Geometric Model of Black Hole Quantum N-portrait, Extradimensions and Thermodynamics
Abstract
:1. Introduction
- (i)
- the metric admits an extremal configuration for a black hole mass and radius ;
- (ii)
- the extremal configuration represents the fundamental qubit of the system; any larger black holes are governed by a unique universal parameter N, which is set via a holographic relation similar to that between voxels and pixels [44];
- (iii)
- the metric coincides with the Schwarzschild metric away from the Planck scale, i.e., in the limit.
2. Holographic Metric in -dimensions
Derivation in Terms of Non-Local Gravity Actions
3. Higher Dimensional Holographic Metric
4. AdS Background and Hawking-Page Phase Transition
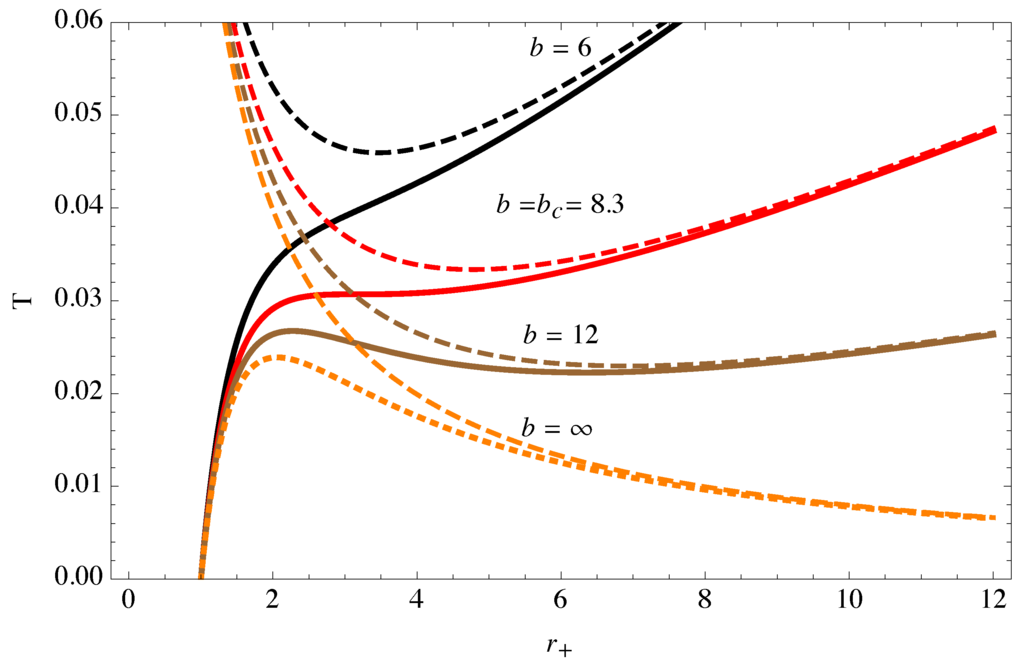
- for , the temperature admits both a minimum value and a maximum value ;
- for , the temperature is a monotonically increasing function of ;
- for , the minimum and the maximum temperature coalesce, , in a point where the curve exhibit an inflection, .
- (i)
- for , there exist just one horizon radius . The heat capacity of the black hole is positive defined, the systems is locally stable but the free energy is positive. This means that the black hole is a meta-stable state. The AdS-thermal background results the favorable state.
- (ii)
- For , there are three horizon radii, . While at and the heat capacity is positive, this is not the case at that is locally unstable. This corresponds the case of a mixed phase. The configuration in can decay to to or in thermal AdS. From Figure 7, one can see that is always globally unstable since , while may have either positive or negative free energy.
- (iii)
- From Figure 8 we see that there is a value at which the curve intersects itself by forming a cross at the vertex of the swallow tail. The value is the temperature at which the phase transition between small and big black holes occurs [135]. For the pure AdS background is still favorable state, even if small black holes, , and big black holes, , are possible. The smaller black hole is the meta-stable state since it sits in local minimum of the free energy in Figure 7.
- (iv)
- For the AdS thermal state is still favorable state and the bigger black holes are in the meta-stable state since . Here is the Hawking-Page temperature, i.e., . For , bigger black holes are the favorable state while AdS radiation and are meta-stable states. This can be seen by the fact that . For , there exist only one horizon radius and the black hole is the favorable state while the AdS radiation is the meta-stable state. From Figure 6, we see that .
