F-Divergences and Cost Function Locality in Generative Modelling with Quantum Circuits
Abstract
:1. Introduction
2. Background
2.1. Generative Modelling
2.2. Born Machines as Implicit Generative Models
2.3. Adversarial Generative Modelling with f-Divergences
3. Training Heuristics
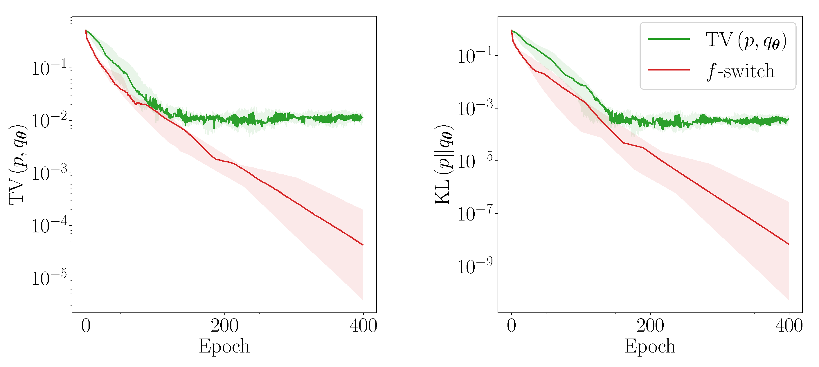
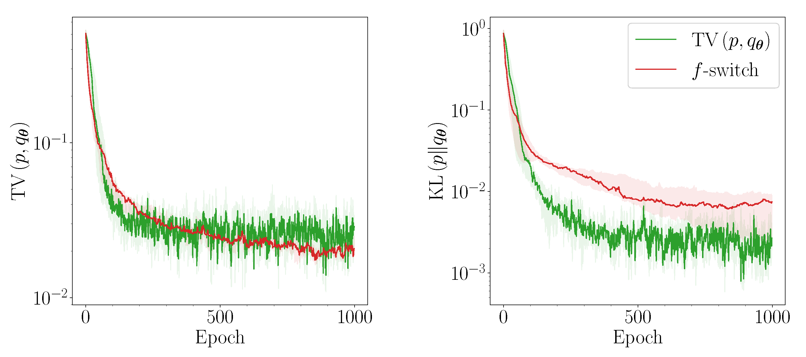
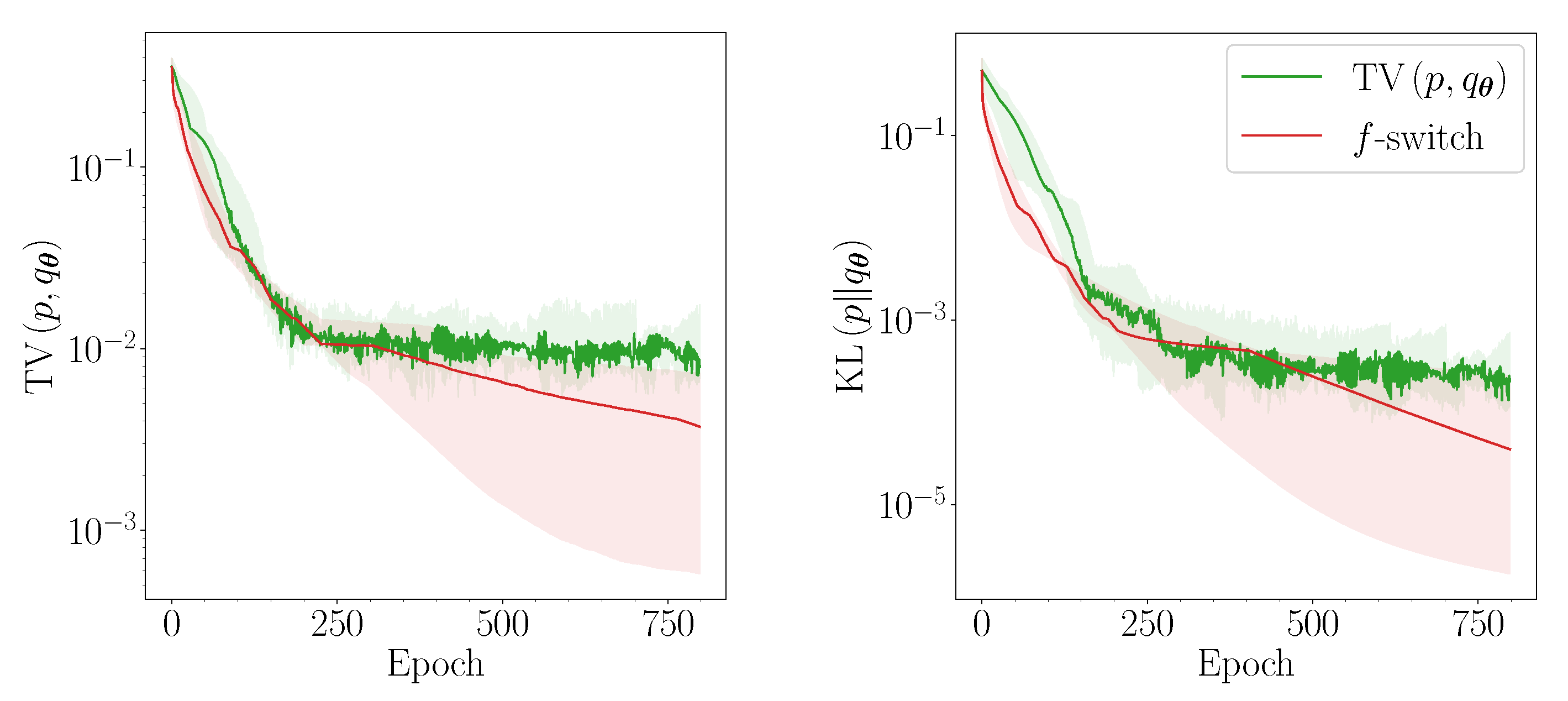
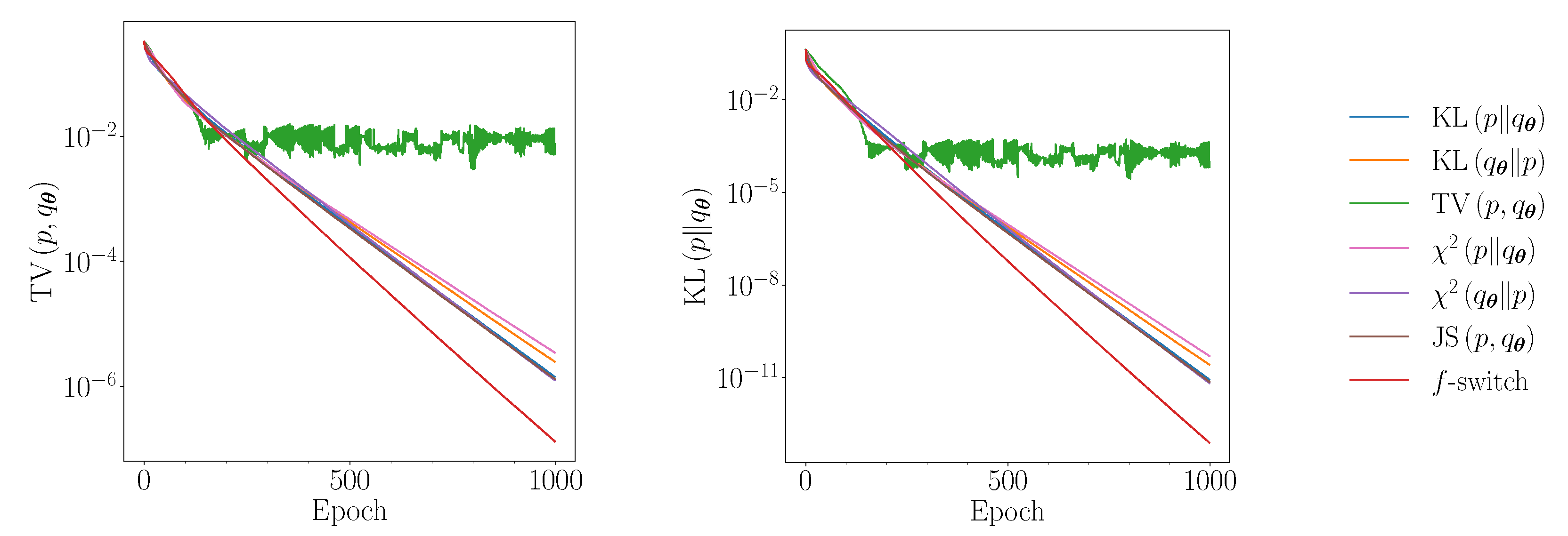
3.1. Switching f-Divergences
3.2. Local Cost Functions
4. Numerical Results
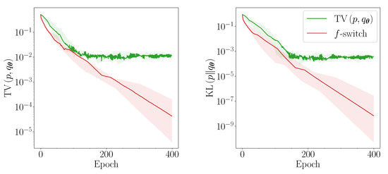
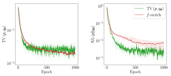
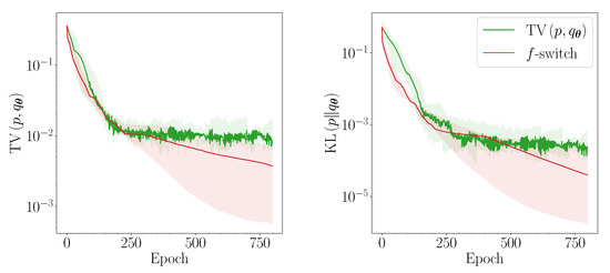
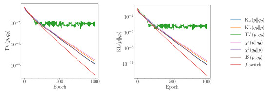
4.1. Switching f-Divergences
4.2. Local Cost Functions
5. Estimation of f-Divergences on Fault-Tolerant Quantum Computers
| Algorithm 1: Estimate the forward Pearson divergence of and on . |
![]() |
6. Discussion
Author Contributions
Funding
Data Availability Statement
Acknowledgments
Conflicts of Interest
Appendix A. Proof of Theorem 5
References
- McClean, J.R.; Romero, J.; Babbush, R.; Aspuru-Guzik, A. The theory of variational hybrid quantum-classical algorithms. New J. Phys. 2016, 18, 23023. [Google Scholar] [CrossRef]
- Benedetti, M.; Lloyd, E.; Sack, S.; Fiorentini, M. Parameterized quantum circuits as machine learning models. Quantum Sci. Technol. 2019, 4, 043001. [Google Scholar] [CrossRef] [Green Version]
- Cerezo, M.; Arrasmith, A.; Babbush, R.; Benjamin, S.C.; Endo, S.; Fujii, K.; McClean, J.R.; Mitarai, K.; Yuan, X.; Cincio, L.; et al. Variational quantum algorithms. Nat. Rev. Phys. 2021, 3, 1–20. [Google Scholar] [CrossRef]
- Bharti, K.; Cervera-Lierta, A.; Kyaw, T.H.; Haug, T.; Alperin-Lea, S.; Anand, A.; Degroote, M.; Heimonen, H.; Kottmann, J.S.; Menke, T.; et al. Noisy intermediate-scale quantum (NISQ) algorithms. arXiv 2021, arXiv:2101.08448. [Google Scholar]
- Li, W.; Deng, D.L. Recent advances for quantum classifiers. arXiv 2021, arXiv:2108.13421. [Google Scholar]
- Grant, E.; Benedetti, M.; Cao, S.; Hallam, A.; Lockhart, J.; Stojevic, V.; Green, A.G.; Severini, S. Hierarchical quantum classifiers. NPJ Quantum Inf. 2018, 4, 65. [Google Scholar] [CrossRef] [Green Version]
- Cong, I.; Choi, S.; Lukin, M.D. Quantum convolutional neural networks. Nat. Phys. 2019, 15, 1273–1278. [Google Scholar] [CrossRef] [Green Version]
