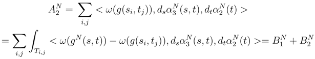
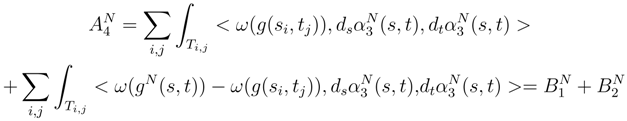
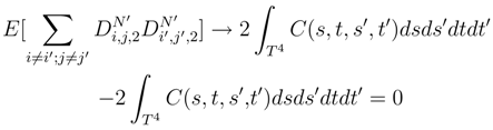
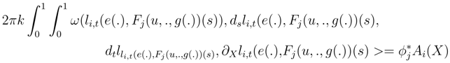
Abstract
We define heat kernel measure on punctured spheres. The random field which is got by this procedure is not Gaussian. We define a stochastic line bundle on the loop space, such that the punctured sphere corresponds to a generalized parallel transport on this line bundle. Markov property along the sewing loops corresponds to an operadic structure of the stochastic W.Z.N.W. model.
A.M.S. classification:
55P48; 60G60; 81T40; 82B31
1 Introduction
In conformal field theory, people look at a Riemann surface Σ with boundary ∂Σ, and the set of maps from Σ into a Riemannian manifold M. The case which will be of interest for us in this present work is when the genus of the Riemann surface is 0. This corresponds to a punctured sphere. We suppose that there are one input loop and n output loop. The map from Σ into M are chosen at random, with the formal probability law:
where dD is the formal Lebesgue measure, I(ψ) the energy of the map and Z a normalizing constant called the partition function destinated to get a probability law. Segal [46] has given a series of axioms which should be satisfied by this theory. In particular, conformal field theory predicts the existence of an Hilbert space Ξ associated to each loop space such that the surface Σ realizes a map from Ξ⊗n into Ξ, if we consider the case of the (n + 1)-punctured sphere. Hom(Ξ⊗n, Ξ) is the archetype of an operad. Namely, if we consider n elements of Hom(Ξ⊗ni, Ξ) and an element of Hom(Ξ⊗n, Ξ), we deduce by composition an element of Hom(Ξ⊗Σni, Ξ). This composition operation will correspond to the operation of glueing n 1 + ni punctured spheres in a sphere with (1 + ∑ni) punctured points. For the literature about this statement, we refer to [22], [24], [21], [49]. For material about operads, we refer to the proceedings of Loday, Stasheff and Voronov ([39]).
The problem of the measure dµ is that it is purely hypothetical: in the case when the manifold M is replaced by R, it is a Gaussian measure, which gives random distributions (See [42], [48], [19]). But it is difficult to say what are distributions that live on a manifolds.
Our statement is the following:
-)Define a measure over the space of spheres with 1 + n punctured points.
-)Define an Hilbert space Ξ associated to each loop space given the punctured points on the sphere.
-)Define associated to the sphere with 1+n punctured points an element of Hom(Ξ⊗n, Ξ), such that the application is compatible with the action of sewing spheres along their boundary.
For that, we use the theory of infinite dimensional process, especially the theory of Brownian motion over a loop group of Airault-Malliavin [1] and Brzezniak-Elworthy [7]. Let us recall that the theory of infinite dimensional processes over infinite dimensional manifolds has a lot of aspects. The first who have studied Brownian motion over infinite dimensional manifolds is Kuo [27]. The Russian school has its own version [4], [11], [5]. The theory of Dirichlet forms allows to study Ornstein-Uhlenbeck processes over some loop spaces [12], [2]. Our study is related to the theory of Airault-Malliavin, but in order to produce random cylinders, Airault-Malliavin consider a 1+1 dimensional theory: the first 1 is related to the dimension of the propagation time of the dynamics and the second 1 is involved with the internal time of the theory (The loop space). Our theory is 1+2 dimensional, because the internal time of the theory is 2 dimensional.
1+2 dimensional theories were already studied by Léandre in [31] in order to study the Wess-Zumino-Novikov-Witten model on the torus, in [32] in order to study Brownian cylinders attached to branes and in [35] in order to study one of the concretisation of Segal’s axiom by using Ck random fields. In [30] and in [31], stochastic line bundles are used. In [29], we give a general construction of 1 + n dimensional theory, and we perform a theory of large deviation, in order to compute the action of the theory. In [33], we study stochastic cohomology of the space of random spheres, related to operads (For the aspect of operads related to n-fold loop space, we refer to the proceeding of Loday-Stasheff-Voronov [39]). The problem in [35] is that there is no Markov property of the random field, such that we cannot realize an operad by sewing punctured spheres.
Our goal is to construct a 1+2 dimensional Wess-Zumino-Novikov-Witten model on the punctured sphere, which is Markovian on the boundary on the sphere. This Markov property allow us to realize an operad, by sewing random spheres along their boundary. For the material of sewing surfaces, by using the formal measure of physicist, we refer to the surveys of Gawedzki ([19], [16], [17]).
We thank the warm hospitality of Maphysto, department of Mathematics, of the University of Aarhus, where this work was done.
2 Punctured random spheres and markov property
In order to construct a sphere with 1 + n punctured points, we define first a sphere with 1 + 2 punctured points (a pant), and we sew the pants along their boundary.
We consider a compact connected Lie group G of dimension d, equipped with its bi-invariant metric. We can imbedd it isometrically in a special orthogonal group.
We consider the Hilbert space H of maps from S1 × [0, 1] into the real line R endowed with the following Hilbert structure:
where S = (s, t) belongs to S1 × [0, 1] We can consider the free loop space of maps from S1 into R with the Hilbert structure:
We can find an element e(s) of this Hilbert space such that
where e(s) = λ exp[− s] + µ exp[s] for 0 ≤ s ≤ 1 such that e(0) = e(1) but e′(0) ≠ e′(1).
h(0) =< h, e >
We add in (2) the Neumann boundary condition:
Let us recall that the Green kernel over [0, 1] associated to the Hilbert space of functions from [0, 1] into R with Neumann boundary condition, associated to the Hilbert structure:
satisfies to
where
depend smoothly on t. The Green kernel associated to the Hilbert structure (2) are the product of the one dimensional Green kernel es(s′)et(t′) = Es,t(s′, t′).
∂/∂th(s, 0) = ∂/∂th(s, 1) = 0
depend smoothly on t. The Green kernel associated to the Hilbert structure (2) are the product of the one dimensional Green kernel es(s′)et(t′) = Es,t(s′, t′).We would like to consider the same Hilbert space with the constraint h(s1, 1) = h(s2, 1) = 0 for two given times s1 < s2 (We can choose another condition, but we choose the simplest condition for the sake of simplicity). When we add this condition, we get another Hilbert space H1 which is a finite codimensional subspace of the initial Hilbert space H.
We can find an orthonormal basis of the orthogonal complement of H1 constituted from two maps h1(s, t) and h2(s, t) which are smooth in (s, t). Let us consider the Brownian motion with values in H. It is a 3 dimensional Gaussian process Bu(s, t) where u denotes the propagation time and (s, t) the internal time. The covariance between B.(s, t) and B.(s′, t′) is Es,t(s′, t′). The Brownian motion with values in H1 can be seen as
where (α1, β1, γ1) are deterministic constants and
and
are two R-valued independent Brownian motion. In the sequel, we will choose this procedure in order to construct the Brownian motion B1,u(S) with values in H1.
and
are two R-valued independent Brownian motion. In the sequel, we will choose this procedure in order to construct the Brownian motion B1,u(S) with values in H1.Let us consider the time t = 1 where the loop splits in two loops given by s1 and s2. We get after this splitting two circles. We consider the Hilbert space H2 of maps from S1 × [0, 1] into R submitted to the boundary conditions h(s, 0) = h(s, 1) = 0 with the Hilbert structure:
In fact we should introduce some normalizing constant due to the fact that we do not consider the normalized Lebesgue measure over each circles given by splitting the circle into 2 circles. The Green kernel associated to this problem is the product of the Green kernel associated to (3) and the Green kernel associated to the Hilbert space of functions from [0, 1] into R equal to 0 in t = 0 and t = 1 associated to the Hilbert structure
. The Green kernel associated to this Hilbert space are of the type
where at and bt are smooth. Therefore the Green kernel,
, associated to the Hilbert space H2 satisfy to
We consider an analogous Hilbert space H3 with the Hilbert structure (9) and the boundary condition h(s, 0) = 0 (without the boundary condition h(s, 1) = 0). The Green kernel in t are of the type
and the global Green kernel satisfy to
. The Green kernel associated to this Hilbert space are of the type
, associated to the Hilbert space H2 satisfy to
Over each Hilbert space, we consider the Brownian motion Bi,.(., .). Let Σ be a pant (The elementary surface). Its boundary is constituted of circles, and we get tubes near the output boundary S1 × [0, 1/2] and tube near the input boundary S1 × [1/2, 1]. Near the boundary, we consider the Brownian motion with values in H3, by taking care that the starting condition h(s, 0) = 0 is inside Σ for an output boundary and this condition is outside Σ for an input boundary. We choose 3 independent Brownian motion
(.) over H3. We multiply these Brownian motions by a deterministic function g(t) equal to 0 only at 0 and 1 such that g(1/2)
(., 1/2) corresponds to a normalized circle of length 1. Outside these boundary tubes, we consider over the cylinder with constraint h(s1, 1) = h(s2, 1) = 0, a Brownian motion with values in H1, chosen independently of the others Brownian motions, but which intersect the input boundary tube on the cylinder S1 × [1 − ∊, 1]: we multiply by a smooth function g(t) > 0 which is 0 only in 1 − ∊. When the loop s → h(s, t) splits in two loops, we get two loops: we add the Brownian motion with values in H2 over each (Two independent one modulo some normalizing constants), and we get two cylinders which intersect the exit tube S1 × [0, 1/2] over the tube S1 × [0, ∊]. We mutiply these Brownian motion by a smooth function g(t) > 0, and which is 0 on ∊.
