Program for the Special State Theory of Quantum Measurement
Abstract
:1. Introduction
2. Theory Review
2.1. Special States in Quantum Mechanics
2.2. Thermodynamics and the Arrow of Time
2.3. Recovering the Born Probabilities
3. Program: Open Problems
3.1. Experiments
3.1.1. Force-Free Rotation?
- Vacuum. This measurement must be done in a vacuum. Molecular beams require a good vacuum ( Torr in the indicated references [35]).
- Zero field along the way. In Stern’s double SG experiment [30], it was difficult (but eventually possible) to create a region of zero magnetic field, necessary to avoid having the spins adiabatically follow the magnetic field.
- Fluctuations in the field near the magnets. The fields along the principal direction in the SG experiment is about 1/2 T, and the gradient about 1/6 T/mm. With such strong fields, you would need considerable stability to distinguish the relatively small fields that provide the kicks. This is especially true for the regions where the atom enters and exits the magnets, where significant variation is expected [7].
- Looking for the kick along the whole path. Using Equation (1), I assumed a particular orientation for the spin. However, the only way of knowing this is the preparation process itself. Therefore, one must look along the entire path of the atom, from the exit from one magnet, to the entry to the other.
3.2. Theoretical Issues
- Identical particles. On the one hand, the fact that all electrons (etc.) are the same reduces the size of phase space. On the other hand, the wave function of one electron can be substituted for any other (where the word “other” is also meaningless). Thus, the living and dead cats of Section 2.1 could be re-united using whatever pieces of electron (etc.) wave function were available.
- Are there ways to justify special states other than the two-time boundary condition? The connection to boundary value problems seems to tie the special states notion to cosmology. However, there may be entirely different reasons for a particular subset of all possible states to be selected. Similarly, a “two time boundary condition” may only be a palatable way for us to formulate such a constraint. Moreover, in a deterministic world, conditions at a single time are sufficient, so again the use of two times (with incomplete data at each time) is a human convenience.Even if one phrases the special state-yielding constraint as a two-time boundary condition, which (two) times are to be selected? Big Bang, Big Crunch? Pre/post inflation (or maybe a bounce)? My use of the two-time language was to make such a selection plausible, but I can say nothing beyond that.
- Non-zero amplitude for “wrong” outcomes. I remind the reader that the special states in the example of the boson gas (Section 2.1) were not perfect. For a space of 250 dimensions (bosons of the right parity), there was probability in the undesired outcome of or . As noted earlier, with a boundary condition rationale for “specializing,” the degree of perfection desired depends on the boundary conditions. Given that the phase space size (dimension) is enormously larger than 250, one could imagine that the wrong-outcome amplitude would be sufficiently small. Or it might not—this is an open question.
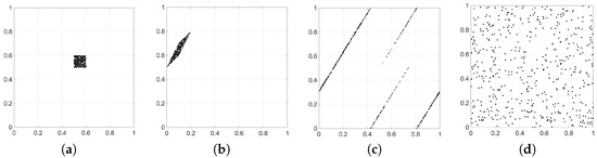
- For the example given in Section 2.1, the probabilities for the relative outcomes were about half-half. Suppose they were 30–70%; matching the Born probabilities requires that the special states come in the same ratio. In my computer calculations until now, this has not been the case. This may mean the whole story is wrong. It is more likely though that the distribution of really special states has not been probed. Note that N bosons in principle have an infinity of possible dimensions, but even cutting them off at dimensions implies a Hilbert space of dimensions. The 250 in my spin-boson calculation begins to look small. If the theory is correct, there are two implications: I need a much larger phase space and I want the special states to have the Cauchy distribution (cf. Section 2.3). With the Cauchy distribution, I know analytically that the probabilities come out right.
- Something that has been found to favor special states and reduced entanglement is my result in [38]. For various reasons, it is often maintained that in time wave functions become Gaussians. If that is true, it was found that as packets scatter off one another, there is a cessation of entanglement. You might wonder how that can be, since conservation of momentum seems to demand continuing levels of entanglement, but the Gaussian has only quadratic terms in the exponent. If the spread of the wave function is inversely proportional to mass, the cross term due to momentum conservation disappears. Moreover, even if this spread does not initially have this proportionality, it acquires it in relatively few scattering events.
