Random Walk Approximation for Stochastic Processes on Graphs
Abstract
1. Introduction
2. The Random Walk Approximation
2.1. Linear Master Equation for One Step Processes
2.2. The Non-Linear Case
3. Methods
3.1. System Size Expansion
4. Model
4.1. Toy Model
4.2. Dual Phospho/Dephosphorylation Cycles
5. Results
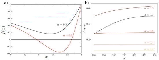
5.1. Toy Model
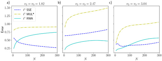
5.2. Dual Phospho/Dephosphorylation Cycles
6. Discussion
Author Contributions
Funding
Institutional Review Board Statement
Data Availability Statement
Conflicts of Interest
Abbreviations
| ME | Master Equation |
| RWA | Random Walk Approximation |
| SSE | System Size Expansion |
| RK | Runge–Kutta |
| FP | Fokker–Planck |
| PdPC | phospho/dephosphorylation cycle |
| JS | Jensen–Shannon divergence |
Appendix A. Entropic Derivation of the Multinomial Solution
Appendix B. Scaling of the Normalization Factor of the RWA
Appendix C. Error of the RWA
Appendix D. Runge–Kutta Algorithm
Appendix E. System Size Expansion of the ME
Appendix F. Supplementary Results



References
- Guptasarma, P. Does replication-induced transcription regulate synthesis of the myriad low copy number proteins of Escherichia coli? Bioessays 1995, 17, 987–997. [Google Scholar] [CrossRef]
- Ozbudak, E.M.; Thattai, M.; Kurtser, I.; Grossman, A.D.; Van Oudenaarden, A. Regulation of noise in the expression of a single gene. Nat. Genet. 2002, 31, 69–73. [Google Scholar] [CrossRef]
- Paulsson, J.; Ehrenberg, M. Noise in a minimal regulatory network: Plasmid copy number control. Q. Rev. Biophys. 2001, 34, 1–59. [Google Scholar] [CrossRef]
- Munsky, B.; Neuert, G.; Van Oudenaarden, A. Using gene expression noise to understand gene regulation. Science 2012, 336, 183–187. [Google Scholar] [CrossRef]
- Lehner, B. Selection to minimise noise in living systems and its implications for the evolution of gene expression. Mol. Syst. Biol. 2008, 4, 170. [Google Scholar] [CrossRef]
- Noble, R.; Noble, D. Harnessing stochasticity: How do organisms make choices? Chaos Interdiscip. J. Nonlinear Sci. 2018, 28, 106309. [Google Scholar] [CrossRef]
- Horsthemke, W.; Lefever, R. Noise-Induced Transitions in Physics, Chemistry, and Biology. In Noise-Induced Transitions: Theory and Applications in Physics, Chemistry, and Biology; Springer: Berlin/Heidelberg, Germany, 1984; pp. 164–200. [Google Scholar] [CrossRef]
- Kampen, N.V. Stochastic Processes in Physics and Chemistry; North Holland: Amsterdam, The Netherlands, 2007. [Google Scholar]
- Bazzani, A.; Castellani, G.C.; Giampieri, E.; Remondini, D.; Cooper, L.N. Bistability in the chemical master equation for dual phosphorylation cycles. J. Chem. Phys. 2012, 136, 06B611. [Google Scholar] [CrossRef]
- Xiong, W.; Ferrell, J.E. A positive-feedback-based bistable ‘memory module’that governs a cell fate decision. Nature 2003, 426, 460–465. [Google Scholar] [CrossRef]
- Huang, S. The molecular and mathematical basis of Waddington’s epigenetic landscape: A framework for post-Darwinian biology? Bioessays 2012, 34, 149–157. [Google Scholar] [CrossRef]
- Hong, Z.; Davidson, D.F.; Hanson, R.K. An improved H2/O2 mechanism based on recent shock tube/laser absorption measurements. Combust. Flame 2011, 158, 633–644. [Google Scholar] [CrossRef]
- Qian, H.; Saffarian, S.; Elson, E.L. Concentration fluctuations in a mesoscopic oscillating chemical reaction system. Proc. Natl. Acad. Sci. USA 2002, 99, 10376–10381. [Google Scholar] [CrossRef] [PubMed]
- De Oliveira, L.R.; Bazzani, A.; Giampieri, E.; Castellani, G.C. The role of non-equilibrium fluxes in the relaxation processes of the linear chemical master equation. J. Chem. Phys. 2014, 141, 065102. [Google Scholar] [CrossRef]
- Rincón, M. MAP-kinase signaling pathways in T cells. Curr. Opin. Immunol. 2001, 13, 339–345. [Google Scholar] [CrossRef]
- Castellani, G.C.; Bazzani, A.; Cooper, L.N. Toward a microscopic model of bidirectional synaptic plasticity. Proc. Natl. Acad. Sci. USA 2009, 106, 14091–14095. [Google Scholar] [CrossRef]
- Sidje, R.B.; Stewart, W.J. A numerical study of large sparse matrix exponentials arising in Markov chains. Comput. Stat. Data Anal. 1999, 29, 345–368. [Google Scholar] [CrossRef]
- Gillespie, D.T. Exact stochastic simulation of coupled chemical reactions. J. Phys. Chem. 1977, 81, 2340–2361. [Google Scholar] [CrossRef]
- Jenkinson, G.; Goutsias, J. Numerical integration of the master equation in some models of stochastic epidemiology. PLoS ONE 2012, 7, e36160. [Google Scholar] [CrossRef]
- Elf, J.; Ehrenberg, M. Fast Evaluation of Fluctuations in Biochemical Networks With the Linear Noise Approximation. Genome Res. 2003, 13, 2475–2484. [Google Scholar] [CrossRef]
- Sjöberg, P.; Lötstedt, P.; Elf, J. Fokker–Planck approximation of the master equation in molecular biology. Comput. Vis. Sci. 2009, 12, 37–50. [Google Scholar] [CrossRef]
- Wu, C.W. Algebraic connectivity of directed graphs. Linear Multilinear Algebra 2005, 53, 203–223. [Google Scholar] [CrossRef]
- Schnakenberg, J. Network theory of microscopic and macroscopic behavior of master equation systems. Rev. Mod. Phys. 1976, 48, 571. [Google Scholar] [CrossRef]
- Shampine, L.F. Some practical runge-kutta formulas. Math. Comput. 1986, 46, 135–150. [Google Scholar] [CrossRef]
- Dormand, J.; Prince, P. A family of embedded Runge-Kutta formulae. J. Comput. Appl. Math. 1980, 6, 19–26. [Google Scholar] [CrossRef]
- Borri, A.; Carravetta, F.; Mavelli, G.; Palumbo, P. Block-tridiagonal state-space realization of Chemical Master Equations: A tool to compute explicit solutions. J. Comput. Appl. Math. 2016, 296, 410–426. [Google Scholar] [CrossRef]
- Marzi, T.; Polizzi, S. Random Walk Approximation and System Size Expansion for the Dual Phospho/Dephosphorylation Cycles. 2022. Available online: https://github.com/tommasomarzi/random-walk-approximation (accessed on 17 February 2023).
