Abstract
The lignocellulosic perennial crop miscanthus, especially Miscanthus × giganteus, is particularly interesting for bioenergy production as it combines high biomass production with low environmental impact. However, there are several varieties that pose a hazard due to susceptibility to disease. This review contains links showing genotype and ecological variability of important characteristics related to yield and biomass composition of miscanthus that may be useful in plant breeding programs to increase bioenergy production. Some clones of Miscanthus × giganteus and Miscanthus sinensis are particularly interesting due to their high biomass production per hectare. Although the compositional requirements for industrial biomass have not been fully defined for the various bioenergy conversion processes, the lignin-rich species Miscanthus × giganteus and Miscanthus sacchariflorus seem to be more suitable for thermochemical conversion processes. At the same time, the species Miscanthus sinensis and some clones of Miscanthus × giganteus with low lignin content are of interest for the biochemical transformation process. The species Miscanthus sacchariflorus is suitable for various bioenergy conversion processes due to its low ash content, so this species is also interesting as a pioneer in breeding programs. Mature miscanthus crops harvested in winter are favored by industrial enterprises to improve efficiency and reduce processing costs. This study can be attributed to other monocotyledonous plants and perennial crops that can be used as feedstock for biofuels.
1. Introduction
Miscanthus, or silvergrass is a genus of perennial herbaceous plants of the Poaceae family. Currently, there is a tendency to increase the production areas for cultivation of herbaceous plants. This phenomenon can be explained by high growth rates and the prospects for its application in the national economy. All over the world, including the Russian Federation, the prospects for the use of this plant in the chemical and energy industries are being studied [1].
Miscanthus is a very valuable raw material as it accumulates a large amount of solar energy. The main advantage of this plant is its high yield. This plant can actively grow in nutrient-depleted soils, and still have good quality and high lignin content [2].
The fuel problems that have arisen at the present time can be solved by means of renewable energy sources, among which, miscanthus is a promising raw material for biofuel and bioethanol production. Large-scale cultivation of crops for bioenergy requires the study and introduction of new technologies for obtaining planting material.
In addition to biofuels, Miscanthus plants can also be used to produce biologically active substances. Vanillin, vanilic acid, syringaldehyde, para-hydroxybenzaldehyde, para-coumaric acid, campesterol, stigmasterol, β-sitosterol, stigmasta-3,5-dien-7-one, stigmast-4-en-3-one, stigmast-6-en-3,5-diol, 7-hydroxy-β-sitosterol, and 7-oxo-β-siterol determine the main phenolic compounds and sterols of both Miscanthus × giganteus core and bark (Miscanthus × giganteus JMGreef, Deuter ex Hodk., Renvoize) [3].
According to Goryachkovskaya and Starostina, a lignocellulosic biomass, obtained from miscanthus plants, contains approximately 70% of polysaccharides, consisting of hexose (cellulose) and pentose (hemicellulose) residues. With the complete hydrolysis of these polysaccharides, a mixture of hexoses (glucose, galactose, mannose) and pentoses (arabinose, xylose) is formed, which can later be used as substrates for the cultivation of bacteria [4].
Bacteria and fungi can convert simple hydrocarbons, such as glucose and fructose, into products such as bioethyl alcohol, vitamins, enzymes, proteins, amino acids, lipids, organic acids, and technical cellulose.
It was found that the hydrolysates of the herbaceous plant Miscanthus sinensis, in addition to pentoses and hexoses, contain a large amount of high and low molecular weight organic acids, alcohols, ketones, humic acids, and minerals. The qualitative and quantitative content of accompanying substances depends on the method of obtaining hydrolysates of Miscanthus sinensis [5].
This paper aims to review the methods of increasing the yield of miscanthus biomass for biofuel production.
2. Results and Discussion
2.1. Characteristics of Miscanthus and the Need to Increase Its Biomass Yield
Climate change and the decline in fossil fuels are currently major global problems [1]. Renewable energy sources must be developed to limit climate change, reduce greenhouse gas emissions, and replace fossil fuel resources. Many studies have shown that biomass crops have made an important contribution as a source of bioenergy for the production of heat, electricity, and biofuels through thermochemical or biochemical processes [2,3,4,5,6].
Various crops can be used to produce bioenergy, as follows: C4 perennial crops, such as bellflower, millet, or sugarcane. C4 plants use the C4 carbon fixation pathway to increase their photosynthetic efficiency by reducing or suppressing photorespiration, which mainly occurs at low levels of carbon dioxide (CO2) concentration in the atmosphere and at high luminous intensity, temperature, drought, and salinity. C3 plants tend to thrive in areas with abundant groundwater, moderate sunlight intensity, moderate temperatures, and carbon dioxide concentrations of about 200 ppm or higher. These plants originated in the Mesozoic and Paleozoic periods, long before the emergence of C4 plants, and still account for about 95% of the plant biomass of the Earth [7,8,9,10].
Among these C4 crops, perennial crops, such as miscanthus and millet, are particularly interesting as they have a longer life cycle. Perennial crops can be used for cultivation on marginal lands for biomass production. Compared with millet, miscanthus can produce more biomass and has a higher solar energy conversion efficiency [11]. It is considered one of the most promising perennial bioenergy crops [12]. Miscanthus × giganteus is a hybrid descendant of the triploid sterile hybrids of Miscanthus sacchariflorus (Miscanthus sacchariflorus (Maxim.) Hack.) and Miscanthus sinensis (Miscanthus sinensis Andersson) due to its advantages of high biomass yield per hectare and low environmental pollution [13]. As for the interesting features, the first thing to consider is the production of terrestrial biomass. It is necessary to investigate plant height, the number of stems, or stem diameter, which are the main factors in biomass production [14,15]. The main characteristics considered are the content of cellulose, hemicellulose, lignin, and ash in the biomass.
In terms of variation factors, research on the genus Miscanthus reports on the effects of species, cloning, and ploidy on biomass production or certain components of biomass composition. Other factors, such as geographic area, climatic conditions, or cultivation methods affect biomass production, which may affect this process [15].
To develop a breeding plan, it is necessary to understand the genotype variability associated with the target trait [16,17]. Since studies of the variability of genotypes associated with the production of biomass and the composition of the studied genera have not yet been carried out, it is necessary to study the variability of the genera in relation to the production and composition of biomass.
Field trials of interspecific hybrids, based on clones of M. × giganteus with unique genotypes, have shown that the high photosynthetic efficiency of M. × giganteus, high biomass yield, low resource requirements, and good tolerance to temperate climates make it beneficial. Many characteristics of the growing biomass are optimal [18,19]. Analysis of the environmental impact of Miscanthus growth, through many factors, including reductions in greenhouse gas emissions, shows that, in most cases, the benefits outweigh the costs [19]. Currently, only about 20,000 ha of miscanthus are commercially grown in the EU (Figure 1). There are many reasons for the low adoption rate in Europe and even for the reduction in miscanthus cultivation areas [20].
Figure 1.
Distribution of the lands under miscanthus cultivation by EU countries (the figure is based on the data from [20]).
The current cost of producing miscanthus biomass is too high to compete with fossil fuels for energy. The high cost of producing plant biomass is a result of underdeveloped agricultural production technology, which increases the additional cost of relatively cheap biomass for agriculture. Although the cost has declined over a 10–25-year production cycle, the initial cost of producing miscanthus is still relatively high. This is because the only commercially available miscanthus genotype is a triploid hybrid that cannot produce live seeds. Hence, expensive domestication requires using rhizome or in vitro propagation [21]. For farmers without the required knowledge and equipment, miscanthus is also a new product.
No other species can adapt to different soil characteristics and biomass build-up. The main obstacles to planting miscanthus are the high cost of seedlings and long growing period, as most of the parameters affecting yield and quality can only be quantified after a growing period of 2–3 years.
Perennial M. × giganteus requires fewer fertilizers and herbicides than annual crops. Moreover, miscanthus is highly resource efficient and has the ability to withstand various abiotic stresses, thus it can be grown in marginal areas [22]. The total area of marginal lands suitable for planting miscanthus in Europe is estimated at 11.11 million hectares. Thus, miscanthus can be considered as a promising industrial crop in terms of adapting to climate change, mitigating its effects, and providing cleaner biomass for the developing bioeconomy.
Studies [21] calculated the cost of miscanthus propagation and establishment using various reproduction methods. In the future, direct seeding will be the cheapest method and vegetative method will be the most expensive. The most common procedure is planting rhizomes. Although future improvements in seed rooting may reduce the cost of this method, it is only applicable to fertile genotypes. In Europe, only M. × giganteus genotypes (a triploid, does not produce fertile seeds) are commercially available. Therefore, clonal propagation occurs through rhizomes or plants produced from in vitro cultures. Another disadvantage of the miscanthus production system is that the biomass yield in the first year is too low to make the crop economically viable, so income cannot be generated. Therefore, mulching is usually carried out in early spring because mulch also suppresses weed growth. As a result, miscanthus growers incurred high planting costs, but the income was not sufficient to offset the first year’s costs in areas with higher land [23]. Therefore, the method for rooting from the first year of planting is needed in between highly productive fodder plants such as maize can be sown. Since additional training will bring farmers less economic risks, large-scale planting of miscanthus can be promoted in practice in the future [24,25]. Crossing miscanthus and maize should have social and environmental benefits such as soil protection (since maize and miscanthus cultivate the soil together throughout the year), groundwater protection (reduced herbicide use), the protection from birds and land animals [26]. While miscanthus has been found to be suitable for rooting in grassland, it is unclear if this also applies to rooting under maize, or if the competitive pressure of maize is too great for successfully rooting miscanthus [27,28].
Since miscanthus has environmental benefits (soil protection, plant inversion), it is a particularly suitable substitute in areas where food crops are not productive or do not grow.
Miscanthus is unsusceptible to disease and pests [23]. Reduced use of fertilizers and pesticides can reduce the risk of soil and groundwater contamination.
For the first two years after planting, when the root system is not fully developed and the production of biomass (especially leaf waste covering the soil) is limited, the risk of soil erosion due to water or wind in miscanthus plantations is very high. Miscanthus can also be planted on grass without plowing, which can prevent loss of biodiversity and soil carbon during cultivation.
There are also ecological reasons for growing of miscanthus: reducing the difference between the minimum and maximum soil temperatures, improving the water quality in the soil, and reducing soil erosion by water and wind. At the same time, the content of organic matter in the soil may increase [29].
The study [30] characterized a new form of Miscanthus sinensis, suitable for cultivation in the harsh continental climate of Siberia. The variety has advantages, such as high yield with a short vegetative phase, frost resistance, resistance to pests, and easy adaptation to soil. This paper examined the chemical composition of Miscanthus sinensis grown in Siberia, depending on the age of the plantation during the first five years. It was found that, with the age of the plantation, the biomass yield increases from 2.1 t/ha to 14.9 t/ha, and the cellulose content in the biomass increases from 42% to 54%. The cellulose samples contained 93–95% α-cellulose, the total amount of non-cellulosic substances was no more than 1.8%, and the degree of cellulose polymerization was from 880 to 1050. Grown in the harsh continental climate of Siberia, miscanthus can serve as a source of high-quality cellulose. Cellulose can be used for the synthesis of cellulose esters and other bio-based products [30].
It should be noted that miscanthus belongs to the C4 plant class, which binds four carbons during the formation of oxaloacetic acid, in contrast to C3 plants, which only bind three carbons during the formation of phosphoenolpyruvate. Miscanthus crops can capture more carbon dioxide from the atmosphere.
Unlike wood, lignins obtained from miscanthus contain significant amounts of H units, which are of interest for the future use of miscanthus. Specific methods of lignin depolymerization to isolate fragments derived from H have been reported [31]. Lignins isolated from miscanthus using various pretreatment and/or depolymerization methods are currently being investigated for a wide range of applications, including lignin-based fuels, chemicals, and polymer composites. Lignin, as a polyphenolic substance, has been attracting increasing attention as a substitute for fossil-based diols/polyols in polyurethane synthesis. However, the increase in the value of extracted lignin is still limited to a few species of miscanthus, mainly due to the lack of methods for accelerated biomass build-up, and the rapid and reliable analysis of a complex three-dimensional structure, consisting of three randomly cross-linked monolignol units of p-hydroxyphenyl, guaiacyl, and syringil [31].
The use of methods that accelerate the growth of miscanthus biomass affects the content of phenolic and aliphatic hydroxyls, which leads to different antioxidant activity of miscanthus lignin [32].
Changes in the ratio of monolignols correlate with the source, growth rate, and amount of miscanthus biomass [33]. Upscale of miscanthus biomass production is required for enzymatic depolymerization of biomass for the production of bioethanol [31].
Advances in genetics, biotechnology, process chemistry, and engineering have created new manufacturing concepts that can transform complex biomass into value-added products. In this case, the focus is on the genetic improvement of plant biomass as a sustainable source of organic carbon for large-scale biofuel production. The potential of genetic and biotechnological strategies that can improve the yield and the quality-related characteristics of miscanthus biomass is being explored, thereby creating specialized and highly specialized plants suitable for their intended use. Future prospects in this area of research are described in [34,35].
Thus, it is necessary to increase the miscanthus biomass yield to obtain biofuel, and for this to be achieved, its properties and the influence of various factors on the biomass yield should be studied.
2.2. Influence of the Crop Age on the Accumulation of Miscanthus Biomass
The effect of the planting year on cellulose, hemicellulose, and lignin content has been studied in different ways. Based on their experiments, the authors show that the biomass composition of miscanthus has remained relatively constant for the second year, as well as for the third and fourth consecutive years [36,37,38].
Studies [39] have compared miscanthus clones with different aboveground biomass in the first three years of planting. They noted that between the first and third years of the winter harvest, the average cellulose content in dry matter fell from 8.9% to 2.3%. The distribution of ash in the first year was 79% higher than the distribution in the second years.
Miscanthus straw contains about 41–45% cellulose, 20.6–33.0% hemicellulose, and 19.0–23.4% lignin and has a good calorific value. It is also a suitable source for cellulose production [28]. Miscanthus biomass can also be used to produce building materials or compost cattle or pig manure [40].