(.) over H3. We multiply these Brownian motions by a deterministic function g(t) equal to 0 only at 0 and 1 such that g(1/2)
(., 1/2) corresponds to a normalized circle of length 1. Outside these boundary tubes, we consider over the cylinder with constraint h(s1, 1) = h(s2, 1) = 0, a Brownian motion with values in H1, chosen independently of the others Brownian motions, but which intersect the input boundary tube on the cylinder S1 × [1 − ∊, 1]: we multiply by a smooth function g(t) > 0 which is 0 only in 1 − ∊. When the loop s → h(s, t) splits in two loops, we get two loops: we add the Brownian motion with values in H2 over each (Two independent one modulo some normalizing constants), and we get two cylinders which intersect the exit tube S1 × [0, 1/2] over the tube S1 × [0, ∊]. We mutiply these Brownian motion by a smooth function g(t) > 0, and which is 0 on ∊.After performing all these glueing operations, we get an infinite dimensional Gaussian process parametrized by [0, 1] × Σ u → Btot,u(.), Which is an infinite dimensional Brownian motion with values in a suitable Hilbert space of functions on Σ which satisfies to the following properties:
-)For all S ∈ Σ, u → Btot,u(S) is a Gaussian martingale.
-)(u, S) → Btot,u(S) is almost surely Hölder, and if <,> denotes the right bracket of the martingale theory, we get for u ≤ 1
over each elementary parts of the pant Σ where the construction is done. Moreover, over the pant Σ, (u, S) → Btot,u(S) is almost surely continuous.
c)Over each boundary of the pant, u → Btot,u(S) are independent.
In order to curve these Gaussian processes, we use the theory of Brownian motion over a loop group of Airault-Malliavin [1] and Brzezniak-Elworthy [7].
Let ei be a basis of the Lie algebra of G. Lert
(.) be d independent copies of Btot,..(S). We write
. We consider the equation in Stratonovitch sense:
starting from e, the unit element in the group G..
(.) be d independent copies of Btot,..(S). We write
. We consider the equation in Stratonovitch sense:
We get (See [29], [31]) for proof in a closed context.
Theorem 2.1:
Over each elementary part of the pant where the leading Brownian motion is constructed, the random field S → g1(S) is almost surely 1/2 − ∊ Hölder. Moreover, the random field on Σ: S → g1(S) is almost surely continous, and its restriction on each circle on the boundary are independent.
In order to get a general (1 + n) punctured sphere, we sew successively pants, which are independent, except on the boundary, with a glueing condition. This glueing condition is, when we sew an exit loop of a pant to an input loop of another pant, we choose the same Brownian motion on H3. We can do that, because the restriction to S1 × {1/2} are the same. We get by that a tree or a punctured sphere Σ(1, n). We get:
Theorem 2.2:
Over each punctured sphere Σ(1, n), the random field S → g1(S) got after this sewing procedure is almost surely continuous.
By using this procedure, if we consider a (1 + n) punctured spheres Σ(1, n) and n punctured spheres Σ(1, ni), we can glue the input loop to each Σ(1, ni) to the output loop of Σ(1, n) and we get a sphere Σ(1, Σni). We suppose that all the data in this sewing procedure are independents, except for the Brownian motion in H3 when we sew an output boundary in Σ(1, n) to an input boundary in Σ(1, ni). Let us suppose that the random fields are sewed on the loops (∂Σ)i.
We get some thing like a Markov property along the sewing boundary:
Theorem 2.3:
The random field S → g1(S) over Σ(1, ∑ni) are conditionally independent over each Σ(1, ni) and over Σ(1, n) conditionally to each (∂Σ)i.
Proof:
We remark that for H3
and that
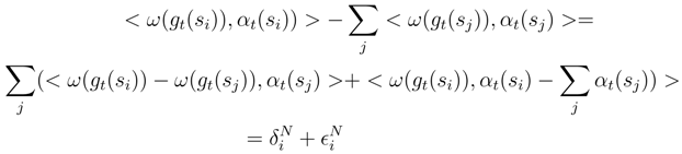
because in the t direction in H3, we have the covariance of a Brownian motion. This shows that the process
(., t + 1/2) −
(., t) and
(., 1/2 − t′) −
(., 1/2) are independent. The only problem in establishing the Markov property lies near the boundary. But if we we write
we get that, after imbedding the group G in a matrix algebra
and we write dBtot,u(S′) = dBtot,u(S′) − dBtot,u(S) + dBtot,u(s) and we distribute in (18). Let us choose two points on the same component of the boundary S1, S2 in the boundary, and two points S′ and S” not on the side of the boundary. We get that g1(S′) − g1(S1) and g1(S”) − g1(S2) are conditionnally independent when we suppose given the random field g1(S) on the boundary. Therefore the result.
(., t + 1/2) −
(., t) and
(., 1/2 − t′) −
(., 1/2) are independent. The only problem in establishing the Markov property lies near the boundary. But if we we write
◊
3 Line integrals
When we consider the random punctured sphere Σ(1, n), we get vertical loops given by s → g1(s, t). Since Σ(1, n) is built from elementary pants Σ(1, 2), it is enough to look each vertical loop s → g1(s, t) over each elementary pants.
They are of 4 types:
-)The loop near the input boundary (Hilbert space H1 ⊕ H2).
-)The loops in the body of the pants (Hilbert space H1).
-)The two loops which are created from a big loop (Hilbert space H1 ⊕ H2).
-)The loops near the exit boundary (Hilbert space H2 ⊕ H3).
Let us consider a one form ω over G. We would like to define for each type of this loop the stochastic Stratonovitch integral:
We extend conveniently the one form ω in a smooth form bounded as well as all its derivatives over the matrix algebra where the matrix group is imbeddded. The technics are very similar to the technics of [31], part III.
Let dBu be a Brownian motion with values in the Lie algebra of G. We consider the solution of the stochastic differential equation which gives the Brownian motion from e in the Lie group G:
The equation of the differential of the differential of the stochastic flow associated to (21) is given (See [23], [26], [6]) by
and the inverse of the differential of the the flow is given by an analoguous equation. It can be identified to gu.
dugu = guduBu
duφu = φuduBu
Let us consider a finite dimensional family Bu(α) of Brownian motion in the Lie algebra of G depending smoothly of a finite dimensional parameter α where α lives in a finite dimensional family of Brownian motion. We consider the stochastic differential equation depending on a parameter:
The solution of the equation (15) has a smooth version in the finite dimensional parameter α.
dgu(α) = gu(α)duBu(α)
∂/∂αgu(α) is for instance the solution of the linear stochastic differential equation with second member:
This equation can be solved by the method of variation of the constant. We get:
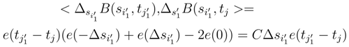
We will write s → Btot,.(s, t) = B.(s), and in order to define stochastic line integrals, we will follow the method of [30] and [31], but in this case, it is much more simpler, because there is no conditioning. By using the properties of the Hilbert structure given H1, H2 and H3, the covariance between B.(s) and B.(s′) is given by e(s− s′). Let us suppose that 0 ≤ s ≤ s+∆s ≤ t ≤ t+∆t ≤ 1, and let us compute the covariance of B.(s + ∆s) − B.(s) and of B.(t + ∆t) − B.(t). It is given by
because e is smooth over [−1, 0] ∼ [0, 1]( We use the periodicity assumption over e(.). The only singularity in e(.) comes from 0 identified to 1 in the circle).
du∂/∂u(α) = ∂/∂αgu(α)duBu(α) + gu(α)du∂/∂αBu(α)
This shows us that we can diagonalize the four non independent Brownian motions B.(s), B.(s+∆s), B.(t), B.(t + ∆t). We find 2 couples of independent Brownian motions (w.(1), w.(2)) and (w.(3), w.(4)) such that:
Moreover t does not belong to [s, s + ∆s], such that the covariance of B.(s + ∆s) − B.(s) and B.(t) behaves as ∆s because e(s + ∆s − t) − e(s − t). = e′(s − t)∆s + O(∆s)2.
Moreover,
because e(s+∆s− s)− e(0) = e′ (0)∆s = +O(∆s)2 because e has semi-derivatives in 0 and ∆s > 0 and B.(s + ∆s) has a constant variance. From (26), we deduce that < w.(1),w.(4) >= O
, < w.(3), w.(2) >= O
and that the correlator < w.(2),w.(4) >= O
. We remark that
.
, < w.(3), w.(2) >= O
and that the correlator < w.(2),w.(4) >= O
. We remark that
.We imbed G isometrically in a space of linear matrices. It follows from the previous considerations that in law
where
. We don’t write the analoguous expression for
. There is a double integral in dw.(2) where the simple derivative of β(s,∆) in
appear and a simple integral where the second derivative in
of α(s, ∆s) and β(s,∆s) appear. (.) is the time of the differential equation (15). Moreover, in law:
Let f and h be 2 smooth functions over the matrix space. We suppose they are bounded as well as their derivatives of all orders. We have the estimate which follows from the properties listed after (27), (28) (29):
where C(s,t) is continuous. Namely, we conditionate by w.(2) and w.(4). There are terms which are w.(1) and w.(3) measurables in the expression we want to estimate. When we conditionate by w.(2) and w.(4), the expressions which are got belong to all the Sobolev spaces of Malliavin Calculus in w.(2) and w.(4). We can apply Clark-Ocone fortmula ([43]) to these expressions. We deduce since < w.(3),w.(2) >= O
and < w.(1),w.(4) >= O
that the Itô integral which appears in the Clark-Ocone formula are in O
dw.(2) and in O
dw.(4). These leads to expressions of the type,
where we used either Itô integral or Stratonovitch integral. We convert it in Skorokhod integral (whose expectation is 0) and we find a counterterm in O(∆s) (We can suppose that ∆s = ∆t as we will do in the sequel). For that we used the following result: let f a smooth functional with bounded derivatives of all orders in a finite number of gu(s) or in gu(t). Let F the associated Wiener cylindrical functional. Let
. It is a smooth functional in the sense of Malliavin Calculus in w.(2), w.(4) and its derivatives
have an estimate in O(
)k
. We don’t write the analoguous expression for
. There is a double integral in dw.(2) where the simple derivative of β(s,∆) in
appear and a simple integral where the second derivative in
of α(s, ∆s) and β(s,∆s) appear. (.) is the time of the differential equation (15). Moreover, in law:
and < w.(1),w.(4) >= O
that the Itô integral which appears in the Clark-Ocone formula are in O
dw.(2) and in O
dw.(4). These leads to expressions of the type,
. It is a smooth functional in the sense of Malliavin Calculus in w.(2), w.(4) and its derivatives
have an estimate in O(
)kWe consider a smooth 1-form ωv in the spaces of matrices with bounded derivatives of all orders which depends smoothly from a finite dimensional parameter v. We suppose that the derivatives in the parameter v are bounded.
