The Solid Phase of 4He: A Monte Carlo Simulation Study
Abstract
1. Introduction
2. Model and Methodology
3. Results
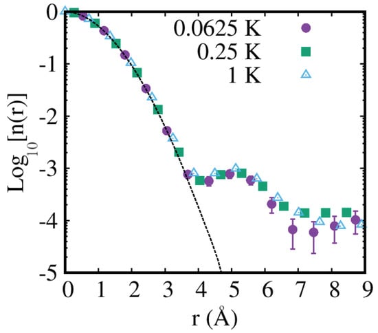
3.1. Effect of Temperature
3.2. Effects of Quantum Statistics
3.3. Energetics
| n (Å) | e (K) | (K) | Pressure (bars) | Potential |
|---|---|---|---|---|
| 0.0286 | (2) | 23.96 (2) | 24.9 | Aziz I |
| 0.0286 | (2) | 23.93 (2) | 24.0 | Aziz II |
| 0.0286 | (2) | 24.07 (2) | 24.1 | Aziz III |
| 0.0294 | (3) | 25.11 (2) | 33.4 | Aziz I |
| 0.0294 | (2) | 25.22 (2) | 33.1 | Aziz III |
| 0.0301 | (2) | 26.06 (2) | 41.7 | Aziz I |
| 0.0301 | (2) | 26.30 (2) | 40.7 | Aziz III |
| [ (1)] | [26.40 (7)] | Aziz III | ||
| 0.0312 | (2) | 27.75 (1) | 57.0 | Aziz I |
| 0.0312 | (2) | 27.75 (2) | 55.1 | Aziz II |
| 0.0312 | (2) | 27.92 (2) | 56.7 | Aziz III |
| 0.0329 | (3) | 30.46 (3) | 85.6 | Aziz I |
| 0.0329 | (2) | 30.62 (1) | 85.6 | Aziz III |
| [ (1)] | [30.82 (9)] | Aziz III | ||
| 0.0353 | (2) | 34.41 (2) | 140.7 | Aziz I |
| 0.0353 | (2) | 34.73 (2) | 141.5 | Aziz III |
| [ (1)] | [34.79 (8)] | Aziz III |
Comparison with Recent Calculations
4. Discussion
Funding
Data Availability Statement
Conflicts of Interest
Abbreviations
| bcc | Body-centered cubic |
| BEC | Bose-Einstein Condensation |
| DMC | Diffusion Monte Carlo |
| EOS | Equation of State |
| GFMC | Green Function Monte Carlo |
| hcp | Hexagonal close-packed |
| PIMC | Path Integral Monte Carlo |
| T | Temperature |
| WA | Worm Algorithm |
References and Notes
- Wilks, J. The Properties of Liquid and Solid Helium; Oxford University Press: New York, NY, USA, 1967. [Google Scholar]
- Cuccoli, A.; Macchi, A.; Tognetti, V.; Vaia, R. Monte Carlo computations of the quantum kinetic energy of rare-gas solids. Phys. Rev. B 1993, 47, 14923–14931. [Google Scholar] [CrossRef]
- Timms, D.N.; Evans, A.C.; Boninsegni, M.; Ceperley, D.M.; Mayers, J.; Simmons, R.O. Direct measurements and path integral Monte Carlo calculations of kinetic energies of solid neon. J. Phys. Condens. Matter 1996, 8, 6665. [Google Scholar] [CrossRef][Green Version]
- Dusseault, M.; Boninsegni, M. Atomic displacements in quantum crystals. Phys. Rev. B 2017, 95, 104518. [Google Scholar] [CrossRef]
- Boninsegni, M.; Pollet, L.; Prokof’ev, N.; Svistunov, B. Role of Bose Statistics in Crystallization and Quantum Jamming. Phys. Rev. Lett. 2012, 109, 025302. [Google Scholar] [CrossRef]
- Pederiva, F.; Chester, G.V. Does antisymmetry matter in b.c.c. He-3 crystals? J. Low Temp. Phys. 1998, 113, 741–750. [Google Scholar] [CrossRef]
- Fain Jr, S.C.; Lazarus, D. X-ray Investigation of Solid Helium. J. Appl. Phys. 1970, 41, 1451–1454. [Google Scholar] [CrossRef]