- Schuld, M.; Killoran, N. Quantum Machine Learning in Feature Hilbert Spaces. Phys. Rev. Lett. 2019, 122, 40504. [Google Scholar] [CrossRef] [Green Version]
- Havlíček, V.; Córcoles, A.D.; Temme, K.; Harrow, A.W.; Kandala, A.; Chow, J.M.; Gambetta, J.M. Supervised learning with quantum-enhanced feature spaces. Nature 2019, 567, 209–212. [Google Scholar] [CrossRef] [Green Version]
- LaRose, R.; Coyle, B. Robust data encodings for quantum classifiers. Phys. Rev. A 2020, 102, 032420. [Google Scholar] [CrossRef]
- Romero, J.; Olson, J.P.; Aspuru-Guzik, A. Quantum autoencoders for efficient compression of quantum data. Quantum Sci. Technol. 2017, 2, 45001. [Google Scholar] [CrossRef] [Green Version]
- Pepper, A.; Tischler, N.; Pryde, G.J. Experimental Realization of a Quantum Autoencoder: The Compression of Qutrits via Machine Learning. Phys. Rev. Lett. 2019, 122, 60501. [Google Scholar] [CrossRef] [PubMed] [Green Version]
- Ding, Y.; Lamata, L.; Sanz, M.; Chen, X.; Solano, E. Experimental Implementation of a Quantum Autoencoder via Quantum Adders. Adv. Quantum Technol. 2019, 2, 1800065. [Google Scholar] [CrossRef] [Green Version]
- Otterbach, J.S.; Manenti, R.; Alidoust, N.; Bestwick, A.; Block, M.; Bloom, B.; Caldwell, S.; Didier, N.; Fried, E.S.; Hong, S.; et al. Unsupervised Machine Learning on a Hybrid Quantum Computer. arXiv 2017, arXiv:1712.05771. [Google Scholar]
- Liu, J.G.; Wang, L. Differentiable learning of quantum circuit Born machines. Phys. Rev. A 2018, 98, 62324. [Google Scholar] [CrossRef] [Green Version]
- Benedetti, M.; Garcia-Pintos, D.; Perdomo, O.; Leyton-Ortega, V.; Nam, Y.; Perdomo-Ortiz, A. A generative modeling approach for benchmarking and training shallow quantum circuits. NPJ Quantum Inf. 2019, 5, 45. [Google Scholar] [CrossRef]
- Hamilton, K.E.; Dumitrescu, E.F.; Pooser, R.C. Generative model benchmarks for superconducting qubits. Phys. Rev. A 2019, 99, 62323. [Google Scholar] [CrossRef] [Green Version]
- Zhu, D.; Linke, N.M.; Benedetti, M.; Landsman, K.A.; Nguyen, N.H.; Alderete, C.H.; Perdomo-Ortiz, A.; Korda, N.; Garfoot, A.; Brecque, C.; et al. Training of quantum circuits on a hybrid quantum computer. Sci. Adv. 2019, 5, eaaw9918. [Google Scholar] [CrossRef] [Green Version]
