 (CH2), 26.5 (CH2), 34.4 (CH2), 37.1 (CH2), 115.2 (CH), 124.2 (2CH), 128.3 (2CH), 144.2 (C), 150.1 (C), 175.0 (C), 188.4 (C=O); Anal. Calcd for C13H13NO3: C, 67.52; H, 5.67; N, 6.06. Found C, 67.68; H, 5.73; N, 6.09.
2-Cyclohexylidene-1-(4-nitrophenyl)ethanone (13): 48% yield; yellow solid, mp 136 oC (isopropanol); 1H-NMR: δ 1.64 (m, 6H, 3CH2), 2.32 (m, 2H, CH2), 2.79 (m, 2H, CH2), 6.59 (s, 1H, CH), 8.03 (d, J = 8.9 Hz, 2H, 2CH), 8.25 (d, J = 8.9 Hz, 2H, 2CH); 13C-NMR: δ 26.0 (CH2), 27.9 (CH2), 28.8 (CH2), 30.7 (CH2), 38.5 (CH2), 117.7 (CH), 123.8 (2CH), 129.0 (2CH), 144.0 (C), 149.6 (C), 166.6 (C), 189.9 (C=O); Anal. Calcd for C14H15NO3: C, 68.56; H, 6.16; N, 5.71. Found C, 68.08; H, 6.07; N, 5.89.
2-Cycloheptylidene-1-(4-nitrophenyl)ethanone (14): 39% yield; yellow solid, mp 88 oC (isopropanol); 1H-NMR: δ 1.70 (m, 8H, 4CH2), 2.54 (m, 2H, CH2), 2.97 (m, 2H, CH2), 6.76 (s, 1H, CH), 8.05 (d, J = 8.9 Hz, 2H, 2CH), 8.27 (d, J = 8.9 Hz, 2H, 2CH); 13C-NMR: δ 26.4 (CH2), 28.1 (CH2), 29.2 (CH2), 29.8 (CH2), 33.8 (CH2), 39.8 (CH2), 119.5 (CH), 123.6 (2CH), 128.9 (2CH), 144.4 (C), 149.6 (C), 171.6 (C), 189.0 (C=O); Anal. Calcd for C15H17NO3: C, 69.48; H, 6.61; N, 5.40. Found C, 69.13; H, 6.77; N, 5.32.
Acknowledgments
We are grateful to the Centre National de la Recherche Scientifique for its financial support. We also wish to express our thanks to Vincent Remusat for NMR spectra recording. Christophe Curti thanks the Université de la Méditerranée for ATER position.
References
- Marzinzik, A.L.; Felder, E.R. Key Intermediates in Combinatorial Chemistry: Access to Various Heterocycles from α,β-unsaturated ketones on Solid Phase. J. Org. Chem. 1998, 63, 723–727. [Google Scholar]
- Srikanth, G.S.C.; Castle, S.L. Advances in radical conjugate additions. Tetrahedron 2005, 61, 10377–10441. [Google Scholar]
- Furusawa, M.; Tanaka, T.; Ito, T.; Nishiwaka, A.; Yamazaki, N.; Nakaya, K.I.; Matsuura, N.; Tsuchiya, H.; Nagayama, M.; Iinuma, M. Antioxidant Activity of Hydroxyflavonoids. J. Health Sci. 2005, 51, 376–378. [Google Scholar] [CrossRef]
- Dimmock, J.R.; Jha, A.; Zello, G.A.; Quail, J.W.; Oloo, E.O.; Nienaber, K.H.; Kowalczyk, E.S.; Allen, T.M.; Santos, C.L.; De Clerck, E.; Balzarini, J.; Manavathu, E.K.; Stables, J.P. Cytotoxic N-[4-(3-aryl-3-oxo-1-propenyl)phenylcarbonyl]-3,5-bis(phenylmethylene)-4-piperi-dones and related compounds. Eur. J. Med. Chem. 2002, 37, 961–972. [Google Scholar]
- Nam, N.H.; Hong, D.H.; You, Y.J.; Kim, Y.; Bang, S.C.; Kim, H.M.; Ahn, B.Z. Synthesis and cytotoxicity of 2,5-dihydroxychalcones and related compounds. Arch. Pharm. Res. 2004, 27, 581–588. [Google Scholar]
- Yayli, N.; Goek, Y.; Uecuencue, O.; Yasar, A.; Atasoy, C.; Sahinbas, E.; Kuecuek, M. Stereoselective photochemistry of substituted chalcones in solution and their antioxidant activities. J. Chem. Res. 2005, 3, 155–159. [Google Scholar] [CrossRef]
- Bardia, R.; Rao, J.T. Synthesis and antimicrobial activity of some α,β-unsaturated aromatic ketones. Asian J. Chem. 2004, 16, 1194–1196. [Google Scholar]
- Remusat, V.; Terme, T.; Gellis, A.; Rathelot, P.; Vanelle, P. Synthesis of original benzo[g]quinoxaline-5,10-diones by bis-SRN1 methodology. J. Heterocycl. Chem. 2004, 41, 221–225. [Google Scholar] [CrossRef]
- Njoya, Y.; Gellis, A.; Crozet, M.P.; Vanelle, P. Efficient synthesis of new 6-nitrobenzothiazoles using microwave irradiation. Sulfur Lett. 2003, 26, 67–75. [Google Scholar]
- Vanelle, P.; Gellis, A.; Kaafarani, M.; Maldonado, J.; Crozet, M.P. Fast electron transfer C-alkylation of 2-nitropropane anion under microwave irradiation. Tetrahedron Lett. 1999, 40, 4343–4346. [Google Scholar]
- Russell, G.A.; Ros, F. Electron transfer processes. 34. Reactions of α-haloketones with Nucleophiles. J. Am. Chem. Soc. 1985, 107, 2506–2411. [Google Scholar]
- Kajigaeshi, S.; Kakinami, T.; Okamoto, T.; Fujisaki, S. Synthesis of bromoacetyl derivatives by use of tetrabutylammonium tribromide. Bull. Chem. Soc. Jpn. 1987, 60, 1159–1160. [Google Scholar]
- Chanon, M.; Tobe, M.L. ETC: A Mechanistic Concept for Inorganic and Organic Chemistry. Angew. Chem., Int. Ed. Engl. 1982, 21, 1–23. [Google Scholar]
- Vanelle, P. (Ed.) Electron Transfer Reactions in Organic Synthesis; Research Signpost: Trivandrum, 2002; and references therein.
- Deady, L.W.; Stanborough, M.S. The synthesis of 2-(heteroaryl)imidazo[1,2-a]pyridin-3-ols and related compounds. Aust. J. Chem. 1981, 34, 1295–1302. [Google Scholar]
- Sample Availability: Not available.
© 2007 by MDPI (http://www.mdpi.org). Reproduction is permitted for noncommercial purposes.









