A New Sesquiterpene Glycoside from the Aerial Parts of Saussurea triangulata
Abstract
:Introduction

Results and Discussion

Experimental
General
Plant material
Extraction and Isolation
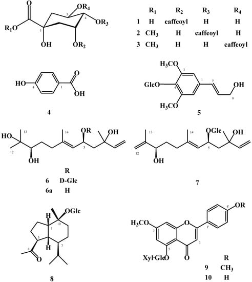
| Position | 6 | 6a | 7 |
|---|---|---|---|
| 1b | 5.03 (dd, J = 10.5, 2.0 Hz) | 5.12 (dd, J = 10.5, 2.0 Hz) | 5.03 (dd, J = 10.5, 2.0 Hz) |
| 2 | 5.98 (dd, J = 16.5, 10.5 Hz) | 5.98 (dd, J = 16.5, 10.5 Hz) | 5.98 (dd, J = 17.5, 10.5 Hz) |
| 4a | 1.99 (dd, J = 14.5, 8.0 Hz) | 1.77 (dd, J = 14.5, 8.0 Hz) | 1.98 (dd, J = 14.5, 8.0 Hz) |
| 4b | 1.66 (dd, J = 14.5, 4.0 Hz) | 1.58 (dd, J = 14.5, 4.0 Hz) | 1.64 (dd, J = 14.5, 4.0 Hz) |
| 5 | 4.92 (ddd, J = 10.0, 8.0, 4.0 Hz) | 4.62 (ddd, J = 10.0, 8.0, 4.0 Hz) | 4.91 (ddd, J = 10.5, 8.0, 4.0 Hz) |
| 6 | 5.16 (d, J = 10.0 Hz) | 5.16 (d, J = 10.0 Hz) | 5.14 (dd, J = 10.5, 2.0 Hz) |
| 8a | 2.30 (ddd, J = 13.5, 10.0, 5.0 Hz) | 2.25 (ddd, J = 13.5, 10.0, 5.0 Hz) | 1.68 (m) |
| 8b | 2.11 (ddd, J = 13.5, 9.0, 8.0 Hz) | 2.03 (ddd, J = 13.5, 9.0, 8.0 Hz) | |
| 9a | 1.76 (m) | 1.76 (m) | 2.08 (m) |
| 9b | 1.41 (m) | 1.41 (m) | |
| 10 | 3.24 (dd, J = 10.5, 2.0 Hz) | 3.22 (dd, J = 10.5, 2.0 Hz) | 4.01 (t, J = 7.0 Hz) |
| 12 | 1.18 (3H, s) | 1.18 (3H, s) | 4.94 (s, H-12a) |
| 4.80 (s, H-12b) | |||
| 13 | 1.15 (3H, s) | 1.15 (3H, s) | 1.73 (3H, s) |
| 14 | 1.71 (3H, s) | 1.67 (3H, s) | 1.70 (3H, s) |
| 15 | 1.30 (3H, s) | 1.26 (3H, s) | 1.30 (3H, s) |
| 1' | 4.25 (d, J = 8.0 Hz) | 4.23 (d, J = 8.0 Hz) | |
| 2' | 3.18 (m) | 3.17 (m) | |
| 3' | 3.28 (m) | 3.29 (m) | |
| 4' | 3.28 (m) | 3.29 (m) | |
| 5' | 3.18 (m) | 3.17 (m) | |
| 6'a | 3.87 (dd, J = 11.5, 2.0 Hz) | 3.87 (dd, J = 11.5, 2.5 Hz) | |
| 6'b | 3.67 (dd, J = 11.5, 6.0 Hz) | 3.68 (dd, J =11.5, 6.0 Hz) |
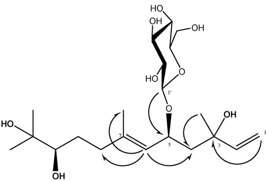
Enzymatic hydrolysis of 6
Acknowledgments
References
- Choi, S. Z.; Choi, S. U.; Lee, K. R. Cytotoxic sesquiterpene lactones from Saussurea calcicola. Arch. Pharm. Res. 2005, 28, 1142–1146. [Google Scholar] [CrossRef]
- Lee, S. O.; Choi, S. Z.; Choi, S. U.; Lee, K. C.; Chin, Y. W.; Kim, J. W.; Kim, Y. C.; Lee, K. R. Labdane diterpenes from Aster spathulifolius and their cytotoxic effects on human cancer cell lines. J. Nat. Prod. 2005, 68, 1471–1474. [Google Scholar] [CrossRef]
- Song, J. T. The sauras of Korean resources plants; Ilheung: Seoul, 1989; p. 346. [Google Scholar]
- Nakatani, N.; Kayano, S.; Kikuzaki, H.; Sumino, K.; Katagiri, K.; Mitani, T. Identification, quantitative determination, and antioxidative activities of chlorogenic acid isomers in prune (Prunus domestica L.). J. Agric. Food Chem. 2000, 48, 5512–5516. [Google Scholar]
- Flamini, G.; Antognoli, E.; Morelli, I. Two flavonoids and other compounds from the aerial parts of Centaurea bracteata from Italy. Phytochemistry 2001, 57, 559–564. [Google Scholar]