- Coyle, B.; Mills, D.; Danos, V.; Kashefi, E. The Born supremacy: Quantum advantage and training of an Ising Born machine. NPJ Quantum Inf. 2020, 6, 60. [Google Scholar] [CrossRef]
- Du, Y.; Hsieh, M.H.; Liu, T.; Tao, D. Expressive power of parametrized quantum circuits. Phys. Rev. Res. 2020, 2, 33125. [Google Scholar] [CrossRef]
- Anand, A.; Romero, J.; Degroote, M.; Aspuru-Guzik, A. Noise Robustness and Experimental Demonstration of a Quantum Generative Adversarial Network for Continuous Distributions. Adv. Quantum Technol. 2021, 4, 2000069. [Google Scholar] [CrossRef]
- Leyton-Ortega, V.; Perdomo-Ortiz, A.; Perdomo, O. Robust implementation of generative modeling with parametrized quantum circuits. Quantum Mach. Intell. 2021, 3, 17. [Google Scholar] [CrossRef]
- Dallaire-Demers, P.L.; Killoran, N. Quantum generative adversarial networks. Phys. Rev. A 2018, 98, 12324. [Google Scholar] [CrossRef] [Green Version]
- Hu, L.; Wu, S.H.; Cai, W.; Ma, Y.; Mu, X.; Xu, Y.; Wang, H.; Song, Y.; Deng, D.L.; Zou, C.L.; et al. Quantum generative adversarial learning in a superconducting quantum circuit. Sci. Adv. 2019, 5, eaav2761. [Google Scholar] [CrossRef] [Green Version]
- Zeng, J.; Wu, Y.; Liu, J.G.; Wang, L.; Hu, J. Learning and inference on generative adversarial quantum circuits. Phys. Rev. A 2019, 99, 52306. [Google Scholar] [CrossRef] [Green Version]
- Zoufal, C.; Lucchi, A.; Woerner, S. Quantum Generative Adversarial Networks for learning and loading random distributions. NPJ Quantum Inf. 2019, 5, 103. [Google Scholar] [CrossRef] [Green Version]
- Verdon, G.; Marks, J.; Nanda, S.; Leichenauer, S.; Hidary, J. Quantum Hamiltonian-Based Models and the Variational Quantum Thermalizer Algorithm. arXiv 2019, arXiv:1910.02071. [Google Scholar]
- Huang, H.L.; Du, Y.; Gong, M.; Zhao, Y.; Wu, Y.; Wang, C.; Li, S.; Liang, F.; Lin, J.; Xu, Y.; et al. Experimental Quantum Generative Adversarial Networks for Image Generation. arXiv 2020, arXiv:2010.06201. [Google Scholar]
- Situ, H.; He, Z.; Wang, Y.; Li, L.; Zheng, S. Quantum generative adversarial network for generating discrete distribution. Inf. Sci. 2020, 538, 193–208. [Google Scholar] [CrossRef]
- Coyle, B.; Henderson, M.; Le, J.C.J.; Kumar, N.; Paini, M.; Kashefi, E. Quantum versus classical generative modelling in finance. Quantum Sci. Technol. 2021, 6, 024013. [Google Scholar] [CrossRef]