- Heald, S.; Baer, D.; Simmons, R. X-ray diffraction study of thermal vacancies in solid helium-3. Solid State Commun. 1983, 47, 807–810. [Google Scholar] [CrossRef]
- Mao, H.K.; Hemley, R.J.; Wu, Y.; Jephcoat, A.P.; Finger, L.W.; Zha, C.S.; Bassett, W.A. High-Pressure Phase Diagram and Equation of State of Solid Helium from Single-Crystal X-Ray Diffraction to 23.3 GPa. Phys. Rev. Lett. 1988, 60, 2649–2652. [Google Scholar] [CrossRef] [PubMed]
- Loubeyre, P.; LeToullec, R.; Pinceaux, J.P.; Mao, H.K.; Hu, J.; Hemley, R.J. Equation of state and phase diagram of solid 4He from single-crystal x-ray diffraction over a large P-T domain. Phys. Rev. Lett. 1993, 71, 2272–2275. [Google Scholar] [CrossRef] [PubMed]
- Henshaw, D.G. Structure of Solid Helium by Neutron Diffraction. Phys. Rev. 1958, 109, 328–330. [Google Scholar] [CrossRef]
- Werthamer, N.R. Neutron Scattering from Phonons in Solid Helium. Phys. Rev. A 1970, 2, 2050–2060. [Google Scholar] [CrossRef]
- Svensson, E.; Sears, V. Neutron scattering by 4He and 3He. Physica B+C 1986, 137, 126–140. [Google Scholar] [CrossRef]
- Simmons, R.O. Single-particle dynamics of the solid heliums from deep inelastic neutron scattering. Can. J. Phys. 1987, 65, 1401–1408. [Google Scholar] [CrossRef]
- Diallo, S.O.; Pearce, J.V.; Azuah, R.T.; Glyde, H.R. Quantum Momentum Distribution and Kinetic Energy in Solid 4He. Phys. Rev. Lett. 2004, 93, 075301. [Google Scholar] [CrossRef] [PubMed]
- Adams, M.A.; Mayers, J.; Kirichek, O.; Down, R.B.E. Measurement of the Kinetic Energy and Lattice Constant in hcp Solid Helium at Temperatures 0.07–0.4 K. Phys. Rev. Lett. 2007, 98, 085301. [Google Scholar] [CrossRef] [PubMed]
- Diallo, S.O.; Pearce, J.V.; Azuah, R.T.; Kirichek, O.; Taylor, J.W.; Glyde, H.R. Bose-Einstein Condensation in Solid 4He. Phys. Rev. Lett. 2007, 98, 205301. [Google Scholar] [CrossRef]
- Azuah, R.T.; Stirling, W.G.; Glyde, H.R.; Boninsegni, M.; Sokol, P.E.; Bennington, S.M. Condensate and final-state effects in superfluid 4He. Phys. Rev. B 1997, 56, 14620–14630. [Google Scholar] [CrossRef]
- Ceperley, D.M. Path integrals in the theory of condensed helium. Rev. Mod. Phys. 1995, 67, 279–355. [Google Scholar] [CrossRef]
- Herrero, C.P.; Ramírez, R. Path-integral simulation of solids. J. Phys. CM 2014, 26, 233201. [Google Scholar] [CrossRef]
- Mason, E.A.; Rice, W.E. The Intermolecular Potentials of Helium and Hydrogen. J. Chem. Phys. 1954, 22, 522–535. [Google Scholar] [CrossRef]
- Aziz, R.A.; Nain, V.P.S.; Carley, J.S.; Taylor, W.L.; McConville, G.T. An accurate intermolecular potential for helium. J. Chem. Phys. 2008, 70, 4330–4342. [Google Scholar] [CrossRef]
- Ceperley, D.M.; Partridge, H. The He2 potential at small distances. J. Chem. Phys. 1986, 84, 820–821. [Google Scholar] [CrossRef]