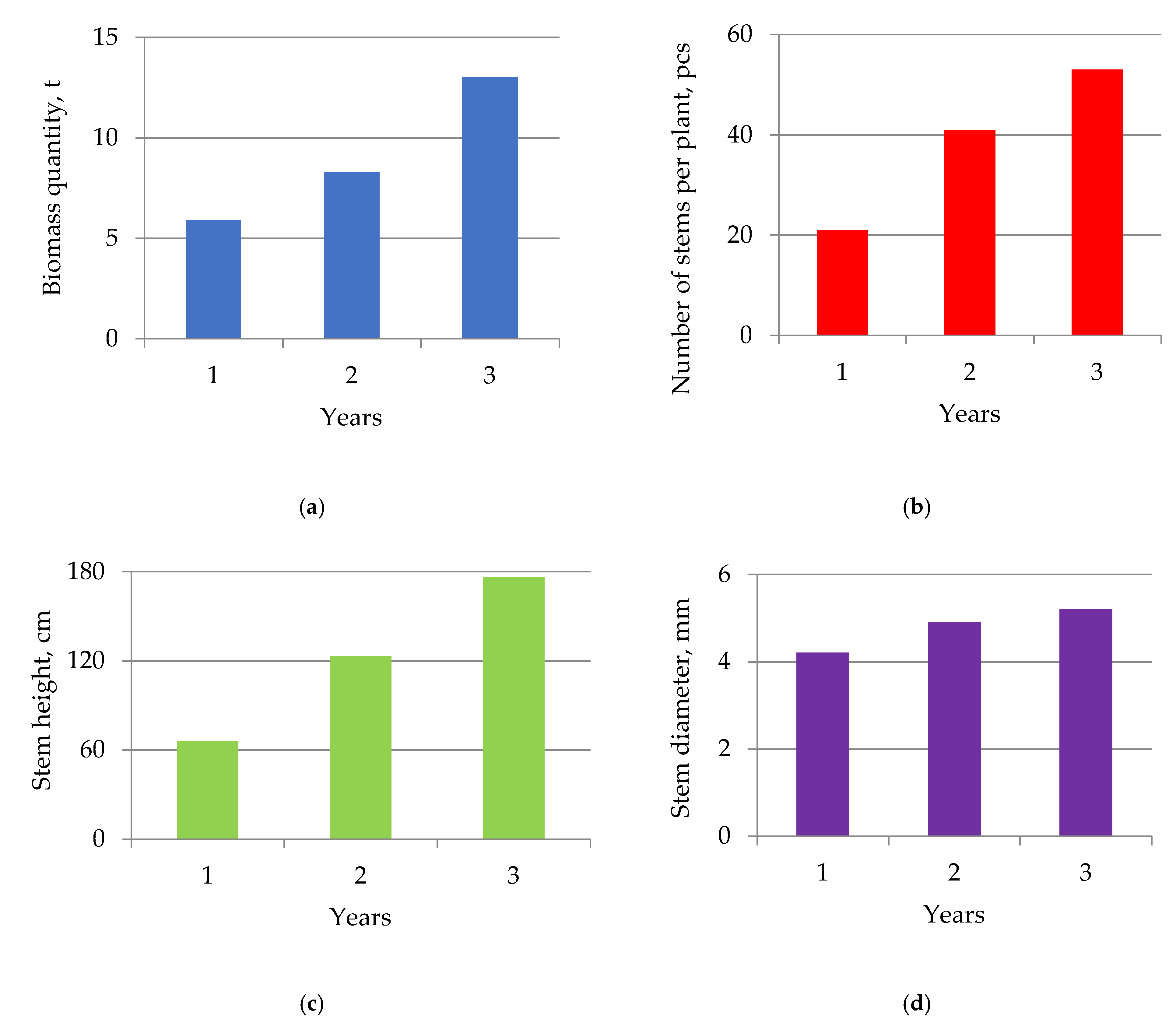
The influence of the age of agricultural crops on aboveground biomass and its composition is described on the basis of two biomass production stages (Figure 2). Experiments were carried out after one, two, and three years of growing M. × giganteus.
Figure 2.
Influence of age on the condition ((a) biomass quantity, (b) number of stems per plant, (c) stem height, and (d) stem diameter) of the aboveground part of miscanthus (the figure is based on the data from [41]).
It follows from Figure 2 that when testing irrigation or rain, the biomass yield in the first year is usually low, on average, the yield is 5.9 tons of dry matter / ha. In the next two years, the miscanthus biomass gradually increases: under irrigation or rain conditions, the biomass averages 8.3 and 13.0 tons per hectare of dry matter in the second and third years, respectively.
From the first to the third year, biomass components such as crown height and number of stems per plant also increased significantly. On average, the stem height increased from 66 cm to 176 cm, and the number of stems per plant increased from 21 to 53. However, the average diameter increased from 4.2 mm to 5.2 mm, and the stem diameter was more stable than biomass, stem height, and quantity.
These observations confirm that, for miscanthus, the first three years correspond to a phase of increasing productivity, that is, the production of biomass and its components (such as canopy height and number of individual stems) gradually increase [41,42].
The influence of crop age on the amount of miscanthus biomass can be explained by the increased CO2 and SO2 yield and energy consumption of the plant in the first two vegetation years.
In the first three years of growing, the range of variation for each variety is very large. The change interval in the first growing year is shorter than in the second and third years. Differences in annual biomass production, the number of stems, canopy height, and stem diameters increased slightly in the first three years; the minimum value did not change over the years, but the maximum value increased every year. Similarly, in the second and third years, the genotypic variations of each studied trait were more obvious than in the first year. Of course, greater variability in the second and third years is associated with higher yielding genotypes, and their potential begins to manifest in the second year [22].
Finally, among the traits studied, in comparison with the canopy height and stem diameter, the number of stems and the production of aboveground biomass turned out to be the most variable (301% and 242% in the third year, respectively). For breeding programs aimed at selecting the best genotype and maximizing biomass production, this wide range of observed differences in traits associated with biomass production is particularly important.
Several studies have provided data on biomass, vegetation height, number of stems, or diameter of miscanthus stems in long-term experiments. They are mainly associated with the long-term biomass production of M. × giganteus species in Europe and the United States [43]. The winter harvest date coincided with the harvest date commonly used by farmers. Based on the available personal data, we assume that the biomass harvest of M. × giganteus reached its first peak at different times: after a 3-year study [44] and a 6-year study [45]. Additionally, for the first time in the study, it did not peak after 4 years of cultivation. Studies have shown that biomass production of M. × giganteus is generally stable after 2–5 years, depending on environmental conditions and growing methods. In Denmark, miscanthus biomass production is reported to have increased in the early years, with better yields after 7 and 8 years, and these declined to a lower level that remained relatively stable from 11 to 20 years. It is shown that for a period of 3–14 years of cultivation, there was a high variability of yields.
Therefore, based on published experimental data [22,43,44,45], it is difficult to estimate the time to the first peak of productivity and the length of time that miscanthus will maintain biomass production. During the plateau phase, the output is also unstable. Finally, the timing of the reduction in biomass production also varies. This variability in the plateau phase and variability in the decline phase depends on possible causes, such as soil conditions, climatic conditions, and plant management practices. According to the data presented above, the maximum accumulation of miscanthus biomass occurs starting from the third year of cultivation. The actual decline in biomass production depends on the soil compaction degree and the impact of pests and diseases.
2.3. Influence of Climatic Conditions on Miscanthus Biomass Accumulation
In the first year of crop production, climatic conditions (e.g., temperature) are more likely to affect the production of miscanthus biomass. For example, severe frost immediately after establishment will kill M. × giganteus plants and inevitably damage biomass production. Moreover, low temperatures in the first winter after sowing will impair miscanthus biomass production. For example, clones of M. × giganteus and M. sacchariflorus died in the first winter after planting in Sweden and Denmark, while clones of M. sinensis survived [46]. The authors attribute plant death to winter soil temperatures, which dropped below −4.5 °C in the first year after planting in these countries.
In subsequent years of cultivation, it was concluded that climatic conditions significantly influenced the production of miscanthus biomass at the experimental site. Comparing the two sites in Poland during the first three years of planting, it is also noted that biomass production varies depending on the growing area; studies show that in the first three years of planting, biomass production in Central and Southern Europe tends to be higher than in Northern Europe. It has been found that there is a significant relationship between miscanthus and rural areas. The highest yielding clones in Sweden and Denmark were the lowest yielding clones in Portugal and Germany. Despite this interaction, the authors found that some species of miscanthus can be found in different climates in Europe. Studies [47] report that climatic parameters such as rainfall and temperature have played an important role in the accumulation of miscanthus biomass. There is a strong correlation between rainfall during plant growth and biomass production of winter miscanthus plants, especially in Germany.
Consequently, in the first year of growth (corresponding to the year of planting) climatic conditions inevitably worsen biomass production. This observation implies that climatic conditions need to be considered in the first year, because this is the most critical stage for biomass production [48]. Changes in climatic conditions (such as rainfall and temperature) will also affect biomass production in subsequent growing years. Therefore, in order to maximize biomass production, the miscanthus genotype should be selected according to climatic conditions, as there is a relationship between the position and genotype of biomass production [48].
Analysis of research by leading scientists indicates a positive correlation between changes in climatic conditions and the accumulation of miscanthus biomass.
2.4. Influence of the Harvest Date on the Miscanthus Biomass Yield
On average, between autumn and winter harvests in the second and third years, there was an average reduction of 1.8 tons dry matter/ha (29%) and 4.2 tons of dry matter/ha (26%), respectively. For each growing season, the maximum biomass yield is reached in autumn during the flowering period, and then decreases in winter, which is mainly associated with loss of leaves, aging, and movement of assimilates [49].
The biomass yield varies greatly from the day of harvest (from 253% to 341%) each year. Interestingly, there are more data on the fall harvest than there are on the winter harvest.
Finally, for land-based biomass production, the contribution of genotype to phenotypic variation is very high, with two harvest dates, with the third year being more pronounced than the second year.
Between autumn and winter harvests, the content of cellulose and lignin in the aboveground biomass on average increased [50,51]: the content of cellulose increased from 40.6% to 46.4%, and the content of lignin increased from 8.0% to 9.4% (Table 1).
Table 1.
Dependence of cellulose and lignin content on the harvest period.
On the contrary, the content of hemicellulose increased during the winter harvest, and the average dry matter values of the autumn and winter harvest were 29.4% and 28.8%, respectively. These differences in cellulose, hemicellulose, and lignin content between autumn and winter harvests may be due to loss of leaves between two harvest dates.
The delayed harvest also significantly reduced the amount of ash and also reduced biomass by leaving it in the field [27,51,52]. For example, between autumn and winter harvests in the third year of cultivation, the ash content averaged from 3.9% to 2.5% of dry matter.
In terms of the content of cellulose, hemicellulose, lignin, and ash in the aboveground biomass, the genotype has a large contribution to phenotypic variability.
Finally, during the third year of cultivation, the content of cellulose, hemicellulose, lignin, and ash ranged between 2.5% and 21.3%. Interestingly, the higher ash content range (14.5 and 21.3%) indicates that, regardless of the date of collection, this trait is more variable than cellulose, hemicellulose, and lignin.
Clifton-Brown et al. [52] studied the productivity of 15 cultures of miscanthus belonging to M. × giganteus at 5 sites in Europe one year and three years after planting. There was a high and significant correlation of 0.81 between the third- and second-year yields, with this correlation being 0.56 between third and first year yields. It was found that the maximum biomass yield was achieved in autumn during the flowering period, and then decreased in winter, which is associated with the loss of leaves, aging, and movement of assimilates.
2.5. Influence of Nitrogen Fertilization and Irrigation on the Miscanthus Biomass Yield
The study in [53] showed the interaction between the date of harvest and the application of nitrogen on M. × giganteus: the application of nitrogen does not affect the yield in winter, but in the fall, the biomass yield increases after the application of nitrogen fertilizers.
So far, most studies have examined the effects of nitrogen input and irrigation levels on biomass production of M. × giganteus [54,55].
The study [34] concluded that the effect of nitrogen application on the M. × giganteus biomass soil varies. Some studies did not report the effect of nitrogen fertilization on the biomass production of miscanthus. Other studies have shown that the positive impact of nitrogen influx on aboveground biomass should range from 0 to 200 kg of N/ha [56]. Different effects of nitrogen fertilization on biomass production have been observed over the years [57].
As reported in [58], the effect of nitrogen fertilization on land biomass production of miscanthus is usually limited, but irrigation enhances this effect. For example, in the third year of cultivation, [59] reports that the maximum biomass production of M. × giganteus was observed under conditions of the maximum nitrogen application rate (100 kg N/ha) and the highest soil moisture content (75% of water extracted from the soil with maximum evapotranspiration). The study [56,57] described that the effect of irrigation on M. × giganteus biomass production increased with increasing nitrogen content (Figure 3).
Figure 3.
Influence of the nitrogen quantity (kg/ha) and irrigation on the miscanthus biomass yield: 1–100 kg/ha; 2–100 kg/ha and irrigation; 3–200 kg/ha; 4–200 kg/ha and irrigation (the figure is based on the data from [56,57]).
Compared with dry farming, in the first 4 years of irrigation, when the nitrogen application was 100 kg N/ha, the biomass yield increased by 3.7 t/ha, and when the irrigation volume was 200 kg N/ha, the biomass yield increased by 3.7 t/ha. The amount of biomass under irrigation was increased by 9.8 t/ha.
These observations indicate that a highly productive M. × giganteus can be obtained at low levels of nitrogen input, since the increase in biomass recorded at 0 kg/kg and 200 kg of N/ha is moderate or negligible. However, as irrigation and nitrogen levels interact to affect biomass production of M. × giganteus, more research is needed to examine the ability of miscanthus to produce high biomass with low nitrogen inputs and low irrigation for all species except M. × giganteus. It was found that the biomass quantity decreases in the fifth year despite the addition of nitrogen and irrigation. The identification of clones that can produce high biomass with low environmental impact (lower water requirements and nitrogen fertilization levels) is necessary to improve the growth of various species for bioenergy use.
Studies [56] have shown that nitrogen input negatively affects the M. × giganteus biomass quality. With an increase in nitrogen input, the content of cellulose, hemicellulose, and lignin in the land-based biomass decreases, while the ash content increases. The authors concluded that fertilizers with a low nitrogen content lead to an increase in the quality of biomass for thermochemical processes. These observations are encouraging because they are beneficial to the environment and the economy and contribute to the sustainability of the developing system.
The above-mentioned results allow the conclusion that the presence of nitrogen and irrigation is required for the accumulation of miscanthus biomass; however, the doses of nitrogen application are currently being specified in the course of research experiments.
2.6. The Influence of Plant Density on the Miscanthus Biomass Yield
Different experiments with miscanthus used different plant densities (0.6–4 plants/m2), but only a few studies reported the effect of plant density on the miscanthus biomass production. Studies [39] observed that densities of 1 and 2 plants/m2 improved miscanthus biomass production compared with 0.67 plants/m2. Based on this result, it has been hypothesized that a higher plant density could increase biomass production. Two hypotheses can be suggested to determine the biomass evolution of perennial miscanthus, as follows: (i) at a higher plant density, biomass production stabilizes faster; (ii) higher vegetation density will lead to higher biomass production. Further research is needed to confirm these hypotheses and select the ideal miscanthus density to maximize the biomass. Since the cost of creating rhizomes is still high, the choice must also depend on the cost of miscanthus rhizomes.
