Dynamic Robustness of Open-Source Project Knowledge Collaborative Network Based on Opinion Leader Identification
Abstract
:1. Introduction
2. Related Work
2.1. Opinion Leader Identification
2.2. The Propagation of Opinion Leader Behavior
2.3. Complex Network Robustness
3. Construction of Directed, Weighted, Semantic-Based Knowledge Collaborative Network
3.1. Semantic-Based Weight Calculation
- Calculate the keyword candidate set : Take all collaborative content contained in the community project as the target text, then take punctuation marks and stop words as word segmentation intervals to obtain a candidate set of text keywords, .
- Construct the co-occurrence matrix: the frequency of occurrences of the candidate in the text is and the frequency of co-occurrences of and in the same phrase is. The co-occurrence matrix is:
- Calculate the candidate word weight : according to the co-occurrence matrix, obtain the degree of candidate word: = , the frequency of candidate word : , then use their ratio to represent the weight of candidate word :Arrange in descending order according to the calculated weight. Take the candidate words in the top 1/3 of the ranking as the keywords of the text and output the keyword set and the weight value of each keyword.
- Calculate the content intensity of each designer: follow step (1) to segment the overall comment content of each designer in the project to obtain a set of keyword candidates for each designer , then calculate as the sum of the weights of the keywords contained in the designer comment text:where: is the keyword set, is the candidate word set of designer, and is the keyword contained in designer.
- Obtain by normalizing .
3.2. KCN Structure Characteristics
4. Opinion Leader Identification Based on Entropy Weight and TOPSIS
4.1. Analysis of Identification Index
- 1.
- Strength centrality.
- 2.
- Closeness centrality.
- 3.
- Betweenness centrality.
- 4.
- Structural hole.
4.2. Opinion Leader Identification Method
4.2.1. Entropy Weight TOPSIS
- The decision scheme set: consists of nodes in the network. The set ofevaluation indexes: ;The index evaluation result of scheme is.
- Of the evaluation indexes selected in this paper, only the hierarchy in the structural hole is used as the cost index, and the others are used as the gain index. To eliminate the impact of different index dimensions, the evaluation results are normalized to, and then the original decision matrix is.where:, are the maximum and minimum values of the evaluation results respectively.
- The entropy weight method is selected to determine the index weight. The weight of the evaluation index is expressed as (,). The weighted standard decision matrix is obtained as follows:The set of maximum value of each evaluation index is positive ideal scheme and the set of minimum value is negative ideal scheme. The distances from each decision scheme to and are respectively calculated as follows:
- According to the above results, the nearness of each decision scheme can be further calculated:
- Finally, the final evaluation index of each decision scheme is calculated, which represents the importance of nodes in the network. This paper considers the top five nodes to be the opinion leaders in the community.
4.2.2. Opinion Leader Identification Example
4.2.3. SIR Propagation Model of Opinion Leaders’ Behavior Influence
5. Dynamic Robustness Analysis of Knowledge Collaborative Network
5.1. Robustness Evaluation Index
5.1.1. Relative Size of Network Connectivity
5.1.2. Relative Size of Weighted Efficiency H
5.2. Degradation Mode Design of Knowledge Collaboration Behavior
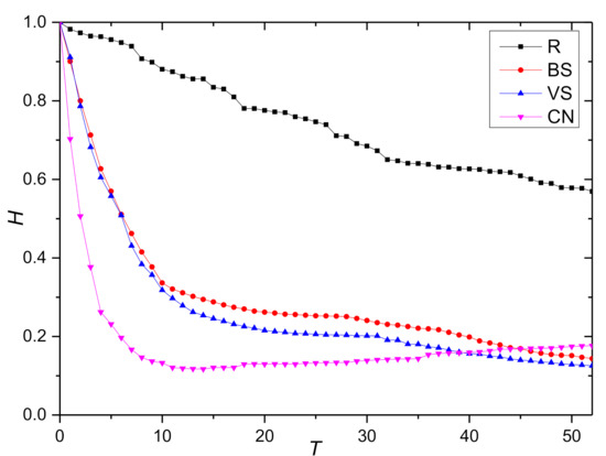
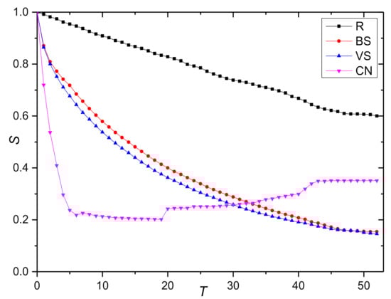
5.3. Simulation Analysis on Dynamic Robustness of KCN
6. Conclusions
- A semantic-based KCN was established by taking the weighted processing of collaboration content and collaboration frequency among designers in the OSD community as edge weights.