- (v)
- As in the standard Schwarzschild-AdS case there exists a temperature , above which the AdS thermal radiation cannot longer sustain itself. The value of such a temperature is of the order [130]. Accordingly there exist another regime: for , the AdS radiation will inevitably collapse in a black hole. For , the collapse of the AdS radiation occurs above the local maximum temperature, i.e., . A rough estimate of parameters suggests that .
5. Conclusions
Acknowledgments
Author Contributions
Conflicts of Interest
References
- Carr, B.J.; Hawking, S.W. Black holes in the early Universe. Mon. Not. Roy. Astron. Soc. 1974, 168, 399–415. [Google Scholar] [CrossRef]
- Mann, R.B.; Ross, S.F. Cosmological production of charged black hole pairs. Phys. Rev. D 1995, 52, 2254–2265. [Google Scholar] [CrossRef]
- Bousso, R.; Hawking, S.W. Pair creation of black holes during inflation. Phys. Rev. D 1996, 54, 6312–6322. [Google Scholar] [CrossRef]
- Mann, R.B.; Nicolini, P. Cosmological production of noncommutative black holes. Phys. Rev. D 2011, 84, 064014. [Google Scholar] [CrossRef]
- Hawking, S.W. Particle creation by black holes. Commun. Math. Phys. 1975, 43, 199–220. [Google Scholar] [CrossRef]
- Hawking, S.W. Information Preservation and Weather Forecasting for Black Holes. 2014; arxiv:1401.5761. [Google Scholar]
- Hawking, S.W. The Information Paradox for Black Holes. 2015; arXiv:1509.01147. [Google Scholar]
- Hawking, S.W.; Perry, M.J.; Strominger, A. Soft Hair on Black Holes. 2016; arXiv:1601.00921. [Google Scholar]
- Dvali, G. Non-Thermal Corrections to Hawking Radiation Versus the Information Paradox. 2015; arXiv:1509.04645. [Google Scholar]
- Saini, A.; Stojkovic, D. Radiation from a collapsing object is manifestly unitary. Phys. Rev. Lett. 2015, 114, 111301. [Google Scholar] [CrossRef] [PubMed]
- Averin, A.; Dvali, G.; Gomez, C.; Lust, D. Gravitational Black Hole Hair from Event Horizon Supertranslations. 2016; arXiv:1601.03725. [Google Scholar]
- Bonanno, A.; Reuter, M. Renormalization group improved black hole space-times. Phys. Rev. D 2000, 62, 043008. [Google Scholar] [CrossRef]
- Nicolini, P.; Smailagic, A.; Spallucci, E. The fate of radiating black holes in noncommutative geometry. 2005; arXiv:hep-th/0507226. [Google Scholar]
- Nicolini, P.; Smailagic, A.; Spallucci, E. Noncommutative geometry inspired Schwarzschild black hole. Phys. Lett. B 2006, 632, 547–551. [Google Scholar] [CrossRef]
- Rizzo, T.G. Noncommutative inspired black holes in extra dimensions. J. High Energy Phys. 2006, 09, 021. [Google Scholar] [CrossRef]
- Ansoldi, S.; Nicolini, P.; Smailagic, A.; Spallucci, E. Noncommutative geometry inspired charged black holes. Phys. Lett. B 2007, 645, 261–266. [Google Scholar] [CrossRef]
- Spallucci, E.; Smailagic, A.; Nicolini, P. Non-commutative geometry inspired higher-dimensional charged black holes. Phys. Lett. B 2009, 670, 449–454. [Google Scholar] [CrossRef]
- Nicolini, P. Noncommutative black holes, the final appeal to quantum gravity: A review. Int. J. Mod. Phys. A 2009, 24, 1229–1308. [Google Scholar] [CrossRef]
- Nicolini, P.; Spallucci, E. Noncommutative geometry inspired dirty black holes. Class. Quant. Grav. 2010, 27, 015010. [Google Scholar] [CrossRef]
- Smailagic, A.; Spallucci, E. “Kerrr” black hole: the lord of the string. Phys. Lett. B 2010, 688, 82–87. [Google Scholar] [CrossRef]
- Modesto, L.; Nicolini, P. Charged rotating noncommutative black holes. Phys. Rev. D 2010, 82, 104035. [Google Scholar] [CrossRef]
