Quantum Bounds on the Generalized Lyapunov Exponents
Abstract
1. Introduction
2. Classical Generalized Lyapunov Exponents
- are an increasing function of the order q:
- The GLEs are always bounded by the linear behavior:
3. Quantum Generalized Lyapunov Exponents at Infinite Temperature
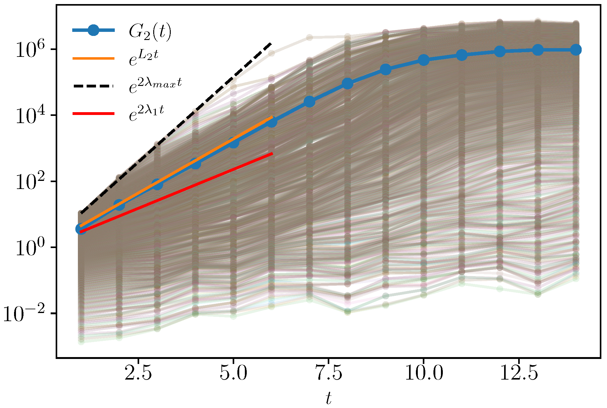
3.1. Properties of the Infinite Temperature Quantum GLE
- is an increasing function of q;
- The following inequality holds:where .
3.2. A Semi-Classical Example: The Quantum Kicked Top
4. Thermal Quantum Generalized Exponents
4.1. From Commutators to OTOCS
4.2. Product Space, Fluctuation-Dissipation Theorem and Bound
4.2.1. Fluctuation–Dissipation in the Replicated Space
4.2.2. The Bound
4.3. Distribution Functions
5. Discussion and Conclusions
Author Contributions
Funding
Data Availability Statement
Conflicts of Interest
References
- Larkin, A.; Ovchinnikov, Y.N. Quasiclassical method in the theory of superconductivity. Sov. Phys. JETP 1969, 28, 1200–1205. [Google Scholar]
- Maldacena, J.; Shenker, S.H.; Stanford, D. A bound on chaos. J. High Energy Phys. 2016, 2016. [Google Scholar] [CrossRef]
- Sachdev, S.; Ye, J. Gapless spin-fluid ground state in a random quantum Heisenberg magnet. Phys. Rev. Lett. 1993, 70, 3339. [Google Scholar] [CrossRef]
- Kitaev, A. Talk Given at the Fundamental Physics Prize Symposium KITP, 07/04/2015. 2015. Available online: https://youtu.be/wFH1huu9Jcs (accessed on 20 January 2023).
- Chowdhury, D.; Georges, A.; Parcollet, O.; Sachdev, S. Sachdev-Ye-Kitaev models and beyond: Window into non-Fermi liquids. Rev. Mod. Phys. 2022, 94, 035004. [Google Scholar] [CrossRef]
- Murthy, C.; Srednicki, M. Bounds on Chaos from the Eigenstate Thermalization Hypothesis. Phys. Rev. Lett. 2019, 123. [Google Scholar] [CrossRef]
- Kundu, S. Subleading bounds on chaos. J. High Energy Phys. 2022, 2022, 1–28. [Google Scholar] [CrossRef]
- Tsuji, N.; Shitara, T.; Ueda, M. Bound on the exponential growth rate of out-of-time-ordered correlators. Phys. Rev. E 2018, 98. [Google Scholar] [CrossRef]
- Pappalardi, S.; Foini, L.; Kurchan, J. Quantum bounds and fluctuation-dissipation relations. Scipost Phys. 2022, 12, 130. [Google Scholar] [CrossRef]
- Crisanti, A.; Paladin, G.; Vulpiani, A. Generalized Lyapunov exponents in high-dimensional chaotic dynamics and products of large random matrices. J. Stat. Phys. 1988, 53, 583–601. [Google Scholar] [CrossRef]
- Vulpiani, A.; Cecconi, F.; Cencini, M. Chaos: From Simple Models to Complex Systems; World Scientific: Singapore, 2009; Volume 17. [Google Scholar] [CrossRef]
- Oledets, V.I. A multiplicative ergodic theorem. Characteristic Ljapunov, exponents of dynamical systems. Tr. Mosk. Mat. Obs. 1968, 19, 179–210. [Google Scholar]
- Benzi, R.; Paladin, G.; Parisi, G.; Vulpiani, A. On the multifractal nature of fully developed turbulence and chaotic systems. J. Phys. A 1984, 17, 3521. [Google Scholar] [CrossRef]
- Rozenbaum, E.B.; Ganeshan, S.; Galitski, V. Universal level statistics of the out-of-time-ordered operator. Phys. Rev. B 2019, 100, 035112. [Google Scholar] [CrossRef]
- Gharibyan, H.; Hanada, M.; Swingle, B.; Tezuka, M. Quantum Lyapunov spectrum. J. High Energy Phys. 2019, 2019, 82. [Google Scholar] [CrossRef]
- Haake, F. Quantum Signatures of Chaos; Springer: Berlin, Germany, 2010. [Google Scholar] [CrossRef]
- Haake, F.; Kuś, M.; Scharf, R. Classical and quantum chaos for a kicked top. Z. für Physik B Condens. Matter. 1987, 65, 381–395. [Google Scholar] [CrossRef]
- Pappalardi, S.; Russomanno, A.; Žunkovič, B.; Iemini, F.; Silva, A.; Fazio, R. Scrambling and entanglement spreading in long-range spin chains. Phys. Rev. B 2018, 98, 134303. [Google Scholar] [CrossRef]
- Seshadri, A.; Madhok, V.; Lakshminarayan, A. Tripartite mutual information, entanglement, and scrambling in permutation symmetric systems with an application to quantum chaos. Phys. Rev. E 2018, 98, 052205. [Google Scholar] [CrossRef]