- Liu, W.; Zhang, Y.; Deng, Z.; Zhao, J.; Tong, L. A hybrid quantum-classical conditional generative adversarial network algorithm for human-centered paradigm in cloud. EURASIP J. Wirel. Commun. Netw. 2021, 2021, 37. [Google Scholar] [CrossRef]
- Rudolph, M.S.; Toussaint, N.B.; Katabarwa, A.; Johri, S.; Peropadre, B.; Perdomo-Ortiz, A. Generation of High-Resolution Handwritten Digits with an Ion-Trap Quantum Computer. arXiv 2020, arXiv:2012.03924. [Google Scholar]
- Benedetti, M.; Coyle, B.; Fiorentini, M.; Lubasch, M.; Rosenkranz, M. Variational inference with a quantum computer. arXiv 2021, arXiv:2103.06720. [Google Scholar]
- Cheng, S.; Chen, J.; Wang, L. Information Perspective to Probabilistic Modeling: Boltzmann Machines versus Born Machines. Entropy 2018, 20, 583. [Google Scholar] [CrossRef] [PubMed] [Green Version]
- Sugiyama, M.; Suzuki, T.; Kanamori, T. Density Ratio Estimation in Machine Learning; Cambridge University Press: Cambridge, UK, 2012. [Google Scholar]
- Cerezo, M.; Sone, A.; Volkoff, T.; Cincio, L.; Coles, P.J. Cost function dependent barren plateaus in shallow parametrized quantum circuits. Nat. Commun. 2021, 12, 1791. [Google Scholar] [CrossRef] [PubMed]
- Uvarov, A.V.; Biamonte, J.D. On barren plateaus and cost function locality in variational quantum algorithms. J. Phys. A Math. Theor. 2021, 54, 245301. [Google Scholar] [CrossRef]
- Bravyi, S.; Harrow, A.W.; Hassidim, A. Quantum Algorithms for Testing Properties of Distributions. IEEE Trans. Inf. Theory 2011, 57, 3971–3981. [Google Scholar] [CrossRef] [Green Version]
- Montanaro, A. Quantum speedup of Monte Carlo methods. Proc. R. Soc. A Math. Phys. Eng. Sci. 2015, 471, 20150301. [Google Scholar] [CrossRef] [PubMed] [Green Version]
- Li, T.; Wu, X. Quantum Query Complexity of Entropy Estimation. IEEE Trans. Inf. Theory 2019, 65, 2899–2921. [Google Scholar] [CrossRef] [Green Version]
- Bowman, S.R.; Vilnis, L.; Vinyals, O.; Dai, A.M.; Jozefowicz, R.; Bengio, S. Generating Sentences from a Continuous Space. arXiv 2016, arXiv:1511.06349. [Google Scholar]
- Zhu, J.; Park, T.; Isola, P.; Efros, A.A. Unpaired Image-to-Image Translation Using Cycle-Consistent Adversarial Networks. In Proceedings of the 2017 IEEE International Conference on Computer Vision, Venice, Italy, 22–29 October 2017; pp. 2242–2251. [Google Scholar] [CrossRef] [Green Version]