Growing seedlings in vitro or growing plants by seed propagation can be a good choice that combines high plant density, high biomass production, and lower growing costs [60,61]. For example, it is necessary to ensure the sterility of the seed varieties.
The optimum density of miscanthus plants for the accumulation of maximum biomass was 1–2 plants/m2. It was also established that in vitro cultivation and plant cultivation by seed propagation are promising directions for the cultivation of miscanthus with a high biomass content.
2.7. Influence of Geographic Location on Miscanthus Biomass Yield
In the 3rd year of the study, the biomass composition of 15 miscanthus genotypes was studied in 5 regions of Europe. These studies [20] indicate that the ash content of ground-based biomass varies depending on the location of the experiment. On the other hand, these authors proved that this effect has little effect on the lignin content in the ground-based biomass.
The influence of location on biomass composition can be partially explained by climatic conditions. Differences in precipitation between stations can cause erosion of minerals. These observations indicate that the miscanthus biomass composition can vary from location to location.
The composition and amount of miscanthus biomass can vary depending on the place of growth. There was a clear difference in biomass accumulation of miscanthus growing in Northern Europe and Central/Southern Europe, however, no significant differences in the composition and amount of miscanthus biomass were found in regions with similar climatic conditions [62].
2.8. Influence of Drought and Salinity on the Miscanthus Biomass Yield
As a first choice for testing drought tolerance, in vitro grown plants were transferred and grown in the open ground. One year after transplantation, the aboveground biomass was collected in spring. New shoots with the same genotype (n = 20) were then selected and grown in 5-inch flowerpots (37 genotypes) and 1 m tubes (50 genotypes) [63]. They were not watered for 12 and 28 days, respectively. Half of the plants were harvested at the end of the dry season. In the second half, watering was resumed during the recovery period. Growth measurements included the elongation of new leaves, the number of branches, and the fresh and dry weights of leaves, stems, and roots at harvest. Subsequent similar assessments of the six selected genotypes including different responses to drought stress, which included other physiological characteristics: stomatal conductance, number of stomata, and the maximum efficiency of photosystem II (Fv/Fm).
To assess salt tolerance, 70 genotypes grown in vitro were transferred to a hydroponic system in a greenhouse and grown under normal conditions and under conditions of salt application (150 mM NaCl was added to the medium). Salt treatment lasted 3 weeks. During the stress period, the number of branches, leaf elongation, plant height, and chlorophyll content were measured, and aging was visually assessed. At the end of the stress period, the plants were harvested and the fresh and dry weights of shoots and roots were measured. Dry samples were used to determine ion content (Na+, K+, Ca2+, Cl−, Mg2+, SO2−4, PO3−4). Different miscanthus genotypes respond differently to drought and salt stress. The biomass accumulation associated with the growth and elongation of new leaves, the number of branches, as well as the fresh and dry weight of leaves, stems, and roots during harvesting, allow identifying the genotypes most resistant to drought and determining the content of macro- and microelements during their cultivation [64].
2.9. Influence of Species and Ploidy Level of Miscanthus on Biomass Yield
2.9.1. Influence of Miscanthus Species on Biomass Yield
Miscanthus species differ in biomass production and biomass composition. In the second and third years, the average dry matter yield of winter crops was 12 tons M. sinensis and 18 tons M. × giganteus per hectare. M. × giganteus was the best biomass producer. The parameter values of various miscanthus species [65,66] after 3 years of cultivation are presented in Table 2.
Table 2.
Parameters of various miscanthus species after 3 years of cultivation.
It follows from the table data that M. sinensis was smaller than M. × giganteus and M. sacchariflorus. The range of intraspecific variability of M. sinensis is greater than that of M. × giganteus and M. sacchariflorus, mainly in terms of biomass production and the number of stems per plant. In the third year, the average range of fluctuations in the production of terrestrial biomass in individual species of M. sinensis was 324% and 276%. In contrast, the crown height and stem diameter were found to be the same for the three miscanthus species.
2.9.2. Using Miscanthus for Bioethanol Production
Bioethanol production from miscanthus biomass has been studied for many years, but many important aspects have yet to be evaluated and optimized. It can be assumed that a three-year phase of increasing the yield of miscanthus growth will be sufficient to stabilize the biomass composition in order to provide a suitable biomass for bioethanol production [67]. Such early harvest of biomass can be important for the economy of newly established plantations. The results presented in [68] demonstrated the uniform stabilization of biomass formation by plants of the genotypes M. × giganteus, M. sinensis, and M. sacchariflorus when grown for three years on moderately fertile soils of west-central Poland. Stabilization was accomplished in a complex manner according to various indicators (biochemical composition, elemental composition, photosynthesis, plant growth, and biomass yield). Differences in the intensity of biomass accumulation by plants of different genotypes were established. It was shown that the main miscanthus genotypes differed in the content of both main elements and macro- and microelements. For the pilot production of bioethanol based on alkaline delignification and SSF technology, the technical biomass of a three-year-old winter plant was used. For the majority of miscanthus genotypes, in addition to various components of the biomass, the cellulose:lignin ratio significantly influenced the bioethanol yield. The miscanthus genotypes were listed in descending order of the yield (g/kg DM) and efficiency (%) in bioethanol production: M. sinensis (234–253 g/kg DM, 83–86%), M. sacchariflorus (207–237 g/kg DM, 76–81%), and M. × giganteus (185–222 g/kg DM, 62–76%). It was established that the biomass yield had a significant effect on the planned bioethanol production. Three-year-old miscanthus plants (M. × giganteus, M. sinensis), grown on plantations in a temperate climate, demonstrated a significant potential as a raw material (up to 5600 L/ha) for the bioethanol production [66].
2.9.3. Effect of Clones on the Miscanthus Biomass Yield
For each trait (biomass yield, number of stems, height of stems, and diameter of stems), the genotype contributes greatly to phenotypic variation. This genotype variability is more evident in the second and third years than in the first year. Moreover, compared with M. × giganteus and M. sacchariflorus, this genotypic variation in M. sinensis is usually more evident. This trend confirms the relatively high genotypic diversity of miscanthus, especially M. sinensis [68].
In contrast to other low-efficiency clones, some miscanthus clones showed high productivity of biomass and biomass components and, therefore, were proved to be suitable for biomass production. Interestingly, some M. sinensis clones produced more biomass than some M. × giganteus clones. According to this study, in Portugal, the highest biomass yield of a hybrid of two M. sinensis clones under irrigation was 31.9 t of DM/ha compared with 30.6 t DM/ha of M. × giganteus clone when irrigated and applied at 100 kg N/ha. In France, a higher yield of land-based biomass was recorded when the M. × giganteus clone was irrigated at a level of 49 t of dry matter/ha. Based on these observations, it can be concluded that certain clones of M. sinensis can produce more biomass than certain clones of M. × giganteus in a certain climate and location. The results of the study confirm this hypothesis [69]. Some studies report that some miscanthus hybrids are superior to non-hybrids in biomass production. For example, studies [66] have reported that M. sinensis hybrids produced, on average, 31% more biomass than non-hybrid M. sinensis clones harvested in a three-year winter crop.
Regarding biomass composition, two M. sinensis hybrids tested in northern France [23] showed a large number of stems per plant: in the second year of cultivation, the number of stems of one M. sinensis hybrids reached 85, and another M. sinensis hybrid reached 176 stems during the second year of cultivation. M. × giganteus hybrid was also tested in northern France and showed a large stem diameter of 9.8 mm in its third year of growing.
2.9.4. Effect of Breeding on the Miscanthus Biomass Yield
Finally, the hybridity degree affects the production of biomass and its components. In studies [70], it was observed that an increase in the level of hybridity (depending on the genotype) had a significant but opposite effect on the production of biomass and its components. The authors created hybrid forms for certain genotypes that have more dry matter, taller plants, or a larger stem diameter than the corresponding control plants [71].
The number of hybrids of the three studied miscanthus species is different: fewer hybrids were observed for M. × giganteus and M. sacchariflorus than for M. sinensis. This may partly explain the lower variability of M. × giganteus and M. sacchariflorus. Finally, the production of biomass appears to vary by genotype.
Finally, for each trait, the genotype has a high proportion of phenotypic variability, with the exception of M. sacchariflorus, for which only one clone was studied.
Since only a few clones were used in the study, observation of the biomass composition of miscanthus species can only be regarded as a trend, in which only one M. sacchariflorus clone, six M. × giganteus clones, and eight M. sinensis clones were used. Interestingly, some miscanthus clones showed high cellulose and hemicellulose content, as well as low lignin and ash content. Some clones of M. sinensis showed the lowest ash content, lower than that of M. sacchariflorus [69]. Two species of M. sinensis with the lowest ash content (Sin-11 and Sin-15) have been identified. The work [70] studied a clone of M. × giganteus (EMI08) in the UK, which showed the lowest lignin content, several times lower than the lignin content in M. sinensis clones.
These observations indicate that, depending on the biomass composition, certain species or clones of the genus Miscanthus can be used in breeding programs. Many studies have identified an important feature of significant changes in biomass composition associated with biomass production. It was found that the production of aboveground biomass and the number of stems per plant are more variable than the canopy height and stem diameter. The value reaches 300% in the third year, and the range of aboveground biomass production and the number of stems changes. The range of expansion of the canopy height and stem diameter of each plant is approximately 2 times. Interestingly, the most variable indicator for the biomass composition is the ash content of the aboveground biomass. The ash content reaches 200% or more, which is 5 times the range of cellulose, hemicellulose, and lignin; therefore, studying the high phenotypic variability of traits and the strong contribution of the genotype to variability is very important for increasing the efficiency of bioenergetic selection of miscanthus [20].
In terms of biomass composition, the content of cellulose, hemicellulose, and lignin in terrestrial biomass seems to be most dependent on the date and type of harvest, while the age of the harvest does not.
The average cellulose content in dry matter (M. sinensis) during the winter harvest is 46.4%; therefore, in the third harvest year, the cellulose content during the winter harvest is 1.1 times higher than in the autumn harvest [20]. Similarly, the average cellulose content in dry matter (M. sacchariflorus) during the winter harvest was 9.4%, and the lignin content during the winter harvest was 1.2 times higher than in the autumn of the third year of cultivation. In contrast, in the third year of the winter harvest, the average cellulose content in dry matter was 28.8%, and the hemicellulose content was the same during the winter and autumn harvest. For comparison: the average value of M. sacchariflorus is 49.4 and 10.6% DM, the content of cellulose and lignin in this species is 1.1 and 1.2 times higher than in M. sinensis, respectively. The average maximum content of hemicellulose in M. sinensis is 30.2%, which is 1.2 times higher than in M. sacchariflorus [14].
The ash content of the crushed miscanthus biomass is mainly influenced by the age of the plant. The average cellulose content in dry matter over three years of cultivation is 2.3%, and the ash content can be reduced by 3.9% from the first year to the third year.
Therefore, the development of miscanthus in sustainable bioenergy requires the elimination of factors affecting the characteristics associated with the production and composition of biomass.
It was found that 95 out of 162 genotypes were successfully cloned in vitro for experiments with abiotic stress. When planting clones in the field, frost resistance and drought resistance were studied. In the first winter after planting, the rhizomes were dug up and cleaned, cut into 10 cm pieces with at least one living bud, and exposed to various negative temperatures in a temperature-controlled bath. The rhizomes were thawed and then germinated under optimal conditions. Freeze resistance was quantified by determining the temperature at which 50% of the rhizomes of each genotype died. Drought tolerance was quantified by determining the amount of moisture at which 50% of the seedlings of each genotype died. Frost resistance (102 genotypes) was studied by studying early germination of plants at the beginning of the growing period in field trials and by measuring growth in a growing chamber under cold stress conditions. Based on these experiments, many growth traits (including longest bud, number of leaves and branches, growth rate, and leaf formation rate) were calculated and analyzed to determine which characteristics are most appropriate for describing early vigor and hardiness and which are the most reproducible and beneficial for producers.
Hence, one of the future challenges is the intersection of characteristics related to biomass quality and biomass yield.
The huge differences in genotypic characteristics indicate that the processing efficiency of these value chains can be significantly improved through the development and use of better quality raw materials.
The ploidy level and the presence of clones and hybrids affect the biomass yield of miscanthus. It was shown that clones of M. sinensis often accumulate more biomass than clones of M. × giganteus.
2.10. Biogenesis and Genes Involved in Cell Wall Assembly
Genetic progress in improving the composition and structure of the cell wall is an important challenge for two reasons: (i) the cell wall limits the size and shape of cells and therefore plays an important role in plant growth by influencing biomass production; (ii) resistance of the cell wall to degradation by microorganisms to yield sugars for fermentation, which in turn affects the quality and quantity of biomass [71].
According to studies [72,73], plants use approximately 10% of their genome (approximately 2500 genes) to build and dynamically reorganize their cell walls. Specifically, scientists have classified 1200 genes associated with cell wall synthesis, assembly, and destruction of miscanthus cell walls into six categories/stages of cell wall biogenesis, including substrate production, polysaccharide synthesis, membrane transport, renewal, secondary cell wall formation, and signal transduction. Research shows that differences in the composition of the cell walls of angiosperms are reflected in the structure of these genetic families.
In miscanthus, cellulose is linked by multimeric cellulose synthase rosettes associated with the plasma membrane. The subunits are encoded by the CesA gene and are represented by many members, usually around 10. Based on genetic studies of mutations and gene expression profiles, most of them, apparently, are associated with the formation of the primary wall. In addition to the CesA gene, chemical and genetic screening also revealed some genes that are indirectly involved in cellulose biosynthesis, such as COBRA (via glycophosphatidylinositol, encoding membrane-bound protein GPI), COBITO (via coding for membrane-bound glycoprotein), and CORRIGAN (membrane bound β-glucanase code). A member of the COBRA gene family, CobL4 from miscanthus and its orthologues particularly influence the formation of cellulose in the secondary cell wall.
The complexity of the events that contribute to the activation and activity of CesA in the plasma membrane suggests that the list of biosynthetic participants is still very incomplete and may include accessory proteins and cell wall perceptual mechanisms that are clearly responsible for biogenesis. CesA affects the cell wall [74]. Gene expression studies have shown that the CesA protein is expressed in space and time throughout plant development, indicating that certain transcription factors belong to NAC (no apical meristem), MYB (myeloblastosis), WRKY, and leucine zipper. They play a role in the biogenesis of the miscanthus cell wall. Therefore, a better understanding of the regulation, activation, and assembly of the CesA complex, as well as the discovery and characterization of plant accessory proteins CesA and FT, will further clarify the goals of miscanthus gene manipulation [75].