- Przybytek, M.; Cencek, W.; Jeziorski, B.; Szalewicz, K. Pair Potential with Submillikelvin Uncertainties and Nonadiabatic Treatment of the Halo State of the Helium Dimer. Phys. Rev. Lett. 2017, 119, 123401. [Google Scholar] [CrossRef]
- Ceperley, D.M.; Pollock, E.L. Path-integral computation of the low-temperature properties of liquid 4He. Phys. Rev. Lett. 1986, 56, 351–354. [Google Scholar] [CrossRef]
- Boninsegni, M.; Prokof’ev, N.V.; Svistunov, B.V. Worm algorithm and diagrammatic Monte Carlo: A new approach to continuous-space path integral Monte Carlo simulations. Phys. Rev. E 2006, 74, 036701. [Google Scholar] [CrossRef] [PubMed]
- Prisk, T.R.; Bryan, M.S.; Sokol, P.E.; Granroth, G.E.; Moroni, S.; Boninsegni, M. The Momentum Distribution of Liquid 4He. J. Low. Temp. Phys. 2017, 189, 158–184. [Google Scholar] [CrossRef]
- Donnelly, R.J.; Barenghi, C.F. The Observed Properties of Liquid Helium at the Saturated Vapor Pressure. J. Phys. Chem. Ref. Data 1998, 27, 1217–1274. [Google Scholar] [CrossRef]
- Kim, E.; Chan, M.H.W. Observation of Superflow in Solid Helium. Science 2004, 305, 1941–1944. [Google Scholar] [CrossRef]
- Aziz, R.A.; McCourt, F.R.; Wong, C.C. A new determination of the ground state interatomic potential for He2. Mol. Phys. 1987, 61, 1487–1511. [Google Scholar] [CrossRef]
- Montgomery, J.A.; Petersson, G.A.; Matsunaga, N. On the helium pair potential. Chem. Phys. Lett. 1989, 155, 413–418. [Google Scholar] [CrossRef]
- Aziz, R.A.; Slaman, M.J.; Koide, A.; Allnatt, A.R.; Meath, W.J. Exchange-coulomb potential energy curves for He-He, and related physical properties. Mol. Phys. 1992, 77, 321–337. [Google Scholar] [CrossRef]
- Aziz, R.A.; Janzen, A.R.; Moldover, M.R. Ab Initio Calculations for Helium: A Standard for Transport Property Measurements. Phys. Rev. Lett. 1995, 74, 1586–1589. [Google Scholar] [CrossRef] [PubMed]
- Janzen, A.R.; Aziz, R.A. An accurate potential energy curve for helium based on ab initio calculations. J. Chem. Phys. 1997, 107, 914–919. [Google Scholar] [CrossRef]
- Korona, T.; Williams, H.L.; Bukowski, R.; Jeziorski, B.; Szalewicz, K. Helium dimer potential from symmetry-adapted perturbation theory calculations using large Gaussian geminal and orbital basis sets. J. Chem. Phys. 1997, 106, 5109–5122. [Google Scholar] [CrossRef]
- Przybytek, M.; Cencek, W.; Komasa, J.; Łach, G.; Jeziorski, B.; Szalewicz, K. Relativistic and Quantum Electrodynamics Effects in the Helium Pair Potential. Phys. Rev. Lett. 2010, 104, 183003. [Google Scholar] [CrossRef] [PubMed]
- Boninsegni, M.; Pierleoni, C.; Ceperley, D.M. Isotopic shift of helium melting pressure: Path integral Monte Carlo study. Phys. Rev. Lett. 1994, 72, 1854–1857. [Google Scholar] [CrossRef]