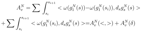
We consider 2N, N being a big integer, and the dyadic subdivision of [0,1] associated to 2N. We call it si with si < si+1 such that si+1 − si = 2−N. If s ∈ [si, si+1], we call
is piecewise differentiable. We consider the random variable:
is piecewise differentiable. We consider the random variable:
Let us give the following decomposition of
:
The Itô term is
(δ) and the Stratonovitch counterterm is
(<, >). The Itô term can be divided into two pieces: the first one is when in (30) we take the term in
and the second one is when we take in (31) the term in
. We get the decomposition, of the Itô term in
. The term which diverges ”a priori” is
(δ1). But we can use (32), and show that when N → ∞,
where C(s, t) is continuous.
:
(δ) and the Stratonovitch counterterm is
(<, >). The Itô term can be divided into two pieces: the first one is when in (30) we take the term in
and the second one is when we take in (31) the term in
. We get the decomposition, of the Itô term in
. The term which diverges ”a priori” is
(δ1). But we can use (32), and show that when N → ∞,
Moreover, the second part in the Itô term checks clearly:
Since the counterterm which is due to the Stratonovitch correction is a ”a priori” less diverging, we can see in an analoguous way that:
These remarks justify but not prove the following proposition:
Proposition 3.1:
When N → ∞, the sequence of random variables
tends in L2 to a limit random variable called
. Moreover, there exists a smooth version of the line integral Av in v.
tends in L2 to a limit random variable called
. Moreover, there exists a smooth version of the line integral Av in v.Proof:
Let us forget for the moment the parameter v. Let us write:
where
is the Bracket term
and
is the Itô term:
We write
where
and
is the Bracket term
is the Itô term:
First step: convergence of ∑
.
.In
whose writing is derived from (24) by taking another derivative, there is a linear integral which comes from the second derivative of α(si + ∆si), from a second derivative in β(s,∆s) in
and a double integral which comes from taking only one derivative in β(s,∆s). The term in the linear integral can be treated in the following way: we get ∑
. If M > N
In order to compute
, we write si+1 − si = ∑sj+1 − sj such that we can write the sum to estimate
is the term in the simple integral where we take the second derivatives in
of α(s,∆s) and β(s,∆s). The terms which are integrated depend continuously from s. Therefore the contribution where we take two derivatives of α(s,∆s) vanish. It remains to consider the contribution where we take two derivatives of β(s,∆s). We can replace the terms considered by
where we have replaced the term in two derivatives by
. We write B.(s + ∆si) − B.(si) = ∑B.(sj + ∆sj) − B.(sj) and we see that < B.(sj + ∆sj) − B.(sj), B.(sj′ + ∆sj′) − B.(sj′) >= O(∆sj∆sj′) if j ≠ j′ and equal to O(∆sj)) if j = j′. This shows that the L2 norm of
behaves as O(1/N)∆sj because ω(g1(s)) depends continuously of s and after using the desintegration argument used after (32).
whose writing is derived from (24) by taking another derivative, there is a linear integral which comes from the second derivative of α(si + ∆si), from a second derivative in β(s,∆s) in
and a double integral which comes from taking only one derivative in β(s,∆s). The term in the linear integral can be treated in the following way: we get ∑
. If M > N
, we write si+1 − si = ∑sj+1 − sj such that we can write the sum to estimate
is the term in the simple integral where we take the second derivatives in
of α(s,∆s) and β(s,∆s). The terms which are integrated depend continuously from s. Therefore the contribution where we take two derivatives of α(s,∆s) vanish. It remains to consider the contribution where we take two derivatives of β(s,∆s). We can replace the terms considered by
. We write B.(s + ∆si) − B.(si) = ∑B.(sj + ∆sj) − B.(sj) and we see that < B.(sj + ∆sj) − B.(sj), B.(sj′ + ∆sj′) − B.(sj′) >= O(∆sj∆sj′) if j ≠ j′ and equal to O(∆sj)) if j = j′. This shows that the L2 norm of
The problem arises when we take the double integral. In order to study the behaviour of its sum, we can replace w.(2) in (27) by B.(si + ∆si) − B.(si) and take the double stochastic integral which is associated by taking the derivative of the flow φu(si) associted to the equation dgu(si) = gu(si)dBu(si). Namely, we consider a double integral of the type
which behaves modulo an error term in O(∆si)3/2 as
For the convergence of
, we can assimilate
with the double integral αu(si) after performing these replacements. Let N′ > N and sj be the dyadic subdivision which is associated. We sum over [sj, sj+1] ⊆ [si, si+1]. We get:
The sum of the first term tends to 0 in L2. The difficult term is to estimate the term in
. In the double integral which compose αt(si), we write
We distribute the integrands. Over each dB.(si + ∆si) − dB.(si), there is in the double integral a term which B.(si) measurable, which is adapted and which depends on a continuous way of si. Since it depends on a continuous way from si, we can replace it when we distibute by the corresponding term in sj in αt(si). After distributing in αt(si) − ∑αt(sj), the diagonal term are substracting, and it remains to study the process
We decompose the semi martingale
into a finite variational part which converges by using (26) to 0 and a martingale part
. Namely, we can convert the double Stratonovitch integral which appears in (54) in an Itô integral. The boring term arises when we replace the double Stratonovitch integral by an Itô integral in (54). We would like to show that this martingale tends to 0. For that, we compute its quadratic variation. We get a sum over all quadruple [sj1, sj1+1], [sj2, sj2+1], [sj3, sj3+1] and [sj4, sj4+1].
, we can assimilate
with the double integral αu(si) after performing these replacements. Let N′ > N and sj be the dyadic subdivision which is associated. We sum over [sj, sj+1] ⊆ [si, si+1]. We get:
. In the double integral which compose αt(si), we write
into a finite variational part which converges by using (26) to 0 and a martingale part
. Namely, we can convert the double Stratonovitch integral which appears in (54) in an Itô integral. The boring term arises when we replace the double Stratonovitch integral by an Itô integral in (54). We would like to show that this martingale tends to 0. For that, we compute its quadratic variation. We get a sum over all quadruple [sj1, sj1+1], [sj2, sj2+1], [sj3, sj3+1] and [sj4, sj4+1].-First case: let us suppose that all the elements of the quadruple are different. The contribution of each quadruple is in 2−4N′ by the properties listed after (27), (28), (29) which express that the covariance of B.(sj + ∆sj) − B.(sj) and of B.(sj′+1) − B.(sj′) in term of ∆sj ∆sj′ and the covariance of (B.(sj + ∆sj) − B.(sj) and of B.(t) in ∆sj if t does not belong to [sj,sj+1]. Namely, if the intervals [sj1, sj1+1], [sj2, sj2+1] do not intersect and if sj3 and sj4 do not belong to these intervals, we have only to show by using the Itô formula that
because the right Bracket between ∆sj3B(sj3 and ∆sj4B(sj4) is in O(∆sj3∆sj4) We take the conditional expectation of rv(sj3) and rv(sj4) along the Gaussian space spanned by B.(sj1), B.(sj2), ∆sj1B(sj1) and ∆sj2B.(sj2). We can suppose that rv(sj3) and rv(sj3) are measurable over this Gaussian space. But rv is solution of the stochastic differential equation giving the flow of the Brownian motion over the Lie group, and is therefore a stochastic integral. We use the following rules for calculating different conditional expectation for the solution of this flow. We consider the solution of the stochastic differential equation starting from the identity:
where Bt and
are two independent Brownian motions. We can write At = WtVt where dVt = VtdBt and
. after using this remark in order to calculate the conditional expectation, we desintegrate along ∆sj1B.(sj1) and ∆sj2B.(sj2) as in (32), and we conclude by using the consideration following (27), (28), (29).
are two independent Brownian motions. We can write At = WtVt where dVt = VtdBt and
. after using this remark in order to calculate the conditional expectation, we desintegrate along ∆sj1B.(sj1) and ∆sj2B.(sj2) as in (32), and we conclude by using the consideration following (27), (28), (29).They are at most 22N24(N′−N) such possibilities. The total contribution is 2−2N which tends to 0 when N → ∞.
-)Second case: there are 3 different intervals [sj,sj+1]. This can come from a concatenation of two times dv for u < v in the stochastic integral (54) after converting it in a double Itô integral or a concatenation of the same term du in the stochastic integral (54). The contribution of each term is 2−3N′ by doing as in the first case.. They are at most 2N2N′− N)22(N′−N) = 23N′2−2N such possibilities. The total contribution behaves in 2−2N which tends to 0 when N → ∞.
-)Third case: there are 2 different intervals [sj, sj+1]. The contribution of each element which appears is in 2−2N′ by doing as in the first case. There are at most 2N22(N′−N) such terms. The total contribution is in 2−N which converges to 0 when N → ∞.
This shows us that ∑
is a Cauchy sequence in L2.
is a Cauchy sequence in L2.Second Step: convergence of the Itô term ∑
.
.We write
and we would like to show that
in L2.
in L2.They are two terms to study:
-)The contribution of
for i ≠ i′. By (32),
for i ≠ i′. By (32),
-) The contribution of
. By using the consideration of the first step, we can write modulo a term which vanish that
. By using the consideration of the first step, we can write modulo a term which vanish that
To study its convergence, we write:
We have
and
. We deduce that < w.(5), w.(3) >= o(∆sj), < w.(5), w.(2) >=
and < w.(5), w.(1) >=
. In a similar way, we have < w.(3), w.(1) >=
, < w.(3), w.(4) >= O(∆sj) (We used the fact that ∆sj = ∆sj′). With this decomposition, we write the analoguous of (30) and (3 1) for g.(sj + ∆sj) by doing the conditional expectation along the Gaussian processes w.(5),w.(4),w.(2),w.(3) and for g.(sj′ + ∆sj′). We find if j ≠ j′ and in the other cases
. Therefore,
.
and
. We deduce that < w.(5), w.(3) >= o(∆sj), < w.(5), w.(2) >=
and < w.(5), w.(1) >=
. In a similar way, we have < w.(3), w.(1) >=
, < w.(3), w.(4) >= O(∆sj) (We used the fact that ∆sj = ∆sj′). With this decomposition, we write the analoguous of (30) and (3 1) for g.(sj + ∆sj) by doing the conditional expectation along the Gaussian processes w.(5),w.(4),w.(2),w.(3) and for g.(sj′ + ∆sj′). We find if j ≠ j′ and in the other cases
. Therefore,
.Third step: study of the convergence of ∑ 

We write
and
The more singular singular tem in
is
There is in the previous contribution a quadratic expression in
. These expressions can be treated exactly as in the first step of the convergence of ∑
, by writing <
,
> as a double integral and relpacing (si+1 − si) <
,
> by a double stochastic integral where we have removed
by ∆siB.(si). The sum of the others terms tends clearly to 0.
is
. These expressions can be treated exactly as in the first step of the convergence of ∑
, by writing <
,
> as a double integral and relpacing (si+1 − si) <
,
> by a double stochastic integral where we have removed
by ∆siB.(si). The sum of the others terms tends clearly to 0.In order to show that
has a smooth version, we show that the system of derivatives of
in v converges in L2. We conclude by using the embedding Sobolev theorem as in [23].
has a smooth version, we show that the system of derivatives of
in v converges in L2. We conclude by using the embedding Sobolev theorem as in [23].◊
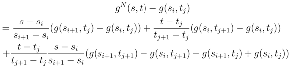
We consider a more intrinsic approximation of the line integral. We use if g1(si, t), g1(si+1, t) are close,
conveniently extended over the set of all matrices. We put:
We consider
as in (35) with this new approximation. If we look the asymptotic expansion of FN, we see that the more singular term in
and
coincides. This justify the following theorem:
as in (35) with this new approximation. If we look the asymptotic expansion of FN, we see that the more singular term in
and
coincides. This justify the following theorem:Theorem 3.2:
tends in L2 for the Ck topology over each compact of the parameter set to the Stratonovitch integral
which has a smooth version in v.
tends in L2 for the Ck topology over each compact of the parameter set to the Stratonovitch integral
which has a smooth version in v.Remark:
We don’t know if the Stratonovitch integrals of Theorem III.2 and of Proposition III.1 coincide. In the sequel, we will use the version of Theorem III.1, because it is a geometrical version.