The biosynthesis of hemicellulose requires the coordinated expression of various glycan synthases and glycosyltransferases (GTs) to form the polymer backbone and side chains, respectively. In this case, it was found that several genes encoding GL-cellulose F (CSLF), localized by the Golgi’s method, are involved in the biosynthesis of hemicellulose. In particular, the data indicate that the xylem-specific GT 7 gene of the GT family supports this biosynthesis. Several GT gene families (eg GT43, GT47, and GT61) have been found to be involved in xylan biosynthesis in miscanthus. The identification of the IRX mutants of miscanthus has shown that the families GT8, GT43, and GT47 are potential genes for the biosynthesis of bisphenol glucuronic acid (GX) [76]. Further studies have shown that GAX biosynthesis requires at least three GTs: xylosyltransferase (XylT), arabinosyltransferase (AraT), and glucosyltransferase (GlcAT) [77,78]. It has also been reported that glycosyl hydrolases play a role in the synthesis of xylan and many transcription factors. These include, in particular, major switchers, such as the NAC 1 domain associated with the secondary cell wall (SND1), and other TFs located immediately below, such as multiple MYB factors and homeodomain proteins such as KNOTTED1. In miscanthus, the enzyme encoded by the UDP-glucose-6-dehydrogenase gene is the key to the biosynthesis of hemicellulose and is undoubtedly the enzyme necessary for the formation of the cell wall in young organs. While the above information proves the importance of hemicellulose for the growth and development of miscanthus, further research is needed to combine these individual components and assemble them. This will improve understanding of the biosynthesis of this important class of components of the miscanthus cell wall. It is expected that altering the expression of these genes could alter the amount and properties of hemicellulose, which in turn could lead to an increased miscanthus biomass yield [79,80].
Lignin synthesis is one of the most pressing problems of genetic improvement of cellulosic miscanthus biomass suitable for biofuel production: changes in its chemical composition and quantity directly affect the current cost of pretreatment for biofuel production, primarily with cellulosic miscanthus biomass as a raw material [81]. Lignin biosynthesis includes two main processes [82,83]: the pathway of monoxylphenol in the cytosol (through the phenylpropane pathway) and polymerization of monomers in the cell wall, which fully describes the enzymes necessary for the biosynthesis of monoxylphenol (Table 3). It is also known that genes involved in the synthesis of phenylalanine, hydroxycinnamate, and monolignol are known in the biosynthesis of lignin. It was found that many of the genes encoding key enzymes in the biosynthesis of lignin in miscanthus belong to the multigenic family [84]. Consequently, certain isoforms can be expressed in different types of cells at different stages of development or in response to changes in environmental conditions, which makes it difficult to try to change the accumulation of lignin in miscanthus.
Table 3.
Lignin biosynthesis pathways and enzymes involved in the monoxylphenol synthesis.
Cellulose and lignin influenced the biomass yield of miscanthus. It was noted that a change in gene expression can change the amount and properties of hemicellulose, which, in turn, can lead to an increased yield of miscanthus biomass. The synthesis of lignin makes miscanthus the most suitable for biofuel production.
2.11. Genetic Strategies for Improving Lignocellulose Composition
Since traditional farming has focused on breeding for high-yielding traits, the potential for improving biomass quality of miscanthus has not been widely studied. Thus, many methods have been explored using genetic strategies to efficiently convert biomass to fuels, fine chemicals, and commercial uses. Biomass production can be addressed from at least two perspectives: by modifying the characteristics of the biomass to reduce processing costs, or by increasing biomass production and reducing agricultural resources. These results indicate that lignin cannot be simply removed from growing miscanthus without causing adverse developmental effects. For some miscanthus species, attempts to suppress many genes encoding lignin biosynthetic enzymes using natural mutants or silencing strategies (RNAi) have been unsuccessful. This may be due to the fact that these measures indiscriminately strongly reduce the lignin content of miscanthus.
However, in some cases, careful genetic manipulation has been adopted to moderately reduce lignin or alter its composition in the biomass of miscanthus, thereby slightly improving saccharification efficiency, feed digestibility, and cellulose yield in miscanthus.
Recent developments in targeted editing of the miscanthus genome, such as effector nucleases (such as transcription activators (TALEN) and clustered, regularly spaced short palindromic repeats (CRISPR) or CRISPR-related (CAS) systems), have the potential to address highly specific genome modifications with high efficiency and specificity [76]. These methods use sequence-specific nuclease constructs that can cleave a target locus to create small insertions and deletions, insert new DNA, or even replace individual alleles. The simplified model summarizes the new miscanthus lignin engineering technology proposed by [85]. According to previous authors, this strategy will ultimately enable the creation of miscanthus cultures with an optimized composition and distribution of lignin, while retaining all other characteristics of the phenylpropanoid pathway.
In addition to traditional lignin reduction methods that directly target the genetic pathways for lignin biosynthesis in miscanthus, new leading methods are currently being developed. This new trend in lignin engineering aims to redirect carbon flux to the production of related phenolic compounds and replace monolignols with new lignin monomers to improve the biophysical and chemical properties of lignin, such as stability or industrial use [65]. While miscanthus lignocellulosic feedstocks can be used for conversion to biological materials, the two main disadvantages of the system are the cost of transporting and processing the miscanthus biomass. The solution to this problem is to directly produce microbial cellulase in plant cells. This will directly contribute to the conversion of fermentable sugars into miscanthus during the transport of biomass to biorefineries. In miscanthus, expression of the catalytic domain of a thermos (Table 1) 4-β-endoglucanase acidic thermophilic cellulolytic enzyme confirmed the argument that the plant can be used for enzymatic degradation of cellulose.
A new trend in the genetic engineering of miscanthus is the accumulation of lignin, the production of phenolic compounds, and the replacement of monolignols with new lignin monomers to improve the biophysical and chemical properties of lignin, such as its use as a biofuel.
2.12. Genetic Strategies to Increase Miscanthus Biomass Yield
The need to continuously improve the yield and quality of miscanthus biomass and meet the expected growth in global biofuel demand has stimulated the breeding of miscanthus. Genetic improvement of the targeted yield increase to create new varieties suitable for the bioprocessing of miscanthus will depend on identifying genetic changes in key morphology, structure, and physiological traits that affect biomass production. This includes managing complex traits, such as those associated with the growth and development of miscanthus. By managing other approaches (such as abiotic and biotic stress), biomass production of miscanthus can also be increased.
To obtain the maximum biomass yield when creating new miscanthus genotypes, it is important to: (i) identify genes and genetic pathways that are important for biomass production; (ii) identify the selective force that affects the frequency of these genes in existing miscanthus varieties; (iii) determine which morphological and physiological characteristics can ultimately lead to higher yields of miscanthus. Although there is genetic variation in yield traits, many of the important yield traits (amount of biomass, biomass stability, and nutrient and water intake) are polygenic traits that are usually difficult to reproduce. The quantitative trait locus (QTL) method is a versatile genomic tool for analyzing the genetic structure of complex traits and determining the QTL in miscanthus [85]. Advances in high-throughput sequencing and genotyping technologies have significantly improved the accuracy of QTL analysis. Therefore, QTL biomass mapping was performed on various miscanthus genotypes to identify genomic regions and genetic loci for producing more biomass [85]. Studies of several species of miscanthus have shown that major side effects, gene double epistasis, QTL interactions with the environment, multiple side effects, and QTLs distributed across multiple regions of the genome are dominant. It was shown that, regardless of the biomass production potential, both parents contributed favorable and unfavorable alleles.
Analysis of the presented results allows concluding that the selection process played an important role in increasing the yield of miscanthus biomass. Genes and genetic pathways that are important for biomass production should be identified, and morphological and physiological characteristics that can ultimately lead to higher yields of miscanthus should be determined.
2.13. Molecular Biology Techniques to Increase Miscanthus Biomass Production
While the genetic breakdown of miscanthus components and how they affect biomass production may help to elucidate physiological pathways from genes to phenotypes, recent advances in understanding how plants function and develop could improve targeted miscanthus breeding programs. The potential and effectiveness, in terms of its productivity, understanding genes and genome sequences, regulation of gene expression, molecular and cellular mechanisms, and the pathways that make up the structure, development, and function of miscanthus, can provide plant geneticists with new opportunities for comprehensive design of new genetic improvement programs [85].
The necessity of implementing a strategy, including molecular methods for increasing the yield of miscanthus biomass, and transgenic studies to increase the yield of biomass by means of genetic modification of various properties of miscanthus, has been established.
2.14. Photosynthesis to Increase the Miscanthus Biomass Yield
Photosynthesis is the main source of energy and carbon for plant growth. Improving photosynthesis has been identified as a key strategy for growing miscanthus with a higher biomass yield. Molecular targets have been identified by examining the bottlenecks of photosynthesis, and methods to overcome these bottlenecks rely heavily on up-regulation or down-regulation of a single gene [86]. In some cases, synthetic pathways have been used to overcome the limitations of endogenous pathways.
The obvious goal of increasing source strength is the production of photoassimilates during photosynthesis. In this regard, studies have been carried out to introduce more efficient C4-like photosynthesis in C3 plants [66]. Later studies showed that the introduction of individual C4 enzymes (such as phosphoenolpyruvate carboxylase (PEPC) and pyruvate orthophosphodikinase (PPDK)) into C3 plants did not improve the accumulation of light assimilation. This may be due to the disruption of the flow of C4 intermediates in metabolic pathways other than the C4 cycle. In particular, the combined expression of two C4 cycle enzymes in miscanthus was found to increase photosynthesis by 35% and biomass yield by 22%. In this study, the maize gene was transferred into the miscanthus genome along with the corresponding promoter, which may result in the temporal and spatial expression of the C4 cycle enzymes being higher than the expected transgene expression when using a constitutive promoter [87].
In addition to the above strategy based on C4 photosynthesis, other methods have been adopted to increase the efficiency of photosynthesis and biomass yield of miscanthus. One of these strategies focuses on the Rubisco activase enzyme, which is a key regulator of Rubisco (ribose-1,5-diphosphate) carboxylase/oxygenase activity, which is important for photosynthesis when converting CO2 into an organic carbon component [87]. Transgenic miscanthus plants expressing the heat-resistant Rubisco activase showed significant improvements in photosynthesis and leaf growth when heated. Other efforts to enhance the photosynthetic efficiency of miscanthus are focused on: (i) increasing electron flux through overexpression of cytochrome C6 (CYTC6), which is a protein in the electron transport chain of photosynthesis; (ii) creation of photorespiration in chloroplasts and emission of CO2 directly into the chloroplast matrix; (iii) using several additional components or a CO2 concentration mechanism to increase CO2 levels in the immediate proximity of Rubisco [88]. These effects are achieved by overexpression of aquaporin to improve the CO2 conductance of mesophyll or by altering stomatal characteristics to improve the CO2 conductance of the stomata. The catalytic speed of miscanthus enzymes is higher than that of any C3. The genotypes generated from this study paved the way for increasing the remaining components of miscanthus genes in the future, an important step in improving photosynthetic efficiency and increasing miscanthus yields. The phosphotriose/phosphate transporter (TPT) has been shown to severely limit photosynthesis in high CO2 conditions, and TPT is involved in the regulation of CO2 absorption and metabolism in cytoplasmic membranes [22]. Through overexpression of sucrose transporters in absorbing cells, miscanthus species have been adapted to increase productivity, thereby leading to increased photosynthesis and assimilate export. Overexpression of the miscanthus sucrose symporter leads to an increase in the flow of sucrose into the stems and increases the growth of miscanthus stems. Increased sucrose synthase activity has been shown to be a useful strategy for increasing biomass accumulation in miscanthus. With higher CO2 concentrations in the air, expanding sucrose exports and carbon use will be an important part of maximizing photosynthesis and biomass production. Although it is not possible to alter photosynthetic capacity by altering transport capacity alone, an increase in photosynthetic and transport capacity can lead to better growth and biomass accumulation in miscanthus [89].
Technologies of nuclear or genomic transformation of chloroplasts are being developed, which will simplify and more accurately control the process of photosynthesis. It is expected that these plants can show more efficient photosynthesis under controlled conditions; planting miscanthus in an optimized growth environment will have the potential benefits of high yields. In the future, the combination of different strategies will make a significant contribution to improving photosynthetic ability, thereby increasing the growth of miscanthus and ultimately increasing yields [90].
Analysis of the experimental data leads to a conclusion that an increase in the efficiency of photosynthesis is directly related to an increase in the yield of miscanthus biomass.
2.15. Regulation of Miscanthus Biomass Production
Currently, the potential for improving biomass production is not yet fully exploited. This is because traditional crop selection (such as corn, miscanthus, and soybeans) focuses on selecting the most efficient biomass yield characteristics. Additionally, ongoing molecular and genetic studies have identified many regulators that affect plant biomass production. It was found that using the KNOX protein to increase the activity of the apical meristems of trophic roots (KNOX is a homologous domain of TF) and using KNOX and cytokinin to increase the activity of the angiogenesis layer, it is possible to achieve an increase in the production of miscanthus biomass due to the transition to reproductive function. From growth to activation of FLC (a protein that encodes FLOWERING LOCUS C (FLC), that influences flowering time) and inhibition of SOC1/FUL/FT (FLOWERING PROCESS SERVICE codes T, FT, and CONSTAXLINK (SOC1)), they are involved in the regulation of meristem lifespan and miscanthus plants, under the influence of gibberellin, they lengthen cells, increase the efficiency of photosynthesis, and increase the biosynthesis of secondary cell walls. By changing the characteristics of the cell wall, increasing the digestibility of cellulose can increase the production of biomass for subsequent biofuel production. Therefore, it is possible that flowering genes can be altered to produce miscanthus with increased biomass production. Overexpression of some members of the NAC family (genes specific to the TF family) also leads to increased biomass production. Compared with control plants, transgenic miscanthus lines overexpressing NAC1 are larger, with larger leaves, thicker stems, and more roots. Likewise, overexpression of ATAF2, another NAC domain transcription factor, leads to an increase in miscanthus biomass, which is mainly associated with the formation of larger leaves with larger cells [91].
It is clear that genes that regulate the number of cells and the size of organs in plants can increase productivity. For maize [92], a gene family called cell number regulator (CNR) has been isolated and described. Through the ectopic expression of one of the members, CNR1, we understand their function. It has been shown that CNR1 can decrease the overall size of miscanthus after ectopic overexpression, and when its expression is suppressed, the size of plants and organs will increase. The number of leaf epidermal cells indicates that the increase or decrease in the size of plants and transgenic organs of miscanthus is associated with changes in the number of cells, and not with changes in cell size, which supports the idea that the CNR acts as a regulator of the number of cells in miscanthus. This means it can increase biomass yield by producing stronger, more productive crops.