- Alexander, M.H.; Hall, G.E.; Dagdigian, P.J. The approach to equilibrium: Detailed balance and the master equation. J. Chem. Educ. 2011, 88, 1538–1543. [Google Scholar] [CrossRef]
- Ortega, F.; Garcés, J.L.; Mas, F.; Kholodenko, B.N.; Cascante, M. Bistability from double phosphorylation in signal transduction: Kinetic and structural requirements. FEBS J. 2006, 273, 3915–3926. [Google Scholar] [CrossRef]
- Bersani, A.M.; Borri, A.; Carravetta, F.; Mavelli, G.; Palumbo, P. On a stochastic approach to model the double phosphorylation/dephosphorylation cycle. Math. Mech. Complex Syst. 2020, 8, 261–285. [Google Scholar] [CrossRef]
- Wong, A.K.; You, M. Entropy and distance of random graphs with application to structural pattern recognition. IEEE Trans. Pattern Anal. Mach. Intell. 1985, PAMI-7, 599–609. [Google Scholar] [CrossRef]
- Fuglede, B.; Topsoe, F. Jensen-Shannon divergence and Hilbert space embedding. In Proceedings of the International Symposium on Information Theory, Chicago, IL, USA, 27 June–2 July 2004; p. 31. [Google Scholar]
- Belkin, M.; Niyogi, P. Laplacian eigenmaps for dimensionality reduction and data representation. Neural Comput. 2003, 15, 1373–1396. [Google Scholar] [CrossRef]
- Bruderer, M. Clusters determine local fluctuations of random walks on graphs. arXiv 2022, arXiv:2204.06087. [Google Scholar]
- Pan, V.Y.; Chen, Z.Q. The complexity of the matrix eigenproblem. In Proceedings of the Thirty-First Annual ACM Symposium on Theory of Computing, Atlanta, GA, USA, 1–4 May 1999; pp. 507–516. [Google Scholar]
- Hairer, E.; Norsett, S.; Wanner, G. Solving Ordinary Differential Equations I: Nonstiff Problems; Springer: Berlin/Heidelberg, Germany, 1993; Volume 8. [Google Scholar] [CrossRef]
- Garcia, A.L. Numerical Methods for Physics, 2nd ed.; Prentice-Hall, Inc.: Englewood Cliffs, NJ, USA, 2000. [Google Scholar]





Disclaimer/Publisher’s Note: The statements, opinions and data contained in all publications are solely those of the individual author(s) and contributor(s) and not of MDPI and/or the editor(s). MDPI and/or the editor(s) disclaim responsibility for any injury to people or property resulting from any ideas, methods, instructions or products referred to in the content. |
© 2023 by the authors. Licensee MDPI, Basel, Switzerland. This article is an open access article distributed under the terms and conditions of the Creative Commons Attribution (CC BY) license (https://creativecommons.org/licenses/by/4.0/).
Share and Cite
Polizzi, S.; Marzi, T.; Matteuzzi, T.; Castellani, G.; Bazzani, A. Random Walk Approximation for Stochastic Processes on Graphs. Entropy 2023, 25, 394. https://doi.org/10.3390/e25030394
Polizzi S, Marzi T, Matteuzzi T, Castellani G, Bazzani A. Random Walk Approximation for Stochastic Processes on Graphs. Entropy. 2023; 25(3):394. https://doi.org/10.3390/e25030394
Chicago/Turabian StylePolizzi, Stefano, Tommaso Marzi, Tommaso Matteuzzi, Gastone Castellani, and Armando Bazzani. 2023. "Random Walk Approximation for Stochastic Processes on Graphs" Entropy 25, no. 3: 394. https://doi.org/10.3390/e25030394
APA StylePolizzi, S., Marzi, T., Matteuzzi, T., Castellani, G., & Bazzani, A. (2023). Random Walk Approximation for Stochastic Processes on Graphs. Entropy, 25(3), 394. https://doi.org/10.3390/e25030394