- Is there any way to estimate the number of special states needed? Their rarity surely involves large exponentials, but that doesn’t say much. For example, if you were challenged to take a pail of water and have it turn into a statue of a polar bear while making the local environment colder, you’d say, “impossible!” Well, it is not impossible, just unlikely. Imagine you take an ice statue of a polar bear and let it melt. There would be an increase in entropy. That amount of entropy, with the right sign and appropriately exponentiated and normalized, would be the likelihood of your bucket of water turning into the ice statue. If one is ready to compromise the arrow of time, then unlikely occurrences have a cost, but the cost, while high, is finite. However, all this does not provide quantitative estimates, by which I mean something like the comparison of number of states (exponential in particle number) and the number of possible visits (polynomial), as discussed earlier.
- For a two-state system, recovery of the Born probabilities makes use of the Cauchy distribution, as described above. Remarkably, as discussed in [4], this also works for a multi-state recovery. However, there is one peculiarity in this demonstration that I never understood. The way to do the recovery is to get rid of one dimension at a time. Let me explain. Suppose you were dealing with a spin-1 object. Its wave function would be with . Then, the way to recover the Born probabilities is first to get rid of one of them, say , rotating it into one of the other states. There’s some probability of doing this, given by the Cauchy distribution. So you now have (say) , with calculated according to the rotation implemented. Next, you get rid of one of the others, say , yielding for real . This has some probability and gives the probability of taking this route to having a measurement yield (or ) for the spin. Next, you add up all probabilities for all the routes to get to . This turns out to be just . You do the same for the other two options (1 and 0) and you get their respective, usual, probabilities. At a symposium in honor of Nathan Rosen [39], I declared that finding agreement in this case made me feel that “I was discovering things, rather than inventing them.” Despite my good feelings on this subject, it would be nice to have a rationale for this particular procedure, as opposed, for example, to a single rotation from the initial to .
- General relativity. There is an entire industry devoted to reconciling quantum mechanics and gravity, the latter expressed through the general theory of relativity. In some versions of “quantum gravity”, time only emerges semiclassically. When I speak of unitary time evolution, I am making implicit reference to a time-like surface, which presupposes that time already makes sense.At present, there does not seem to be any experimental consequence of the conflict between these two great world pictures, so that my view is that the reconciliation will remain speculative even in the unlikely event that it is claimed to have occurred. A further view is that whatever replaces quantum mechanics (whether because of reconciliation with gravity or because of phenomena in the vast scale spread between contemporary particle physics distances and Planck lengths) will itself have a deterministic formulation and that this finer scale will be consistent with the views expressed in this article. In this, I am promoting determinism the way Eddington [40] promoted the second law of thermodynamics. Of course, I am not original in this view, the most famous recent proponent being Einstein.
4. Conclusions
Acknowledgments
Conflicts of Interest
Appendix A. One Way to Find Special States
Appendix B. “Parity” for the Hamiltonian Equation (1)
References
- Apparently Niels Bohr expressed this “requirement” on several occasions—And not only in connection with quantum measurement theory. Available online: https://en.wikiquote.org/wiki/Niels_Bohr (accessed on 8 July 2017).
- As stated this is a personal response. Since I will expose a lot of dirty laundry in the sequel let me elaborate on what I cannot believe. First, I cannot believe there is any dynamics other than quantum dynamics. True, there remains the mystery of quantum gravity, suggesting that our present day quantum notions will ultimately change. But my guess is that the next theory will be even less intuitive, but just as deterministic. Demanding determinism already excludes any versions of the “Copenhagen” ideas I’ve seen. (See [3] for a discussion of decoherence.) This approach (including decoherence) may be consistent, but again my own prejudices intervene. Like Einstein, I can’t believe that the world is governed by throws of the dice. And if the wave function is so central to a calculation I can’t believe it to be irrelevant once a new measurement has taken place (whatever “measurement” means). And finally there’s the many worlds interpretation, which is deterministic, but once again I cannot accept its fundamental tenet: I can’t believe in many worlds. What am I left with? Deterministic, unitary evolution and a single world. And the only way I know how to do that is to use special states, with all the baggage they entail. (Surely I have not done justice to the many views of quantum measurement and just as surely the proponents of these views will quibble with my characterization of their theories. But those views have been eloquently expressed elsewhere, and there is no need for a presentation here.