An analysis of empirical data showed that an increase in the activity of the apical meristems of trophic roots and the use of cytokinin to increase the activity of the angiogenesis layer, it is possible to achieve an increase in the production of miscanthus biomass due to the transition to reproductive function.
2.16. The Effect of Phytohormones on the Miscanthus Biomass Yield
It is known that phytohormones play an important role in plant growth and development, including the regulation of meristem activity and cell elongation, which are necessary for biomass production. For example, the plant hormones auxin and brassinosteroids (BR) are important plant growth regulators that can stimulate cell division and elongation. Miscanthus plants that cannot synthesize or absorb BR are dwarf plants with rounded leaves, reduced pollen fertility, significantly slower flowering, and leaf aging. Steroid hydroxylase 22a, encoded by the DWF4 gene, is a key enzyme in BR biosynthesis. Overexpression of DWF4 in miscanthus produced plants that grew 35–47% faster and increased biomass by 33%. The miscanthus mutant showed reduced BR levels and a phenotype characterized by slight growth retardation and erect leaves. Although the biomass yield of some miscanthus plants is reduced, their phenotype allows for a high planting density, which leads to an increase in biomass yield per unit area [93].
The way auxin controls the final size of a plant organ is a transcription factor. The latter genes promote biomass growth by increasing the time (rather than the rate) of cell proliferation. The final change in organ size is mainly due to an increase in the number of cells, rather than an increase in their size. Interestingly, another growth-promoting ARGOS-LIKE gene increases miscanthus organ size by increasing cell size rather than cell number. Proteins that bind to the epidermal growth factor receptor are another key regulator that promotes plant and organ growth. Unlike ARGOS and ANT, overexpression of transgenic EBP1 accelerates the growth and development of miscanthus plants as it stimulates cell growth, proliferation, and development, which leads to an increase in the number of cells and their size [94]. Loss of ARF2 function leads to an increase in the size of organs, such as thick stems and larger flower organs and leaves. Physiological studies have confirmed the synergistic effect of auxin and BR on cell elongation, and genome-wide microarray expression studies have identified many genes that respond to both auxin and BR [95]. Since the auxin response element (TGTCTC) is rich in promoters of genes sensitive to BR [96], this indicates that the integration of auxin and BR signals occurs at the ARF level.
There is information that cytokinin, by stimulating cell proliferation, thereby promotes the growth of organs, which leads to atrophy or enlargement of leaves or flowers. Likewise, gibberellin promotes growth through amplification and/or proliferation, inhibits growth, and inhibits the DELLA protein. DELLA factors can play an important role in regulating growth in response to environmental influences. In addition to these classic miscanthus hormones, the new mobile signal is also dependent on the synthesis of the associated cytochrome P450 enzymes KLUH/CYP78A5 and CYP78A7 to promote plant leaf and organ growth. Studies of miscanthus have shown that the putative signal is integrated between flowers, suggesting that the signal can be used to coordinate growth within and between different organs [72].
In conclusion, it should be noted that a better understanding of genes that affect hormone metabolism and signaling should help in the development of strategies to increase miscanthus plant growth and organ size, and ultimately increase biomass yield.
The method of transforming plant growth is to change the expression of genes associated with the cell cycle. Overexpression of the CYCD2 miscanthus gene resulted in the appearance of plants that were 35% higher than in the control. These transgenic plants also showed normal cell and meristem size, which is associated with an increased overall growth rate, an increased leaf germination rate, and a higher rate at all growth stages. Likewise, overexpression of another D-type cyclin CYCD3 in miscanthus shows a rate-limiting gene that affects the G1/S transition phase, promotes ectopic cell division, and produces more cells but smaller leaves. In contrast, the deletion of ABAP1 (the miscanthus gene that controls the rate of cell proliferation by limiting mitotic DNA replication) resulted in larger leaves containing more cells. Other leaf development studies have shown that cells divide during initial leaf development. The rate of ABAP1 expression in these plants was lower than in the control. On the other hand, plants with defective copies of the ABAP1 gene divide faster in plants. Another gene that mutates to increase biomass is CDC27a [96]. This gene encodes a protein that is part of the later ligase promoter complex (APC). Overexpression of miscanthus CDC27y reaches 30% during flowering, and the apical meristem changes slightly. Later experiments suggest that the mechanism of growth stimulation observed during overexpression of Miscanthus CDC27a may be associated with APC, but not with the CDC27a protein itself, because at least two other APC subunits exhibit similar overexpression. Another mechanism that promotes cell proliferation and ultimately promotes organ growth includes TF TCP (TEOSINTE BRANCHED1, CYCLOIDEA, PCF) and growth regulators (GRF), which are the two repeating multigenic families in miscanthus. The importance of the TCP family in growth control has become apparent in the miscanthus and arabidopsis mutants with jaw-D activation label [97]. In these mutants, the leaves acquired a very wrinkled shape due to excessive cell proliferation, especially at the edges of the leaves. In the CIN code used for members of the TCP family, the proliferative region at the base of the leaf appears to be enlarged and its distal margin is concave. Consequently, cells at the edge of the leaf continue to multiply where the central cell has stopped proliferating. In the jaw-D mutant, miR319a mi RNA overexpression suppressed five genes of the TCP family. Removal of the other three members of this gene family will result in a more severe over-proliferation phenotype of the leaves, while the TCP version of miR319 resistance and loss of function caused by the miR319a mutation will reduce organ size and induce premature cell differentiation. In fact, it has been suggested that stimulating cell differentiation is a major function of TCP and not a direct prevention of proliferation [98].
Recently, a new mechanism of gene regulation was discovered in miscanthus: silence of RNA or microRNA (miRNA) indicates that overexpression of miR396 in miscanthus suppresses GRF activity and decreases expression, which may affect leaf development. The proliferation of cells has a negative effect on the genes of the cell cycle. As a result, miR396 disruption of GRF2 recognition resulted in larger leaves and more cells than control plants. The regulation of the two miRNAs is closely related because their expression is influenced by age, temperature, and light, acting in opposite ways. At the molecular level, miR156 works by inhibiting genes encoding SQUAMOUS PROPERTER BINDING-LIKE (SPL) and AP2-like transcription factors that are inhibited by their targets.
Recently, miRNA has also become a key regulator of the pathway of response to the hormones of miscanthus. Genes that affect plant metabolism, distribution, and perception indicate that gibberellin (GA) promotes flowering in miscanthus via miR156-dependent pathways, suggesting that a link between miRNA and plant hormone signaling pathways may control germination development. Overall, it is clear from these data that miRNAs as growth regulators are attractive targets for genetic manipulation to increase biomass production [98].
According to the findings, phytohormones play an important role in the growth and development of miscanthus, including the regulation of meristem activity and cell elongation, both of which are required for increased biomass production. Further study of gene combinations affecting hormone metabolism and signaling is helping to develop strategies to increase miscanthus plant growth and organ size, and ultimately increase its biomass yield.
2.17. Peculiarities of Miscanthus Cultivation in Russia Compared with Other Countries
For the last twenty years, scientists have been actively developing new Miscanthus varieties [99]. Due to the undemanding nature of this tree-like herb and the extremely high yield of biomass (10–30 tons of dry weight per hectare), Miscanthus is a typical representative of energetic plants [100]. Its crop rotation is 10–15 years. This plant practically does not require soil preparation, and after planting, further processing and harvesting is carried out without high costs. With the right planting and care technology, Miscanthus can improve the condition of depleted soil. Deep roots (up to 2.5 m) increase the content of organic matter in the soil, strengthen its structure, and filter groundwater. There is a known positive effect of the absence of annual plowing on the soil (erosion decreases). The culture is characterized by satisfactory frost resistance and rapid growth (yield is 10–16 t/ha by the third year of growth) [100].
The staff of the Institute of Cytology and Genetics of the Siberian Branch of the Russian Academy of Sciences has developed a new species of Miscanthus sinensis, adapted for cultivation in the conditions of Western Siberia. The interest of scientists in this plant is associated with the unique active root formation, which allows using the author’s form of Miscanthus to preserve drying lakes by planting a plant along the banks, as well as to prevent the collapse of ravine slopes.
Since the calorific value of Miscanthus is 17 MJ/kg (dry weight), the ash content is 2.7%, the first choice for its utilization is direct combustion and biogas production. According to experts, the production of biogas from energy crops is beneficial in terms of the ratio of consumed and received energy. For Miscanthus, the obtained energy of 20 GJ/ha is 2.86 times higher than the energy expended for its cultivation of 7 GJ/ha. For comparison: for corn this ratio is 1.92 and for clover it is 1.22 [100].
Due to its high yield, Miscanthus biomass is considered as a raw material source of non-wood cellulose. The results of determining the chemical composition of the Russian species of Miscanthus confirm the content of cellulose within 40–44% and lignin 18–23%. Miscanthus plants under continental conditions during the growing season undergo a series of phenophases with characteristic morphological and physiological characteristics—seedling and leaf development, internode growth (stem elongation), tillering, tube emergence, inflorescences, flowering, and aging [100]. M. sacchariflorus and M. sinensis are not considered sterile species, but in the conditions of Western Siberia, these species do not produce seeds; therefore, there are no stages of seed development and maturation.
The potential productivity of miscanthus under favorable environmental factors can reach 40 tons of dry weight per hectare, while the real one depends on the amount of photosynthetic active radiation and the efficiency of its use, soil–hydrothermal growing conditions, the duration of the growing season, and the type of plant [101,102,103,104,105,106]. According to averaged data, the yield of three-year miscanthus plantings in England was 4.6–10.9 t/ha (M. sinensis), 11.0–12.0 t/ha (M. sacchariflorus), 13.8–18.7 t/ha (Miscanthus × giganteus); in Germany 9.1–12.8, 12.0–13.0, and 22.8–29.1 t/ha; in Portugal 16.1–22.4, 35.0–36.0, and 34.7–37.8 t/ha, respectively, for the three species. The influence of the climatic conditions of the region on the yield of miscanthus is also demonstrated in the studies of some Russian and foreign authors (Table 4).
Table 4.
Miscanthus yield in different regions of the world.
The table data analysis allows concluding that the highest miscanthus biomass yield (27.7 t/ha) is observed in the USA (Nebraska) with an average annual temperature of 9.7 °C and precipitation of 704 mm/year. Despite the higher average annual temperature of 11.1 and 11.2 °C in other states (New Jersey and Illinois), the yield of miscanthus is 2.9 and 1.8 times lower, respectively. Presumably, excessive precipitation (1211 mm/year and 1043 mm/year, respectively) negatively affects the miscanthus yield and, consequently, the accumulation of M. × giganteus biomass. Similarly, in the European part of Russia, despite the higher average annual temperature (4.7 °C), excessive precipitation (620 mm/year) contributes to a decrease in the yield of M. × giganteus and M. sacchariflorus (7.8 t/ha and 4.2 t/ha, respectively). Meanwhile, in the Asian part of Russia, at rather low average annual temperatures of 1.7 °C, a small amount of precipitation of 464 mm/year, the yield of M. × giganteus reaches 16.6 t/ha and M. sacchariflorus reaches 12.0 t/ha. This suggests that miscanthus is quite unpretentious and accumulates a large amount of biomass in cold and dry years.
In long-term experiments carried out in the forest-steppe of Western Siberia, the productivity of differently aged M. sacchariflorus plantings varied within 10–16 t/ha, with an average value of about 12 t/ha. The cold resistance of the culture, its vegetative propagation, and its ability—after the planting of rhizomes—to create an even plantation with a height of up to 2.5, was noted as early as on 2–3 years. Unlike M. sacchariflorus, M. × giganteus had a higher biomass productivity (16.6 t/ha), but its quality was lower due to incomplete passage of phenophases during the growing season: at the time of harvesting, the stage of inflorescence emergence was not yet completed, the harvested biomass was characterized by high humidity [107].
One of the features of energetic perennial grasses, including miscanthus, is the deep and abundant penetration of roots into the soil mass, which increases the porosity of the soil, improving its aggregate composition and the water resistance of the aggregates. The increased porosity enhances moisture seepage and thus reduces runoff on slopes. Optimization of agrophysical soil properties under the influence of energy crops positively correlates with an increase in the total concentration of soil organic carbon. Studies on carbon sequestration by perennial energy crops showed their ability to bind carbon (from 0.25 to 4 t/ha per year of soil C) and improve the agrophysical properties of the soil, increase microbial biomass, and increase its activity [108].
The studies found that perennial energy grasses require a relatively low soil nutrient level in comparison with annual crops, have high productivity on low fertility lands and the ability of long-term permanent growth on plantations. Among the many varieties of perennial grasses found in Europe, Asia, and North America, the genus Miscanthus stands out as the most promising one [109]. In the conditions of Western Siberia, scientists of the Cytology and Genetics of the Siberian Branch of the Russian Academy of Sciences are studying various wild and cultivated energy plants, including those from the Gramineae family. For example, Phalaroides arundinaceae Raush. had a green mass yield of 30–35 t/ha, a cellulose content of 44.2% (absolute dry raw materials), and a shoot height of 220 cm; for Festuka arundinaceae Schreb., the yield of green mass was 39–45 t/ha, the cellulose content was 40% (absolute dry raw materials), and the height of the shoots was 158 cm; for Dactylis glomerata L., the green mass yield was 33–38 t/ha, the cellulose content was 55.4% (absolute dry raw materials), and the shoot height was 150 cm. However, according to the complex of biological, economic, and biochemical parameters, miscanthus is the most preferable [110].
One of the advantages of miscanthus is that it provides plantings with a positive energy balance and a surplus humus balance. An aboveground biomass yield of this crop of 20 t/ha can provide the same amount of energy as produced from 12 t of coal. When miscanthus is grown, starting from the fifth year, an increase (by 0.1–0.2%) in the humus content is observed in the soil of plantations [111]. It was shown that, when miscanthus was cultivated for 10 years on soils of light particle size distribution, the humus content in the soil increased by 0.3–0.4%, despite the intensive use of soil mobile nitrogen by plants generated by the corresponding mineralization processes [111].
Studies carried out in miscanthus plantations indicate that the carbon reserves in the soil under this crop increased by 2 t/ha per year [112]. During the formation of perennial plantings of miscanthus (four years) in Western Siberia, an assessment of the components of the carbon balance was carried out, which showed the presence of objective prerequisites for fixing atmospheric carbon in stable fractions of soil organic matter [109,110,111,112,113]. plantings of miscanthus and, in addition, a tendency to an increase in the content of ash elements—probably associated with both their biogenic accumulation and an increase in the degree of mobility of soil forms of elements.