- Pilatowsky-Cameo, S.; Chávez-Carlos, J.; Bastarrachea-Magnani, M.A.; Stránský, P.; Lerma-Hernández, S.; Santos, L.F.; Hirsch, J.G. Positive quantum Lyapunov exponents in experimental systems with a regular classical limit. Phys. Rev. E 2020, 101, 010202. [Google Scholar] [CrossRef]
- Sieberer, L.M.; Olsacher, T.; Elben, A.; Heyl, M.; Hauke, P.; Haake, F.; Zoller, P. Digital quantum simulation, Trotter errors, and quantum chaos of the kicked top. npj Quantum Inf. 2019, 5, 78. [Google Scholar] [CrossRef]
- Lerose, A.; Pappalardi, S. Bridging entanglement dynamics and chaos in semiclassical systems. Phys. Rev. A 2020, 102, 032404. [Google Scholar] [CrossRef]
- Benettin, G.; Galgani, L.; Giorgilli, A.; Strelcyn, J.M. Lyapunov Characteristic Exponents for smooth dynamical systems and for hamiltonian systems: A method for computing all of them. Part 1: Theory. Meccanica 1980, 15, 9–20. [Google Scholar] [CrossRef]
- Benettin, G.; Galgani, L.; Giorgilli, A.; Strelcyn, J.M. Lyapunov Characteristic Exponents for smooth dynamical systems and for hamiltonian systems: A method for computing all of them. Part 2: Numerical application. Meccanica 1980, 15, 21–30. [Google Scholar] [CrossRef]
- Roberts, D.A.; Yoshida, B. Chaos and complexity by design. J. High Energy Phys. 2017, 2017, 121. [Google Scholar] [CrossRef]
- Haehl, F.M.; Rozali, M. Effective field theory for chaotic CFTs. J. High Energy Phys. 2018, 2018, 118. [Google Scholar] [CrossRef]
- Haehl, F.M.; Rozali, M. Fine-Grained Chaos in AdS2 Gravity. Phys. Rev. Lett. 2018, 120, 121601. [Google Scholar] [CrossRef] [PubMed]
- Bhattacharyya, A.; Chemissany, W.; Haque, S.S.; Yan, B. Towards the web of quantum chaos diagnostics. Eur. Phys. J. C 2022, 82, 87. [Google Scholar] [CrossRef]
- Foini, L.; Kurchan, J. Eigenstate thermalization hypothesis and out of time order correlators. Phys. Rev. E 2019, 99, 042139. [Google Scholar] [CrossRef] [PubMed]
- Pappalardi, S.; Foini, L.; Kurchan, J. Eigenstate Thermalization Hypothesis and Free Probability. Phys. Rev. Lett. 2022, 129, 170603. [Google Scholar] [CrossRef]
- Tsuji, N.; Shitara, T.; Ueda, M. Out-of-time-order fluctuation-dissipation theorem. Phys. Rev. E 2018, 97, 012101. [Google Scholar] [CrossRef]
- Maldacena, J.; Stanford, D. Remarks on the Sachdev-Ye-Kitaev model. Phys. Rev. D 2016, 94, 106002. [Google Scholar] [CrossRef]
- Kurchan, J. Quantum Bound to Chaos and the Semiclassical Limit. J. Stat. Phys. 2018, 171, 965–979. [Google Scholar] [CrossRef]
- Pappalardi, S.; Kurchan, J. Low temperature quantum bounds on simple models. SciPost Phys. 2022, 13, 006. [Google Scholar] [CrossRef]
- Aizawa, Y. Global Aspects of the Dissipative Dynamical Systems. I: Statistical Identification and Fractal Properties of the Lorenz Chaos. Prog. Theor. Phys. 1982, 68, 64–84. [Google Scholar] [CrossRef]
- Balazs, N.; Voros, A. Chaos on the pseudosphere. Phys. Rep. 1986, 143, 109–240. [Google Scholar] [CrossRef]




Disclaimer/Publisher’s Note: The statements, opinions and data contained in all publications are solely those of the individual author(s) and contributor(s) and not of MDPI and/or the editor(s). MDPI and/or the editor(s) disclaim responsibility for any injury to people or property resulting from any ideas, methods, instructions or products referred to in the content. |
© 2023 by the authors. Licensee MDPI, Basel, Switzerland. This article is an open access article distributed under the terms and conditions of the Creative Commons Attribution (CC BY) license (https://creativecommons.org/licenses/by/4.0/).
Share and Cite
Pappalardi, S.; Kurchan, J. Quantum Bounds on the Generalized Lyapunov Exponents. Entropy 2023, 25, 246. https://doi.org/10.3390/e25020246
Pappalardi S, Kurchan J. Quantum Bounds on the Generalized Lyapunov Exponents. Entropy. 2023; 25(2):246. https://doi.org/10.3390/e25020246
Chicago/Turabian StylePappalardi, Silvia, and Jorge Kurchan. 2023. "Quantum Bounds on the Generalized Lyapunov Exponents" Entropy 25, no. 2: 246. https://doi.org/10.3390/e25020246
APA StylePappalardi, S., & Kurchan, J. (2023). Quantum Bounds on the Generalized Lyapunov Exponents. Entropy, 25(2), 246. https://doi.org/10.3390/e25020246