- Modesto, L. Loop quantum black hole. Class. Quant. Grav. 2006, 23, 5587–5602. [Google Scholar] [CrossRef]
- Modesto, L.; Moffat, J.W.; Nicolini, P. Black holes in an ultraviolet complete quantum gravity. Phys. Lett. B 2011, 695, 397–400. [Google Scholar] [CrossRef]
- Nicolini, P. Nonlocal and generalized uncertainty principle black holes. 2012; arXiv:1202.2102. [Google Scholar]
- Isi, M.; Mureika, J.; Nicolini, P. Self-Completeness and the Generalized Uncertainty Principle. J. High Energy Phys. 2013, 1311, 139. [Google Scholar] [CrossRef]
- Greenwood, E.; Stojkovic, D. Quantum gravitational collapse: Non-singularity and non-locality. J. High Energy Phys. 2008, 06, 042. [Google Scholar] [CrossRef]
- Saini, A.; Stojkovic, D. Nonlocal (but also nonsingular) physics at the last stages of gravitational collapse. Phys. Rev. D 2014, 89, 044003. [Google Scholar] [CrossRef]
- De Lorenzo, T.; Pacilio, C.; Rovelli, C.; Speziale, S. On the Effective Metric of a Planck Star. Gen. Rel. Grav. 2015, 47. [Google Scholar] [CrossRef]
- Adler, R.J.; Chen, P.; Santiago, D.I. The generalized uncertainty principle and black hole remnants. Gen. Rel. Grav. 2001, 33, 2101–2108. [Google Scholar] [CrossRef]
- Carr, B.J.; Mureika, J.; Nicolini, P. Sub-Planckian black holes and the Generalized Uncertainty Principle. J. High Energy Phys. 2015, 07, 052. [Google Scholar] [CrossRef]
- DeBenedictis, A. Developments in Black Hole Research: Classical, Semi-Classical, and Quantum. In Classical and Quantum Gravity Research; Nova Science Publishers: New York, NY, USA, 2008; pp. 371–426. [Google Scholar]
- Calmet, X.; Carr, B.; Winstanley, E. Quantum Black Holes. In SpringerBriefs in Physics; Springer: Berlin/Heidelberg, Germany, 2014. [Google Scholar]
- Spallucci, E.; Smailagic, A. Semi-Classical Approach to Quantum Black Holes. In Advances in Black Holes Research; Barton, A., Ed.; Nova Science Publishers: New York, NY, USA, 2014. [Google Scholar]
- Chen, P.; Ong, Y.C.; Yeom, D.-H. Black Hole Remnants and the Information Loss Paradox. Phys. Rept. 2015, 603, 1–45. [Google Scholar] [CrossRef]
- Casadio, R.; Micu, O.; Nicolini, P. Minimum Length Effects in Black Hole Physics. In Quantum Aspects of Black Holes; Springer: Berlin/Heidelberg, Germany, 2015; Volume 178, pp. 293–322. [Google Scholar]
- Dvali, G.; Gomez, C. Black Hole’s Quantum N-Portrait. Fortsch. Phys. 2013, 61, 742–767. [Google Scholar] [CrossRef]
- Dvali, G.; Gomez, C. Black Holes as Critical Point of Quantum Phase Transition. Eur. Phys. J. C 2014, 74, 2752. [Google Scholar] [CrossRef] [PubMed]
- Lunin, O.; Mathur, S.D. Metric of the multiply wound rotating string. Nucl. Phys. B 2001, 610, 49–76. [Google Scholar] [CrossRef]
- Lunin, O.; Mathur, S.D. The Slowly rotating near extremal D1–D5 system as a “hot tube”. Nucl. Phys. B 2001, 615, 285–312. [Google Scholar] [CrossRef]
- Lunin, O.; Mathur, S.D. AdS/CFT duality and the black hole information paradox. Nucl. Phys. B 2002, 623, 342–394. [Google Scholar] [CrossRef]
- Mathur, S.D. The Fuzzball proposal for black holes: An Elementary review. Fortsch. Phys. 2005, 53, 793–827. [Google Scholar] [CrossRef]
- Skenderis, K.; Taylor, M. The fuzzball proposal for black holes. Phys. Rept. 2008, 467, 117–171. [Google Scholar] [CrossRef]
- Bekenstein, J.D. Black holes and entropy. Phys. Rev. D 1973, 7, 2333–2346. [Google Scholar] [CrossRef]