- The index system of strength centrality, closeness centrality, betweenness centrality, and structure hole was constructed. The multi-attribute comprehensive evaluation method of entropy weight and TOPSIS was used to identify the opinion leaders, and the SIR model of opinion leader’s behavior influence was proposed to describe the propagation of opinion leader’s behavior.
- Based on the behavior characteristics of designers in the OSD community, we designed three degradation modes based on opinion leaders’ collaborative behavior, main knowledge dissemination behavior and main knowledge contribution behavior. Robustness analysis experiments were conducted based on empirical data from the Local Motors OSD community. The analysis results showed that network robustness was the lowest under the degradation mode of opinion leaders’ collaborative behavior, followed by the degradation modes of main knowledge contribution behavior and main knowledge dissemination behavior. The degradation mode of random behavior had the highest robustness. Under the degradation mode of opinion leaders’ collaborative behavior and the propagation mode of their degraded behaviors, network performance can quickly drop to its lowest point. The continuous restoration of collaborative behaviors by nodes can cause the network performance to rise after a sustained period at its lowest state, but this increase is limited.
- The community should effectively identify the nodes of opinion leaders and encourage the knowledge collaboration behavior of such nodes with core influence. Research shows that a harmonious community environment, perfect incentive mechanism, and competitive coordination mechanism can effectively improve the collaboration behavior of nodes [62,63]. The community can establish designer privacy protection, clear intellectual property rights, and other systems. Opinion leaders could be given more incentive measures, such as resource authority, identity authentication, and privilege level. Further, increased opportunities could be given for online meetings, offline development, and other activities. At the same time, community managers should ensure timely information guidance to avoid behavior propagation caused by information deficit. For example, the setting of mechanisms such as timely information release, status updates and intelligent Q and As.
- Community managers should also pay attention to the protection of main knowledge contribution designers and main knowledge dissemination designers to avoid the degradation of their collaborative behavior. For example, the star sign should be set for the high-quality knowledge contributed by designers, and the case databases should be set up for the active users to consult and so on; this should increase the sense of worth of the main knowledge contributors. Further, the main knowledge dissemination designers should be encouraged to join in with the community management work, and attention should be paid to their opinions on the development of the community to increase their sense of belonging and achievement.
- A talent introduction mechanism should be set to attract more designers to join the community to collaborate knowledge. Further, after the degradation of designers’ behaviors, resources should be first concentrated to restore the collaborative behaviors of core influential nodes to reduce the rapid decline of network performance.
Author Contributions
Funding
Institutional Review Board Statement
Informed Consent Statement
Data Availability Statement
Conflicts of Interest
Abbreviations
| KCN | Knowledge Collaborative Network |
| OSP | Open source project |
| OSD | Open source design |
| WSP | weighted shortest path |
| CN | The degradation of opinion leaders’ collaborative behavior |