- Peng, L. Y.; Shuang, X. M.; Bei, J.; Hong, Z.; Han, D. S. Constituents from Lonicera japonica. Fitotetapia 2000, 71, 713–715. [Google Scholar]
- Cho, J. Y.; Moon, J. H.; Seong, K. Y.; Park, K. H. Antimicrobial activity of 4-hydroxybenzoic acid and trans 4-hydroxycinnamic acid isolated and identified from rice hull. Biosci. Biotechnol. Biochem. 1998, 62, 2273–2276. [Google Scholar]
- Greca, M. D.; Ferrara, M.; Fiorentino, A.; Monaco, P.; Previtera, L. Antialgal compounds from Zantedeschia aethiopica. Phytochemistry 1998, 49, 1299–1304. [Google Scholar]
- D'Abrosca, B.; Maria, P. D.; DellaGreca, M. D.; Fiorentino, A.; Golino, A.; Izzo, A.; Monaco, P. Amarantholidols and amarantholidosides: new nerolidol derivatives from the weed Amaranthus retroflexus. Tetrahedron 2006, 62, 640–646. [Google Scholar] [CrossRef]
- Lee, K. H.; Choi, S. U.; Lee, K. R. Sesquiterpenes from Syneilesis palmata and their cytotoxicity against human cancer cell lines in vitro. Arch Pham Res. 2005, 28, 280–284. [Google Scholar] [CrossRef]
- Nunez-Alarcon, J.; Rodriguez, E.; Schmid, R. D.; Mabry, T. J. 5-O-xylosylglucosides of apigenin and luteolin 7 - and 7, 4'- methyl ethers from Ovidia pillo - pillo. Phytochemistry 1973, 12, 1451–1454. [Google Scholar] [CrossRef]
- Zahir, A.; Jossang, A.; Bodo, B.; Provost, J.; Cosson, J. P.; Sevenet, T. Five new flavon 5-O-glycosides from Lethedon tannaensis: Lethedosides and Lethediosides. J. Nat. Prod. 1999, 62, 241–243. [Google Scholar] [CrossRef]
- Vignon, M. R.; Vottero, J. A. Nmr 13C., sur l’utilidation des esters pour l’attribution des carbones des molecules glucidioues. Tetrahedron Lett. 1976, 28, 2445–2448. [Google Scholar] [CrossRef]
- Fiorentino, A.; DellaGreca, M.; D'Abrosca, B.; Golino, A.; Pacifico, S.; Izzo, A.; Monaco, P. Unusual sesquiterpene glucosides from Amaranthus retroflexus. Tetrahedron 2006, 62, 8952–8958. [Google Scholar]
- Sample Availability: Milligram quantities of compounds 1-5 and 8-10 are available from the authors.
© 2007 by MDPI (http://www.mdpi.org). Reproduction is permitted for noncommercial purposes.
Share and Cite
Yang, M.C.; Kim, S.M.; Lee, K.H.; Kim, K.H.; Lee, K.R. A New Sesquiterpene Glycoside from the Aerial Parts of Saussurea triangulata. Molecules 2007, 12, 2270-2276. https://doi.org/10.3390/12102270
Yang MC, Kim SM, Lee KH, Kim KH, Lee KR. A New Sesquiterpene Glycoside from the Aerial Parts of Saussurea triangulata. Molecules. 2007; 12(10):2270-2276. https://doi.org/10.3390/12102270
Chicago/Turabian StyleYang, Min Cheol, Sung Min Kim, Kyu Ha Lee, Ki Hyun Kim, and Kang Ro Lee. 2007. "A New Sesquiterpene Glycoside from the Aerial Parts of Saussurea triangulata" Molecules 12, no. 10: 2270-2276. https://doi.org/10.3390/12102270
APA StyleYang, M. C., Kim, S. M., Lee, K. H., Kim, K. H., & Lee, K. R. (2007). A New Sesquiterpene Glycoside from the Aerial Parts of Saussurea triangulata. Molecules, 12(10), 2270-2276. https://doi.org/10.3390/12102270