- Nicolini, P.; Singleton, D. Connecting horizon pixels and interior voxels of a black hole. Phys. Lett. B 2014, 738, 213–217. [Google Scholar] [CrossRef]
- Dvali, G.; Gomez, C. Black Hole’s 1/N Hair. Phys. Lett. B 2013, 719, 419–423. [Google Scholar] [CrossRef]
- Dvali, G.; Gomez, C.; Isermann, R.S.; Luest, D.; Stieberger, S. Black hole formation and classicalization in ultra-Planckian 2 to N scattering. Nucl. Phys. B 2015, 893, 187–235. [Google Scholar] [CrossRef]
- Dvali, G.; Gomez, C. Black Hole Macro-Quantumness. 2012; arXiv:1212.0765. [Google Scholar]
- Casadio, R. Localised particles and fuzzy horizons: A tool for probing Quantum Black Holes. 2013; arXiv:1305.3195. [Google Scholar]
- Casadio, R.; Scardigli, F. Horizon wave-function for single localized particles: GUP and quantum black hole decay. Eur. Phys. J. C 2014, 74, 2685. [Google Scholar] [CrossRef]
- Casadio, R.; Micu, O.; Scardigli, F. Quantum hoop conjecture: Black hole formation by particle collisions. Phys. Lett. B 2014, 732, 105–109. [Google Scholar] [CrossRef]
- Casadio, R.; Micu, O.; Stojkovic, D. Inner horizon of the quantum Reissner-NordstrÃűm black holes. J. High Energy Phys. 2015, 05, 096. [Google Scholar] [CrossRef]
- Casadio, R.; Micu, O.; Stojkovic, D. Horizon Wave-Function and the Quantum Cosmic Censorship. Phys. Lett. B 2015, 747, 68–72. [Google Scholar] [CrossRef]
- Casadio, R.; Cavalcanti, R.T.; Giugno, A.; Mureika, J. Horizon of quantum black holes in various dimensions. 2015; arXiv:1509.09317. [Google Scholar]
- Casadio, R.; Giugno, A.; Micu, O. Horizon Quantum Mechanics: A hitchhiker’s guide to quantum black holes. 2015; arXiv:1512.04071. [Google Scholar]
- Veneziano, G. A stringy nature needs just two constants. Europhys. Lett. 1986, 2, 199. [Google Scholar] [CrossRef]
- Gross, D.J.; Mende, P.F. String Theory Beyond the Planck Scale. Nucl. Phys. B 1988, 303, 407. [Google Scholar] [CrossRef]
- Amati, D.; Ciafaloni, M.; Veneziano, G. Can Space-Time Be Probed Below the String Size? Phys. Lett. B 1989, 216, 41. [Google Scholar] [CrossRef]
- Konishi, K.; Paffuti, G.; Provero, P. Minimum Physical Length and the Generalized Uncertainty Principle in String Theory. Phys. Lett. B 1990, 234, 276. [Google Scholar] [CrossRef]
- Witten, E. Reflections on the fate of space-time. Phys. Today 1996, 49N4, 24–30. [Google Scholar] [CrossRef]
- Susskind, L. Twenty years of debate with Stephen. In Proceedings of the Workshop on Conference on the Future of Theoretical Physics and Cosmology in Honor of Steven Hawking’s 60th Birthday, Cambridge, UK, 7–10 January 2002; pp. 330–347.
- Banks, T.; Fischler, W. A Model for high-energy scattering in quantum gravity. 1999; arXiv:hep-th/9906038. [Google Scholar]
- Banks, T. A Critique of pure string theory: Heterodox opinions of diverse dimensions. 2003; arXiv:hep-th/0306074. [Google Scholar]
- Dvali, G.; Folkerts, S.; Germani, C. Physics of Trans-Planckian Gravity. Phys. Rev. D 2011, 84, 024039. [Google Scholar] [CrossRef]
- Dvali, G.; Gomez, C. Ultra-High Energy Probes of Classicalization. JCAP 2012, 1207, 015. [Google Scholar] [CrossRef] [PubMed]
- Mureika, J.; Nicolini, P. Self-completeness and spontaneous dimensional reduction. Eur. Phys. J. Plus 2013, 128, 78. [Google Scholar] [CrossRef]
- Aurilia, A.; Spallucci, E. Planck’s uncertainty principle and the saturation of Lorentz boosts by Planckian black holes. 2013; arXiv:1309.7186. [Google Scholar]