Remark:
Instead of integrating over a circle, we can integrate over a segment.
4 Integral of a two form
We decompose the pant Σ(1, 2) in elementary cylinders S1 × [0, 1] = D. Let B.(s, t) = Btot,.(s, t) be the Brownian motion parametrized by these elementary cylinders. Each correlators check all the properties listed in the part IV of [31] such that each correlator is smooth outside the diagonals and its derivative has half limits on the diagonals, such that we can apply the technics of the part IV of [31]. The requested properties which come from the properties of the correlator are for elementary cylinders which constitute the pant:
Property H1
if u does not belong to ]s, s + ∆s[ and the symmetric property.
Property H2
if u does not belong to ]s, s + ∆s[ and t does not belong to ]v, v + ∆v[.
Property H3
if
and the symmetric property.
and the symmetric property.Property H4: If t′ ≥ t,
where C(t, t′) is continuous, the same being true for the symmetric case.
We imbedd G into a matrix algebra isometrically. Let g(s, t) be the random field parametrized by the torus with values in G. Let 2N be an integer, and si be the associated dyadic subdivision of S1 and tj be the associated dyadic subdivision of a copy of [0, 1]. We consider the polygonal approximation of g(s, t), if (s, t) ∈ [si, si+1] × [tj, tj+1] = Ti,j.
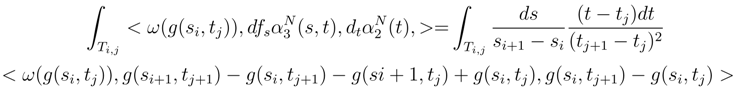
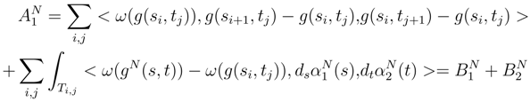
Let us consider a two form ω over G, conveniently extended in a two form ω over the matrix algebra bounded with bounded derivatives of all orders. We suppose that the two form depends on a finite dimensional parameter v. We consider
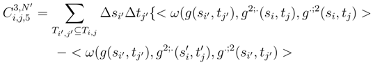
Let us denote by ∆tjg(si, tj) the quantity g(si, tj+1)−g(si, tj), by ∆sig(si, tj) the quantity g(si+1, tj)− g(si, tj) where we have imbedded the group G in a linear space. If i ≠ i′, j ≠ j′, we will see later that
where we take a quadratic expression homogeneous in each term in each increment. The most diverging term in the quantity
is
When the length of the subdivision tends to zero, the L2-norm of this expression tends to
This justifies without to prove the following proposition:
is
Proposition 4.1:
When N → ∞, the traditional integral
tends for the Ck topology over each compact of the parameter space in L2 to the stochastic integral in Stratonovich sense:
where the stochastic integral
has a smooth version in v.
tends for the Ck topology over each compact of the parameter space in L2 to the stochastic integral in Stratonovich sense:
has a smooth version in v.Proof:
We suppose first that there is no auxiliary parameter. We can write:
STEP I: convergence of
. We repeat the considerations of the part III for s → B.(s, tj) and t → B.(si, t). If we fix tj, we get by (30) an asymptotic expansion in order 3. We get expressions in the asymptotic expansion in
and g3;.(si, tj). If we fix si, we go in (30) to an asymptotic expansion at order 3. We get derivatives in law
.
. We repeat the considerations of the part III for s → B.(s, tj) and t → B.(si, t). If we fix tj, we get by (30) an asymptotic expansion in order 3. We get expressions in the asymptotic expansion in
and g3;.(si, tj). If we fix si, we go in (30) to an asymptotic expansion at order 3. We get derivatives in law
.We get:
is the Itô term, which is apparently the most diverging when N → ∞.
is the Stratonovitch counterterm.
is the Itô term, which is apparently the most diverging when N → ∞.
is the Stratonovitch counterterm.Step I.1: convergence of the Itô term
.
.We write as in (30)
and we write as in (30)
This will lead to stochastic integrals in
and in
which apparently do not converge and to integrals in (si+1 − si)g2;.(si, tj) as in (tj+1 − tj)g.;2(si, tj) which will lead to classical integrals. We deduce the following decomposition of the Itô term
:
and in
which apparently do not converge and to integrals in (si+1 − si)g2;.(si, tj) as in (tj+1 − tj)g.;2(si, tj) which will lead to classical integrals. We deduce the following decomposition of the Itô term
:
-)
is the double stochastic integral in the time direction s and in the time direction t:
is the double stochastic integral in the time direction s and in the time direction t:
-)
is a stochastic integral in the direction s and a classical integral in the direction t:
is a stochastic integral in the direction s and a classical integral in the direction t:
-)
is a vanishing term:
is a vanishing term:
-)
is a classical integral in the time direction s and a stochastic integral in the time direction t:
is a classical integral in the time direction s and a stochastic integral in the time direction t:
-)
is a classical integral in the time direction s and in the time direction t.
is a classical integral in the time direction s and in the time direction t.
is the more ”a priori” divergent term when N tends to ∞ and
will lead to a double classical integral on the torus.Step I.1.1: For integers N, N′ such that N′ > N, we consider 

We consider a bigger integer N′ than N and we consider
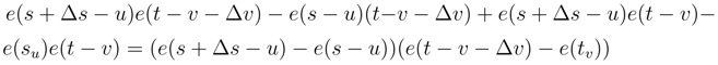
Let us consider first the case where 0 ≤ s+∆s≤ s′ ≤ s′+∆s′ ≤ 1 and 0 ≤ t+∆t ≤ t′ ≤ t′+∆t′ ≤ 1. We get if f and g are smooth functions with bounded derivatives of all orders:
In order to see that, we begin by diagonalizing B.(s, t) and B.(s′, t′).
We write:
and the analoguous formulas for B.(s′ + ∆s′, t′) and B.(s′, t′ + ∆t′) with some other new auxiliary Brownian motions w.(5) and w.(6). Moreover
and
the same asymptotic results being true when we reverse the role of s, t.
B.(s, t) = w.(1)
The main result is the following:
if u does not belong to ]s, s + ∆s[, the same equality being true if we reverse the role of s and t. We use the fact that the Green kernel associated to the two dimensional problem is the product of the Green kernels associated to the one dimensional problem by the remark following (6).
Moreover
It is equal namely to
if u does not belong to ]s, s + ∆s[ and t does not belong to ]v, v + ∆v[. Moreover,
if ]s′, s′ + ∆s′[∩]s, s + ∆s[= ∅ by analoguous reasons, and using the fact that the Green kernel associated to B.(s, t) is the products of the one dimensional Green kernels.
In order to simplify the exposure, we writte ∆t = ∆t′ = ∆s = ∆s′. We conditionate B.(s, t) and B.(s′, t′) by w.(3),, w.(4), w.(5), w.(6). We use the formula (56) in order to compute this conditionating for g(s, t) and g(s′, t′), and after the Clark-Ocone formula (See [43]) in order to compute the conditional of h(g(s, t)) as an Itô integral in w.(3), w.(4), w.(5) and w.(5) with term bounded by
by (92). We get to take the expectation of the product of four Itô integral or 5 or 6. We can estimate its expectation by using the Itô formula and (93), (94) by applying iteratively the Itô formula and the Clark-Ocone formula. We reduce iteratively the length of the iterated integral we have to compute. The same result holds by the same arguments for:
if we suppose that ∆s = ∆s′ = ∆t = ∆t′.
by (92). We get to take the expectation of the product of four Itô integral or 5 or 6. We can estimate its expectation by using the Itô formula and (93), (94) by applying iteratively the Itô formula and the Clark-Ocone formula. We reduce iteratively the length of the iterated integral we have to compute. The same result holds by the same arguments for:
We deduce from the previous considerations that:
Let us now study the behaviour of
when N′ → ∞.