- In response to an external request I am adding material on decoherence. First, the word “decoherence” may be original with those usually given credit for this concept, but the idea is older. Already in the 4th chapter of the first edition of Gottfried’s Quantum Mechanics text [43] the basic ideas were given. Specifically, Gottfried is concerned with the trace of the square of the density matrix, which is one for a pure state, but becomes less than one after a measurement, despite the fact under unitary time evolution this quantity should be constant. His answer is that there is no operator that we can practically construct that will connect the different branches (to use modern terminology) of the wave function. Therefore, for all practical purposes you can replace the true density matrix by one for which the trace is less than one, ignoring off-diagonal terms that are un-measurable—un-measureable for practical reasons. Again, to use modern terminology, the branches have decohered. Note that as for the Copenhagen interpretation this does not say why one or another outcome is observed in a measurement. I also comment on the role of thermal baths in decoherence theories and in the present work. I (will) use them and the decoherence people use them, but in different ways. One can achieve decoherence by means of a thermal bath because once a measurement is made the many degrees of freedom in the bath respond in slightly different ways to the various outcomes of the measurement, so that the (multiplicity of) bath states resulting from the measurement are (nearly) orthogonal to each other. This is the registration of the measurement, the fact that (in Gottfried’s words) it is no longer practical to measure any phase relations (or anything else) connecting the two states. In my case (in Section 2.1) the role of the bath is different. It is in a particular microscopic state, and it is this “special” state that determines the outcome of the experiment. I also may have a second bath to insure irreversibility, but that is only briefly touched upon in this article and does not appear in my Equation (1).
- Schulman, L.S. Time’s Arrows and Quantum Measurement; Cambridge University Press: New York, NY, USA, 1997. [Google Scholar]
- Schulman, L.S. Special states demand a force for the observer. Found. Phys. 2016, 46, 1471–1494. [Google Scholar] [CrossRef]
- Schulman, L.S.; Da Luz, M.G.E. Looking for the source of change. Found. Phys. 2016, 46, 1495–1501. [Google Scholar] [CrossRef]
- Schulman, L.S. Experimental Test of the “Special State” Theory of Quantum Measurement. Entropy 2012, 14, 665–686. [Google Scholar] [CrossRef]
- Schulman, L.S. Special States in the Spin-Boson Model. J. Stat. Phys. 1994, 77, 931–944. [Google Scholar] [CrossRef]
- The irreversible “registration” of the result of a measurement by the observer has been studied in many contexts. For example, in [44] the “measurement” is accompanied by the bath’s (not the same as the bath in our current Equation (1) changing in an irreversible fashion. Other models of measurement (e.g., [45,46]) show the same feature. As a result, our considerations in the present article do not pursue the registration (or irreversibility) issue once the observer is coupled to the system, that coupling taking place (in our forthcoming example) at 0.15 time units.
- The full spin boson model is generally taken to have Hamiltonian , but I will take a much simpler version for our example, as given in Equation (1).
- The “observer” need not be human. The word refers to anything that irreversibly records the spin state. In the many worlds interpretation this would mean that the system decoheres into two worlds, each having a different value of the spin. It is the “observer” that induces the decoherence.
- This topic is treated more generally in Appendix A.
- Note that Pr(up), A and B are all functions of time, t.
- To be a bit more precise, prior to observation (at time-0.15 in the example) the entire Hilbert space was a (non-interacting) Kronecker product of the spin-bath space and the observer-cat-etc. space. At the time of observation the isolation ceases and one must take into account the entire space. By definition, the “interaction” represents coupling of the “cat” and the observer.
- Arnol’d, V.I.; Avez, A. Ergodic Problems of Classical Mechanics; Benjamin: New York, NY, USA, 1968. [Google Scholar]
- Thomas Gold introduced the idea that the thermodynamic arrow of time is a consequence of the expanding universe [20]. Some reviled this idea claiming the absurdity of an opposite arrow if our universe has a big crunch in its future. There was a failure to appreciate how a two-time boundary value problem deals with this issue. See also [47].