- Chang, S.Y.; Boninsegni, M. Ab initio potentials and the equation of state of condensed helium at high pressure. J. Chem. Phys. 2001, 115, 2629–2633. [Google Scholar] [CrossRef]
- Morales, M.A.; Schwegler, E.; Ceperley, D.; Pierleoni, C.; Hamel, S.; Caspersen, K. Phase separation in hydrogen–helium mixtures at Mbar pressures. Proc. Natl. Acad. Sci. USA 2009, 106, 1324–1329. [Google Scholar] [CrossRef] [PubMed]
- Young, D.A.; McMahan, A.K.; Ross, M. Equation of state and melting curve of helium to very high pressure. Phys. Rev. B 1981, 24, 5119–5127. [Google Scholar] [CrossRef]
- Cencek, W.; Jeziorska, M.; Akin-Ojo, O.; Szalewicz, K. Three-Body Contribution to the Helium Interaction Potential. J. Phys. Chem. A 2007, 111, 11311–11319. [Google Scholar] [CrossRef] [PubMed]
- Sesé, L.M. Real Space Triplets in Quantum Condensed Matter: Numerical Experiments Using Path Integrals, Closures, and Hard Spheres. Entropy 2020, 22, 1338. [Google Scholar] [CrossRef]
- Mezzacapo, F.; Boninsegni, M. Superfluidity and Quantum Melting of p-H2 Clusters. Phys. Rev. Lett. 2006, 97, 045301. [Google Scholar] [CrossRef] [PubMed]
- Mezzacapo, F.; Boninsegni, M. Structure, superfluidity, and quantum melting of hydrogen clusters. Phys. Rev. A 2007, 75, 033201. [Google Scholar] [CrossRef]
- Feynman, R.; Hibbs, A. Quantum Mechanics and Path Integrals; McGraw-Hill: New York, NY, USA, 1965; Ch. 10. [Google Scholar]
- Clark, B.K.; Ceperley, D.M. Off-Diagonal Long-Range Order in Solid 4He. Phys. Rev. Lett. 2006, 96, 105302. [Google Scholar] [CrossRef]
- Boninsegni, M.; Prokof’ev, N.; Svistunov, B. Superglass Phase of 4He. Phys. Rev. Lett. 2006, 96, 105301. [Google Scholar] [CrossRef] [PubMed]
- Boninsegni, M. Permutation Sampling in Path Integral Monte Carlo. J. Low Temp. Phys. 2005, 141, 27–46. [Google Scholar] [CrossRef]
- Ceperley, D.M.; Simmons, R.O.; Blasdell, R.C. Kinetic Energy of Liquid and Solid 4He. Phys. Rev. Lett. 1996, 77, 115–118. [Google Scholar] [CrossRef]
- Driessen, A.; van der Poll, E.; Silvera, I.F. Equation of state of solid 4He. Phys. Rev. B 1986, 33, 3269–3288. [Google Scholar] [CrossRef]
- The value of the pressure at n = 0.0312 Å−3 appears to have been misquoted in Ref. [16].
- Boninsegni, M. Quantum statistics and the momentum distribution of liquid parahydrogen. Phys. Rev. B 2009, 79, 174203. [Google Scholar] [CrossRef]
- The melting line represents the most favorable condition for the possible occurrence of off-diagonal long-range order (i.e., BEC). Indeed, what is observed is that the decay at large distances of the one body density matrix is increasingly more pronounced at higher density.