By the previous considerations, the contributions of the Tk,l strictly interior to Ti,j and of the Tk′,l′ strictly interior to Ti,j′ vanish. Therefore, it is enough to study the contribution of
for [si′, si′+1] ⊆ [si, si+1]. We would like to show that
tends to 0 when N′ → ∞. We will see later (See Step I.1.2, Step I.1.3 and Step I.1.4) that we can replace
by ∆sig(si, tj) and
by ∆tjg(si, tj). it is enough therefore to consider the behaviour of
and to show that
tends to 0.
tends to 0 when N′ → ∞. We will see later (See Step I.1.2, Step I.1.3 and Step I.1.4) that we can replace
by ∆sig(si, tj) and
by ∆tjg(si, tj). it is enough therefore to consider the behaviour of
tends to 0.But
Therefore
By using the technics of the next steps, we can replace and and and ∆si′g(si′, tj) by
and ∆tjg(si′, tj) by
and ∆tjg(si′, tj) by
and ∆tjg(si, tj) by
. We get two quantities
.
and ∆tjg(si′, tj) by
and ∆tjg(si′, tj) by
and ∆tjg(si, tj) by
. We get two quantities
.We compute
. There are two contributions. The first one is when we consider twice the same si′. There are 4 types of increments which appear (si, tj), (si′, tj), (si, tj′ and (
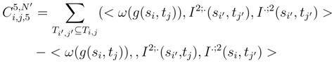
, tjj′). We take the conditional expectation along ∆si′B.(si′), tj), ∆tjB.(si, tj), ∆si′B(si′, tj′) and ∆tj′B(si, tj′) or more precisely along the Brownian motion which arise from the diagonalisation (89) of the Brownian motions B.(si, tj), B.(si′, tj), B.(si, tj′) and B.(si′, tj′). The Stratonovitch integrals g1;.(s, t) and g.;1(s, t) are in fact Itô integrals. Moreover we can compute the conditional law of g(si, tj), g(si′, tj), g(si, tj′) g(si′, tj′) by using (56) and the Clark -Ocone formula to express the quantities which appear in this way as stochastic integral which are martingales and whose bracket with the others tems can be estimated by (89). There is a product of Martingale Itô integrals, whose expectation can be estimated by using succesivly the Itô formula and the Clark Ocone formula. We conclude by using (4.27), (4.28) and (4.30). We get that the contribution when there is one coincidence leads to a term in O(1/N)∆si′∆tj∆tj′. When there is no coincidence, we condition by ∆si′B.(si′, tj), ∆tjB.(si, tj), ∆si”B.(si”, tj) and ∆tjB.(si, tj′) or more precisely by the Brownian motions arising from the diagonalisation (89). We proceed as before, and we get a contribution in
.
. There are two contributions. The first one is when we consider twice the same si′. There are 4 types of increments which appear (si, tj), (si′, tj), (si, tj′ and (
, tjj′). We take the conditional expectation along ∆si′B.(si′), tj), ∆tjB.(si, tj), ∆si′B(si′, tj′) and ∆tj′B(si, tj′) or more precisely along the Brownian motion which arise from the diagonalisation (89) of the Brownian motions B.(si, tj), B.(si′, tj), B.(si, tj′) and B.(si′, tj′). The Stratonovitch integrals g1;.(s, t) and g.;1(s, t) are in fact Itô integrals. Moreover we can compute the conditional law of g(si, tj), g(si′, tj), g(si, tj′) g(si′, tj′) by using (56) and the Clark -Ocone formula to express the quantities which appear in this way as stochastic integral which are martingales and whose bracket with the others tems can be estimated by (89). There is a product of Martingale Itô integrals, whose expectation can be estimated by using succesivly the Itô formula and the Clark Ocone formula. We conclude by using (4.27), (4.28) and (4.30). We get that the contribution when there is one coincidence leads to a term in O(1/N)∆si′∆tj∆tj′. When there is no coincidence, we condition by ∆si′B.(si′, tj), ∆tjB.(si, tj), ∆si”B.(si”, tj) and ∆tjB.(si, tj′) or more precisely by the Brownian motions arising from the diagonalisation (89). We proceed as before, and we get a contribution in
.By the same type of trick and performing the conditional expectation along the increment ∆sB.(s, t) and ∆tB.(s, t) or more precisley by conditioning along the Brownian motions which appears in the diagonalisation (89) in
and after using the Clark-Ocone formula, we see that the quantity
. The same holds for
.
and after using the Clark-Ocone formula, we see that the quantity
. The same holds for
.Let us study the behaviour of
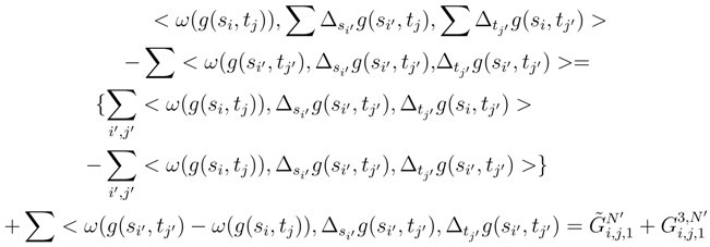
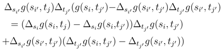
. By the considerations which will follow in the next step, it is enough to study the behaviour of
where we do the summation over [si′, si′+1] ⊆ [si, si+1] and [tj′, tj′+1] ⊆ [tj, tj+1]. In
, we write:
and we deduce a decomposition of
, we can replace
. We can replace
by
. We get
and
.
. By the considerations which will follow in the next step, it is enough to study the behaviour of
, we write:
, we can replace
. We can replace
by
. We get
and
.We have 6 terms to estimate:
,
. We can do the multiplication term by term in each product which appear. In each term, we distribute another time. There are 4 terms where two expressions in g1;. and g.;1 appear. We condition by the set of increments in the leading Brownian motion which appears in these expressions, or more precisely of the terms which appear after the diagonalisation (89) in ∆sB(s, t) and ∆tB(s, t). We use (57) and the Clark-Ocone formula (See [43]). We use (89), and (93). When we develop, there is the possibility that we get exactly 4 times si′, si”, tj′and tj”, which lead to a contribution in
. There is a contribution when there are 3 different si, tj′, tj” or si′, si”, tj which lead to a contribution in
and a contribution where we get only two times si and tj which leads to a contribution in
tends to 0 in L2.
,
. We can do the multiplication term by term in each product which appear. In each term, we distribute another time. There are 4 terms where two expressions in g1;. and g.;1 appear. We condition by the set of increments in the leading Brownian motion which appears in these expressions, or more precisely of the terms which appear after the diagonalisation (89) in ∆sB(s, t) and ∆tB(s, t). We use (57) and the Clark-Ocone formula (See [43]). We use (89), and (93). When we develop, there is the possibility that we get exactly 4 times si′, si”, tj′and tj”, which lead to a contribution in
. There is a contribution when there are 3 different si, tj′, tj” or si′, si”, tj which lead to a contribution in
and a contribution where we get only two times si and tj which leads to a contribution in
tends to 0 in L2.By the same argument,
tend to 0 in L2. By using this type of argument, we can get the requested limits.
tend to 0 in L2. By using this type of argument, we can get the requested limits.Step I.1.2 Study of the convergence of the terms
and
where we mix stochastic integral and classical integral.
and
where we mix stochastic integral and classical integral.This term is simpler to treat than the double stochastic integral, which is most diverging, which appears. But it leads to some complications, because in g.;2(s, t), there are some double stochastic integral in the dynamical time u which appears. We write
We consider a bigger integer N′ and we write:
We have the following behaviour:
If ∆s = ∆t and if 0 ≤ s ≤ s + ∆ s ≤ s′ ≤ s′ + ∆s′ ≤ 1 and 0 ≤ t ≤ t + ∆t ≤ t′ ≤ t′ + ∆t′ ≤ 1. C(s, t, s′, t′) is continuous. Namely, g.;2(s, t) and g.;2(s′, t′) are given by double stochastic integrals in the term w.(3) or w.(4) which appear in (89). It is the far most complicated term, the terms in simple stochastic integrals can be treated as before. We condition after by the increments ∆tB.(s, t), ∆t′B.(s′, t′), ∆sB.(s, t) and ∆s′B.(s′, t′) or more precisely by the terms which arise from the diagonalisation in (89). We write the double Stratonovitch integral which appears in g.;2(s, t) or g.;2(s′, t′) as double Itô integral and a simple integral. After using the Clark-Ocone formula, the expectation of the product of at most 8 term and at least 2 Itô integrals hasto be computed. We use Itô formula successivly and Clark-Ocone formula successivly in order to get our estimate.
We have analoguous formulas we don’t write. Therefore:
Let us study now the behaviour of
By the considerations which will follow, it is enough to study
But we can write:
such that:
In
, we can replace, by the considerations which will follow, ∆si′(g(si′, tj′) by the quantity
. We get expressions
and
. We distribute the term which appear in
, there are 4 terms with increments
which appear. We condition by the Brownian motions which are got after diagonalising the increments of the leadings Brownian motions which appear in these formulas and we get as before a norm in L2 which tends to 0.
, we can replace, by the considerations which will follow, ∆si′(g(si′, tj′) by the quantity
. We get expressions
and
. We distribute the term which appear in
, there are 4 terms with increments
which appear. We condition by the Brownian motions which are got after diagonalising the increments of the leadings Brownian motions which appear in these formulas and we get as before a norm in L2 which tends to 0.We have to study 3 terms:
and the last one
. The behaviour of
is the most complicated to treat.
and the last one
. The behaviour of
is the most complicated to treat.We write:
By the previous considerations, we have only to estimate
and
as well as the sum where there exist other coincidences of indices i, i′, j, j′. We have to estimate the analoguous quantities where we mix
and
, the term where we mix
and
and
and the term where we mix
and
. We will omit to write the details of the convergence of these mixed term to 0. Clearly,
Namely, if we do the multiplication of each term in the sum, there are 6 increments which appear
and ∆tj2B(si2, tj2). Their mutual covariances satisfy to (92), (93) and (95) because j1 ≠ j2 and because we don’t have to consider when we do the multiplication term by term to consider the interaction between
and the interaction between
. We conclude after conditioning along these increments, or more precisely the Brownian motions which appear when we use the diagonalization (89). This allows us to show (114).
and
as well as the sum where there exist other coincidences of indices i, i′, j, j′. We have to estimate the analoguous quantities where we mix
and
, the term where we mix
and
and
and the term where we mix
and
. We will omit to write the details of the convergence of these mixed term to 0. Clearly,
and ∆tj2B(si2, tj2). Their mutual covariances satisfy to (92), (93) and (95) because j1 ≠ j2 and because we don’t have to consider when we do the multiplication term by term to consider the interaction between
and the interaction between
. We conclude after conditioning along these increments, or more precisely the Brownian motions which appear when we use the diagonalization (89). This allows us to show (114).Moreover,
Namely, when we do the product term by term in (115), there are 6 increments which appear
, and the terms
. We can apply (92), (93) and (95) to these increments because we don’t have to take the covariance between
and the covariance between
.
, and the terms
. We can apply (92), (93) and (95) to these increments because we don’t have to take the covariance between
and the covariance between
.Let us consider the most complicated term
because in g.;2(si′, tj) and in g.;2(si′, tj′) in (114), it is not the same subdivision in tj. But since we consider
there are 6 increments to see. They are
,
and we don’t have to consider the correlation between
and
and the correlation
. We can apply (92), (93), (95) for the correlations we consider, and we can conclude as previously.
because in g.;2(si′, tj) and in g.;2(si′, tj′) in (114), it is not the same subdivision in tj. But since we consider
,
and we don’t have to consider the correlation between
and
and the correlation
. We can apply (92), (93), (95) for the correlations we consider, and we can conclude as previously.By the same reason
The same arguments arise when we consider:
It remains to treat the case where there are two coincidences, that is to treat the case of
, after doing the same restriction about the mixed terms. But as a matter of fact, we can show simply that
We have namely the correlators between the following increments to consider
,
. But we have
. Therefore:
because
and because e has half derivatives in 0. This remark allows us to repeat the previous considerations as well as to use (92), (93) and (95).