- Simonovsky, M.; Komodakis, N. GraphVAE: Towards Generation of Small Graphs Using Variational Autoencoders. In Proceedings of the 27th Int. Conf. Artif. Neural Networks, Rhodes, Greece, 4–7 October 2018; Springer: Berlin/Heidelberg, Germany, 2018; pp. 412–422. [Google Scholar] [CrossRef] [Green Version]
- Sinha, S.; Ebrahimi, S.; Darrell, T. Variational Adversarial Active Learning. In Proceedings of the IEEE/CVF International Conference on Computer Vision, Seoul, Korea, 27 October–2 November 2019; pp. 5971–5980. [Google Scholar] [CrossRef] [Green Version]
- Ha, D.; Schmidhuber, J. World Models. arXiv 2018, arXiv:1803.10122. [Google Scholar]
- Ilse, M.; Tomczak, J.M.; Louizos, C.; Welling, M. DIVA: Domain Invariant Variational Autoencoders. arXiv 2019, arXiv:1905.10427. [Google Scholar]
- Brehmer, J.; Kling, F.; Espejo, I.; Cranmer, K. MadMiner: Machine Learning-Based Inference for Particle Physics. Comput. Softw. Big Sci. 2020, 4, 3. [Google Scholar] [CrossRef] [Green Version]
- Oord, A.V.D.; Dieleman, S.; Zen, H.; Simonyan, K.; Vinyals, O.; Graves, A.; Kalchbrenner, N.; Senior, A.; Kavukcuoglu, K. WaveNet: A Generative Model for Raw Audio. arXiv 2016, arXiv:1609.03499. [Google Scholar]
- Diggle, P.J.; Gratton, R.J. Monte Carlo Methods of Inference for Implicit Statistical Models. J. R. Stat. Soc. Ser. B 1984, 46, 193–212. [Google Scholar] [CrossRef]
- Mohamed, S.; Lakshminarayanan, B. Learning in Implicit Generative Models. arXiv 2017, arXiv:1610.03483. [Google Scholar]
- Frey, B.J. Graphical Models for Machine Learning and Digital Communication; MIT Press: Cambridge, MA, USA, 1998. [Google Scholar]
- Uria, B.; Côté, M.A.; Gregor, K.; Murray, I.; Larochelle, H. Neural Autoregressive Distribution Estimation. arXiv 2016, arXiv:1605.02226. [Google Scholar]
- Rippel, O.; Adams, R.P. High-Dimensional Probability Estimation with Deep Density Models. arXiv 2013, arXiv:1302.5125. [Google Scholar]
- Rezende, D.J.; Mohamed, S. Variational Inference with Normalizing Flows. In Proceedings of the 32nd International Conference on Machine Learning, Lille, France, 7–9 July 2015; pp. 1530–1538. [Google Scholar]
- Dinh, L.; Sohl-Dickstein, J.; Bengio, S. Density Estimation Using Real NVP; ICLR, 2017; Available online: https://arxiv.org/abs/1605.08803 (accessed on 27 September 2021).