| VS | The degradation of main knowledge contribution behavior |
| BS | The degradation of main knowledge dissemination behavior |
| R | Random degradation of collaborative behavior |
References
- Hu, Y.; Zhou, H. Open source design community simulation model research based on behavior data. Comput. Integr. Manuf. Syst. 2019, 25, 1795–1805. [Google Scholar] [CrossRef]
- Pan, Y.; Xu, Y.C.; Wang, X.; Zhang, C.; Ling, H.; Lin, J. Integrating social networking support for dyadic knowledge exchange: A study in a virtual community of practice. Inf. Manag. 2015, 52, 61–70. [Google Scholar] [CrossRef]
- O’Mahony, S. Guarding the commons: How community managed software projects protect their work. Res. Policy 2003, 32, 1179–1198. [Google Scholar] [CrossRef]
- Xu, B.C.; Zhang, X.D. Opinion leader identification and following effect simulation in the open source community. Inf. Stud. Theory Appl. 2019, 42, 101–107. [Google Scholar] [CrossRef]
- Zhou, H.L. Research on Dynamic Robustness of Knowledge Collaboration Network of Open Source Product Community. Ph.D. Thesis, University of Science and Technology Beijing, Beijing, China, 2018. [Google Scholar]
- Mohammadi, S.A.; Andalib, A. Using the opinion leaders in social networks to improve the cold start challenge in recommender systems. In Proceedings of the 3rd International Conference on Web Research (ICWR), Teheran, Iran, 19–20 April 2017; pp. 62–66. [Google Scholar] [CrossRef]
- Lees-Marshment, J. Political marketing and opinion leadership: Comparative perspectives and findings. In Comparative Political Leadership; Helms, L., Ed.; Palgrave Macmillan: London, UK, 2012; pp. 165–185. [Google Scholar] [CrossRef]
- Gentina, E.; Kilic, D.; Dancoine, P.-F. Distinctive role of opinion leaders in the social networks of school adolescents: An investigation of e-cigarette use. Public Health 2017, 144, 109–116. [Google Scholar] [CrossRef] [PubMed]
- Koeslag-Kreunen, M.G.; van der Klink, M.R.; Bossche, P.V.D.; Gijselaers, W. Leadership for team learning: The case of university teacher teams. High. Educ. 2018, 75, 191–207. [Google Scholar] [CrossRef] [Green Version]
- Oueslati, W.; Arrami, S.; Dhouioui, Z.; Massaabi, M. Opinion leaders’ detection in dynamic social networks. Concurr. Comput. Pr. Exp. 2021, 33, 5692. [Google Scholar] [CrossRef]
- Anagnostopoulos, A.; Kumar, R.; Mahdian, M. Influence and correlation in social networks. In Proceedings of the 14th ACM SIGKDD International Conference on Knowledge Discovery and Data Mining—KDD 08, Las Vegas, NV, USA, 24–27 August 2008; pp. 7–15. [Google Scholar]
- Zhang, B.; Bai, Y.; Zhang, Q.; Lian, J.; Li, M. An opinion-leader mining method in social networks with a phased-clustering perspective. IEEE Access 2020, 8, 31539–31550. [Google Scholar] [CrossRef]
- Mohammadaghdam, S.; Navimipour, N.J. Opinion leaders selection in the social networks based on trust relationships propagation. Karbala Int. J. Mod. Sci. 2016, 2, 88–97. [Google Scholar] [CrossRef] [Green Version]
- Moqri, M.; Mei, X.; Qiu, L.; Bandyopadhyay, S. Effect of “following” on contributions to open source communities. J. Manag. Inform. Syst. 2018, 35, 1188–1217. [Google Scholar] [CrossRef]
- Deshpande, A.; Riehle, D. The total growth of open source. In Open Source Development, Communities and Quality, Proceedings of the IFIP 20th World Computer Congress, Working Group 2.3 on Open Source Software, Milano, Italy, 7–10 September 2008; Russo, B., Damiani, E., Hissam, S., Lundell, B., Succi, G., Eds.; Springer: Berlin/Heidelberg, Germany, 2008. [Google Scholar] [CrossRef]
- Rashid, M.; Clarke, P.M.; O’Connor, R.V. A systematic examination of knowledge loss in open source software projects. Int. J. Inf. Manag. 2019, 46, 104–123. [Google Scholar] [CrossRef]