- Aurilia, A.; Spallucci, E. Why the length of a quantum string cannot be Lorentz contracted. Adv. High Energy Phys. 2013, 2013, 531696. [Google Scholar] [CrossRef]
- Adler, R.J. Six easy roads to the Planck scale. Am. J. Phys. 2010, 78, 925–932. [Google Scholar] [CrossRef]
- Carr, B.J. Primordial Black Holes and Quantum Effects. Springer Proc. Phys. 2016, 170, 23–31. [Google Scholar]
- Lake, M.J.; Carr, B. The Compton-Schwarzschild correspondence from extended de Broglie relations. J. High Energy Phys. 2015, 11, 105. [Google Scholar] [CrossRef]
- Dvali, G.; Gomez, C.; Luest, D. Classical Limit of Black Hole Quantum N-Portrait and BMS Symmetry. 2015; arXiv:1509.02114. [Google Scholar]
- Capozziello, S.; de Laurentis, M. Extended Theories of Gravity. Phys. Rept. 2011, 509, 167–321. [Google Scholar] [CrossRef]
- Nicolini, P.; Spallucci, E. Holographic screens in ultraviolet self-complete quantum gravity. Adv. High Energy Phys. 2014, 2014, 805684. [Google Scholar] [CrossRef]
- Modesto, L. Super-renormalizable Quantum Gravity. Phys. Rev. D 2012, 86, 044005. [Google Scholar] [CrossRef]
- Dymnikova, I. Vacuum nonsingular black hole. Gen. Rel. Grav. 1992, 24, 235–242. [Google Scholar] [CrossRef]
- Magli, G. A Simple model of a black hole interior. Rept. Math. Phys. 1999, 44, 407–412. [Google Scholar]
- Giambo, R. Anisotropic generalizations of de Sitter space-time. Class. Quant. Grav. 2002, 19, 4399–4404. [Google Scholar]
- Mbonye, M.R.; Kazanas, D. A Non-singular black hole model as a possible end-product of gravitational collapse. Phys. Rev. D 2005, 72, 024016. [Google Scholar] [CrossRef]
- Hayward, S.A. Formation and evaporation of regular black holes. Phys. Rev. Lett. 2006, 96, 031103. [Google Scholar] [CrossRef] [PubMed]
- Bambi, C.; Malafarina, D.; Modesto, L. Non-singular quantum-inspired gravitational collapse. Phys. Rev. D 2013, 88, 044009. [Google Scholar] [CrossRef]
- Neves, J.C.S. Deforming regular black holes. 2015; arXiv:1508.06701. [Google Scholar]
- Ayon-Beato, E.; Garcia, A. Regular black hole in general relativity coupled to nonlinear electrodynamics. Phys. Rev. Lett. 1998, 80, 5056–5059. [Google Scholar] [CrossRef]
- Ayon-Beato, E.; Garcia, A. Nonsingular charged black hole solution for nonlinear source. Gen. Rel. Grav. 1999, 31, 629–633. [Google Scholar] [CrossRef]
- Ayon-Beato, E.; Garcia, A. New regular black hole solution from nonlinear electrodynamics. Phys. Lett. B 1999, 464, 25. [Google Scholar] [CrossRef]
- Ayon-Beato, E.; Garcia, A. The Bardeen model as a nonlinear magnetic monopole. Phys. Lett. B 2000, 493, 149–152. [Google Scholar] [CrossRef]
- Culetu, H. On a regular charged black hole with a nonlinear electric source. Int. J. Theor. Phys. 2015, 54, 2855–2863. [Google Scholar] [CrossRef]
- Moffat, J.W. Ultraviolet Complete Quantum Gravity. Eur. Phys. J. Plus 2011, 126. [Google Scholar] [CrossRef]
- Krasnikov, N.V. Nonlocal gauge theories. Theor. Math. Phys. 1987, 73, 1184–1190. [Google Scholar] [CrossRef]
- Tomboulis, E.T. Superrenormalizable gauge and gravitational theories. 1997; arXiv:hep-th/9702146. [Google Scholar]
- Barvinsky, A.O. Nonlocal action for long distance modifications of gravity theory. Phys. Lett. B 2003, 572, 109–116. [Google Scholar] [CrossRef]
- Barvinsky, A.O. On covariant long-distance modifications of Einstein theory and strong coupling problem. Phys. Rev. D 2005, 71, 084007. [Google Scholar] [CrossRef]