Kapustyanchik et al. [114] determined that the annual removal of nutrients from soil reserves by miscanthus with an average yield of 12 t/ha was 17–20 kg/ha of nitrogen, 11–17 kg/ha of phosphorus, 35–40 kg/ha of potassium, and 2–3 kg/ha of magnesium. Compared with other crops, these levels of nutrient removal from the soil appear to be low. The low requirement of miscanthus in soil nutrient reserves was also noted by other authors [115,116].
According to some researchers [117], the use of fertilizers for miscanthus is advisable only in the first 1–2 years of plantation formation on soils with a very low NPK content. The weak responsiveness of this crop to fertilization is largely due to its ability to efficiently recycle nutrients. At the end of the vegetation, about 50% of the absorbed nitrogen and phosphorus and 30% of potassium and magnesium move from the shoots to the rhizomes. In the spring, these reserves are mobilized for the growth of new shoots, making miscanthus, to a certain extent, independent of the level of soil fertility.
In general, it can be concluded that studies carried out in different countries in different soil and climatic conditions have established the positive environment-forming capabilities of miscanthus, with its clear phyto-meliorative and adaptive potential. The ability of the genus Miscanthus plants to maintain a high level of C4-type photosynthesis at low temperatures [117] and low nutrient requirements, their ability to bind large amounts of carbon, their good efficiency in using the available moisture, their high biomass production, and their increased resistance to diseases and pests [103], were demonstrated.
The results of long-term studies [103,108,114] indicate that the cultivation of miscanthus plantations contributes to the solution of a number of significant environmental issues, as follows: it creates a cultural agricultural landscape, rational in certain soil and climatic conditions; it ensures a sustainable harvest of high-quality crop products, which increases the efficiency of using low-fertile lands; it improves the humus state and stabilizes the stock of mobile forms of ash soil elements, thereby preventing the growing depletion of its fertility and degradation.
Chemical analysis of the aboveground biomass of miscanthus confirms its value as a source of energy and raw material for processing into products with high added value [113]. A high cellulose content (up to 51%) with a relatively low level of lignin (up to 20%) and a fatty wax fraction (0.9%) characterizes miscanthus as a promising high-yield crop with significant economic potential for cultivation and processing. It was shown that the differences in the content of organic compounds in biomass depending on the type of culture are not significant.
3. Conclusions
As people become increasingly concerned about the environment, climate change, and limited natural resources, a huge effort to use renewable biomass for the production of chemicals and materials is being made. Although the initial focus was on the production of biofuels from plant sugars, competition between the use of food crops and non-food products has stimulated research efforts to genetically improve the yield and quality characteristics of plant biomass used for organic processing.
The targeted genetic improvement of miscanthus biomass to produce more cellulose depends on determining the genetic variability of key morphology, structural, biochemical, and physiological properties that affect biomass yield and chemical composition. In turn, this latter aspect has stimulated the validation of other plant-derived metabolites for chemical production, reaching high-value market segments with platform intermediates required for large-scale production.
Although genetic variation exists in traits that support biomass production, many are important for the miscanthus productivity and sustainability. They are complex polygenic traits that are often difficult to reproduce. However, advances in plant genetics and genome technology are accelerating the discovery of genes for the development of such products. In this regard, several new genome technologies, such as next-generation sequencing and high-throughput marker genotyping, can be used not only to develop high-density physical and genetic maps, but also to generate data sequences or transcripts. These “omics” methods and technologies (such as transcriptomics, genetic genomics, metabolomics, and proteomics) have become powerful tools for understanding the genomic variability of Miscanthus species growing at DNA, RNA, and protein levels, and for identifying genomes or genes and influencing the expression of target traits to improve the growth of miscanthus used for biofuel purposes, or new varieties with new traits (for example, creating products with higher added value). Many new genetic technologies for the creation of transgenic and/or transplastomic plants have been developed, especially those collectively referred to as “genome editing”, which allow targeted genome modification. Modifications can include adding or removing DNA at a specific location in the genome, or replacing a specific piece of DNA with another. Epigenetic changes (histone modification and DNA methylation), in which the DNA sequence remains unchanged are also expected, but changes in gene expression due to changes in chromatin may be hereditary.
The production of bioethanol, a priority biofuel, has been widely developed in a number of countries. It is based on the use of rapidly renewable cellulose-containing raw materials, including miscanthus. It is known that the products obtained from miscanthus can be used as high-quality alcohol, intended for non-food use. It was established that the proportion of methanol in bioethanol produced from miscanthus is very small, and the content of fuel oils and ethers is also low.
Author Contributions
Conceptualization S.S., E.B., and O.K. (Olga Kalashnikova); methodology E.C. and E.B.; formal analysis E.C. and S.S.; analyzed and interpreted the data; O.B., S.S., S.I., and O.K. (Olga Kriger); writing—review and editing, O.B., S.I., and O.K. (Olga Kriger). All authors have read and agreed to the published version of the manuscript.
Funding
This research was partially financially supported by the Russian Foundation for Basic Research, grant number 19-416-390001, and by the Government of the Kaliningrad Region and the Ministry of Science and Higher Education of the Russian Federation, grant number 075-15-2020-072 (MK-162.2020.4).
Conflicts of Interest
The authors declare no conflict of interest.
Abbreviations
| AraT | arabinosyltransferase |
| ARFCOMT | gene that codes catechol-O-methyltransferase |
| CesA gene | cellulose synthase genes |
| COBITO | genes indirectly involved in cellulose biosynthesis through coding membrane-bound glycoprotein |
| COBRA | genes indirectly involved in cellulose biosynthesis through glycophosphatidylinositol, which encodes the membrane-bound protein GPI |
| CORRIGAN | genes indirectly involved in cellulose biosynthesis through the membrane-bound β-glucanase code |
| CRISPR | special loci of bacteria and archaea, consisting of straight repeating sequences that are separated by unique sequences (spacers) |
| CSLF | cellulose synthase-like gene regulating β-glucan synthesis |
| FT | gene that is expressed in the vascular fibrous bundles of leaves with the formation of FT protein (florigen) |
| GAX | gene polymorphism |
| GlcAT | glucosyltransferase |
| GPI | glycophosphatidylinositol (phosphoglyceride, which can bind to the C-terminus of a protein during post-translational modification) |
| GT | gene families |
| GTs | glycosyltransferases |
| IRX | gene that controls the work of several genetic programs in cells at once |
| KNOTTED1 | gene characterized by dominant neomorphic mutations that disrupt certain aspects of leaf development in maize and miscanthus |
| MYB | part of a large family of genes of transcription factors found in plants and animals |
| NAC | N-acetylcysteine |
| QTL | quantitative trait locus |
| SND1 | gene containing onco protein |
| TALEN | effector nucleases like a transcriptional activator are restriction enzymes that can be engineered to cut specific DNA sequences |
| WRKY | family of transcription factors, a class of DNA-binding proteins, mainly specific to plants and algae |
| XylT | xylosyltransferase |
References
- Gontarenko, S.N.; Lashuk, S.A. Method of propagation, stimulation of rhizomes growth in vitro culture and adaptation in the open ground for the genus Miscanthus representatives. Plant Var. Stud. Prot. 2017, 3, 230–238. [Google Scholar]
- Davey, C.L.; Jones, L.E.; Squance, M.; Purdy, S.J.; Maddison, A.L.; Cunniff, J.; Donnison, I.; Clifton-Brown, J. Radiation capture and conversion efficiencies of Miscanthus sacchariflorus, M. sinensis and their naturally occurring hybrid M. × giganteus. Glob. Chang. Biol. 2017, 9, 385–399. [Google Scholar] [CrossRef] [PubMed] [Green Version]
- Gushchina, V.A.; Ostroborodova, N.I. Formation of giant miscanthus biomass in the forest-steppe of the Middle Volga region. Niva Povolzhya 2019, 3, 81–87. [Google Scholar]
- Goryachkovskaya, T.N.; Starostin, K.G.; Meshcheryakova, I.A.; Peltek, S.E.; Slynko, N. Technology of miscanthus biomass saccharification using commercially available enzymes. Vavilov J. Genet. Breed. 2014, 18, 983–988. [Google Scholar]
- Lanzerstorfer, C. Combustion of Miscanthus: Composition of the Ash by Particle Size. Energies 2019, 12, 178. [Google Scholar] [CrossRef] [Green Version]
- IEA/OECD Perspectives des Technologies de l’Energie, Scénarios et Stratégies à l’horizon 2050, Synthèse et Implications Stratégiques. International Energy Agency (IEA). Available online: https://www.iea.org/reports/energy-technology-perspectives-2006 (accessed on 30 April 2021).
- Zegada-Lizarazu, W.; Parrish, D.; Berti, M.; Monti, A. Dedicated crops for advanced biofuels: Consistent and diverging agronomic points of view between the USA and the EU-27. Biofuels Bioprod. Biorefin. 2013, 7, 715–731. [Google Scholar] [CrossRef]
- Dillen, S.Y.; Djomo, S.N.; Al Afas, N.; Vanbeveren, S.; Ceulemans, R. Biomass yield and energy balance of a short-rotation poplar coppice with multiple clones on degraded land during 16 years. Biomass Bioenergy 2013, 56, 157–165. [Google Scholar] [CrossRef] [Green Version]
- Cadoux, S.; Ferchaud, F.; Demay, C.; Boizard, H.; Machet, J.-M.; Fourdinier, E.; Preudhomme, M.; Chabbert, B.; Gosse, G.; Mary, B. Implications of productivity and nutrient requirements on greenhouse gas balance of annual and perennial bioenergy crops. GCB Bioenergy 2014, 6, 425–438. [Google Scholar] [CrossRef]
- Virones, J.; Vo, L.; Arnoult, S.; Brancourt-Hulmel, M.; Navard, P. Miscanthus stem fragment—Reinforced polypropylene composites:development of an optimized preparation procedure at small scaleand its validation for differentiating genotypes. Polym. Test 2016, 55, 166–172. [Google Scholar] [CrossRef] [Green Version]
- Kumar, M.; Campbell, L.; Turner, S. Secondary cell walls:biosynthesis and manipulation. J. Exp. Bot. 2016, 67, 515–531. [Google Scholar] [CrossRef]
- Ralph, J.; Lapierre, C.; Boerjan, W. Lignin structure and itsengineering. Curr. Opin. Biotechnol. 2019, 56, 240–249. [Google Scholar] [CrossRef]
- Gallos, A.; Paes, G.; Allais, F.; Beaugrand, J. Lignocellulosicfibers: A critical review of the extrusion process for enhancementof the properties of natural fiber composites. RSC Adv. 2017, 7, 34638–34654. [Google Scholar] [CrossRef]
- Belmokhtar, N.; Arnoult, S.; Chabbert, B.; Charpentier, J.P.; Brancourt-Hulmel, M. Saccharification performances of Miscanthus atthe pilot and miniaturized assay scales: Genotype and year variabil-ities according to the biomass composition. Front. Plant Sci. 2017, 8, 740. [Google Scholar] [CrossRef] [PubMed] [Green Version]
- Vo, L.T.T.; Girones, J.; Jacquemot, M.-P.; Legée, F.; Cézard, L.; Lapierre, C.; Hage, F.E.; Méchin, V.; Reymond, M.; Navard, P. Correlationsbetween genotype biochemical characteristics and mechanicalproperties of maize stem—Polyethylene composites. Ind. Crops Prod. 2020, 143, 111925. [Google Scholar] [CrossRef]
- Yue-Kuang, S.-O.; Alvarado, C.; Antelme, S.; Bouchet, B.; Cézard, L.; le Bris, P.; Legée, F.; Maia-Grondard, A.; Yoshinaga, A.; Saulnier, L.; et al. Mutation in Brachypodium caffeic acid O-methyltransferase 6 al-ters stem and grain lignins and improves straw saccharificationwithout deteriorating grain quality. J. Exp. Bot. 2016, 67, 227–237. [Google Scholar] [CrossRef] [Green Version]
- Hage, F.; Legland, D.; Borrega, N.; Jacquemot, M.-P.; Griveau, Y.; Coursol, S.; Méchin, V.; Reymond, M. Tissue lignification, cell wall p-coumaroylation and degradability of maize stems de-pend on water status. J. Agric. Food Chem. 2018, 66, 4800–4808. [Google Scholar] [CrossRef]
- University of Illinois at Urbana-Champaign Institute for Sustainability, Energy, and Environment (2021). Energy Sorghum May Combine Best of Annual, Perennial Bioenergy Crops. Available online: https://phys.org/news/2021-01-energy-sorghum-combine-annual-perennial.html (accessed on 30 April 2021).