- Shi, L.; Cheng, Y.; Shao, J.; Wang, X.; Xu, Y. A novel nonlinear leader-follower opinion dynamics model with asynchronous trust/distrust evolution. arXiv 2020, arXiv200709561S. [Google Scholar]
- Vodopivec, N.; Adam, C.; Chanteau, J.P. Modeling opinion leader’s role in the diffusion of innovation. arXiv 2021, arXiv:2101.11260. [Google Scholar]
- Quinn, K.G. Applying the popular opinion leader intervention for HIV to COVID-19. AIDS Behav. 2020, 24, 3291–3294. [Google Scholar] [CrossRef]
- Bonacich, P. Factoring and weighting approaches to status scores and clique identification. J. Math. Sociol. 1972, 2, 113–120. [Google Scholar] [CrossRef]
- Freeman, L.C. Centrality in social networks conceptual clarification. Soc. Netw. 1978, 1, 215–239. [Google Scholar] [CrossRef] [Green Version]
- Ren, Z.; Liu, J.; Feng, S.; Hu, Z.; Qiang, G. Analysis of the spreading influence of the nodes with minimum K-shell value in complex networks. Acta Phys. Sin. Chin. Ed. 2013, 62, 474–479. [Google Scholar]
- Zhu, Z.; Cui, Z.; Ding, X.; Rui, M. Identifying opinion leaders in major sudden public opinion spread based on entropy-weighted grey correlation model. J. China Soc. Sci. Tech. Inf. 2017, 36, 706–714. [Google Scholar]
- Jain, L.; Katarya, R.; Sachdeva, S. Role of Opinion Leader for the diffusion of products using Epidemic model in Online Social Network. In Proceedings of the 2019 Twelfth International Conference on Contemporary Computing (IC3), Noida, India, 8–10 August 2019; pp. 1–6. [Google Scholar] [CrossRef]
- Chen, Y.-C. A novel algorithm for mining opinion leaders in social networks. World Wide Web 2018, 22, 1279–1295. [Google Scholar] [CrossRef]
- Chen, Y.; Wang, X.; Tang, B.; Xu, R.; Yuan, B.; Xiang, X.; Bu, J. Identifying opinion leaders from online comments. In Proceedings of the Social Media Processing: Third National Conference, SMP 2014, Beijing, China, 1–2 November 2014; pp. 231–239. [Google Scholar] [CrossRef]
- Jiang, L.; Ge, B.; Xiao, W.; Gao, M. BBS opinion leader mining based on an improved PageRank algorithm using MapReduce. In Proceedings of the 2013 Chinese Automation Congress (CAC 2013), Changsha, China, 7–8 November 2013; pp. 392–396. [Google Scholar]
- Li, C.; Bai, J.; Zhang, L.; Tang, H.; Luo, Y. Opinion community detection and opinion leader detection based on text information and network topology in cloud environment. Inf. Sci. 2019, 504, 61–83. [Google Scholar] [CrossRef]
- Li, C.; Bai, J.; Wenjun, Z.; Xihao, Y. Community detection using hierarchical clustering based on edge-weighted similarity in cloud environment. Inf. Process. Manag. 2019, 56, 91–109. [Google Scholar] [CrossRef]
- Wang, C.; Du, Y.J.; Tang, M.W. Opinion leader mining algorithm in microblog platform based on topic similarity. In Proceedings of the 2nd IEEE International Conference on Computer and Communications (ICCC), Chengdu, China, 20 August 2016; pp. 160–165. [Google Scholar]
- Ye, H.; Du, J. Opinion leader mining of social network combined with hierarchical sentiment analysis. In Proceedings of the Chinese Intelligent Automation Conference, Tianjin, China, 20–22 October 2017; pp. 639–646. [Google Scholar]
- Atienza-Barthelemy, J.; Martin-Gutierrez, S.; Losada, J.C.; Benito, R.M. Relationship between ideology and language in the Catalan independence context. Sci. Rep. 2019, 9, 17148-13. [Google Scholar] [CrossRef] [PubMed]
- Shao, P.; Chen, H. Driving factors for opinion diffusion behavior in consumers on online social networks: A study of network characteristics. IEEE Access 2019, 7, 118509–118518. [Google Scholar] [CrossRef]
- Jain, L.; Katarya, R. Discover opinion leader in online social network using firefly algorithm. Expert Syst. Appl. 2019, 122, 1–15. [Google Scholar] [CrossRef]
- Katarya, R.; Gautam, D. Survey on opinion leader in social network using data mining. In Proceedings of the 5th International Conference on Advanced Computing & Communication Systems (ICACCS), Coimbatore, India, 15–16 March 2019; pp. 506–509. [Google Scholar]