, after doing the same restriction about the mixed terms. But as a matter of fact, we can show simply that
,
. But we have
. Therefore:
and because e has half derivatives in 0. This remark allows us to repeat the previous considerations as well as to use (92), (93) and (95).Moreover
We have no difficulty to show that because we don’t have to consider the covariance of a g1;0(si′, tj) and a g1;0(si′, tj′) and because
.
.The difficult part is to show that
, because two different subdivision [tj′, tj′+1] and [tj, tj+1] appear and because tj′ ∈ [tj, tj+1]. We write the details of this limit, because it is the most complicated, the others limits are simpler. We write:
By the previous considerations, the terms
tend to 0. The main difficulty is to show that
, because two different subdivision [tj′, tj′+1] and [tj, tj+1] appear and because tj′ ∈ [tj, tj+1]. We write the details of this limit, because it is the most complicated, the others limits are simpler. We write:
tend to 0. The main difficulty is to show that
If these results are true, the term where we mix
can be treated by Cauchy-Schwartz inequality. We proceed for that as it was done in the previous part. We remark, by the same considerations as in the first part, that it is enough to replace ∆tjg.;2(si′, tj) by a double stochastic iterated integral
dBv(si′, tj) where αu and αv are B(si′, tj) measurable. By the same argument, we replace ∆tj′g.;2(si′, tj′) by a double stochastic integral ∫0 < u < v < 1αu(si′, tj′)(dBu(si′, tj′+1) − dBu(si′, tj′)) αv(si′, tj′)(dBv(si′, tj′+1) − dBv(si′, tj′) where αu(si′, tj′) and αv(si′, tj′) are B.(si′, tj′) measurable. To study the behaviour when N! → ∞, we can replace without difficulty in this last expression αu(si′, tj′) by αu(si′, tj). We write:
and we distribute in the first term of (124). The diagonal terms cancel, and we have to estimate when N → ∞ the behaviour of
where we sum over [tk, tk+1] ⊆ [tj, tj+1] and [tk′, tk′+1] ⊆ [tj, tj+1] for the sharper dyadic subdivision associated to 2N′. Instead of taking the following expression in time 1, let us take it in time r. We get a process
(We replace g(si, tj) by gr(si, tj), g1;.(si′, tj) by
and the double integral between 0 and 1 by a double integral between 0 and r. Let us consider the finite variational part
and the martingale part
associated to this process.
can be treated by Cauchy-Schwartz inequality. We proceed for that as it was done in the previous part. We remark, by the same considerations as in the first part, that it is enough to replace ∆tjg.;2(si′, tj) by a double stochastic iterated integral
dBv(si′, tj) where αu and αv are B(si′, tj) measurable. By the same argument, we replace ∆tj′g.;2(si′, tj′) by a double stochastic integral ∫0 < u < v < 1αu(si′, tj′)(dBu(si′, tj′+1) − dBu(si′, tj′)) αv(si′, tj′)(dBv(si′, tj′+1) − dBv(si′, tj′) where αu(si′, tj′) and αv(si′, tj′) are B.(si′, tj′) measurable. To study the behaviour when N! → ∞, we can replace without difficulty in this last expression αu(si′, tj′) by αu(si′, tj). We write:
(We replace g(si, tj) by gr(si, tj), g1;.(si′, tj) by
and the double integral between 0 and 1 by a double integral between 0 and r. Let us consider the finite variational part
and the martingale part
associated to this process.Let us begin to study the finite variational part of this process
. This can come from a contraction between ω(g(si, tj)) and
which leads to a term in
, which is multiplied by a term in
. But the L2 norm of the sum ∑tk≠tk′ can be estimated. We decompose first ∑tk≠tk in a martingale term and a finite variational term. There is first a contraction between αv and
which leads to a term in tk′+1 − tk′ The stochastic integral in u can be estimated. We see the martingale term. By Itô formula
can be estimated in
. Therefore the L2 norm of this term behaves in
. But since there is (tk′+1 − tk′) in time u, we have a behaviour of this contribution in ∆si(tj+1 − tj)3/2 whose sum vanish when N → ∞. The second term comes from a contraction between
and
which leads to a term in (tk+1 − tk)(tk′+1 − tk′) and therefore to a contribution in (tj+1 − tj)2. Therefore the total contribution is in ∆si(tj+1 − tj)2, whose sum vanish when N → ∞, because 
. This can come from a contraction between ω(g(si, tj)) and
which leads to a term in
, which is multiplied by a term in
. But the L2 norm of the sum ∑tk≠tk′ can be estimated. We decompose first ∑tk≠tk in a martingale term and a finite variational term. There is first a contraction between αv and
which leads to a term in tk′+1 − tk′ The stochastic integral in u can be estimated. We see the martingale term. By Itô formula
can be estimated in
. Therefore the L2 norm of this term behaves in
. But since there is (tk′+1 − tk′) in time u, we have a behaviour of this contribution in ∆si(tj+1 − tj)3/2 whose sum vanish when N → ∞. The second term comes from a contraction between
and
which leads to a term in (tk+1 − tk)(tk′+1 − tk′) and therefore to a contribution in (tj+1 − tj)2. Therefore the total contribution is in ∆si(tj+1 − tj)2, whose sum vanish when N → ∞, because 
There is a contraction between ω(g(si, tj)) and
which is in (tk′+1 − tk′). This term cancel, because when we take the square of the L2 norm of the sum, it behaves in
, where Ii′, i” where Ii′, i” is a sum of quadruple tk′, tk”, tk3, tk4 which behaves in O(tj+1 − tj)3 and a sum ∑i′∆siIi′ where Ii′ has a bound in tj+1 − tj)3/2. The sum of these terms vanish, when N → ∞ (See part III for analoguous considerations).
which is in (tk′+1 − tk′). This term cancel, because when we take the square of the L2 norm of the sum, it behaves in
, where Ii′, i” where Ii′, i” is a sum of quadruple tk′, tk”, tk3, tk4 which behaves in O(tj+1 − tj)3 and a sum ∑i′∆siIi′ where Ii′ has a bound in tj+1 − tj)3/2. The sum of these terms vanish, when N → ∞ (See part III for analoguous considerations).Let us estimate the martingale term
. Let us estimate the L2 norm of
. We use Itô formula. It behaves as
where Ii′,i” has a bound in (tj+1 − tj)3/2 and Ii′ the same. Therefore the L2 norm of
vanish when N → ∞.
. Let us estimate the L2 norm of
. We use Itô formula. It behaves as
where Ii′,i” has a bound in (tj+1 − tj)3/2 and Ii′ the same. Therefore the L2 norm of
vanish when N → ∞.Step I.1.3: study of the behaviour of the double classical integral
.
.We write
We consider N′ > N and study:
We write
with
and
It is clear that
in L2 because g2;2(si, tj) is bounded in L2.
in L2 because g2;2(si, tj) is bounded in L2.In order to estimate
, we can replace ω(g(si′, tj′) by ω(g(si, tj)). We can replace ∆si′g2;.(si′, tj′) by a double stochastic integral in the dynamical time u I2;.(si′, tj′) as it was done in (126) and do the same transformation for the other g2;. and g.;2 which appear in
such that we have only to show that
in L2 where
We write
and
and we distribute in I2;.(si, tj) and I.;2(si, tj). We get that the expression I2;.(si, tj) is equal to the expression
after distributing in these stochastic integral. Only the contribution where
do not vanish when N′ → ∞, by the same considerations than in (54). These terms are nothing else, modulo some small error terms than I2;.(si′, tj) and I.;2(si, tj′). We have only to show that
in L2 where
But we can show that the L2 norm of I2;.(si′, tj) − I2;.(si′, t′) is O(4/N′)∆si′ because the right bracket of B.(si′+1, tj) − B.(si′, tj) − B.(si′+1, tj′) + B(si′, tj′) is in O((si′+1 − si′)(tj − tj′)).
, we can replace ω(g(si′, tj′) by ω(g(si, tj)). We can replace ∆si′g2;.(si′, tj′) by a double stochastic integral in the dynamical time u I2;.(si′, tj′) as it was done in (126) and do the same transformation for the other g2;. and g.;2 which appear in
such that we have only to show that
in L2 where
after distributing in these stochastic integral. Only the contribution where
do not vanish when N′ → ∞, by the same considerations than in (54). These terms are nothing else, modulo some small error terms than I2;.(si′, tj) and I.;2(si, tj′). We have only to show that
in L2 where
Step I.1.4: study of the vanishing term
.
.We write
. But we have if si ≠ si′, by using the previous technics
Therefore
.
. But we have if si ≠ si′, by using the previous technics
.Step I.2: convergence of
.
.We write in probability:
The residual term converges to 0 by the previous arguments. It remains to treat the main term. We recall:
Moreover
The integral of the first term of (138) leads to the convergence of the sum of random quantities of a type analoguous to already considered quantities, which contains some ”brackets” of the type < ∇ω(g(si, tj)).∆sig(si, tj), ∆sig(si, tj), ∆tjg(si, tj) > which converges by the methods used before. We can treat by the same method the convergence of < ∇ω(g(si, tj))(g(si, tj+1) − g(si, tj)), ∆sig(si, tj), ∆tjg(sj, tj) > which converge by the same methods as before. The term in
lead to analoguous terms. If we consider the term where the square of gN(s, t)−g(si, tj) appear, there is a term where the quantity < ∇2ω(g(si, tj)); ∆sig(si, tj)2, ∆sig(si, tj), ∆tjg(si, tj) > appears whose sum vanishes in L2 by the same considerations as in Step I.1.4. The only problem comes when we take sum corresponding more and less to the double bracket of (s, t) → g1(s, t) of the type ∑i,j < ∇2ω(g(si, tj)).∆sig(si, tj).∆tig(si, tj), ∆sig(si, tj), ∆tig(si, tj) > whose treatment is similar to step I.1.3 by expanding a product of integrals into iterated integrals of length 2.
lead to analoguous terms. If we consider the term where the square of gN(s, t)−g(si, tj) appear, there is a term where the quantity < ∇2ω(g(si, tj)); ∆sig(si, tj)2, ∆sig(si, tj), ∆tjg(si, tj) > appears whose sum vanishes in L2 by the same considerations as in Step I.1.4. The only problem comes when we take sum corresponding more and less to the double bracket of (s, t) → g1(s, t) of the type ∑i,j < ∇2ω(g(si, tj)).∆sig(si, tj).∆tig(si, tj), ∆sig(si, tj), ∆tig(si, tj) > whose treatment is similar to step I.1.3 by expanding a product of integrals into iterated integrals of length 2.Step II: convergence of
and
.
and
.The treatment for
and
are similar. So we will treat only the case of
.
and
are similar. So we will treat only the case of
.We write:
Step II.1: convergence of
.