- Kingma, D.P.; Welling, M. Auto-Encoding Variational Bayes. arXiv 2014, arXiv:1312.6114. [Google Scholar]
- Rezende, D.J.; Mohamed, S.; Wierstra, D. Stochastic backpropagation and approximate inference in deep generative models. In Proceedings of the 31st International Conference on Machine Learning, Beijing, China, 21–26 June 2014; pp. 1278–1286. [Google Scholar]
- Ackley, D.H.; Hinton, G.E.; Sejnowski, T.J. A learning algorithm for boltzmann machines. Cogn. Sci. 1985, 9, 147–169. [Google Scholar] [CrossRef]
- Hinton, G.E.; Osindero, S.; Teh, Y. A fast learning algorithm for deep belief nets. Neural Comput. 2006, 18, 1527–1554. [Google Scholar] [CrossRef]
- Salakhutdinov, R.; Hinton, G. Deep Boltzmann Machines. In Proceedings of the International Conference on Artificial Intelligence and Statistics, Clearwater Beach, FL, USA, 16–18 April 2009; pp. 448–455. [Google Scholar]
- Bengio, Y.; Thibodeau-Laufer, E.; Alain, G.; Yosinski, J. Deep Generative Stochastic Networks Trainable by Backprop. In Proceedings of the 31st International Conference on Machine Learning, Beijing, China, 21–26 June 2014. [Google Scholar]
- Dziugaite, G.K.; Roy, D.M.; Ghahramani, Z. Training generative neural networks via maximum mean discrepancy optimization. In Proceedings of the 31st Conference on Uncertainty in Artificial Intelligence, Amsterdam, The Netherlands, 12–16 July 2015; pp. 258–267. [Google Scholar]
- Li, Y.; Swersky, K.; Zemel, R. Generative Moment Matching Networks. In Proceedings of the 32nd International Conference on Machine Learning, Lille, France, 7–9 July 2015; pp. 1718–1727. [Google Scholar]
- Goodfellow, I.; Pouget-Abadie, J.; Mirza, M.; Xu, B.; Warde-Farley, D.; Ozair, S.; Courville, A.; Bengio, Y. Generative adversarial nets. In Proceedings of the 27th International Conference on Neural Information Processing Systems—Volume 2, Montreal, QC, Canada, 8–13 December 2014; pp. 2672–2680. [Google Scholar]
- Born, M. Zur Quantenmechanik der Stoßvorgänge. Z. Phys. 1926, 37, 863–867. [Google Scholar] [CrossRef]
- Glasser, I.; Sweke, R.; Pancotti, N.; Eisert, J.; Cirac, J.I. Expressive power of tensor-network factorizations for probabilistic modeling. In Proceedings of the 33rd Conference on Neural Information Processing Systems (NeurIPS 2019), Vancouver, BC, Canada, 8–14 December 2019. [Google Scholar]
- Bremner, M.J.; Montanaro, A.; Shepherd, D.J. Average-Case Complexity Versus Approximate Simulation of Commuting Quantum Computations. Phys. Rev. Lett. 2016, 117, 80501. [Google Scholar] [CrossRef]
- Boixo, S.; Isakov, S.V.; Smelyanskiy, V.N.; Babbush, R.; Ding, N.; Jiang, Z.; Bremner, M.J.; Martinis, J.M.; Neven, H. Characterizing quantum supremacy in near-term devices. Nat. Phys. 2018, 14, 595–600. [Google Scholar] [CrossRef]
- Bouland, A.; Fefferman, B.; Nirkhe, C.; Vazirani, U. On the complexity and verification of quantum random circuit sampling. Nat. Phys. 2019, 15, 159–163. [Google Scholar] [CrossRef]
- Arute, F.; Arya, K.; Babbush, R.; Bacon, D.; Bardin, J.C.; Barends, R.; Biswas, R.; Boixo, S.; Brandao, F.G.S.L.; Buell, D.A.; et al. Quantum supremacy using a programmable superconducting processor. Nature 2019, 574, 505–510. [Google Scholar] [CrossRef] [PubMed] [Green Version]
- Mitarai, K.; Negoro, M.; Kitagawa, M.; Fujii, K. Quantum circuit learning. Phys. Rev. A 2018, 98, 032309. [Google Scholar] [CrossRef] [Green Version]
- Csiszár, I. Information-type measures of difference of probability distributions and indirect observation. Stud. Sci. Math. Hung. 1967, 2, 229–318. [Google Scholar]