- Wald, R.M. The Arrow of Time and the Initial Conditions of the Universe. Stud. Hist. Phil. Mod. Phys. 2006, 37, 394–398. [Google Scholar] [CrossRef]
- Khoury, J.; Steinhardt, P.J.; Turok, N. Designing Cyclic Universe Models. Phys. Rev. Lett. 2004, 92, 031302. [Google Scholar] [CrossRef] [PubMed]
- Steinhardt, P.J.; Turok, N. Cosmic evolution in a cyclic universe. Phys. Rev. D 2002, 65, 126003. [Google Scholar] [CrossRef]
- Gold, T. The Arrow of Time. Am. J. Phys. 1962, 30, 403–410. [Google Scholar] [CrossRef]
- Gold told me that he never made any claims about the contraction part. Early 1994 was the first time I’d met him and we discussed his work on the arrow of time (and much else as well—he was a fascinating person; see his obituary at [48]). A few weeks later he phoned me at home, furious about statements made by others, but attributed to him, about a reversed arrow during a contracting phase. I was innocent, but I nevertheless feel that such a reversal is entirely reasonable.
- Of course there is entanglement every time a bound state forms. The assumption is that this is also accomplished by means of special states. The electron and proton (say) definitely come together or definitely do not. As usual this can only be accomplished with the aid of other degrees of freedom. Also, in view of my earlier statements, what I am calling “beginning” and “end” could be very different from Wald’s [17] intention.
- Many years ago I read Wheeler’s proposal, but I have forgotten where. In my own papers from that time (referenced in this article) I had citations, but they are either currently inaccessible or not right. When I asked Wheeler himself for a proper citation he gave me a source but it too turned out not to be what I’d read (and also was not on the right topic). As a result I’m not sure how to cite what I’d read, but I am certain it was Wheeler.
- Schulman, L.S. Illustration of Reversed Causality with Remarks on Experiment. J. Stat. Phys. 1977, 16, 217–231. [Google Scholar] [CrossRef]
- Schulman, L.S. Normal and Reversed Causality in a Model System. Phys. Lett. A 1976, 57, 305–306. [Google Scholar] [CrossRef]
- … invoking the usual correspondence between Hilbert subspace dimension and phase space volume.
- Schulman, L.S. Jump time and passage time: The duration of a quantum transition. In Time in Quantum Mechanics, 2nd ed.; Muga, J.G., Mayato, R.S., Egusquiza, I.L., Eds.; Springer-Verlag: Berlin, Germany, 2008; pp. 99–120. [Google Scholar]
- Phipps, T.E.; Stern, O. Über die Einstellung der Richtungsquantelung. Z. Phys. 1932, 73, 185–191. [Google Scholar] [CrossRef]
- Frisch, R.; Segrè, E. Uber die Einstellung der Richtungsquantelung. II. Z. Phys. 1933, 80, 610–616. (In German) (English title: On the Process of space quantization. II. A translation is available on request, but see [49] for a disclaimer.) [Google Scholar] [CrossRef]
- Frisch, R.; Phipps, T.E.; Segrè, E.; Stern, O. Process of Space Quantisation. Nature 1932, 130, 892–893. [Google Scholar] [CrossRef]
- Majorana, E. Atomi Orientati in Campo Magnetico Variabile. Nuov. Cim. 1932, 2, 43–50. (In Italian) (English title: Atoms in an oriented, variable magnetic field. A translation is available on request, but see [49] for a disclaimer.) [Google Scholar] [CrossRef]
- The fact that [H, Jz]=0 guarantees that the expectation of the operator does not change. In MWI this allows the two versions of the observer to balance 〈|Jz|〉, but this is not possible in the special state theory—There is only one observer at the end of the experiment.
- I mention here initial conditions, but the conditions could be specified at any time, since the dynamics, both for the cat and for quantum mechanics, are completely deterministic.
- The sum in evaluating the expectation is not absolutely convergent. It is of the form . So long as N1 = N2 the answer is zero, but otherwise it can be any real number.
- The numerical estimates in our article are based on information in references [50,51,52,53]. There are differences among them. [50,51] are for contemporary students reproducing the experiment and generally use K atoms and lower temperatures. On the other hand, [52,53] tell the story of the original Stern-Gerlach experiment, which involved Ag atoms.
- I’ve been a bit loose in defining “experiment.” This is because the concept itself is loose. The principal criterion—If the boundary condition rationale of Section 2.2 is correct—Is the avoidance of von Neumann entropy at the boundary times.
