Heat Transfer Analysis between R744 and HFOs inside Plate Heat Exchangers
Abstract
:1. Introduction
2. System Description
3. Theoretical Analysis
3.1. Data Reduction
3.2. Calculation Procedure
- The inputs are the cold stream inlets, outlets temperature, and hot stream pressure.
- The cold stream pressure was estimated according to the refrigerant name (N) and the specified saturation temperature.
- The cold stream enthalpies were evaluated for the artificial inlet and outlet for each cold stream.
- Then, the heat rate (Q) was estimated for each artificial section by multiplying the total mass flow rate by the enthalpy difference.
- The hot stream temperatures were evaluated using the R744 inlet temperature and the heat rate.
- Thereafter, the dimensionless numbers were evaluated. Re, We, Bd, and Bo were evaluated for the cold stream, while for the hot stream, Re and Gr were evaluated. Since the boiling number requires information from the heat flux and the overall heat transfer coefficient, as shown in Equation (7), a loop was set to iteratively solve Equations (5) and (7).
- Once the boiling number difference condition is achieved, the effectiveness, convection coefficients, and pressure drops will be evaluated and saved. Then, the calculation proceeds with the following flow rate or the number of plates. Finally, the mentioned steps were repeated for different inputs and refrigerants.
4. Discussion
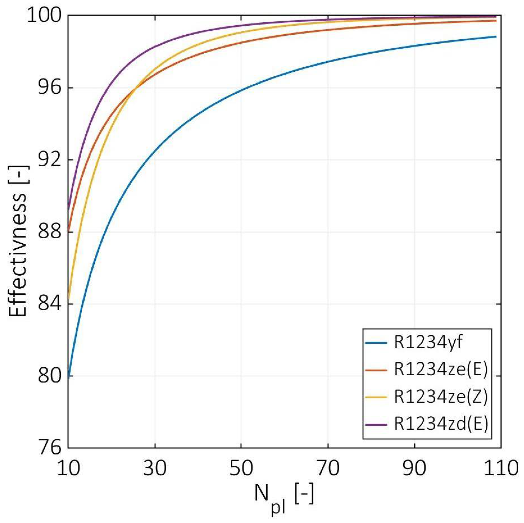
4.1. Effect of the Number of Plates
4.2. Effect of Hot Stream Inlet Pressure
4.3. Effect of Superheat
5. Conclusions
- The estimated results at various numbers of plates are in good agreement with data from the literature for both cold and hot streams. Moreover, the effectiveness, pressure drops, and heat transfer coefficients vary smoothly or slightly at different hot stream pressures, cold fluid superheating temperatures, and cold channel mass fluxes.
- The cold stream liquid-phase and gas-phase convection coefficients decrease with the increasing number of plates by 40%, when the number of plates changed from 40 and 50 to 109 for liquid-phase and gas-phase, respectively.
- The cold stream two-phase convection coefficients decrease with the increasing number of plates. This decline in the convection coefficient becomes insignificant for the number of plates higher than 40 and lower by 31% when the number of plates changed from 40 to 109. Moreover, the two-phase convection coefficients were more sensitive to the hot stream inlet pressure than the cold stream superheating temperature difference.
- The CO2 convection coefficients are almost identical regardless of the used cold fluid. Moreover, slight differences were observed with the changing hot-stream pressure. In addition, when the number of plates changed from 40 to 109, the CO2 convection dropped by 34%, which is relatively low compared to the variation at a lower number of plates.
- The two-phase flow dominates the cold stream pressure drop since it is more turbulent. Moreover, the pressure drop in the two-phase region is influenced mainly by the turbulence (Bond number) and the surface tension forces (Weber number), which are a function of the used fluid type since the Reynolds numbers were identical for the used cold fluids. On the other hand, the CO2 pressure drop has a similar tendency regardless of the used fluid. However, for both streams, an insignificant variation in the pressure drop was observed at a number of plates higher than 40.