- Ali, S.M.; Silvey, S. A General Class of Coefficients of Divergence of One Distribution from Another. J. R. Stat. Soc. Ser.-Methodol. 1966, 28, 131–142. [Google Scholar] [CrossRef]
- Amari, S. α-Divergence Is Unique, Belonging to Both f-Divergence and Bregman Divergence Classes. IEEE Trans. Inf. Theory 2009, 55, 4925–4931. [Google Scholar] [CrossRef]
- Heusel, M.; Ramsauer, H.; Unterthiner, T.; Nessler, B.; Hochreiter, S. GANs Trained by a Two Time-Scale Update Rule Converge to a Local Nash Equilibrium. arXiv 2018, arXiv:1706.08500. [Google Scholar]
- Csiszár, I.; Shields, P. Information Theory and Statistics: A Tutorial; Foundations and Trends® in Communications and Information Theory; Now Publishers Inc.: Boston, MA, USA, 2004; Volume 1, pp. 417–528. [Google Scholar] [CrossRef] [Green Version]
- Uehara, M.; Sato, I.; Suzuki, M.; Nakayama, K.; Matsuo, Y. Generative Adversarial Nets from a Density Ratio Estimation Perspective. arXiv 2016, arXiv:1610.02920. [Google Scholar]
- Arjovsky, M.; Chintala, S.; Bottou, L. Wasserstein Generative Adversarial Networks. In Proceedings of the 34th International Conference on Machine Learning, Sydney, Australia, 6–11 August 2017; Volume 70, pp. 214–223. [Google Scholar]
- Nowozin, S.; Cseke, B.; Tomioka, R. f-GAN: Training Generative Neural Samplers using Variational Divergence Minimization. In Proceedings of the 30th Conference on Neural Information Processing Systems, Spain, Barcelona, 5–10 December 2016. [Google Scholar]
- McClean, J.R.; Boixo, S.; Smelyanskiy, V.N.; Babbush, R.; Neven, H. Barren plateaus in quantum neural network training landscapes. Nat. Commun. 2018, 9, 4812. [Google Scholar] [CrossRef] [Green Version]
- Grant, E.; Wossnig, L.; Ostaszewski, M.; Benedetti, M. An initialization strategy for addressing barren plateaus in parametrized quantum circuits. Quantum 2019, 3, 214. [Google Scholar] [CrossRef]
- Arrasmith, A.; Cerezo, M.; Czarnik, P.; Cincio, L.; Coles, P.J. Effect of barren plateaus on gradient-free optimization. arXiv 2020, arXiv:2011.12245. [Google Scholar]
- Marrero, C.O.; Kieferová, M.; Wiebe, N. Entanglement Induced Barren Plateaus. arXiv 2021, arXiv:2010.15968. [Google Scholar]
- Patti, T.L.; Najafi, K.; Gao, X.; Yelin, S.F. Entanglement devised barren plateau mitigation. Phys. Rev. Res. 2021, 3, 033090. [Google Scholar] [CrossRef]
- Arrasmith, A.; Holmes, Z.; Cerezo, M.; Coles, P.J. Equivalence of quantum barren plateaus to cost concentration and narrow gorges. arXiv 2021, arXiv:2104.05868. [Google Scholar]
- Holmes, Z.; Sharma, K.; Cerezo, M.; Coles, P.J. Connecting ansatz expressibility to gradient magnitudes and barren plateaus. arXiv 2021, arXiv:2101.02138. [Google Scholar]
- Larocca, M.; Czarnik, P.; Sharma, K.; Muraleedharan, G.; Coles, P.J.; Cerezo, M. Diagnosing barren plateaus with tools from quantum optimal control. arXiv 2021, arXiv:2105.14377. [Google Scholar]
- Wang, S.; Fontana, E.; Cerezo, M.; Sharma, K.; Sone, A.; Cincio, L.; Coles, P.J. Noise-Induced Barren Plateaus in Variational Quantum Algorithms. arXiv 2021, arXiv:2007.14384. [Google Scholar]
- Sivarajah, S.; Dilkes, S.; Cowtan, A.; Simmons, W.; Edgington, A.; Duncan, R. t|ket>: A retargetable compiler for NISQ devices. Quantum Sci. Technol. 2020, 6, 14003. [Google Scholar] [CrossRef]
- Aleksandrowicz, G.; Alexander, T.; Barkoutsos, P.; Bello, L.; Ben-Haim, Y.; Bucher, D.; Cabrera-Hernández, F.J.; Carballo-Franquis, J.; Chen, A.; Chen, C.-F.; et al. Qiskit: An Open-source Framework for Quantum Computing. 2021. Available online: https://zenodo.org/record/2562111#.YVUWKzURXIU (accessed on 27 September 2021).