- Weger, J.; Knápek, J.; Bubeník, J.; Vávrová, K.; Strašil, Z. Can Miscanthus Fulfill Its Expectations as an Energy Biomass Source in the Current Conditions of the Czech Republic?—Potentials and Barriers. Agriculture 2021, 11, 40. [Google Scholar] [CrossRef]
- Lewandowski, I.; Clifton-Brown, J.; Trindade, L.M.; van der Linden, G.C.; Schwarz, K.-U.; Müller-Sämann, K.; Anisimov, A.; Chen, C.-L.; Dolstra, O.; Donnison, I.S.; et al. Progress on Optimizing Miscanthus Biomass Production for the European Bioeconomy: Results of the EU FP7. Proj. Optimisc Front. Plant Sci. 2016, 7, 1620. [Google Scholar] [CrossRef] [Green Version]
- Xue, S.; Kalinina, O.; Lewandowski, I. Present and future options for miscanthus propagation and establishment. Renew. Sustain. Energy Rev. 2015, 49, 1233–1246. Available online: http://authors.elsevier.com/a/1R3~O4s9HvhLFW (accessed on 30 April 2021). [CrossRef]
- Moll, L.; Wever, C.; Völkering, G.; Pude, R. Increase of Miscanthus Cultivation with New Roles in Materials Production—A Review. Agronomy 2020, 10, 308. [Google Scholar] [CrossRef] [Green Version]
- Witzel, C.-P.; Finger, R. Economic evaluation of Miscanthus production—A review. Renew. Sustain. Energy Rev. 2016, 53, 681–696. [Google Scholar] [CrossRef]
- Kiesel, A.; Lewandowski, I. Miscanthus as biogas substrate—Cutting tolerance and potential for anaerobic digestion. GCB Bioenergy 2017, 9, 153–167. [Google Scholar] [CrossRef]
- Von Cossel, M.; Möhring, J.; Kiesel, A.; Lewandowski, I. Optimization of specific methane yield prediction models for biogas crops based on lignocellulosic components using non-linear and crop-specific configurations. Ind. Crops Prod. 2018, 120, 330–342. [Google Scholar] [CrossRef]
- Olave, R.; Forbes, E.; Munoz, F.; Laidlaw, A.; Easson, D.; Watson, S. Performance of Miscanthus × giganteus (Greef et Deu) established with plastic mulch and grown from a range of rhizomes sizes and densities in a cool temperate climate. Field Crops Res. 2017, 210, 81–90. [Google Scholar] [CrossRef]
- Grams, J.; Kwapi’nska, M.; Jedrzejczyk, M.; Rze’znicka, I.; Leahy, J.J.; Ruppert, A.M. Surface characterization of Miscanthus giganteus and Willow subjected to torrefaction. J. Anal. Appl. Pyrolysis 2018, 138, 231–241. [Google Scholar] [CrossRef]
- Xue, S.; Lewandowski, I.; Kalinina, O. Miscanthus establishment and management on permanent grassland in southwest Germany. Ind. Crops Prod. 2017, 108, 572–582. [Google Scholar] [CrossRef]
- Gismatulina, Y.A.; Budaeva, V.V. Chemical composition of five Miscanthus sinensis harvests and nitric-acid cellulose therefrom. Ind. Crops Prod. 2017, 109, 227–232. [Google Scholar] [CrossRef]
- Bergs, M.; Do, X.T.; Rumpf, J.; Kusch, P.; Monakhova, Y.; Konow, C.; Volkering, G.; Pudeef, R.; Schulze, M. Comparing chemical composition and lignin structure of Miscanthus × giganteus and Miscanthus nagara harvested in autumn and spring and separated into stems and leaves. RSC Adv. 2020, 10, 10740. [Google Scholar] [CrossRef] [Green Version]
- El Hage, R.; Perrin, D.; Brosse, N. Effect of the pre-treatment severity on the antioxidant properties of ethanol organosolv Miscanthus × giganteus lignin. Nat. Resour. 2012, 3, 29–34. [Google Scholar] [CrossRef] [Green Version]
- Bauer, S.; Sorek, H.; Mitchell, V.D.; Ibáñez, A.B.; Wemmer, D.E. Characterization of Miscanthus × giganteus lignin isolated by ethanol organosolv process under reflux condition. J. Agric. Food Chem. 2012, 60, 8203–8212. [Google Scholar] [CrossRef] [PubMed]
- Ben Fradj, N.; Rozakis, S.; Borzęcka, M.; Matyka, M. Miscanthus in the European bio-economy: A network analysis. Ind. Crops Prod. 2020, 148, 112281. [Google Scholar] [CrossRef]
- Budenkova, E.; Sukhikh, S.; Ivanova, S.; Babich, O.; Dolganyuk, V.; Michaud, P.; Kriger, O. Improvement of Enzymatic Saccharification of Cellulose-Containing Raw Materials Using Aspergillus niger. Processes 2021, 9, 1360. [Google Scholar] [CrossRef]
- Virlouvet, L.; El Hage, F.; Griveau, Y.; Jacquemot, M.-P.; Gineau, E.; Baldy, A.; Legay, S.; Horlow, C.; Combes, V.; Bauland, C.; et al. Water deficit-responsive QTLs for cell wall degradability and composition inmaize at silage stage. Front. Plant Sci. 2019, 10, 488. [Google Scholar] [CrossRef] [PubMed]
- van der Weijde, T.; Huxley, L.M.; Hawkins, S.; Sembiring, E.H.; Farrar, K.; Dolstra, O.; Visser, R.G.F.; Trindade, L.M. Impact ofdrought stress on growth and quality of miscanthus for biofuelproduction. Glob. Chang. Biol. Bioenergy 2017, 9, 770–782. [Google Scholar] [CrossRef] [Green Version]
- Babich, O.O.; Krieger, O.V.; Chupakhin, E.G.; Kozlova, O.V. Miscanthus plants processing in fuel, energy, chemical and microbiological industries. Foods Raw Mater. 2019, 7, 411. [Google Scholar] [CrossRef]
- Utama, G.L.; Lestari, W.D.; Kayaputri, I.L.; Balia, R.L. Indigenous yeast with cellulose-degrading activity in napa cabbage (Brassica pekinensis L.) waste: Sharacterisation and species identification. Foods Raw Mater. 2019, 7, 321–328. [Google Scholar] [CrossRef]
- Eiland, F.; Leth, M.; Klamer, M.; Lind, A.-M.; Jensen, H.; Iversen, J. C and N Turnover and Lignocellulose Degradation During Composting of Miscanthus Straw and Liquid Pig Manure. Compost. Sci. Util. 2001, 9, 186–196. [Google Scholar] [CrossRef]
- Knapczyk, A.; Francik, S.; Wójcik, A.; Bednarz, G. Influence of Storing Miscanthus × gigantheus on Its Mechanical and Energetic Properties. In Renewable Energy Sources: Engineering, Technology, Innovation; Springer: Cham, Switzerland, 2018. [Google Scholar] [CrossRef]
- Kriger, O.; Budenkova, E.; Babich, O.; Suhih, S.; Patyukov, N.; Masyutin, Y.; Chupakhin, E.; Dolganuk, V. The process of producing bioethanol from delignified cellulose isolated from plants of the miscanthus genus. Bioengineering 2020, 7, 61. [Google Scholar] [CrossRef]
- Kondratenko, V.V.; Kondratenko, T.Y.; Petrov, A.N.; Belozerov, G.A. Assessing protopectin transformation potential of plant tissue using a zoned criterion space. Foods Raw Mater. 2020, 8, 348–361. [Google Scholar] [CrossRef]
- Krieger, O.V.; Budenkova, E.A.; Babich, O.O.; Sukhikh, S.A.; Voblikova, T.V. Features of the processing of cellulose-containing raw materials with Aspergillus niger enzyme systems to obtain bioethanol. IOP Conf. Ser. Earth Environ. 2021, 852, 012056. [Google Scholar] [CrossRef]
- Krieger, O.V.; Dolganyuk, V.F.; Prosekov, A.Y.; Izgaryshev, A.V.; Sukhikh, S.A. Features of processing the biomass of genus miscanthus plants into carbohydrate-containing substrates for biotechnology. IOP Conf. Ser. Earth Environ. Sci. 2021, 699, 012056. [Google Scholar] [CrossRef]
- Dolganuk, V.F.; Kriger, O.V.; Babich, O.O.; Sukhikh, S.A.; Chupakhin, Y.G. Selection of Parameters for Miscanthus Enzymolysis Using Cellulad Ultra in the Collection: Modern Approaches to the Development of Agro-Industrial, Chemical and Forestry Complexes. Problems, Trends, Prospects. Collection of Materials of the All-Russian Scientific-Practical Conference; Yaroslav-the-Wise Novgorod State University Velikiy: Novgorod, Russia, 2021; pp. 182–188. (In Russian) [Google Scholar]
- Lifton-Brown, J.; Lewandowski, I. Overwintering problems of newly established Miscanthus plantations can be overcome by identifying genotypes with improved rhizome cold tolerance. New Phytol. 2000, 148, 287–294. [Google Scholar] [CrossRef]
- Winkler, B.; Mangold, A.; von Cossel, M.; Clifton-Brown, J.; Pogrzeba, M.; Lewandowski, I.; Iqbal, Y.; Kiesel, A. Implementing miscanthus into farming systems: A review of agronomic practices, capital and labour demand. Renew. Sust. Energy Rev. 2020, 132, 110053. [Google Scholar] [CrossRef]
- Moore, K.J.; Kling, C.L.; Raman, D.R. A Midwest USA Perspective on Von Cossel et al.’s Prospects of Bioenergy Cropping Systems for a More Social-Ecologically Sound Bioeconomy. Agronomy 2020, 10, 1658. [Google Scholar] [CrossRef]
- Dorogina, O.V.; Vasilieva, O.Y.; Nuzhdina, N.S.; Buglova, L.V.; Gismatulina, Y.A.; Zhmud, E.V.; Zueva, G.A.; Komina, O.V.; Tsybchenko, E.A. Resource potential of some species of the genus Miscanthus Anderss. under conditions of the continental climate of Western Siberian forest-steppe. Vavilov J. Genet. Breed. 2018, 22, 553–559. [Google Scholar] [CrossRef]
- Ashman, C.; Awty-Carroll, D.; Mos, M.; Robson, P.; Clifton-Brown, J. Assessing seed priming, sowing date, and mulch film to improve the germination and survival of direct-sown Miscanthus sinensis in the United Kingdom. Glob. Chang. Biol. Bioenergy 2018, 10, 612–627. [Google Scholar] [CrossRef]
- Clifton-Brown, J.; Schwarz, K.-U.; Hastings, A. History of the development of Miscanthus as a bioenergy crop: From small be-ginnings to potential realisation. Biol. Environ. 2015, 115, 1–13. [Google Scholar]
- Strullu, L.; Ferchaud, F.; Yates, N.; Shield, I.; Beaudoin, N.; Garcia de Cortazar-Atauri, I.; Besnard, A.; Mary, B. Multisite Yield Gap Analysis of Miscanthus × giganteus Using the STICS Model. BioEnergy Res. 2015, 8, 1735–1745. [Google Scholar] [CrossRef]
- Purdy, S.J.; Maddison, A.L.; Nunn, C.P.; Winters, A.; Timms-Taravella, E.; Jones, C.M.; Clifton-Brown, J.C.; Donnison, I.S.; Gallagher, J.A. Could Miscanthus replace maize as the preferred substrate for anaerobic digestion in the United Kingdom? Future breeding strategies. Glob. Chang. Biol. Bioenergy 2017, 9, 1122–1139. [Google Scholar] [CrossRef] [PubMed] [Green Version]
- Knápek, J.; Vávrová, K.; Valentová, M.; Vašíˇcek, J.; Králík, T. Energy biomass competitiveness-three different views on biomass price. Wiley Interdiscip. Rev. Energy Environ. 2017, 6, e261. [Google Scholar] [CrossRef]
- Stolarski, M.J.; Snieg, M.; Krzyzaniak, M.; Tworkowski, J.; Szczukowski, S.; Graban, Ł.; Lajszner, W. Short rotation coppices, grasses and other herbaceous crops: Biomass properties versus 26 genotypes and harvest time. Ind. Crops Prod. 2018, 119, 22–32. [Google Scholar] [CrossRef]
- Robson, P.R.; Donnison, I.S.; Clifton-Brown, J.C. Stem growth characteristics of high yielding Miscanthus correlate with yield, development and intraspecific competition within plots. GCB Bioenergy 2019, 11, 1075–1085. [Google Scholar] [CrossRef]
- Mantineo, M.; D’agosta, G.M.; Copani, V.; Patanè, C.; Cosentino, S.L. Biomass yield and energy balance of three perennial crops for energy use in the semi-arid Mediterranean environment. Field Crops Res. 2009, 114, 204–213. [Google Scholar] [CrossRef]
- Scebba, F.; Arduini, I.; Ercoli, L.; Sebastiani, L. Cadmium effects on growth and antioxidant enzymes activities in Miscanthus sinensis. Biol. Plant. 2006, 50, 688–692. [Google Scholar] [CrossRef]
- El Achaby, M.; El Miri, N.; Hannache, H.; Gmouh, S.; Trabadelo, V.; Aboulkas, A.; Ben Youcef, H. Cellulose nanocrystals from Miscanthus fibers: Insights into rheological, physico-chemical properties and polymer reinforcing ability. Cellulose 2018, 25, 6603–6619. [Google Scholar] [CrossRef]
- Wever, C.; Van Tassel, D.L.; Pude, R. Third-Generation Biomass Crops in the New Era of De Novo Domestication. Agronomy 2020, 10, 1322. [Google Scholar] [CrossRef]
- Babich, O.; Dyshlyuk, L.; Noskova, S.; Sukhikh, S.; Prosekov, A.; Ivanova, S.; Pavsky, V. In vivo study of the potential of the carbohydrate-mineral complex from pine nut shells as an ingredient of functional food products. Bioact. Carbohydr. Diet. Fibre 2019, 18, 100185. [Google Scholar] [CrossRef]
- Rusinowski, S.; Krzyzak, J.; Clifton-Brown, J.; Jensen, E.; Mos, M.; Webster, R.; Sitko, K.; Pogrzeba, M. New Miscanthus hybrids cultivated at a Polish metal(loid)-contaminated site demonstrate superior stomatal regulation and reduced shoot Pb and Cd concentrations. Environ. Pollut. 2019, 252, 1377–1387. [Google Scholar] [CrossRef]
- Davey, C.L.; Robson, P.; Hawkins, S.; Farrar, K.; Clifton-Brown, J.C.; Donnison, I.S.; Slavov, G.T. Genetic relationships between spring emergence, canopy phenology, and biomass yield increase the accuracy of genomic prediction in Miscanthus. J. Exp. Bot. 2017, 68, 5093–5102. [Google Scholar] [CrossRef] [Green Version]
- Kožnarová, V.; Klabzuba, J. Recommendation of World Meteorological Organization to describing meteorological or climatological conditions—Information. Plant Soil Environ. 2011, 48, 190–192. [Google Scholar] [CrossRef] [Green Version]
- Szulczewski, W.; Zyromski, A.; Jakubowski, W.; Biniak-Pieróg, M. A new method for the estimation of biomass yield of giant Miscanthus (Miscanthus giganteus) in the course of vegetation. Renew. Sustain. Energy Rev. 2018, 82, 1787–1795. [Google Scholar] [CrossRef]
- Zub, H.W.; Brancourt-Hulmel, M. Agronomic and physiological performances of different species of Miscanthus, a major energy crop. A review. Agron. Sustain. Dev. 2010, 30, 201–214. [Google Scholar] [CrossRef] [Green Version]
- Kriger, O.V.; Babich, O.O.; Dolganyuk, V.F.; Kozlova, O.V.; Sukhikh, S.A.; Larichev, T.A. Bioethanol production from Miscanthus sinensis cellulose by bioconversion. Food Process. Tech. Technol. 2021, 51, 387–394. [Google Scholar] [CrossRef]
- Xue, S.; Lewandowski, I.; Wang, X.; Yi, Z. Assessment of the production potentials of Miscanthus on marginal land in China. Renew. Sustain. Energy Rev. 2016, 54, 932–943. [Google Scholar] [CrossRef]
- Vávrová, K.; Knápek, J.; Weger, J.; Králík, T.; Beranovský, J. Model for evaluation of locally available biomass competitiveness for decentralized space heating in villages and small towns. Renew. Energy 2018, 129, 853–865. [Google Scholar] [CrossRef]
- Danielewicz, D.; Dybka-Stępień, K.; Surma-Ślusarska, B. Processing of Miscanthus × giganteus stalks into various soda and kraft pulps. Part I: Chemical composition, types of cells and pulping effects. Cellulose 2018, 25, 6731–6744. [Google Scholar] [CrossRef] [Green Version]
- Zhong, R.; Ye, Z.H. Secondary cell walls: Biosynthesis, patterned deposition and transcriptional regulation. Plant Cell Physiol. 2015, 56, 195–214. [Google Scholar] [CrossRef] [Green Version]
- Hodgson, E.; Lister, S.; Bridgwater, T.; Clifton-Brown, J.; Donnison, I. Genotypic and environmentally derived variation in the cell wall composition of Miscanthus in relation to its use as a biomass feedstock. Biomass Bioenergy 2010, 34, 652–660. [Google Scholar] [CrossRef]
- Hastings, A.; Mos, M.; Yesufu, J.A.; McCalmont, J.; Schwarz, K.; Shafei, R.; Ashman, C.; Nunn, C.; Schuele, H.; Cosentino, S.; et al. Economic and Environmental Assessment of Seed and Rhizome Propagated Miscanthus in the UK. Front. Plant Sci. 2017, 8, 1058. [Google Scholar] [CrossRef] [Green Version]
- Christian, E.J. Seed Development and Germination of Miscanthus sinensis. Ph.D. Thesis, The University of Iowa, Iowa City, IA, USA, 2012; p. 12880. Available online: https://lib.dr.iastate.edu/etd/12880 (accessed on 18 March 2021).