Author Contributions
Funding
Institutional Review Board Statement
Data Availability Statement
Acknowledgments
Conflicts of Interest
References
- Shokouhmand, H.; Hasanpour, M. Effect of number of plates on the thermal performance of a plate heat exchanger with considering flow maldistribution. J. Energy Storage 2020, 32, 101907. [Google Scholar] [CrossRef]
- Kumar, B.; Soni, A.; Singh, S. Effect of geometrical parameters on the performance of chevron type plate heat exchanger. Exp. Therm. Fluid Sci. 2017, 91, 126–133. [Google Scholar] [CrossRef]
- Amalfi, R.L.; Vakili-Farahani, F.; Thome, J.R. Flow boiling and frictional pressure gradients in plate heat exchangers. Part 1: Review and experimental database. Int. J. Refrig. 2016, 61, 166–184. [Google Scholar] [CrossRef]
- Kakaç, S.; Liu, H.; Pramuanjaroenkij, A. Heat Exchangers: Selection, Rating, and Thermal Design, 2nd ed.; Taylor & Francis: Oxfordshire, UK, 2002. [Google Scholar]
- Elbarghthi, A.F.; Hafner, A.; Banasiak, K.; Dvorak, V. An experimental study of an ejector-boosted transcritical R744 refrigeration system including an exergy analysis. Energy Convers. Manag. 2021, 238, 114102. [Google Scholar] [CrossRef]
- Zendehboudi, A.; Ye, Z.; Hafner, A.; Andresen, T.; Skaugen, G. Heat transfer and pressure drop of supercritical CO2 in brazed plate heat exchangers of the tri-partite gas cooler. Int. J. Heat Mass Transf. 2021, 178, 121641. [Google Scholar] [CrossRef]
- Ehsan, M.M.; Guan, Z.; Klimenko, A. A comprehensive review on heat transfer and pressure drop characteristics and correlations with supercritical CO2 under heating and cooling applications. Renew. Sustain. Energy Rev. 2018, 92, 658–675. [Google Scholar] [CrossRef]
- Amalfi, R.L. Two-Phase Heat Transfer Mechanisms within Plate Heat Exchangers: Experiments, Modeling and Simulations; EPFL: Lausanne, Switzerland, 2016. [Google Scholar]
- Longo, G.A. Vaporisation of the low GWP refrigerant HFO1234yf inside a brazed plate heat exchanger. Int. J. Refrig. 2012, 35, 952–961. [Google Scholar] [CrossRef]
- Longo, G.A.; Mancin, S.; Righetti, G.; Zilio, C. HFO1234ze(E) vaporisation inside a Brazed Plate Heat Exchanger (BPHE): Comparison with HFC134a and HFO1234yf. Int. J. Refrig. 2016, 67, 125–133. [Google Scholar] [CrossRef]
- Longo, G.A.; Mancin, S.; Righetti, G.; Zilio, C. Boiling of the new low-GWP refrigerants R1234ze(Z) and R1233zd(E) inside a small commercial brazed plate heat exchanger. Int. J. Refrig. 2019, 104, 376–385. [Google Scholar] [CrossRef]
- Longo, G.A.; Mancin, S.; Righetti, G.; Zilio, C. HFC32 vaporisation inside a Brazed Plate Heat Exchanger (BPHE): Experimental measurements and IR thermography analysis. Int. J. Refrig. 2015, 57, 77–86. [Google Scholar] [CrossRef]
- Amalfi, R.L.; Vakili-Farahani, F.; Thome, J.R. Flow boiling and frictional pressure gradients in plate heat exchangers. Part 2: Comparison of literature methods to database and new prediction methods. Int. J. Refrig. 2016, 61, 185–203. [Google Scholar] [CrossRef]
- Lemmon, E.; Huber, M.; McLinden, M. NIST Standard Reference Database 23: Reference Fluid Thermodynamic and Transport Properties-REFPROP, Version 9.1.; Natl Std. Ref. Data Series (NIST NSRDS); National Institute of Standards and Technology: Gaithersburg, MD, USA, 2013. [Google Scholar]
- The European Parliament and the Council of the European Union. REGULATION (EU) No 517/2014. Off. J. Eur. Union 2014, 57, 195–230. Available online: https://eur-lex.europa.eu/legal-content/EN/TXT/?uri=uriserv:OJ.L_.2014.150.01.0001.01.ENG&toc=OJ:L:2014:150:TOC (accessed on 15 November 2021).
- Tashtoush, B.M.; Al-Nimr, M.A.; Khasawneh, M.A. A comprehensive review of ejector design, performance, and applications. Appl. Energy 2019, 240, 138–172. [Google Scholar] [CrossRef]
- Dorin Software Version: 20.12. Dorin. 2020. Available online: http://www.dorin.com/en/Software/ (accessed on 31 August 2021).
- Martin, H. A theoretical approach to predict the performance of chevron-type plate heat exchangers. Chem. Eng. Process. Process Intensif. 1996, 35, 301–310. [Google Scholar] [CrossRef]











| Geometrical Parameter | Value |
|---|---|
| Effective flow length L | 485 mm |
| 0.6 mm | |
| 55 mm | |
| 60° | |
| 2.8 mm | |
| Mean Channel Gap b | 2.2 mm |
| Plate width W | 245 mm |
| 6.8 mm |
Publisher’s Note: MDPI stays neutral with regard to jurisdictional claims in published maps and institutional affiliations. |
© 2022 by the authors. Licensee MDPI, Basel, Switzerland. This article is an open access article distributed under the terms and conditions of the Creative Commons Attribution (CC BY) license (https://creativecommons.org/licenses/by/4.0/).
Share and Cite
Elbarghthi, A.F.A.; Hdaib, M.Y.; Dvořák, V. Heat Transfer Analysis between R744 and HFOs inside Plate Heat Exchangers. Entropy 2022, 24, 1150. https://doi.org/10.3390/e24081150
Elbarghthi AFA, Hdaib MY, Dvořák V. Heat Transfer Analysis between R744 and HFOs inside Plate Heat Exchangers. Entropy. 2022; 24(8):1150. https://doi.org/10.3390/e24081150
Chicago/Turabian StyleElbarghthi, Anas F. A., Mohammad Yousef Hdaib, and Václav Dvořák. 2022. "Heat Transfer Analysis between R744 and HFOs inside Plate Heat Exchangers" Entropy 24, no. 8: 1150. https://doi.org/10.3390/e24081150
APA StyleElbarghthi, A. F. A., Hdaib, M. Y., & Dvořák, V. (2022). Heat Transfer Analysis between R744 and HFOs inside Plate Heat Exchangers. Entropy, 24(8), 1150. https://doi.org/10.3390/e24081150