The integral over Ti,j is constant. We write:
The term in
can be treated as in step I.1. The term in
can be treated as in step I.1, because the increments between ∆siB(si, tj) and ∆siB(si, tj+1) > satisfy to (121), and we can do as in the treatment of (121)
.
can be treated as in step I.1. The term in
can be treated as in step I.1, because the increments between ∆siB(si, tj) and ∆siB(si, tj+1) > satisfy to (121), and we can do as in the treatment of (121)Step II.2: convergence of
.
.We use (137) and we conclude as in step I.2.
Step III: convergence of
.
.We write:
Step III.1: convergence of
.
.We write with the notations of (142):
The integral over Ti,j is constant. In order to treat the sum, we write the second
+
as
where
and
and we perform the limit as in the previous considerations.
+
as
where
Step III.2: convergence of
.
.We write
and we use (137) for αN(s, t) a suitable function of (s, t).
When the form depends on a finite dimensional parameter, we show that the approximation of the stochastic integrals converge for all the derivatives of ω and we conclude by using the Sobolev imbedding theorem as in [23]. That is we consider the integrals
which converge in L2 for all multiindices α. ◊
We would like to get the same theorem with a more intrinsic approximation
(s, t) of the random field g(s, t). As in the part III, the finite dimensional approximations of the integral
will converge in L2, but we don’t know if they will converge to the same limit integral
.
(s, t) of the random field g(s, t). As in the part III, the finite dimensional approximations of the integral
will converge in L2, but we don’t know if they will converge to the same limit integral
.For that if g(s, tj) and g(s, tj+1) are close, we use the functions:
conveniently extended to the whole sets of matrices.
We approximate g(s, tj+1), g(s, tj) as follows:
conveniently extended over the whole matrix algebras as well as its inverse. Moreover,
conveniently extended as well as its inverse to the set of all matrices.
We take as approximation:
We have the asymptotic expansion:
We imbed in this expression the approximation of g(s, tj+1) and of g(s, tj). This shows that, in the expansion of
(s, t), the more singular term is the same in (70), modulo some more regular terms which converge. The main Itô integral is the same, but we don’t know if the correcting terms are the same.
(s, t), the more singular term is the same in (70), modulo some more regular terms which converge. The main Itô integral is the same, but we don’t know if the correcting terms are the same.We get the main result of this part:
Theorem 4.2:
when N → ∞, the traditional integral
converges in L2 to the stochastic Stratonovitch integral:
Moreover,
has a smooth version in v.
converges in L2 to the stochastic Stratonovitch integral:
has a smooth version in v.Remark:
we ignore if the stochastic integral of Theorem IV.2 is equal to the stochastic integral of Proposition IV.1. In the rest of this paper, we will use the version of Theorem IV.2.
Remark:
we can consider in the previous theorem a 2-tensor which is not necessarily a 2-form.
5 Stochastic W.Z.N.W. model on the punctured sphere
Let us consider the 3-form closed Z-valued ω over G which is supposed simple simply connected, which at the level of the Lie algebra of G is equal to
We extend ω in a 3-form over the whole matrix algebra bounded with bounded derivatives of all orders. We can suppose that ω is Z-valued on G.
ω(X, Y, Z) = K < [X, Y], Z >
Let Σ(1, n) be a (1 + n) punctured sphere. We deduce a family of loops s → g(s, t). Let s → g(s, t) such a loop. We repeat the considerations of [28] and [31] in order to define over such loop group
the stochastic 2-form:
We can define for that the following poor stochastic diffeology (see [10], [46] for the introduction of this notion in the deterministic case). Let Ω be the probability space where the random (1 + n) punctured sphere is defined:
the stochastic 2-form:
Definition 5.1:
A stochastic plot of dimension m of L(G) is given by a countable family (O, φi, Ωi) where O is an open subset of Rm such that:
i)The Ωi constitute a measurable partition of Ω.
ii) φi(u)(.) = {s → Fi(u, s, g(s, t))} where Fi is a smooth function over O × S1 × RN with bounded derivatives of all orders (RN is the matrix algebra where we have imbedded G).
iii)Over Ωi, for all u ∈ U, φi(u)(.) belongs to the loop group L(G).
We identify two stochastic plots
almost surely over
.
almost surely over
.If φi(u) is a stochastic plot,
which defines a random smooth form over O by the rules of the Part III.
We can look at the apparatus of [28], [30], [31] to define a stochastic line bundle
, with curvature
for k an integer. Let us recall how to do (See [28], p 463-464): let gi be a countable system of finite energy loops in the group such that the ball of radius δ and center gi for the uniform norm Oi determine an open cover of L(G). We can suppose that δ is small. The loop gi constitutes a distinguished point in Oi. We construct if g belongs to Oi a distinguished curve joining g to gi, called l(gi, g): since δ is small, gi(s) and g(s) are joined by a unique geodesic for the group structure. lu(gi, g) is the loop s → expgi(s)[u(g(s) − gi(s))] where g(s) − gi(s) is the vector over the unique geodesic joining gi(s) to g(s) and exp the exponential of the Lie group associated to the canonical Riemannian structure over the Lie group. This allows to define over Oi a distinguished path joining g(.) to gi(.). We choose a deterministic path joining the unit loop e(.) to gi(.) li(e(.), gi(.)), and by concatenation of the two paths, we get a distinguished path joining g(.) to e(.) li(g(.), gi(.)) over Oi.
, with curvature
for k an integer. Let us recall how to do (See [28], p 463-464): let gi be a countable system of finite energy loops in the group such that the ball of radius δ and center gi for the uniform norm Oi determine an open cover of L(G). We can suppose that δ is small. The loop gi constitutes a distinguished point in Oi. We construct if g belongs to Oi a distinguished curve joining g to gi, called l(gi, g): since δ is small, gi(s) and g(s) are joined by a unique geodesic for the group structure. lu(gi, g) is the loop s → expgi(s)[u(g(s) − gi(s))] where g(s) − gi(s) is the vector over the unique geodesic joining gi(s) to g(s) and exp the exponential of the Lie group associated to the canonical Riemannian structure over the Lie group. This allows to define over Oi a distinguished path joining g(.) to gi(.). We choose a deterministic path joining the unit loop e(.) to gi(.) li(e(.), gi(.)), and by concatenation of the two paths, we get a distinguished path joining g(.) to e(.) li(g(.), gi(.)) over Oi.The second step is to specify a distinguished surface bounded by li(e(.), g(.)) and lj(e(.), g(.)), where g(.) belongs to Oi∩Oj. Since δ is small, there is a path u → expgi(.)[u(gj(.) − gi(.))] joining gi(.) to gj(.). Because L(G) is simply connected, because G is two-connected, the loop constituted of the path joining e(.) to gi(.), the path joining gi(.) to gj(.) and the path joining gj(.) to e(.) can be filled by a deterministic surface in the smooth loop group. We can moreover fill the small stochastic triangle constituted of l.(gi(.), g(.)), l.(gj(.), g(.)) and the the exponential curve joining gi(.) to gj(.) by a small stochastic surface (See [28] for analoguous statements). We get a surface
which satisfies to our request and which is a stochastic plot. By pulling back (See [28], [30], [31]), we can consider the stochastic Z-valued form τst(ω) and integrate it over the surface
. We put
(See [30]).
which satisfies to our request and which is a stochastic plot. By pulling back (See [28], [30], [31]), we can consider the stochastic Z-valued form τst(ω) and integrate it over the surface
. We put
Definition 5.2:
a measurable setion φt of the line bundle
associated to the stochastic transgression τst(2πω) over
is a collection of random variable
measurables over Oj submitted to the rules
almost surely over Oi ∩ Oj. The Hilbert space of section
of the line bundle
is the space of measurable sections of
such that
where
over Oj, definition which is consistent, because
is almost surely of modulus 1 in (159).
associated to the stochastic transgression τst(2πω) over
is a collection of random variable
measurables over Oj submitted to the rules
of the line bundle
is the space of measurable sections of
such that
over Oj, definition which is consistent, because
is almost surely of modulus 1 in (159).Let us work in a loop space where the loop splits in two loops. We get a splitting map
. Moreover,
If we consider a couple of stochastic sections (φ1,t) and φ2,t over the two small loop groups, this gives therefore a stochastic section φtot,t over the big loop group (See [30] for analoguous considerations), and the different operations are consistent with the glueing property of two loops, especially the notion of stochastic connection, we will define now [28]).
. Moreover,
Over Oi, the stochastic 1-form associated to the bundle ξ (we omitt to writte we work over
by writting only L(G)), is given by:
This gives the double integral:
Let us consider a stochastic plot (O, φj,Ωj) of dimension m.
is a random one form over O given if u ∈ O by:
where X is a vector field over the parameter space O whose generic element is u. By the results of part II, this give a random smooth one form on O. This connection form are compatible with the application gtot → (g1, g2) when the big loop splits in two small loops.
by writting only L(G)), is given by:
is a random one form over O given if u ∈ O by:
Let be an elementary cylinder in the (1 + n) punctured sphere. Let Ωi,[ti, ti+1] where Ωi ⊆ Ω is a set of probability strictly positive and such over Ωi t → {s → g(s, t)} belongs to Oi. We suppose ti+1 > ti with the natural order which is inherited from the fact we consider over the (1 + n) punctured sphere n exit loop groups and one input loop group. We can define the stochastic parallel transport from ξti to ξti+1 over Ωi along the path t → {s → g(s, t)} by the formula
(See Part IV for the definition of the double stochastic integral). Let Σ(1, n) be a (1+n) punctured sphere. Let
the n output loop groups and
the input loop group. We can define, by iterating, a generalization of the stochastic parallel transport, which applies a tensor product of sections
over the output loop spaces to an element over the input loop space, because the different operations are compatible with the notion of glueing loops. We call this generalized parallel transport
. It is not measurable with respect of the σ-algebras given by the restriction to the random 1 + n punctured to its boundary. Moreover, over each boundary, the laws of the loops are identical, and the Hilbert space of section of the bundle
and ξin are identical. We denote it by Ξ. We consider the map τ1,n which associates to an element ξtot of the the tensor product of the Hilbert spaces of section at the exit boudary the section conditional expectation of
ξtot with respect to the σ-algebra spanned by the input boudary. We get. :
the n output loop groups and
the input loop group. We can define, by iterating, a generalization of the stochastic parallel transport, which applies a tensor product of sections
over the output loop spaces to an element over the input loop space, because the different operations are compatible with the notion of glueing loops. We call this generalized parallel transport
. It is not measurable with respect of the σ-algebras given by the restriction to the random 1 + n punctured to its boundary. Moreover, over each boundary, the laws of the loops are identical, and the Hilbert space of section of the bundle
and ξin are identical. We denote it by Ξ. We consider the map τ1,n which associates to an element ξtot of the the tensor product of the Hilbert spaces of section at the exit boudary the section conditional expectation of
ξtot with respect to the σ-algebra spanned by the input boudary. We get. :Theorem 5.3:
τ1,n associated to the 1+n punctured sphere defines an element of Hom(Ξ⊗n, Ξ).