- Barvinsky, A.O. Dark energy and dark matter from nonlocal ghost-free gravity theory. Phys. Lett. B 2012, 710, 12–16. [Google Scholar] [CrossRef]
- Biswas, T.; Gerwick, E.; Koivisto, T.; Mazumdar, A. Towards singularity and ghost free theories of gravity. Phys. Rev. Lett. 2012, 108, 031101. [Google Scholar] [CrossRef] [PubMed]
- Calcagni, G.; Modesto, L.; Nicolini, P. Super-accelerating bouncing cosmology in asymptotically-free non-local gravity. Eur. Phys. J. C 2014, 74, 2999. [Google Scholar] [CrossRef]
- Gaete, P.; Helayel-Neto, J.A.; Spallucci, E. Un-graviton corrections to the Schwarzschild black hole. Phys. Lett. B 2010, 693, 155–158. [Google Scholar] [CrossRef]
- Antoniadis, I.; Arkani-Hamed, N.; Dimopoulos, S.; Dvali, G.R. New dimensions at a millimeter to a Fermi and superstrings at a TeV. Phys. Lett. B 1998, 436, 257–263. [Google Scholar] [CrossRef]
- Arkani-Hamed, N.; Dimopoulos, S.; Dvali, G.R. The Hierarchy problem and new dimensions at a millimeter. Phys. Lett. B 1998, 429, 263–272. [Google Scholar] [CrossRef]
- Arkani-Hamed, N.; Dimopoulos, S.; Dvali, G.R. Phenomenology, astrophysics and cosmology of theories with submillimeter dimensions and TeV scale quantum gravity. Phys. Rev. D 1999, 59, 086004. [Google Scholar] [CrossRef]
- Randall, L.; Sundrum, R. A large mass hierarchy from a small extra dimension. Phys. Rev. Lett. 1999, 83, 3370–3373. [Google Scholar] [CrossRef]
- Randall, L.; Sundrum, R. An alternative to compactification. Phys. Rev. Lett. 1999, 83, 4690–4693. [Google Scholar] [CrossRef]
- Argyres, P.C.; Dimopoulos, S.; March-Russell, J. Black holes and submillimeter dimensions. Phys. Lett. B 1998, 441, 96–104. [Google Scholar] [CrossRef]
- Dimopoulos, S.; Landsberg, G.L. Black holes at the LHC. Phys. Rev. Lett. 2001, 87, 161602. [Google Scholar] [CrossRef] [PubMed]
- Giddings, S.B.; Thomas, S.D. High-energy colliders as black hole factories: The End of short distance physics. Phys. Rev. D 2002, 65, 056010. [Google Scholar] [CrossRef]
- Feng, J.L.; Shapere, A.D. Black hole production by cosmic rays. Phys. Rev. Lett. 2002, 88, 021303. [Google Scholar] [CrossRef] [PubMed]
- Alvarez-Muniz, J.; Feng, J.L.; Halzen, F.; Han, T.; Hooper, D. Detecting microscopic black holes with neutrino telescopes. Phys. Rev. D 2002, 65, 124015. [Google Scholar] [CrossRef]
- Kowalski, M.; Ringwald, A.; Tu, H. Black holes at neutrino telescopes. Phys. Lett. B 2002, 529, 1–9. [Google Scholar] [CrossRef]
- Landsberg, G.L. Black holes at future colliders and beyond: A Review. In Proceedings of the 10th International Conference on Supersymmetry and Unification of Fundamental Interactions (SUSY’02), Hamburg, Germany, 17–23 June 2002; pp. 562–577.
- Cavaglia, M. Black hole and brane production in TeV gravity: A Review. Int. J. Mod. Phys. A 2003, 18, 1843–1882. [Google Scholar] [CrossRef]
- Kanti, P. Black holes in theories with large extra dimensions: A Review. Int. J. Mod. Phys. A 2004, 19, 4899–4951. [Google Scholar] [CrossRef]
- Hossenfelder, S. What black holes can teach us. 2004; arXiv:hep-ph/0412265. [Google Scholar]
- Casanova, A.; Spallucci, E. TeV mini black hole decay at future colliders. Class. Quant. Grav. 2006, 23, R45–R62. [Google Scholar] [CrossRef]
- Bleicher, M. How to Create Black Holes on Earth? Eur. J. Phys. 2007, 28, 509–516. [Google Scholar] [CrossRef]
- Winstanley, E. Hawking Radiation From Rotating Brane Black Holes. In Proceedings of the Conference on Black Holes and Naked Singularities, Milan, Italy, 10–12 May 2007.