- Paszke, A.; Gross, S.; Massa, F.; Lerer, A.; Bradbury, J.; Chanan, G.; Killeen, T.; Lin, Z.; Gimelshein, N.; Antiga, L.; et al. PyTorch: An Imperative Style, High-Performance Deep Learning Library. arXiv 2019, arXiv:1912.01703 [cs.LG]. [Google Scholar]
- Pedregosa, F.; Varoquaux, G.; Gramfort, A.; Michel, V.; Thirion, B.; Grisel, O.; Blondel, M.; Prettenhofer, P.; Weiss, R.; Dubourg, V.; et al. Scikit-learn: Machine Learning in Python. J. Mach. Learn. Res. 2011, 12, 2825–2830. [Google Scholar]
- Han, Y.; Jiao, J.; Weissman, T. Minimax Estimation of Divergences Between Discrete Distributions. IEEE J. Sel. Areas Inf. Theory 2020, 1, 814–823. [Google Scholar] [CrossRef]
- Chan, S.O.; Diakonikolas, I.; Valiant, G.; Valiant, P. Optimal Algorithms for Testing Closeness of Discrete Distributions. arXiv 2013, arXiv:1308.3946. [Google Scholar]
- Brassard, G.; Høyer, P.; Mosca, M.; Tapp, A. Quantum amplitude amplification and estimation. Quantum Comput. Inf. 2002, 305, 53–74. [Google Scholar] [CrossRef] [Green Version]
- Sriperumbudur, B.K.; Fukumizu, K.; Gretton, A.; Schölkopf, B.; Lanckriet, G.R.G. On integral probability metrics, ϕ-divergences and binary classification. arXiv 2009, arXiv:0901.2698. [Google Scholar]
- Nielsen, F.; Nock, R. On the chi square and higher-order chi distances for approximating f-divergences. IEEE Signal Process. Lett. 2014, 21, 10–13. [Google Scholar] [CrossRef] [Green Version]









| f-Divergence | Definition | Parameter-Shift | |
|---|---|---|---|
| total variation | |||
| squared Hellinger | |||
| Kullback–Leibler (type I, forward) | |||
| Kullback–Leibler (type I, reverse) | |||
| Kullback–Leibler (type II, forward) | |||
| Kullback–Leibler (type II, reverse) | |||
| Pearson (forward) | |||
| Pearson (reverse) |
| f-Divergence | Definition | Parameter-Shift |
|---|---|---|
| symmetric Kullback–Leibler (type I, Jeffrey) | ||
| symmetric Kullback–Leibler (type II, Jensen–Shannon) | ||
| symmetric Pearson |
| Severely over Parameterised (OO) | over Parameterised (O) | Exactly Parameterised (E) | under Parameterised (U) | Severely under Parameterised (UU) | |
|---|---|---|---|---|---|
| Number of parameters (layers) used to generate the target p | 12 parameters (1 layer) | 12 parameters (1 layer) | 12 parameters (1 layer) | 30 parameters (4 layers) | 30 parameters (4 layers) |
| Number of parameters (layers) used for the model | 30 parameters (4 layers) | 24 parameters (3 layers) | 12 parameters (1 layer) | 18 parameters (2 layers) | 12 parameters (1 layer) |
Evaluated | Used in Training | OO (12, 30) | O (12, 24) | E (12, 12) | U (30, 18) | UU (30, 12) |
|---|---|---|---|---|---|---|
| TV | TV | |||||
| TV | f-switch | * | * | |||
| KL | TV | |||||
| KL | f-switch | * |
Publisher’s Note: MDPI stays neutral with regard to jurisdictional claims in published maps and institutional affiliations. |
© 2021 by the authors. Licensee MDPI, Basel, Switzerland. This article is an open access article distributed under the terms and conditions of the Creative Commons Attribution (CC BY) license (https://creativecommons.org/licenses/by/4.0/).
Share and Cite
Leadbeater, C.; Sharrock, L.; Coyle, B.; Benedetti, M. F-Divergences and Cost Function Locality in Generative Modelling with Quantum Circuits. Entropy 2021, 23, 1281. https://doi.org/10.3390/e23101281
Leadbeater C, Sharrock L, Coyle B, Benedetti M. F-Divergences and Cost Function Locality in Generative Modelling with Quantum Circuits. Entropy. 2021; 23(10):1281. https://doi.org/10.3390/e23101281
Chicago/Turabian StyleLeadbeater, Chiara, Louis Sharrock, Brian Coyle, and Marcello Benedetti. 2021. "F-Divergences and Cost Function Locality in Generative Modelling with Quantum Circuits" Entropy 23, no. 10: 1281. https://doi.org/10.3390/e23101281
APA StyleLeadbeater, C., Sharrock, L., Coyle, B., & Benedetti, M. (2021). F-Divergences and Cost Function Locality in Generative Modelling with Quantum Circuits. Entropy, 23(10), 1281. https://doi.org/10.3390/e23101281