- Bonin, C.L.; Mutegi, E.; Chang, H.; Heaton, E.A. Improved feedstock option or invasive risk? Comparing establishment and productivity of fertile Miscanthus giganteus to Miscanthus sinensis. Bioenergy Res. 2017, 10, 317–328. [Google Scholar] [CrossRef]
- Kalinina, O.; Nunn, C.; Sanderson, R.; Hastings, A.F.S.; van der Weijde, T.; Özgüven, M.; Tarakanov, I.; Schüle, H.; Trindade, L.M.; Dolstra, O.; et al. Extending Miscanthus Cultivation with Novel Germplasm at Six Contrasting Sites. Front. Plant Sci. 2017, 8, 563. [Google Scholar] [CrossRef] [Green Version]
- Tubeilen, F.; Rennie, T.J.; Goss, M.J. A review on biomass production from C4 grasses: Yield and quality for end-use. Curr. Opin. Plant Biol. 2016, 31, 172–180. [Google Scholar] [CrossRef]
- Blanco-Canqui, H.; Gilley, J.; Eisenhauer, D.; Boldt, A. Soil carbon accumulation under switchgrass barriers. Agron. J. 2014, 106, 2185–2192. [Google Scholar] [CrossRef] [Green Version]
- Robertson, A.D.; Davies, C.A.; Smith, P.; Stott, A.W.; Clark, E.L.; McNamara, N.P. Carbon inputs from Miscanthus displace older soil organic carbon without inducing priming. Bioenergy Res. 2017, 10, 86–102. [Google Scholar] [CrossRef]
- Jones, M.B.; Finnan, J.; Hodkinson, T.R. Morphological and physiological traits for higher biomass production in perennial rhizomatous grasses grown on marginal land. Glob. Chang. Biol. 2015, 7, 375–385. [Google Scholar] [CrossRef]
- Nijsen, M.; Smeets, E.; Stehfest, E. An evaluation of the global potential of bioenergy production on degraded lands. Glob. Chang. Biol. 2012, 4, 130–147. [Google Scholar] [CrossRef]
- Kapustyanchik, S.Y.; Burmakina, N.V.; Yakimenko, V.N. Evaluation of the ecological and agrochemical state of agrocenosis with long-term growing of Miscantus in Western Siberia. Agrohimia 2020, 9, 65–73. (In Russia) [Google Scholar] [CrossRef]
- Lewandowski, I.; Kicherer, A. Combustion quality of biomass: Practical relevance and experiments to modify the biomass quality of Miscanthus × giganteus. Eur. J. Agron. 1997, 6, 163–177. [Google Scholar] [CrossRef]
- Heaton, E.A.; Flavell, R.B.; Mascia, P.N.; Thomas, S.R.; Dohleman, F.G.; Long, S.P. Herbaceous energy crop development: Recent progress and future prospects. Curr. Opin. Plant Biol. 2008, 19, 202–209. [Google Scholar] [CrossRef] [PubMed]
- Cerazy-Waliszewska, J.; Jeżowski, S.; Łysakowski, P.; Waliszewska, B.; Zborowska, M.; Sobańska, K.; Ślusarkiewicz-Jarzina, A.; Białas, W.; Pniewski, T. Potential of bioethanol production from biomass of various Miscanthus genotypes cultivated in three-year plantations in west-central Poland. Ind. Crops Prod. 2019, 141, 111790. [Google Scholar] [CrossRef]
- Głowacka, K.; Ahmed, A.; Sharma, S.; Abbott, T.; Comstock, J.C.; Long, S.P.; Sacks, E.J. Can chilling tolerance of C4 photosynthesis in Miscanthus be transferred to sugarcane? GCB-Bioenergy 2016, 8, 407–418. [Google Scholar] [CrossRef]
- Zhang, Y.; Zahid, I.; Danial, A.; Minaret, J.; Cao, Y.; Dutta, A. Hydrothermal carbonization of Miscanthus: Processing, properties, and synergistic Co-combustion with lignite. Energy 2021, 225, 120200. [Google Scholar] [CrossRef]
- Lewandowski, A.; Lewandowska, W.; Sielski, J.; Dziku’c, M.; Wróbel, M.; Jewiarz, M.; Knapczyk, A. Sustainable Drying and Torrefaction Processes of Miscanthus for Use as a Pelletized Solid Biofuel and Biocarbon-Carrier for Fertilizers. Molecules 2021, 26, 1014. [Google Scholar] [CrossRef]
- Patel, M.K.; Bechu, A.; Villegas, J.D.; Bergez-Lacoste, M.; Yeung, K.; Murphy, R.; Woods, J.; Mwabonje, O.N.; Ni, Y.; Patel, A.D.; et al. Second-generation bio-based plastics are becoming a reality—Non-renewable energy and greenhouse gas (GHG) balance of succinic acid-based plastic end products made from lignocellulosic biomass. Biofuels Bioprod. Biorefin. 2018, 12, 426–441. [Google Scholar] [CrossRef]
- Harris, D.; De Bolt, S. Synthesis, regulation and utilization of lignocellulosic biomass. Plant Biotechnol. J. 2010, 8, 244–262. [Google Scholar] [CrossRef]
- Danielewicz, D.; Surma-Ślusarska, B.; Żurek, G.; Martyniak, D.; Kmiotek, M.; Dybka, K. Selected grass plants as biomass fuels and raw materials for papermaking, Part II: Pulp and paper properties. BioResources 2015, 10, 8552–8564. [Google Scholar] [CrossRef] [Green Version]
- Eschenhagen, A.; Raj, M.; Rodrigo, N.; Zamora, A.; Labonne, L.; Evon, P.; Welemane, H. Investigation of Miscanthus and Sunflower Stalk Fiber-Reinforced Composites for Insulation Applications. Adv. Civ. Eng. 2019, 2019, 1–7. [Google Scholar] [CrossRef]
- Wierzbicki, M.P.; Maloney, V.; Mizrachi, E.; Myburg, A.A. Xylan in the Middle: Understanding Xylan Biosynthesis and Its Metabolic Dependencies Toward Improving Wood Fiber for Industrial. Process. Front. Plant Sci. 2019, 10, 176. Available online: https://www.frontiersin.org/article/10.3389/fpls.2019.00176 (accessed on 22 March 2021). [CrossRef] [Green Version]
- Moll, L. Miscanthus für die nachhaltige baustoffliche Nutzung am Beispiel bindemittelfreier Faserplatten. Mitt. Ges. Pflanzenbauwiss. 2018, 30, 189–190. [Google Scholar]
- Klímek, P.; Wimmer, R.; Meinlschmidt, P.; Kúdela, J. Utilizing Miscanthus stalks as raw material for particleboards. Ind. Crops Prod. 2018, 111, 270–276. [Google Scholar] [CrossRef]
- Mangold, A.; Lewandowski, I.; Möhring, J.; Clifton-Brown, J.; Krzyzak, J.; Mos, M.; Pogrzeba, M.; Kiesel, A. Harvest date and leaf: Stem ratio determine methane hectare yield of miscanthus biomass. GCB Bioenergy 2019, 11, 21–33. [Google Scholar] [CrossRef]
- Gaj, T.; Gersbach, C.A.; Barbas, C.F. ZFN, TALEN, and CRISPR/Cas-based methods for genome engineering. Trends Biotechnol. 2013, 31, 397–405. [Google Scholar] [CrossRef] [Green Version]
- Bilandzija, N.; Jurisic, V.; Voca, N.; Leto, J.; Matin, A.; Sito, S.; Kricka, T. Combustion properties of Miscanthus × giganteus biomass—Optimization of harvest time. J. Energy Inst. 2017, 90, 528–533. [Google Scholar] [CrossRef]
- Evans, J.R. Improving photosynthesis. Plant Physiol. 2013, 162, 1780–1793. [Google Scholar] [CrossRef] [Green Version]
- Peças, P.; Carvalho, H.; Salman, H.; Leite, M. Natural fiber Composites and Their Applications: A Review. J. Compos. Sci. 2018, 2, 66. [Google Scholar] [CrossRef] [Green Version]
- Kapustyanchik, S.Y.; Danilova, A.A.; Likhenko, I.E. Miscanthus sacchariflorus in Siberia—Biological yield parameters and dynamics of biofilic elements. Agric. Biol. 2021, 56, 121–134. [Google Scholar] [CrossRef]
- Masters, M.D.; Black, C.K.; Kantola, I.B.; Woli, K.P.; Voigt, T.; David, M.V.; DeLucia, E.N. Soil nutrient removal by four potential bioenergy crops: Zea mays, Panicum virgatum, Miscanthus × giganteus, and prairie. Agric. Ecosyst. Environ. 2016, 216, 51–60. [Google Scholar] [CrossRef] [Green Version]
- Maughan, M. Miscanthus × giganteus productivity: The effects of management in different environments. Glob. Chang. Biol. 2012, 4, 253–265. [Google Scholar] [CrossRef]
- Oliveira, J.A.; West, C.P.; Afif, E.; Palencia, P. Comparison of Miscanthus and Switchgrass cultivars for biomass yield, soil nutrients, and nutrient removal in Northwest Spain. Agron. J. 2017, 109, 122–130. [Google Scholar] [CrossRef] [Green Version]
- Dufosse, K.; Drewer, J.; Gabrielle, B.; Drouet, J.-L. Effects of a 20-year old Miscanthus × giganteus stand and its removal on soil characteristics and greenhouse gas emissions. Biomass Bioenergy 2014, 69, 198–210. [Google Scholar] [CrossRef]
- Nunn, C.; Hastings, A.F.S.J.; Kalinina, O.; Özgüven, M.; Schüle, H.; Tarakanov, I.G.; Van Der Weijde, T.; Anisimov, A.A.; Iqbal, Y.; Kiesel, A.; et al. Environmental influences on the growing season duration and ripening of diverse Miscanthus germplasm grown in six countries. Front. Plant Sci. 2017, 8, 1–14. [Google Scholar] [CrossRef] [Green Version]
- Muthuraj, R.; Misra, M.; Mohanty, A.K. Biocomposite consisting of miscanthus fiber and biodegradable binary blend matrix: Compatibilization and performance evaluation. RSC Adv. 2017, 7, 27538–27548. [Google Scholar] [CrossRef] [Green Version]
- Klikocka, H.; Kasztelan, A.; Zakrzewska, A.; Wyłupek, T.; Szostak, B.; Skwaryło-Bednarz, B. The Energy Efficiency of the Production and Conversion of Spring Triticale Grain into Bioethanol. Agronomy 2019, 9, 423. [Google Scholar] [CrossRef] [Green Version]
- Sokólski, M.; Jankowski, K.J.; Załuski, D.; Szatkowski, A. Productivity, Energy and Economic Balance in the Production of Different Cultivars of Winter Oilseed Rape. A Case Study in North-Eastern Poland. Agronomy 2020, 10, 508. [Google Scholar] [CrossRef] [Green Version]
- Tanaka, Y.; Sugano, S.S.; Shimada, T.; Hara-Nishimura, I. Enhancement of leaf photosynthetic capacity through increased stomatal density in Arabidopsis. New Phytol. 2013, 198, 757–764. [Google Scholar] [CrossRef] [PubMed]
- Robles-Aguilar, A.A.; Temperton, V.M.; Jablonowski, N.D. Maize silage digestate application affecting germination and early growth of maize modulated by soil type. Agronomy 2019, 9, 473. [Google Scholar] [CrossRef] [Green Version]
- Dietrich, C.C.; Rahaman, M.A.; Robles-Aguilar, A.A.; Latif, S.; Intani, K.; Müller, J.; Jablonowski, N.D. Nutrient Loaded Biochar Doubled Biomass Production in Juvenile Maize Plants (Zea mays L.). Agronomy 2020, 10, 567. [Google Scholar] [CrossRef] [Green Version]
- Cumplido-Marin, L.; Graves, A.R.; Burgess, P.J.; Morhart, C.; Paris, P.; Jablonowski, N.D.; Facciotto, G.; Bury, M.; Martens, R.; Nahm, M. Two Novel Energy Crops: Sida hermaphrodita (L.) Rusby and Silphium perfoliatum L.—State of Knowledge. Agronomy 2020, 10, 928. [Google Scholar] [CrossRef]
- Kapustyanchik, S.Y.; Yakimenko, V.N.; Gismatulina, Y.A.; Budaeva, V.V. Miscanthus—A Promising Energy Crop for Industrial Processing. Ecol. Ind. Russ. 2021, 25, 66–71. [Google Scholar] [CrossRef]
- Liu, L.; Li, H.; Lazzaretto, A.; Manente, G.; Tong, C.; Liu, Q.; Li, N. The development history and prospects of biomass-based insulation materials for buildings. Renew. Sustain. Energy Rev. 2017, 69, 912–932. [Google Scholar] [CrossRef]
- Feledyn-Szewczyk, B.; Matyka, M.; Staniak, M. Comparison of the Effect of Perennial Energy Crops and Agricultural Crops on Weed Flora Diversity. Agronomy 2019, 9, 695. [Google Scholar] [CrossRef] [Green Version]
- Eichler-Löbermann, B.; Busch, S.; Jablonowski, N.D.; Kavka, M.; Brandt, C. Mixed cropping as affected by phosphorus and water supply. Agronomy 2020, 10, 1506. [Google Scholar] [CrossRef]
Publisher’s Note: MDPI stays neutral with regard to jurisdictional claims in published maps and institutional affiliations. |
© 2021 by the authors. Licensee MDPI, Basel, Switzerland. This article is an open access article distributed under the terms and conditions of the Creative Commons Attribution (CC BY) license (https://creativecommons.org/licenses/by/4.0/).