- Bleicher, M.; Nicolini, P. Large extra dimensions and small black holes at the LHC. J. Phys. Conf. Ser. 2010, 237, 012008. [Google Scholar] [CrossRef]
- Calmet, X. A Review of Quantum Gravity at the Large Hadron Collider. Mod. Phys. Lett. A 2010, 25, 1553–1579. [Google Scholar] [CrossRef]
- Park, S.C. Black holes and the LHC: A Review. Prog. Part. Nucl. Phys. 2012, 67, 617–650. [Google Scholar] [CrossRef]
- Kanti, P.; Winstanley, E. Hawking Radiation from Higher-Dimensional Black Holes. Fundam. Theor. Phys. 2015, 178, 229–265. [Google Scholar]
- Khachatryan, V.; Sirunyan, A.M.; Tumasyan, A.; Adam, W.; Bergauer, T.; Dragicevic, M.; Ero, J.; Friedl, M.; Fruehwirth, R.; Ghete, V.M.; et al. Search for resonances and quantum black holes using dijet mass spectra in proton-proton collisions at TeV. Phys. Rev. D 2015, 91, 052009. [Google Scholar] [CrossRef]
- ATLAS Collaboration. Search for new phenomena with photon+jet events in proton-proton collisions at TeV with the ATLAS detector. 2015; arXiv:1512.05910. [Google Scholar]
- Mureika, J.; Nicolini, P.; Spallucci, E. Could any black holes be produced at the LHC? Phys. Rev. D 2012, 85, 106007. [Google Scholar] [CrossRef]
- Bleicher, M.; Nicolini, P. Mini-review on mini-black holes from the mini-Big Bang. Astron. Nachr. 2014, 335, 605. [Google Scholar] [CrossRef]
- Appelquist, T.; Cheng, H.-C.; Dobrescu, B.A. Bounds on universal extra dimensions. Phys. Rev. D 2001, 64, 035002. [Google Scholar] [CrossRef]
- Gogberashvili, M. Four dimensionality in noncompact Kaluza-Klein model. Mod. Phys. Lett. A 1999, 14, 2025–2032. [Google Scholar] [CrossRef]
- Gogberashvili, M. Our world as an expanding shell. Europhys. Lett. 2000, 49, 396–399. [Google Scholar] [CrossRef]
- Gogberashvili, M. Hierarchy problem in the shell universe model. Int. J. Mod. Phys. D 2002, 11, 1635–1638. [Google Scholar] [CrossRef]
- Nicolini, P.; Winstanley, E. Hawking emission from quantum gravity black holes. J. High Energy Phys. 2011, 11, 075. [Google Scholar] [CrossRef]
- Frolov, V.P.; Stojkovic, D. Black hole as a point radiator and recoil effect in the brane world. Phys. Rev. Lett. 2002, 89, 151302. [Google Scholar] [CrossRef] [PubMed]
- Frolov, V.P.; Stojkovic, D. Quantum radiation from a five-dimensional rotating black hole. Phys. Rev. D 2003, 67, 084004. [Google Scholar] [CrossRef]
- Maldacena, J.M. The Large N limit of superconformal field theories and supergravity. Int. J. Theor. Phys. 1999, 38, 1113–1133. [Google Scholar] [CrossRef]
- Hawking, S.W.; Page, D.N. Thermodynamics of black holes in anti-deSitter space. Commun. Math. Phys. 1983, 87, 577–588. [Google Scholar] [CrossRef]
- Poisson, E.; Israel, W. Inner-horizon instability and mass inflation in black holes. Phys. Rev. Lett. 1989, 63, 1663–1666. [Google Scholar] [CrossRef] [PubMed]
- Poisson, E.; Israel, W. Internal structure of black holes. Phys. Rev. D 1990, 41, 1796–1809. [Google Scholar] [CrossRef]
- Batic, D.; Nicolini, P. Fuzziness at the horizon. Phys. Lett. B 2010, 692, 32–35. [Google Scholar] [CrossRef]
- Brown, E.; Mann, R.B. Instability of the noncommutative geometry inspired black hole. Phys. Lett. B 2011, 695, 440–445. [Google Scholar] [CrossRef]
- Spallucci, E.; Smailagic, A. Maxwell’s equal area law for charged Anti-deSitter black holes. J. Grav. 2013, 2013, 525696. [Google Scholar]
- Chamblin, A.; Emparan, R.; Johnson, C.V.; Myers, R.C. Charged AdS black holes and catastrophic holography. Phys. Rev. D 1999, 60, 064018. [Google Scholar] [CrossRef]
- Caldarelli, M.M.; Cognola, G.; Klemm, D. Thermodynamics of Kerr-Newman-AdS black holes and conformal field theories. Class. Quant. Grav. 2000, 17, 399–420. [Google Scholar] [CrossRef]
- Nicolini, P.; Torrieri, G. The Hawking-Page crossover in noncommutative anti-deSitter space. J. High Energy Phys. 2011. [Google Scholar] [CrossRef]