- Gaveau, B.; Schulman, L.S. Is ergodicity a reasonable hypothesis? Eur. Phys. J. Spec. Top. 2015, 224, 891–904. [Google Scholar] [CrossRef]
- Schulman, L.S. Evolution of wave-packet spread under sequential scattering of particles of unequal mass. Phys. Rev. Lett. 2004, 92, 210404. [Google Scholar] [CrossRef] [PubMed]
- Mann, A.; Revzen, M. The Dilemma of Einstein, Podolsky and Rosen—Sixty Years Later: An International Symposium in Honour of Nathan Rosen, Haifa, Israel, March 1995; Mann, A., Revzen, M., Eds.; Institute of Physics Publishing: Bristol, UK, 1996. [Google Scholar]
- The full quotation is
From chapter 4 of The Nature of the Physical World, Cambridge 1948, based on lectures delivered in 1928.The law that entropy always increases, holds, I think, the supreme position among the laws of Nature. If someone points out to you that your pet theory of the universe is in disagreement with Maxwell’s equations — then so much the worse for Maxwell’s equations. If it is found to be contradicted by observation — well, these experimentalists do bungle things sometimes. But if your theory is found to be against the second law of thermodynamics I can give you no hope; there is nothing for it but to collapse in deepest humiliation. - It’s interesting that people having faith in one or another supernatural force will often express ideas similar to mine, but for different reasons. Thus many people believe that something is “fated” to happen, or to lower the bar, that the next roll of dice will produce a big win. The “all” in my textual assertion refers to the scientific community, and even then, only in their capacity as scientists. (This note is not intended to win me friends).
- I have used the facts that P2 = P, Q2 = Q, P† = P and Q† = Q.
- Gottfried, K. Quantum Mechanics; Benjamin: New York, NY, USA, 1966. [Google Scholar]
- Gaveau, B.; Schulman, L.S. Model apparatus for quantum measurements. J. Stat. Phys. 1990, 58, 1209–1230. [Google Scholar] [CrossRef]
- Bóna, P. A Solvable Model of Particle Detection in Quantum Theory. Acta Fac. Rerum Nat. Univ. Comen. Phys. 1980, 65–95. [Google Scholar]
- Green, H.S. Observation in Quantum Mechanics. Nuov. Cim. 1958, 9, 880–889. [Google Scholar] [CrossRef]
- Schulman, L.S. Models for Intermediate Time Dynamics with Two-Time Boundary Conditions. Physica A 1991, 177, 373–380. [Google Scholar] [CrossRef]
- Available online: http://www.news.cornell.edu/stories/2004/06/thomas-gold-cornell-astronomer-and-brilliant-scientific-gadfly-dies-84 (accessed on 7 July 2017).
- As described in the text, Stern, Phipps, Frisch and Segrè managed to perform the double SG experiment, with analysis by Majorana. The citations are [28,29,30,31]. I have (however imperfectly) translated both the Frisch-Segrè article (from the German) and the Majorana article (from the Italian) and would be happy to send this to anyone who asks (and I’d be grateful for corrections).
- MIT Dept. Physics, Junior Lab. The Stern-Gerlach Experiment: Quantization of Angular Momentum. 2003. Available online: web.mit.edu/8.13/JLExperiments/JLExp_18_rev1.pdf (accessed on 7 July 2017).
- PHYWE Systeme GMBH. Stern-Gerlach Experiment. In Catalogue Description of the Stern-Gerlach Experiment Along with Information about the Experiment Itself; PHYWE Systeme GMBH: Göttingen, Germany, 2011. [Google Scholar]
- Friedrich, B.; Herschbach, D. Stern and Gerlach: How a Bad Cigar Helped Reorient Atomic Physics. Phys. Today 2003, 56, 53–59. [Google Scholar] [CrossRef]
- Bernstein, J. The Stern Gerlach Experiment. arXiv, arXiv:1007.2435.






© 2017 by the author. Licensee MDPI, Basel, Switzerland. This article is an open access article distributed under the terms and conditions of the Creative Commons Attribution (CC BY) license (http://creativecommons.org/licenses/by/4.0/).
Share and Cite
Schulman, L.S. Program for the Special State Theory of Quantum Measurement. Entropy 2017, 19, 343. https://doi.org/10.3390/e19070343
Schulman LS. Program for the Special State Theory of Quantum Measurement. Entropy. 2017; 19(7):343. https://doi.org/10.3390/e19070343
Chicago/Turabian StyleSchulman, Lawrence S. 2017. "Program for the Special State Theory of Quantum Measurement" Entropy 19, no. 7: 343. https://doi.org/10.3390/e19070343
APA StyleSchulman, L. S. (2017). Program for the Special State Theory of Quantum Measurement. Entropy, 19(7), 343. https://doi.org/10.3390/e19070343