- Wang, X.N.; Zhu, Z.G. Research on the law of view information communication based on improved SIR model in social network. Inf. Sci. 2017, 35, 33–37. [Google Scholar] [CrossRef]
- Zhang, W.D.; Li, S.T.; Liang, E.P. Research on social media user following behavior based on complete information game model. Inf. Sci. 2019, 37, 114–119. [Google Scholar] [CrossRef]
- Xiong, X.; Ma, J.; Wang, M.; Zhou, G.; Xu, K. Information diffusion model in modular microblogging networks. World Wide Web 2015, 18, 1051–1069. [Google Scholar] [CrossRef]
- Zhou, H.-L.; Zhang, X.-D. Dynamic robustness of knowledge collaboration network of open source product development community. Phys. A Stat. Mech. Appl. 2018, 490, 601–612. [Google Scholar] [CrossRef]
- Albert, R.; Jeong, H.; Barabasi, A. Error and attack tolerance of complex networks. Nature 2000, 406, 378–382. [Google Scholar] [CrossRef] [Green Version]
- Hao, Y.; Jia, L.; Wang, Y. Robustness of weighted networks with the harmonic closeness against cascading failures. Phys. A Stat. Mech. Appl. 2019, 541, 123373. [Google Scholar] [CrossRef]
- Wang, S.; Liu, J. Robustness of single and interdependent scale-free interaction networks with various parameters. Phys. A Stat. Mech. Appl. 2016, 460, 139–151. [Google Scholar] [CrossRef]
- Fuge, M.; Tee, K.; Agogino, A.; Maton, N. Analysis of collaborative design networks: A case study of openideo. J. Comput. Inf. Sci. Eng. 2014, 14, 021009. [Google Scholar] [CrossRef]
- Donadelli, S.M. The Impact of Knowledge Loss on Software Projects: Turnover, Customer Found Defects, and Dormant Files. M.A. Dissertation, Concordia University, Montreal, QC, Canada, 2015. [Google Scholar]
- Zhou, H.; Zhang, X.; Hu, Y. Robustness of open source product innovation community’s knowledge collaboration network under the dynamic environment. Phys. A Stat. Mech. Appl. 2020, 540, 122888. [Google Scholar] [CrossRef]
- Gamalielsson, J.; Lundell, B. Sustainability of open source software communities beyond a fork: How and why has the LibreOffice project evolved? J. Syst. Softw. 2014, 89, 128–145. [Google Scholar] [CrossRef] [Green Version]
- Schweitzer, F.; Mavrodiev, P.; Seufert, A.M.; Garcia, D. Modeling User reputation in online social networks: The role of costs, benefits, and reciprocity. Entropy 2020, 22, 1073. [Google Scholar] [CrossRef]
- Lei, S.; Zhang, X.; Xie, S.; Zheng, X. Dynamic robustness of semantic-based collaborative knowledge network of open source project. Entropy 2021, 23, 391. [Google Scholar] [CrossRef]
- Rose, S.J.; Engel, D.; Cramer, N.; Cowley, W.E. Automatic Keyword Extraction from Individual Documents; Wiley: Hoboken, NJ, USA, 2010; pp. 1–20. [Google Scholar]
- Davis, G.F.; Yoo, M.; Baker, W.E. The small world of the American corporate elite, 1982–2001. Strat. Organ. 2003, 1, 301–326. [Google Scholar] [CrossRef]
- Bellingeri, M.; Bevacqua, D.; Scotognella, F.; Cassi, D. The heterogeneity in link weights may decrease the robustness of real-world complex weighted networks. Sci. Rep. 2019, 9, 1–13. [Google Scholar] [CrossRef] [Green Version]
- Iyer, S.; Killingback, T.; Sundaram, B.; Wang, Z. Attack robustness and centrality of complex networks. PLoS ONE 2013, 8, e59613. [Google Scholar] [CrossRef] [PubMed] [Green Version]
- Huang, J. Combining entropy weight and TOPSIS method for information system selection. In Proceedings of the IEEE Conference on Cybernetics and Intelligent Systems, Chengdu, China, 21–24 September 2008; pp. 1281–1284. [Google Scholar]
- Yu, H.; Liu, Z.; Li, Y. Key nodes in complex networks identified by multi-attribute decision-making method. Acta Phys. Sin. 2013, 62, 54–62. [Google Scholar]
- Beauchamp, M.A. An improved index of centrality. Syst. Res. Behav. Sci. 1965, 10, 161–163. [Google Scholar] [CrossRef]