- Frassino, A.M. Phase transitions of regular Schwarzschild-Anti-deSitter black holes. Springer Proc. Phys. 2016, 170, 241–247. [Google Scholar]
- Smailagic, A.; Spallucci, E. Thermodynamical phases of a regular SAdS black hole. Int. J. Mod. Phys. D 2013, 22, 1350010. [Google Scholar] [CrossRef]
- Creighton, J.D.E.; Mann, R.B. Quasilocal thermodynamics of dilaton gravity coupled to gauge fields. Phys. Rev. D 1995, 52, 4569–4587. [Google Scholar] [CrossRef]
- Kastor, D.; Ray, S.; Traschen, J. Enthalpy and the Mechanics of AdS Black Holes. Class. Quant. Grav. 2009, 26, 195011. [Google Scholar] [CrossRef]
- Dolan, B.P. The cosmological constant and the black hole equation of state. Class. Quant. Grav. 2011, 28, 125020. [Google Scholar] [CrossRef]
- Dolan, B.P. Pressure and volume in the first law of black hole thermodynamics. Class. Quant. Grav. 2011, 28, 235017. [Google Scholar] [CrossRef]
- Dolan, B.P. Compressibility of rotating black holes. Phys. Rev. D 2011, 84, 127503. [Google Scholar] [CrossRef]
- Dolan, B.P. Where is the PdV term in the fist law of black hole thermodynamics? 2012; arXiv:1209.1272. [Google Scholar]
- Cvetic, M.; Gibbons, G.W.; Kubiznak, D.; Pope, C.N. Black Hole Enthalpy and an Entropy Inequality for the Thermodynamic Volume. Phys. Rev. D 2011, 84, 024037. [Google Scholar] [CrossRef]
- Larranaga, A.; Cardenas, A. Geometric Thermodynamics of Schwarzschild-AdS black hole with a Cosmological Constant as State Variable. J. Korean Phys. Soc. 2012, 60, 987–992. [Google Scholar] [CrossRef]
- Larranaga, A.; Mojica, S. Geometric Thermodynamics of Kerr-AdS black hole with a Cosmological Constant as State Variable. Abraham Zelmanov J. 2012, 5, 68–77. [Google Scholar]
- Gibbons, G.W. What is the Shape of a Black Hole? AIP Conf. Proc. 2012, 1460, 90–100. [Google Scholar]
- Kubiznak, D.; Mann, R.B. P-V criticality of charged AdS black holes. J. High Energy Phys. 2012, 07, 033. [Google Scholar] [CrossRef]
- Gunasekaran, S.; Mann, R.B.; Kubiznak, D. Extended phase space thermodynamics for charged and rotating black holes and Born-Infeld vacuum polarization. J. High Energy Phys. 2012, 11, 110. [Google Scholar] [CrossRef]
- Belhaj, A.; Chabab, M.; El Moumni, H.; Sedra, M.B. On Thermodynamics of AdS Black Holes in Arbitrary Dimensions. Chin. Phys. Lett. 2012, 29, 100401. [Google Scholar] [CrossRef]
- Lu, H.; Pang, Y.; Pope, C.N.; Vazquez-Poritz, J.F. AdS and Lifshitz Black Holes in Conformal and Einstein-Weyl Gravities. Phys. Rev. D 2012, 86, 044011. [Google Scholar] [CrossRef]
- Hendi, S.H.; Vahidinia, M.H. Extended phase space thermodynamics and P-V criticality of black holes with a nonlinear source. Phys. Rev. D 2013, 88, 084045. [Google Scholar] [CrossRef]








| n | 0 | 1 | 2 | 3 | 4 | 5 | 6 | 7 |
|---|---|---|---|---|---|---|---|---|
| 2.06 | 1.60 | 1.48 | 1.41 | 1.36 | 1.33 | 1.30 | 1.28 | |
| 0.024 | 0.07 | 0.12 | 0.18 | 0.25 | 0.31 | 0.38 | 0.44 |
© 2016 by the authors; licensee MDPI, Basel, Switzerland. This article is an open access article distributed under the terms and conditions of the Creative Commons Attribution (CC-BY) license (http://creativecommons.org/licenses/by/4.0/).
Share and Cite
Frassino, A.M.; Köppel, S.; Nicolini, P. Geometric Model of Black Hole Quantum N-portrait, Extradimensions and Thermodynamics. Entropy 2016, 18, 181. https://doi.org/10.3390/e18050181
Frassino AM, Köppel S, Nicolini P. Geometric Model of Black Hole Quantum N-portrait, Extradimensions and Thermodynamics. Entropy. 2016; 18(5):181. https://doi.org/10.3390/e18050181
Chicago/Turabian StyleFrassino, Antonia M., Sven Köppel, and Piero Nicolini. 2016. "Geometric Model of Black Hole Quantum N-portrait, Extradimensions and Thermodynamics" Entropy 18, no. 5: 181. https://doi.org/10.3390/e18050181
APA StyleFrassino, A. M., Köppel, S., & Nicolini, P. (2016). Geometric Model of Black Hole Quantum N-portrait, Extradimensions and Thermodynamics. Entropy, 18(5), 181. https://doi.org/10.3390/e18050181