Moreover, when we give n random punctured spheres Σ(1, ni), and a punctured sphere Σ(1, n), we can glue then in order to get a sphere Σ(1 + ∑ni) according the rules of Part II. We get τ1,∑ni which is got by Markov property of part II by composing over the input boundary of Σ(, ni)τ1,ni and τ1,n along the output boundary of Σ(1, n).
Let σi be elements of Hom(Ξ⊗ni, Ξ). We deduce by composition an element of Hom(Ξ⊗∑ni, Ξ). Moreover, it is naturally equivariant under the action of the symmetric groups over the n elements σi. We say that the collection of vector spaces Hom(Ξ⊗n, Ξ) constitutes an operad (See [40], [38], [39])
We deduce form the Markov property of the random field parametrized by Σ(1, ∑ni) along the sewing boundary that:
Theorem 5.4:
τ1,n realizes a morphism from the topological operad Σ(1, n) got by sewing 1 + n punctured spheres along their boundary into the operad Hom(Ξ⊗n, Ξ).
We refer to [21] and [22] for the motivation of this part.
References
- Airault, H.; Malliavin, P. Integration on loop groups; Publication Université Paris VI.: Paris, 1990. [Google Scholar]
- Albeverio, S.; Léandre, R.; Roeckner, M. Construction of a rotational invariant diffusion on the free loop space. C.R.A.S. 1993t, 316. Série I, 287–292. [Google Scholar]
- Arnaudon, M.; Paycha, S. Stochastic tools on Hilbert manifolds: interplay with geometry and physics. C.M.P. 1997, 197, 243–260. [Google Scholar] [CrossRef]
- Belopolskaya, Y.L.; Daletskiii, Y.L. Stochastic equations and differential geometry; Kluwer, 1990. [Google Scholar]
- Belopolskaya, Y.L.; Gliklikh, E. Stochastic process on group of diffeomorphism and description of viscous hydrodynamics. Preprint.
- Bismut, J.M. Mécanique aléatoire; Lect. Notes. Maths. 966; Springer: (Heidelberg), 1981. [Google Scholar]
- Brzezniak, Z.; Elworthy, K.D. Stochastic differential equations on Banach manifolds. Meth.Funct. Ana. Topo. 2000, (In honour of Y. Daletskii). 6.1, 43–84. [Google Scholar]
- Brzezniak, Z.; Léandre, R. Horizontal lift of an infinite dimensional diffusion. Potential Analysis 2000, 12, 249–280. [Google Scholar]
- Brzezniak, Z.; Léandre, R. Stochastic pants over a Riemannian manifold. Preprint.
- Chen, K.T. Iterated path integrals of differential forms and loop space homology. Ann. Maths. 1973, 97, 213–237. [Google Scholar]
- Daletskii, Y.L. Measures and stochastic equations on infinite-dimensional manifolds. In Espaces de lacets; Léandre, R., Paycha, S., Wurzbacher, T., Eds.; Public. Univ. Strasbourg: Strasbourg, 1996; pp. 45–52. [Google Scholar]
- Driver, B.; Roeckner, M. Construction of diffusion on path and loop spaces of compact Riemannian manifold. C.R.A.S. 1992, t 315, Série I, 603–608, (1992). [Google Scholar]
- Fang, S.; Zhang, T. Large deviation for the Brownian motion on a loop group. J. Theor. Probab. 2001, 14, 463–483. [Google Scholar] [CrossRef]
- Felder, G.; Gawedzki, K.; Kupiainen, A.Z. Spectra of Wess-Zumino-Witten model with arbitrary simple groups. C.M.P. 1988, 117, 127–159. [Google Scholar]
- Gawedzki, K. Conformal field theory. In Séminaire Bourbaki; Astérisque 177-178; S.M.F: Paris, 1989; pp. 95–126. [Google Scholar]
- Gawedzki, K. Conformal field theory: a case study. hep-th/9904145, (1999). [Google Scholar]
- Gawedzki, K. Lectures on conformal field theory. In Quantum fields and strings: a course for mathematicians; Amer. Math. Soci: Providence, 1999; Vol 1, pp. 727–805. [Google Scholar]
- Getzler, E. Batalin-Vilkovisky algebras and two-dimensional topological field theories. C.M.P 1994, 159, 265–285. [Google Scholar]
- Glimm, R.; Jaffe, A. Quantum physics: a functional point of view; Springer: Heidelberg, 1981. [Google Scholar]
- Gradinaru, M.; Russo, F.; Vallois, P. In preparation.
- Huang, Y.Z. Two dimensional conformal geometry and vertex operator algebra; Prog. Maths. 148; Birkhauser: Basel, 1997. [Google Scholar]
- Huang, Y.Z.; Lepowsky, Y. Vertex operator algebras and operads. In The Gelfand Mathematical Seminar. 1990-1992; Gelfand, I.M., Ed.; Birkhauser: Basel; pp. 145–163.
- Ikeda, N.; Watanabe, S. Stochastic differential equations and diffusion processes; NorthHolland: Amsterdam, 1981. [Google Scholar]
- Kimura, T.; Stasheff, J.; Voronov, A.A. An operad structure of moduli spaces and string theory. C.M.P. 1995, 171, 1–25. [Google Scholar] [CrossRef]
- Konno, H. Geometry of loop groups and Wess-Zumino-Witten models. In Symplectic geometry and quantization; Maeda, Y., Omori, H., Weinstein, A., Eds.; Contemp. Maths. 179; A.M.S.: Providence, 1994; pp. 136–160. [Google Scholar]
- Kunita, H. Stochastic flows and stochastic differential equations; Cambridge Univ. Press: Cambridge, 1990. [Google Scholar]
- Kuo, H.H. Diffusion and Brownian motion on infinite dimensional manifolds. Trans. Amer. Math. Soc. 1972, 159, 439–451. [Google Scholar]
- Léandre, R. String structure over the Brownian bridge. J. Maths. Phys. 1999, 40, 454–479. [Google Scholar]
- Léandre, R. Large deviations for non-linear random fields. Non. Lin. Phe. Comp. Syst. 2001, 4, 306–309. [Google Scholar]
- Léandre, R. Brownian motion and Deligne cohomology. Preprint. (2001). [Google Scholar]
- Léandre, R. Stochastic Wess-Zumino-Novikov-Witten model on the torus. J. Math. Phys. 2003, 44, 5530–5568. [Google Scholar]
- Léandre, R. Brownian cylinders and intersecting branes. In press. Rep. Math. Phys 2003. [Google Scholar]
- Léandre, R. Random fields and operads. Preprint. (2001). [Google Scholar]
- Léandre, R. Browder operations and heat kernel homology. In Differential geometry and its application; Krupka, D., Ed.; Silesian University Press: Opava, 2003; pp. 229–235. [Google Scholar]
- Léandre, R. Brownian surfaces with boundary and Deligne cohomology. In press. Rep. Math. Phys. 2003. [Google Scholar]
- Léandre, R. An example of a Brownian non-linear string theory. In Quantum limits to the second law; Sheehan, D., Ed.; A.I.P. proceedings 643; A.I.P.: New-York, 2002; pp. 489–494. [Google Scholar]
- Léandre, R. Super Brownian motion on a loop group. XXXIVth symposium of Math. Phys. of Torun.Mrugala, R., Ed.; Rep. Math. Phy2003; 51, 269–274. [Google Scholar]
- Loday, J.L. La renaissance des opérades. In Séminaire Bourbaki; Astérisque 237; S.M.F.: Paris, 1996; pp. 47–75. [Google Scholar]
- Loday, J.L.; Stasheff, J.; Voronov, A.A. Proceeedings of Renaissance Conferences; Cont. Maths. 202; A.M.S.: Providence, 1997. [Google Scholar]
- May, J.P. The geometry of iterated loop spaces; Lect. Notes. Maths. 271; Springer: Heidelberg, 1972. [Google Scholar]
- Mickelsson, J. Current algebras and group; Plenum Press: New-York, 1989. [Google Scholar]
- Nelson (Ed.) The free Markoff field. In J.F.A.; 1973; Volume 12, pp. 211–227.
- Nualart, D. Malliavin Calculus and related topics; Springer: Heidelberg, 1997. [Google Scholar]
- Pickrell, D. Invariant measures for unitary groups associated to Kac-Moody algebra; Mem. Amer. Maths. Soc. 693; A.M.S.: Providence, 2000. [Google Scholar]
- Pipiras, V.; Taqqu, M. Integration question related to fractional Brownian motion. Prob. Theo. Rel. Fields 2000, 118, 251–291. [Google Scholar] [CrossRef]
- Segal, G. Two dimensional conformal field theory and modular functors. In IX international congress of mathematical physics; Truman, A., Ed.; Hilger: Bristol, 1989; pp. 22–37. [Google Scholar]
- Souriau, J.M. Un algorithme générateur de structures quantiques. In Elie Cartan et les mathématiques d’aujourd’hui; Astérisque. S.M.F.: Paris, 1985; pp. 341–399. [Google Scholar]
- Symanzik, K. Euclidean quantum field theory. In Local quantum theory; Jost, R., Ed.; Acad. Press, 1989. [Google Scholar]
- Tsukada, H. String path integral relization of vertex operator algebras; Mem. Amer. Math. Soci. 444; A.M.S.: Providence, 1991. [Google Scholar]
©2004 by MDPI (http://www.mdpi.org). Reproduction for noncommercial purposes permitted.