- Freeman, L.C. A set of measures of centrality based on betweenness. Sociometry 1977, 40, 35–41. [Google Scholar] [CrossRef]
- Burt, R.S. Structural holes and good ideas. Am. J. Sociol. 2004, 110, 349–399. [Google Scholar] [CrossRef]
- Pastor-Satorras, R.; Vespignani, A. Epidemic spreading in scale-free networks. Phys. Rev. Lett. 2001, 86, 3200–3203. [Google Scholar] [CrossRef] [PubMed] [Green Version]
- Crucitti, P.; Latora, V.; Marchiori, M.; Rapisarda, A. Efficiency of scale-free networks: Error and attack tolerance. Phys. A Stat. Mech. Appl. 2003, 320, 622–642. [Google Scholar] [CrossRef] [Green Version]
- Wang, J.; Wu, X.; Chen, Y. Invulnerability simulation of weighted complex networks with different information. J. Cent. South Univ. Sci. Technol. 2013, 44, 1888–1893. [Google Scholar]
- Bellingeri, M.; Cassi, D. Robustness of weighted networks. Phys. A Stat. Mech. Appl. 2018, 489, 47–55. [Google Scholar] [CrossRef]
- Killingsworth, B.; Xue, Y.; Liu, Y. Factors influencing knowledge sharing among global virtual teams. Team Perform. Manag. Int. J. 2016, 22, 284–300. [Google Scholar] [CrossRef]
- Corvello, V.; Chimenti, M.; Giglio, C.; Verteramo, S. An investigation on the use by academic researchers of knowledge from scientific social networking sites. Sustainability 2020, 12, 9732. [Google Scholar] [CrossRef]




| Topological Parameter | Network Characteristic | |||||||
|---|---|---|---|---|---|---|---|---|
| Number of nodes | Average out-degree | Average path length | Clustering coefficient | Network efficiency | Small world parameter | Small world characteristic | Scale free property | Assortativity |
| 463 | 7.984 | 2.6403 | 0.535 | 0.2718 | 23.2537 | Yes | Yes | No |
| Strength Centrality | Closeness Centrality | Betweenness Centrality | ||||||||
|---|---|---|---|---|---|---|---|---|---|---|
| Node | Out | Node | In | Node | In | Node | Out | Node | Betweenness | |
| 1 | 324 | 269.69 | 324 | 157.44 | 206 | 0.592 | 38 | 0.258 | 324 | 55712.934 |
| 2 | 345 | 204.84 | 345 | 113.09 | 436 | 0.535 | 87 | 0.241 | 345 | 24626.021 |
| 3 | 307 | 155.43 | 307 | 95.768 | 369 | 0.478 | 233 | 0.238 | 307 | 13746.778 |
| 4 | 208 | 144.83 | 14 | 79.208 | 45 | 0.476 | 262 | 0.236 | 14 | 8258.913 |
| 5 | 14 | 142.88 | 350 | 71.493 | 403 | 0.474 | 393 | 0.230 | 350 | 7317.06 |
| 6 | 321 | 110.1 | 321 | 68.513 | 72 | 0.439 | 143 | 0.220 | 47 | 7098.686 |
| 7 | 313 | 74.93 | 206 | 68.367 | 152 | 0.411 | 180 | 0.217 | 208 | 4458.465 |
| 8 | 90 | 70.83 | 313 | 63.012 | 441 | 0.401 | 361 | 0.216 | 321 | 4360.754 |
| 9 | 109 | 67.46 | 269 | 58.6 | 134 | 0.394 | 444 | 0.187 | 82 | 3249.533 |
| 10 | 127 | 62.14 | 420 | 51.842 | 363 | 0.393 | 266 | 0.168 | 313 | 3088.124 |
| Node | Hierarchy | Effective Size | Efficiency | Constraint |
|---|---|---|---|---|
| 112 | 0.001 | 2 | 1 | 0.5 |
| 120 | 0.001 | 2 | 1 | 0.5 |
| 320 | 0.001 | 2 | 1 | 0.5 |
| 84 | 0.001 | 1.506 | 0.502 | 0.928 |
| 357 | 0.001 | 1.156 | 0.578 | 1.062 |
| 57 | 0.001 | 1 | 0.5 | 1.364 |
| 260 | 0.001 | 1 | 0.5 | 1.367 |
| 191 | 0.001 | 1 | 0.5 | 1.412 |
| 158 | 0.001 | 1 | 0.5 | 1.422 |
| 140 | 0.002 | 1 | 0.5 | 1.371 |
| Index | SC | CC | BC | SH | |
|---|---|---|---|---|---|
| Node | |||||
| 1 | 0.0029 | 0.12819 | 0 | 0.001 | |
| 2 | 0.0138 | 0.68665 | 0.001 | 0000529 | |
| 3 | 0.0134 | 0.68427 | 0.006 | 0.00406 | |
| 4 | 0.0222 | 0.68783 | 0.0092 | 0.01190 | |
| 5 | 0.0425 | 0.68902 | 0.0049 | 0.00806 | |
| Node | |||
|---|---|---|---|
| 324 | 0.132 | 0.486 | 0.786 |
| 345 | 0.232 | 0.316 | 0.576 |
| 307 | 0.307 | 0.254 | 0.453 |
| 14 | 0.342 | 0.237 | 0.409 |
| 321 | 0.376 | 0.225 | 0.374 |
| Degradation Mode Description | Degradation Simulation Calculation Process | |
|---|---|---|