- Boninsegni, M.; Kuklov, A.B.; Pollet, L.; Prokof’ev, N.V.; Svistunov, B.V.; Troyer, M. Luttinger Liquid in the Core of a Screw Dislocation in 4He. Phys. Rev. Lett. 2007, 99, 035301. [Google Scholar] [CrossRef]
- Söyler, S.G.; Kuklov, A.B.; Pollet, L.; Prokof’ev, N.V.; Svistunov, B.V. Underlying Mechanism for the Giant Isochoric Compressibility of Solid 4He: Superclimb of Dislocations. Phys. Rev. Lett. 2009, 103, 175301. [Google Scholar] [CrossRef]
- Kuklov, A.B.; Pollet, L.; Prokof’ev, N.V.; Svistunov, B.V. Supertransport by Superclimbing Dislocations in 4He. Phys. Rev. Lett. 2022, 128, 255301. [Google Scholar] [CrossRef] [PubMed]
- Boninsegni, M.; Kuklov, A.B.; Pollet, L.; Prokof’ev, N.V.; Svistunov, B.V.; Troyer, M. Fate of Vacancy-Induced Supersolidity in 4He. Phys. Rev. Lett. 2006, 97, 080401. [Google Scholar] [CrossRef] [PubMed]
- Boninsegni, M.; Prokof’ev, N.V. Colloquium: Supersolids: What and where are they? Rev. Mod. Phys. 2012, 84, 759–776. [Google Scholar] [CrossRef]
- Boninsegni, M. Supersolid Phases of Cold Atom Assemblies. J. Low Temp. Phys. 2012, 168, 137–149. [Google Scholar] [CrossRef]
- Rugeles, E.J.; Ujevic, S.; Vitiello, S.A. Solid 4He and the diffusion Monte Carlo method: A study of their properties. Phys. Rev. E 2017, 96, 043306. [Google Scholar] [CrossRef]
- Boninsegni, M.; Lee, S.Y.; Crespi, V.H. Helium in One-Dimensional Nanopores: Free Dispersion, Localization, and Commensurate/Incommensurate Transitions with Nonrigid Orbitals. Phys. Rev. Lett. 2001, 86, 3360–3363. [Google Scholar] [CrossRef]
- Boninsegni, M.; Moroni, S. Population size bias in diffusion Monte Carlo. Phys. Rev. E 2012, 86, 056712. [Google Scholar] [CrossRef]
- Boninsegni, M. Ground State Phase Diagram of Parahydrogen in One Dimension. Phys. Rev. Lett. 2013, 111, 235303. [Google Scholar] [CrossRef]
- Boninsegni, M. Absence of superfluidity in a parahydrogen film intercalated within a crystal of Na atoms. Phys. Rev. B 2016, 93, 054507. [Google Scholar] [CrossRef]
- GFMC is a methodology closely related to DMC, in many respects a precursor thereof.
- Kalos, M.H.; Lee, M.A.; Whitlock, P.A. Modern potentials and the properties of condensed Helium-four. Phys. Rev. B 1981, 24, 115–130. [Google Scholar] [CrossRef]
- Boninsegni, M. Phase Separation in Mixtures of Hard Core Bosons. Phys. Rev. Lett. 2001, 87, 087201. [Google Scholar] [CrossRef] [PubMed]




Disclaimer/Publisher’s Note: The statements, opinions and data contained in all publications are solely those of the individual author(s) and contributor(s) and not of MDPI and/or the editor(s). MDPI and/or the editor(s) disclaim responsibility for any injury to people or property resulting from any ideas, methods, instructions or products referred to in the content. |
© 2023 by the author. Licensee MDPI, Basel, Switzerland. This article is an open access article distributed under the terms and conditions of the Creative Commons Attribution (CC BY) license (https://creativecommons.org/licenses/by/4.0/).
Share and Cite
Boninsegni, M. The Solid Phase of 4He: A Monte Carlo Simulation Study. Entropy 2023, 25, 1114. https://doi.org/10.3390/e25081114
Boninsegni M. The Solid Phase of 4He: A Monte Carlo Simulation Study. Entropy. 2023; 25(8):1114. https://doi.org/10.3390/e25081114
Chicago/Turabian StyleBoninsegni, Massimo. 2023. "The Solid Phase of 4He: A Monte Carlo Simulation Study" Entropy 25, no. 8: 1114. https://doi.org/10.3390/e25081114
APA StyleBoninsegni, M. (2023). The Solid Phase of 4He: A Monte Carlo Simulation Study. Entropy, 25(8), 1114. https://doi.org/10.3390/e25081114