| Degradation mode of knowledge Collaboration behavior | The degradation of opinion leaders’ collaborative behavior (CN) | (1) The directed edge weight of the five identified opinion leaders in the network is reduced to the original weight times. (2) Taking the opinion leader node as the initial infection source into the model, the weight of the infected node is reduced to the original value times. At the end of evolution, the robustness index value is calculated. Take the network at this time as the current network, then identify the opinion leader node and repeat the above two steps. Repeat times to simulate the most influential node and its degradation behavior propagation mode. The simulation process is shown in Figure 2. |
| The degradation of main knowledge contribution behavior (VS) | Sort the nodes generated by the network according to out-strength. Based on the sorting result, select the top five nodes to reduce the weight of the directed edge to the original valuetimes. Take the network at this time as the current network, then calculate the out-strength of nodes and sort to reduce the directed edge weights of the first five nodes. Repeat times to simulate the degradation of main knowledge collaboration behavior. | |
| The degradation of main knowledge dissemination behavior (BS) | Sort the nodes generated by the network according to node betweenness. Based on the sorting result, select the top five nodes to reduce the weight of the directed edge to the original valuetimes. Take the network at this time as the current network, then calculate the node betweenness of nodes and sort to reduce the directed edge weights of the first five nodes. Repeat times to simulate the degradation of main knowledge dissemination behavior. | |
| Random degradation | Random degradation of collaborative behavior (R) | Randomly select five nodes to reduce the weight of the directed edge to the original value times. Repeat times to simulate the random degradation of collaborative behavior. |
| Paired Degradation Mode | M | SD | 95% Confidence | t | df | Sig | ||
|---|---|---|---|---|---|---|---|---|
| Lower Limits | Upper Limits | |||||||
| R-BS | 0.448954 | 0.012223 | 0.424437 | 0.473481 | 36.745 | 52 | 0.000 | |
| H | BS-VS | 0.033671 | 0.001818 | 0.030032 | 0.037324 | 18.544 | 52 | 0.000 |
| VS-CN | 0.087575 | 0.014925 | 0.057614 | 0.117548 | 5.868 | 52 | 0.000 | |
| R-BS | 0.392329 | 0.014702 | 0.362827 | 0.421832 | 26.685 | 52 | 0.000 | |
| S | BS-VS | 0.025411 | 0.002538 | 0.020317 | 0.030041 | 10.012 | 52 | 0.000 |
| VS-CN | 0.063971 | 0.027419 | 0.008948 | 0.118992 | 2.333 | 52 | 0.024 | |
Publisher’s Note: MDPI stays neutral with regard to jurisdictional claims in published maps and institutional affiliations. |
© 2021 by the authors. Licensee MDPI, Basel, Switzerland. This article is an open access article distributed under the terms and conditions of the Creative Commons Attribution (CC BY) license (https://creativecommons.org/licenses/by/4.0/).
Share and Cite
Lei, S.; Zhang, X.; Liu, S. Dynamic Robustness of Open-Source Project Knowledge Collaborative Network Based on Opinion Leader Identification. Entropy 2021, 23, 1235. https://doi.org/10.3390/e23091235
Lei S, Zhang X, Liu S. Dynamic Robustness of Open-Source Project Knowledge Collaborative Network Based on Opinion Leader Identification. Entropy. 2021; 23(9):1235. https://doi.org/10.3390/e23091235
Chicago/Turabian StyleLei, Shaojuan, Xiaodong Zhang, and Suhui Liu. 2021. "Dynamic Robustness of Open-Source Project Knowledge Collaborative Network Based on Opinion Leader Identification" Entropy 23, no. 9: 1235. https://doi.org/10.3390/e23091235
APA StyleLei, S., Zhang, X., & Liu, S. (2021). Dynamic Robustness of Open-Source Project Knowledge Collaborative Network Based on Opinion Leader Identification. Entropy, 23(9), 1235. https://doi.org/10.3390/e23091235

